Adsorption of Levofloxacin onto Graphene Oxide/Chitosan Composite Aerogel Microspheres
Abstract
1. Introduction
2. Results and Discussion
2.1. Characterization of GO/CS Aerogel Microspheres
2.1.1. SEM Analysis
2.1.2. FTIR Analysis
2.1.3. TG Analysis
2.2. Adsorption Performance of GO/CS Aerogel Microspheres
2.2.1. Effect of GO Content and pH Value
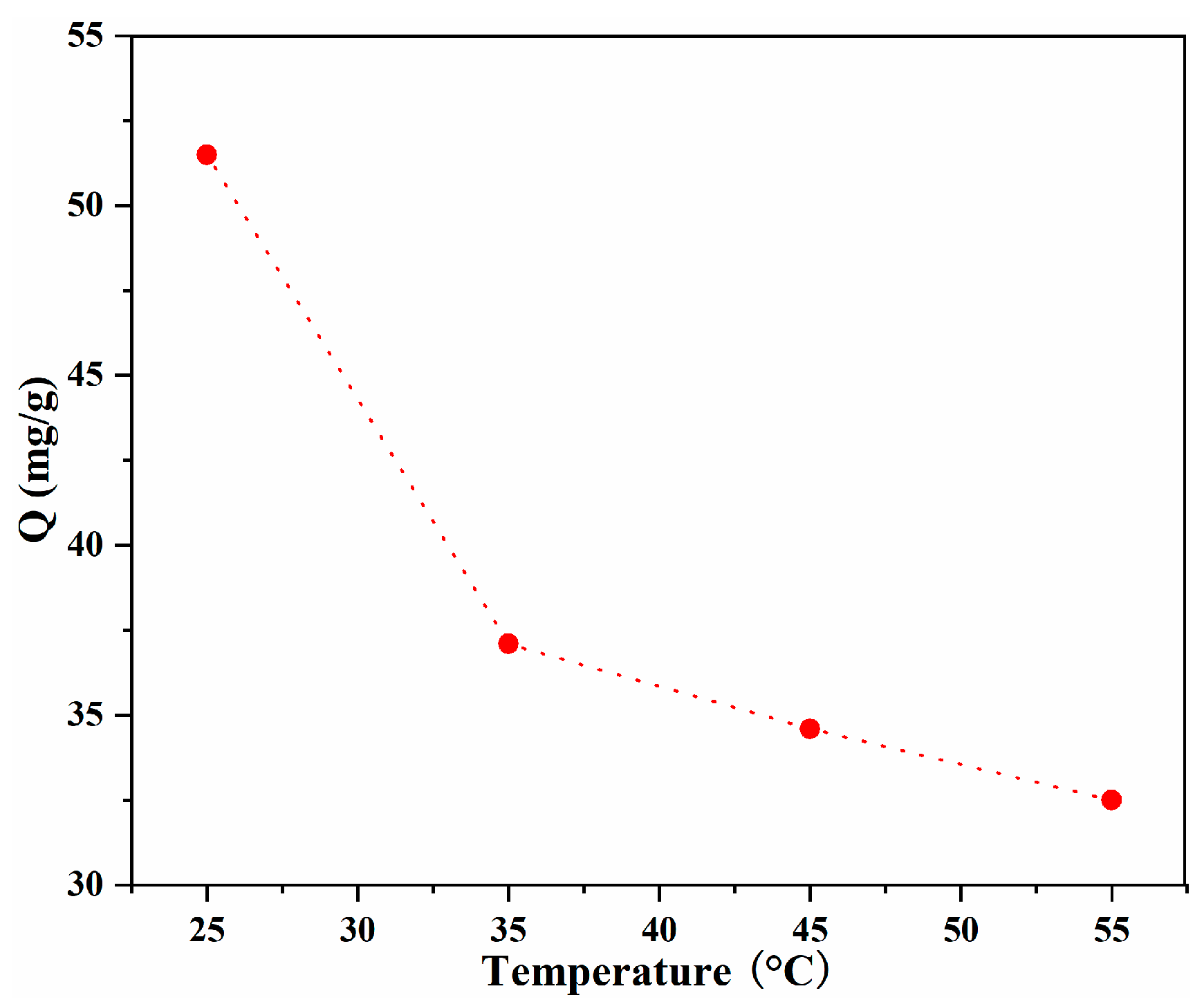
2.2.2. Effect of Temperature and Thermodynamics
2.2.3. Effect of Concentration, Time and Kinetics
2.3. Comparative Investigation of LOF Adsorption
3. Conclusions
4. Materials and Methods
4.1. Materials
4.2. Fabrication of GO/CS Aerogel Microspheres
4.3. Characterization of GO/CS Aerogel Microspheres
4.4. Adsorption of GO/CS Aerogel Microspheres
4.4.1. Calibration Plot of LOF
4.4.2. Effect of GO Content, pH Value, and Temperature
4.4.3. Effect of Initial Concentration and Contact Time
Author Contributions
Funding
Institutional Review Board Statement
Informed Consent Statement
Data Availability Statement
Conflicts of Interest
References
- Patel, M.; Kumar, R.; Kishor, K.; Mlsna, T.; Pittman, C.U., Jr.; Mohan, D. Pharmaceuticals of emerging concern in aquatic systems: Chemistry, occurrence, effects, and removal methods. Chem. Rev. 2019, 119, 3510–3673. [Google Scholar] [CrossRef] [PubMed]
- Rusu, L.; Suceveanu, E.M.; Blaga, A.C.; Nedeff, F.M.; Sutru, D. Insights into recent advances of biomaterials based on microbial biomass and natural polymers for sustainable removal of pharmaceuticals residues. Polymers 2023, 15, 2923. [Google Scholar] [CrossRef] [PubMed]
- Khetan, S.K.; Collions, T.J. Human pharmaceuticals in the aquatic environment: A challenge to green chemistry. Chem. Rev. 2007, 107, 2319–2364. [Google Scholar] [CrossRef] [PubMed]
- Saya, L.; Malik, V.; Gautam, D.; Gambhir, G.; Balendra, B.; Singh, W.R.; Hooda, S. A comprehensive review on recent advances toward sequestration of levofloxacin antibiotic from wastewater. Sci. Total Environ. 2022, 813, 152529. [Google Scholar] [CrossRef] [PubMed]
- Gao, J.; Bao, F.; Feng, L.L.; Shen, K.Y.; Zhu, Q.D.; Wang, D.F.; Chen, T.; Ma, R.; Yan, C.J. Functionalized graphene oxide modified polysebacic anhydride as drug carrier for levofloxacin controlled release. RSC Adv. 2011, 1, 1737–1744. [Google Scholar] [CrossRef]
- Ramsheh, N.A.; Dogari, H.; Mosaffa, E.; Akhgari, M.; Ghafuri, H.; Banerjee, A. Metformin-embedded biocompatible chitosan /poly(vinyl alcohol) beads with superior adsorption properties toward lead(II) and levofloxacin. ACS Appl. Polym. Mater. 2023, 5, 3148–3160. [Google Scholar] [CrossRef]
- Yu, R.B.; Wu, Z.C. High adsorption for ofloxacin and reusability by the use of ZIF-8 for wastewater treatment. Micropor. Mesopor. Mater. 2020, 308, 110494. [Google Scholar] [CrossRef]
