Reproducible Superinsulation Materials: Organosilica-Based Hybrid Aerogels with Flexibility Control
Abstract
1. Introduction
2. Results and Discussion
2.1. Radical Polymerization of PVMDMS and PV4D4VMDMS
2.2. Polycondensation of PVMDMS
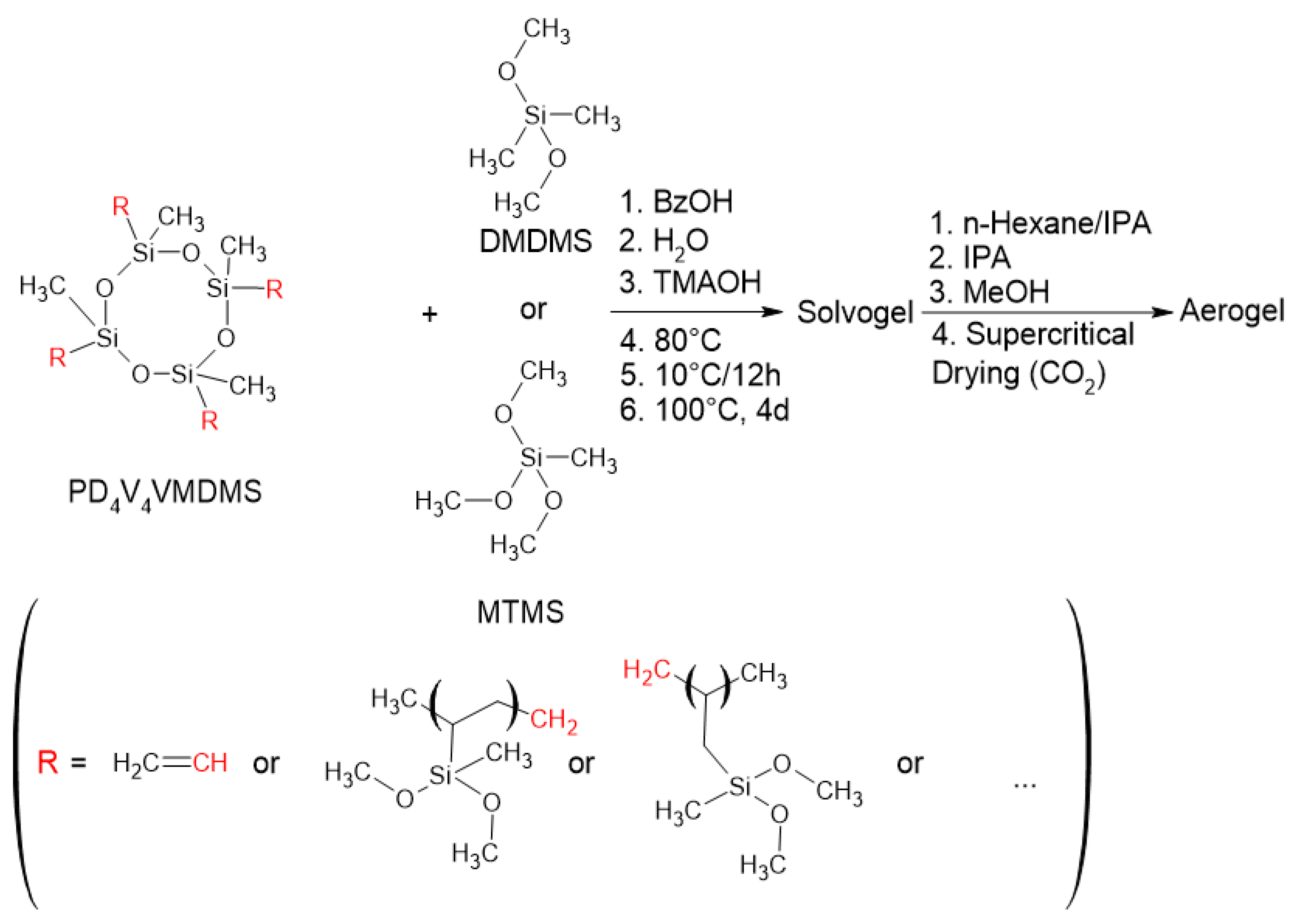
2.3. Polycondensation of PD4V4VMDMS with MTMS or DMDMS
3. Conclusions
4. Materials and Methods
- Chemicals:
- Characterization:
Supplementary Materials
Author Contributions
Funding
Data Availability Statement
Acknowledgments
Conflicts of Interest
References
- Chen, L.; Msigwa, G.; Yang, M.; Osman, A.I.; Fawzy, S.; Rooney, D.W.; Yap, P.-S. Strategies to achieve a carbon neutral society: A review. Environ. Chem. Lett. 2022, 20, 2277–2310. [Google Scholar] [CrossRef] [PubMed]
- Pontinha, A.D.R.; Mäntyneva, J.; Santos, P.; Duraes, L. Thermomechanical Performance Assessment of Sustainable Buildings Insulating Materials under Accelerated Ageing Conditions. Gels 2023, 9, 241. [Google Scholar] [CrossRef] [PubMed]
- Hüsing, N.; Schubert, U. Aerogels—Airy Materials: Chemistry, Structure, and Properties, Angew. Chem. Int. Ed. 1998, 37, 22–45. [Google Scholar] [CrossRef]
- Bashir, A.W.; Leite, B.C.C. Performance of aerogel as a thermal insulation material towards a sustainable design of residential buildings for tropical climates in Nigeria. EBE 2022, 3, 291–315. [Google Scholar] [CrossRef]
- Pacheco-Torgal, F.; Diamanti, M.V.; Nazari, A.; Granqvist, C.-G.; Torgal, F.P.; Cranqvist, C.-G. Nanotechnology in Eco-Efficient Construction: Materials, Processes and Applications; Woodhead Publishing: Sawston, UK, 2013. [Google Scholar]
- Huang, J.; Wang, X.; Guo, W.; Niu, H.; Song, L.; Hu, Y. Eco-friendly thermally insulating cellulose aerogels with exceptional flame retardancy, mechanical property and thermal stability. J. Taiwan Inst. Chem. Eng. 2022, 131, 104159. [Google Scholar] [CrossRef]
- Du, L.; Lu, T.; Li, B. CO2 capture and sequestration in porous media with SiO2 aerogel nanoparticle-stabilized foams. Fuel 2022, 324, 124661. [Google Scholar] [CrossRef]
- Donelienee, J.; Faataraite-Urboniene, E.; Danchova, N.; Gutzov, S.; Ulbikas, J. The Influence of the Precursor’s Nature an Drying Conditions on the Structure, Morphology, and Thermal Properties of TiO2 Aerogels. Gels 2022, 8, 422. [Google Scholar] [CrossRef]
- Horvat, G.; Maver, U. Editorial on the Special Issue Entitled “Recent Advances in Aerogels. Gels 2024, 10, 154. [Google Scholar] [CrossRef]