- Mahmoud, M.E.; Ghanam, A.M.E.; Mohamed, R.H.A.; Saad, S.R. Enhanced adsorption of levofloxacin and ceftriaxone antibiotics from water by assembled composite of nanotitanium oxide/chitosan/nano-bentonite. Mater. Sci. Eng. C 2020, 108, 110199. [Google Scholar] [CrossRef]
- Mahmoud, M.E.; Amira, M.F.; Azab, M.M.; Abdelfattah, A.M. Effective removal of levofloxacin drug and Cr(VI) from water by a composed nanobiosorbent of vanadium pentoxide@chitosan@MOFs. Int. J. Biol. Macromol. 2021, 188, 879–891. [Google Scholar] [CrossRef]
- Tao, J.H.; Yang, J.; Ma, C.X.; Li, J.F.; Du, K.Q.; Wei, Z.; Chen, C.Z.; Wang, Z.Y.; Zhao, C.; Deng, X.Y. Cellulose nanocrystals/ graphene oxide composite for the adsorption and removal of levofloxacin hydrochloride antibiotic from aqueous solution. Roy. Soc. Open Sci. 2020, 7, 200857. [Google Scholar] [CrossRef]
- Wang, J.; Chen, B.L. Adsorption and coadsorption of organic pollutants and a heavy metal by graphene oxide and reduced graphene materials. Chem. Eng. J. 2015, 281, 379–388. [Google Scholar] [CrossRef]
- Khan, A.; Wang, J.; Li, J.; Wang, X.X.; Chen, Z.S.; Alsaedi, A.; Hayat, T.; Chen, Y.T.; Wang, X.K. The role of graphene oxide and graphene oxide-based nanomaterials in the removal of pharmaceuticals from aqueous media: A review. Environ. Sci. Pollut. Res. 2017, 24, 7938–7958. [Google Scholar] [CrossRef]
- Vakili, M.; Rafatullah, M.; Salamatinia, B.; Abdullah, A.Z.; Ibrahim, M.H.; Tan, K.B.; Gholami, Z.; Amouzgar, P. Application of chitosan and its derivatives as adsorbents for dye removal from water and wastewater: A review. Carbohyd. Polym. 2014, 113, 115–130. [Google Scholar] [CrossRef]
- Vakili, M.; Deng, S.B.; Cagnetta, G.; Wang, W.; Meng, P.P.; Liu, D.C.; Yu, G. Regeneration of chitosan-based adsorbents used in heavy metal adsorption: A review. Sep. Purif. Technol. 2019, 224, 373–387. [Google Scholar] [CrossRef]
- Han, X.B.; Li, R.; Miao, P.P.; Gao, J.; Hu, G.W.; Zhao, Y.; Chen, T. Design, synthesis and adsorption evaluation of bio-based lignin/chitosan beads for congo red removal. Materials 2022, 15, 2310. [Google Scholar] [CrossRef]
- Justin, R.; Chen, B.Q. Characterization and drug release performance of biodegradable chitosan-graphene oxide nanocomposites. Carbohyd. Polym. 2014, 103, 70–80. [Google Scholar] [CrossRef]
- Bao, H.Q.; Pan, Y.Z.; Ping, Y.; Sahoo, N.G.; Wu, T.F.; Li, L.; Li, J.; Gan, L.H. Chitosan-functionalized graphene oxide as a nanocarrier for drug and gene delivery. Small 2011, 7, 1569–1578. [Google Scholar] [CrossRef]
- Rana, V.K.; Choi, M.C.; Kong, J.Y.; Kim, G.Y.; Kim, M.J.; Mishra, S.; Singh, R.P.; Ha, C.S. Synthesis and drug-delivery behavior of chitosan-functionalized graphene oxide hybrid nanosheets. Macromol. Mater. Eng. 2011, 296, 131–140. [Google Scholar] [CrossRef]
- Liu, L.; Li, C.; Bao, C.L.; Jia, Q.; Jia, Q.; Xiao, P.F.; Liu, X.T.; Zhang, Q.P. Preparation and characterization of chitosan/graphene oxide composites for the adsorption of Au(III) and Pd(II). Talanta 2012, 93, 350–357. [Google Scholar] [CrossRef] [PubMed]