- Noroozi, M.; Panahi-Sarmad, M.; Abrisham, M.; Amirkiai, A.; Asghari, N.; Golbaten-Mofrad, H.; Karimpour-Motlagh, N.; Goodarzi, V.; Bahramian, A.R.; Zahiri, B. Nanostructure of Aerogels and Their Applications in Thermal Energy Insulation. ACS Appl. Energy Mater. 2019, 2, 5319–5349. [Google Scholar] [CrossRef]
- Zhu, J.; Hu, J.; Jiang, C.; Liu, S.; Li, Y. Ultralight, hydrophobic, monolithic konjac glucomannan-silica composite aerogel with thermal insulation and mechanical properties. Carbohydr. Polym. 2019, 207, 246–255. [Google Scholar] [CrossRef]
- Koebel, M.; Rigacci, A.; Achard, P. Aerogel-based thermal superinsulation: An overview. J. Sol-Gel Sci. Technol. 2012, 63, 315–339. [Google Scholar] [CrossRef]
- Xu, H.J.; Xing, Z.B.; Wang, F.Q.; Cheng, Z.M. Review on heat conduction, heat convection, thermal radiation and phase change heat transfer of nanofluids in porous media: Fundamentals and applications. Chem. Eng. Sci. 2019, 195, 462–483. [Google Scholar] [CrossRef]
- Iswar, S.; Galmarini, S.; Bonanomi, L.; Wernery, J.; Roumeli, E.; Nimalshantha, S.; Ben Ishai, A.M.; Lattuada, M.; Koebel, M.; Malfait, W.J. Dense and strong, but superinsulating silica aerogel. Acta Mater. 2021, 213, 116959. [Google Scholar] [CrossRef]
- Baetens, R. High performance thermal insulation materials for buildings. In Nanotechnology in Eco-Efficient Construction; Woodhead Publishing: Sawston, UK, 2013; pp. 188–206. [Google Scholar]
- Akimov, Y.K. Fields of Application of Aerogels (Review). Instrum. Exp. Tech. 2003, 46, 287–299. [Google Scholar] [CrossRef]
- Woignier, T.; Primera, J.; Alaoui, A.; Etienne, P.; Despestis, F.; Calas-Etienne, S. Mechanical Properties and Brittle Behavior of Silica Aerogels. Gels 2015, 1, 256–275. [Google Scholar] [CrossRef]
- Fesmire, J.E. Aerogel insulation systems for space launch applications. Cryogenics 2006, 46, 111–117. [Google Scholar] [CrossRef]
- Kim, T.; Lee, W.; Choi, H.; Parale, V.G.; Patil, U.M.; Kanamori, K.; Seo, J.G.; Bae, Y.; Kim, S.; Park, H. Sol–Gel Synthesized Nickel-Doped Ruthenium Oxide Aerogel for Highly Efficient Acidic Hydrogen Evolution Reaction. Int. J. Energy Res. 2024, 2024, 1457751. [Google Scholar] [CrossRef]
- Gao, W.; Wen, D. Recent advances of noble metal aerogels in biosensing. VIEW 2021, 2, 20200124. [Google Scholar] [CrossRef]
- Smirnova, I.; Gurikov, P. Aerogel production: Current status, research directions, and future opportunities. J. Supercrit. Fluids 2018, 134, 228–233. [Google Scholar] [CrossRef]
- Borzova, M.; Schollbach, K.; Gauvin, F.; Brouwers, H.J.H. Sustainable ambient pressure-dried silica aerogel from waste glass. Curr. Opin. Green Sustain. Chem. 2024, 9, 100425. [Google Scholar] [CrossRef]
- Zemke, F.; Gonthier, J.; Scoppola, E.; Simon, U.; Bekheet, M.F.; Wagermaier, W.; Gurlo, A. Origin of the Springback Effect in Ambient-Pressure-Dried Silica Aerogels: The Effect of Surface Silylation. Gels 2023, 9, 160. [Google Scholar] [CrossRef] [PubMed]
- Zhang, G.; Dass, A.; Rawashdeh, A.-M.M.; Thomas, J.; Counsil, J.A.; Sotiriou-Leventis, C.; Fabrizio, E.F.; Ilhan, F.; Vassilaras, P.; Scheiman, D.A. Isocyanate-crosslinked silica aerogel monoliths: Preparation and characterization. J. Non-Cryst. Solids 2004, 350, 152–164. [Google Scholar] [CrossRef]
- Shimizu, T.; Kanamori, K.; Nakanishi, K. Silicone-Based Organic–Inorganic Hybrid Aerogels and Xerogels. Chem. Eur. J. 2017, 23, 5176–5187. [Google Scholar] [CrossRef] [PubMed]
- Kanamori, K.; Aizawa, M.; Nakanishi, K.; Hanada, T. Elastic organic–inorganic hybrid aerogels and xerogels, J. Sol-Gel Sci. Technol. 2008, 48, 172–181. [Google Scholar] [CrossRef]
- Shimizu, T.; Kanamori, K.; Maeno, A.; Kaji, H.; Doherty, C.M.; Falcaro, P.; Nakanishi, K. Transparent, Highly Insulating Polyethyl- and Polyvinylsilsesquioxane Aerogels: Mechanical Improvements by Vulcanization for Ambient Pressure Drying. Chem. Mater. 2016, 28, 6860–6868. [Google Scholar] [CrossRef]
- Zu, G.; Shimizu, T.; Kanamori, K.; Zhu, Y.; Maeno, A.; Kaji, H.; Shen, J.; Nakanishi, K. Transparent, Superflexible Doubly Cross-Linked Polyvinylpolymethylsiloxane Aerogel Superinsulators via Ambient Pressure Drying. ACS Nano 2018, 12, 521–532. [Google Scholar] [CrossRef]
- Zu, G.; Kanamori, K.; Shimizu, T.; Zhu, Y.; Maeno, A.; Kaji, H.; Nakanishi, K.; Shen, J. Versatile Double-Cross-Linking Approach to Transparent, Machinable, Supercompressible, Highly Bendable Aerogel Thermal Superinsulators. Chem. Mater. 2018, 30, 2759–2770. [Google Scholar] [CrossRef]
- Wang, L.; Feng, J.; Jiang, Y.; Li, L.; Feng, J. Thermal conductivity of polyvinylpolymethylsiloxane aerogels with high specific surface area. RSC Adv. 2019, 9, 7833–7841. [Google Scholar] [CrossRef]
- Kong, W.; Jiang, L.; Jiang, G.; Zhang, J.; Shen, X. A novel aerogel with forced thermoelastic deformation. Microporous Mesoporous Mater. 2021, 314, 110869. [Google Scholar] [CrossRef]
- Zhou, J.; Xia, Y.; Liu, S.; Zhang, S.; Li, Z.; Zhao, C.; Li, L.; Feng, J. Research progress on polybenzoxazine aerogels: Preparation, properties, composites and hybrids fabrication, applications. Adv. Colloid Interface Sci. 2024, 329, 103185. [Google Scholar] [CrossRef]
- Ruan, J.; Xie, K.; Wan, J.; Chen, Q.; Zuo, X.; Li, X.; Wu, X.; Fei, C.; Yao, S. Effects of Freeze-Drying Processes on the Acoustic Absorption Performance of Sustainable Cellulose Nanocrystal Aerogels. Gels 2024, 10, 141. [Google Scholar] [CrossRef] [PubMed]
- Cruz, L.G.; Abt, T.; Leon, N.; Sanchez-Soto, M. Properties of Freeze-Dried Gelatin/Clay Aerogel Composites Crosslinked with Tannic Acid. ACS Applied Poly. Mater. 2023, 5, 7774–7785. [Google Scholar] [CrossRef]
- Simon-Herrero, C.; Caminero-Hertas, S.; Romero, A.; Valverde, J.L.; Sanchez-Silvia, L. Effects of freeze-drying conditions on aerogel properties. J. Mater. Sci. 2016, 51, 8977–8985. [Google Scholar] [CrossRef]
- Zhai, S.; Yu, K.; Meng, C.; Wang, H.; Fu, J. Eco-friendly approach for preparation of hybrid silica aerogel via freeze drying method. J. Mater. Sci. 2022, 57, 7491–7502. [Google Scholar] [CrossRef]
- Luigi, M.D.; Guo, Z.; An, L.; Armstrong, J.N.; Zhou, C.; Ren, S. Manufacturing silica aerogel and cryogel through ambient pressure and freeze drying. RSC 2022, 12, 21213–21222. [Google Scholar] [CrossRef]
- Hu, L.; He, R.; Lu, Z.; Zhang, K.; Bai, X. Step-freeze-drying method for carbon aerogels: A study of the effects on microstructure and mechanical property. RSC 2019, 9, 9931–9936. [Google Scholar] [CrossRef]
- Alexandrova, L.; Diaz, F.; Canseco, M.; Likhatchev, D.; Vera-Graziano, R. Bulk polymerization of 1,3,5,7-tetravinyltetramethylcyclotetrasiloxane induced by gamma radiation. Rad. Phys. Chem. 1998, 51, 101–106. [Google Scholar] [CrossRef]
- Guo, T.; Yun, S.; Li, Y.; Chen, Z.; Cao, C.; Gao, Y. Facile synthesis of highly flexible polymethylsilsesquioxane aerogel monoliths with low density, low thermal conductivity and superhydrophobicity. Vacuum 2021, 183, 109825. [Google Scholar] [CrossRef]
- Mixer, R.Y.; Bailey, D.L. The mode of peroxide-catalyzed polymerization of vinyltriethoxysilane. J. Polym. Sci. 1955, 18, 573–582. [Google Scholar] [CrossRef]
- Rezaei, S.; Zolali, A.M.; Jalali, A.; Park, C.B. Strong, highly hydrophobic, transparent and super-insulative polyorganosiloxane-based aerogel. Chem. Eng. J. 2021, 413, 127488. [Google Scholar] [CrossRef]
- Rezaei, S.; Jalali, A.; Zolali, A.M.; Alshrah, M.; Karamikamkar, S.; Park, C.B. Robust, ultra-insulative and transparent polyethylene-based hybrid silica aerogel with a novel non-particulate structure. J. Colloid Interface Sci. 2019, 548, 206–216. [Google Scholar] [CrossRef] [PubMed]
- Meti, P.; Wang, Q.; Mahadik, D.B.; Lee, K.; Gong, Y.; Park, H. Evolutionary Progress of Silica Aerogels and Their Classification Based on Composition: An Overview. Nanomaterials 2023, 13, 1498. [Google Scholar] [CrossRef] [PubMed]
- Hayase, G.; Kanamori, K.; Nakanishi, K. New flexible aerogels and xerogels derived from methyltrimethoxysilane/dimethyldimethoxysilane co-precursors. J. Mater. Chem. 2011, 21, 170–177. [Google Scholar] [CrossRef]
- Parale, V.G.; Lee, K.-Y.; Park, H.-H. Flexible and Transparent Silica Aerogels: An Overview. J. Korean Ceram. Soc. 2017, 54, 184–199. [Google Scholar] [CrossRef]
- Despetis, F.; Calas-Etienne, S.; Etienne, P. Slow crack growth in silica aerogels: A review. J. Sol-Gel Sci. Technol. 2019, 90, 20–27. [Google Scholar] [CrossRef]
- Huang, W.L.; Liang, K.M.; Cui, S.H.; Gu, S.R. Influence of Calcination Procedure on Porosity and Surface Fractal Dimensions of Silica Xerogels Prepared under Different Evaporation Conditions. J. Colloid Interface Sci. 2000, 231, 152–157. [Google Scholar] [CrossRef][Green Version]
- Sales, F.; Souza, A.; Ariati, R.; Noronha, V.; Giovanetti, E.; Lima, R.; Ribeiro, J. Composite Material of PDMS with Interchangeable Transmittance: Study of Optical, Mechanical Properties and Wettability. J. Compos. Sci. 2021, 5, 110. [Google Scholar] [CrossRef]
- Law, K. Contact Angle Hysteresis on Smooth/Flat and Rough Surfaces. Interpretation, Mechanism, and Origin. Acc. Mater. Res. 2022, 3, 1–7. [Google Scholar] [CrossRef]
- Liddel, U.; Becker, D.E. Infra-red spectroscopic studies of hydrogen bonding in methanol, ethanol, and t-butanol. Spectrochim. Acta 1957, 10, 70–84. [Google Scholar] [CrossRef]
- Sebbar, N.; Bozzelli, J.W.; Bockhorn, H. Kinetic Study of Di-Tert-Butyl Peroxide: Thermal Decomposition and Product Reaction Pathways. Int. J. Chem. Kinet. 2015, 47, 133–161. [Google Scholar] [CrossRef]
- Lorand, J.P. Radicals and scavengers. V. Steric hindrance and cage effects in the decompositions of several tert-butyl peresters. J. Am. Chem. Soc. 1974, 96, 2867–2874. [Google Scholar] [CrossRef]
- Ueoka, R.; Hara, Y.; Maeno, A.; Kaji, H.; Nakanishi, K.; Kanamori, K. Unusual flexibility of transparent poly(methylsilsesquioxane) aerogels by surfactant-induced mesoscopic fiber-like assembly. Nat. Comm. 2024, 461, 1–11. [Google Scholar] [CrossRef]







| Exp. | VMDMS [mL] | D4V4 [mL] | VMDMS:D4V4 [mol:mol] | Time [h] | Mn [g/mol] | PDI | Yield [%] |
|---|---|---|---|---|---|---|---|
| 1_1 | 1 | - | - | 24 | 2761 | 1.7 | 57 |
| 1_2 | 1 | - | - | 48 | 2807 | 1.7 | 67 |
| 1_3 | 1 | - | - | 96 | 3054 | 1.7 | 74 |
| 2_1 | 1 | 0.012 | 99.5:0.5 | 24 | 3122 | 2.1 | 66 |
| 2_2 | 1 | 0.122 | 95:5 | 24 | - * | - | 68 |
| 2_3 | 1 | 0.012 | 99.5:0.5 | 48 | 3212 | 2.2 | 72 |
| 2_4 | 1 | 0.122 | 95:5 | 48 | - * | - | 76 |
| 2_5 | 1 | 0.012 | 99.5:0.5 | 96 | 3325 | 1.9 | 78 |
| 2_6 | 1 | 0.122 | 95:5 | 96 | - * | - | 79 |
| Exp. | VMDMS: PVMDMS [mol:mol] | DMDMS: PVMDMS [mol:mol] | BzOH/Si [mol mol−1] | H2O/Si [mol mol−1] | TMAOH/Si [mol mol−1] | κ [mW m−1K−1] | Density [g cm−3] | Compres. [%] |
|---|---|---|---|---|---|---|---|---|
| 1 | 0.3 | 0.1 | 4.3 | 2.0 | 0.03 | 25.5 | 0.312 | 8 |
| 2 | 0.3 | 0.1 | 5.2 | 2.4 | 0.03 | 22.7 | 0.247 | 16 |
| 3 | 0.3 | - | 6.0 | 2.8 | 0.03 | 19.8 | 0.174 | 12 |
| 4 | 0.3 | - | 7.7 | 3.6 | 0.04 | 18.9 | 0.138 | 26 |
| 5 | 0.2 | - | 6.9 | 3.2 | 0.04 | 17.3 | 0.145 | 18 |
| 6 | 0.2 | - | 7.7 | 3.6 | 0.04 | 18.7 | 0.120 | 22 |
| 7 | 0.1 | - | 6.9 | 3.2 | 0.04 | 18.3 | 0.165 | 12 |
| 8 | 0.1 | - | 8.6 | 4.0 | 0.05 | 17.1 | 0.127 | 20 |
| 9 | - | - | 7.7 | 3.6 | 0.04 | 17.2 | 0.171 | 17 |
| 10 | - | - | 9.5 | 4.4 | 0.05 | 17.0 | 0.129 | 19 |
Disclaimer/Publisher’s Note: The statements, opinions and data contained in all publications are solely those of the individual author(s) and contributor(s) and not of MDPI and/or the editor(s). MDPI and/or the editor(s) disclaim responsibility for any injury to people or property resulting from any ideas, methods, instructions or products referred to in the content. |
© 2024 by the authors. Licensee MDPI, Basel, Switzerland. This article is an open access article distributed under the terms and conditions of the Creative Commons Attribution (CC BY) license (https://creativecommons.org/licenses/by/4.0/).
Share and Cite
Geyer, M.; Leven, F.; Limberg, J.; Andronescu, C.; Ostermann, R. Reproducible Superinsulation Materials: Organosilica-Based Hybrid Aerogels with Flexibility Control. Gels 2024, 10, 692. https://doi.org/10.3390/gels10110692
Geyer M, Leven F, Limberg J, Andronescu C, Ostermann R. Reproducible Superinsulation Materials: Organosilica-Based Hybrid Aerogels with Flexibility Control. Gels. 2024; 10(11):692. https://doi.org/10.3390/gels10110692
Chicago/Turabian StyleGeyer, Marvin, Felix Leven, Johannes Limberg, Corina Andronescu, and Rainer Ostermann. 2024. "Reproducible Superinsulation Materials: Organosilica-Based Hybrid Aerogels with Flexibility Control" Gels 10, no. 11: 692. https://doi.org/10.3390/gels10110692
APA StyleGeyer, M., Leven, F., Limberg, J., Andronescu, C., & Ostermann, R. (2024). Reproducible Superinsulation Materials: Organosilica-Based Hybrid Aerogels with Flexibility Control. Gels, 10(11), 692. https://doi.org/10.3390/gels10110692