- Wu, K.K.; Liu, X.Y.; Li, Z.T.; Jiao, Y.P.; Zhou, C.R. Fabrication of chitosan/graphene oxide composite aerogel microspheres with high bilirubin removal performance. Mater. Sci. Eng. C 2020, 106, 110162. [Google Scholar] [CrossRef] [PubMed]
- Chen, Y.P.; Chen, L.B.; Bai, H.; Li, L. Graphene oxide-chitosan composite hydrogels as broad-spectrum adsorbents for water purification. J. Mater. Chem. A 2013, 1, 1992. [Google Scholar] [CrossRef]
- Sabzevari, M.; Cree, D.E.; Wilson, L.D. Graphene oxide-chitosan composite material for treatment of a model dye effluent. ACS Omega 2018, 3, 13045–13054. [Google Scholar] [CrossRef]
- Zhang, C.L.; Chen, Z.Z.; Guo, W.; Zhu, C.W.; Zou, Y.J. Simple fabrication of chitosan/graphene nanoplates composite spheres for efficient adsorption of acid dyes from aqueous solution. Int. J. Biol. Macromol. 2018, 112, 1048–1054. [Google Scholar] [CrossRef]
- Ye, N.S.; Xie, Y.L.; Shi, P.Z.; Gao, T.; Ma, J.C. Synthesis of magnetite/graphene oxide/chitosan composite and its application for protein adsorption. Mater. Sci. Eng. C 2014, 45, 8–14. [Google Scholar] [CrossRef]
- Chen, T.; Liu, H.C.; Gao, J.; Hu, G.W.; Zhao, Y.; Tang, X.Q.; Han, X.B. Efficient removal of methylene blue by bio-based sodium alginate/lignin composite hydrogel beads. Polymers 2022, 14, 2917. [Google Scholar] [CrossRef]
- Gao, J.; Li, Z.Z.; Wang, Z.W.; Chen, T.; Hu, G.W.; Zhao, Y.; Han, X.B. Facile synthesis of sustainable tannin/sodium alginate composite hydrogel beads for efficient removal of methylene blue. Gels 2022, 8, 486. [Google Scholar] [CrossRef]
- Feng, W.J.; Wang, Z.K. Shear-thinning and self-healing chitosan-graphene oxide hydrogel for hemostasis and wound healing. Carbohyd. Polym. 2022, 294, 119824. [Google Scholar] [CrossRef]
- Gu, F.; Geng, J.; Li, M.L.; Chang, J.M.; Cui, Y. Synthesis of chitosan-ignosulfonate composite as an adsorbent for dyes and metal ions removal from wastewater. ACS Omega 2019, 4, 21421–21430. [Google Scholar] [CrossRef]
- Nagireddi, S.; Katiyar, V.; Uppaluri, R. Pd(II) adsorption characteristics of glutaraldehyde cross-linked chitosan copolymer resin. Int. J. Biol. Macromol. 2017, 94, 72–84. [Google Scholar] [CrossRef]
- Bui, T.H.; Lee, W.; Jeon, S.B.; Kim, K.W.; Lee, Y. Enhanced gold(III) adsorption using glutaraldehyde-crosslinked chitosan beads: Effect of crosslinking degree on adsorption selectivity, capacity, and mechanism. Sep. Purif. Technol. 2020, 248, 116989. [Google Scholar] [CrossRef]
- Mohammadsalih, Z.G.; Inkson, B.J.; Chen, B.Q. Structure and properties of polystyrene-co-acrylonitrile/graphene oxide nanocomposites. J. Compos. Sci. 2023, 7, 225. [Google Scholar] [CrossRef]
- Wang, Z.R.; Jang, H.M. Comparative study on characteristics and mechanism of levofloxacin adsorption on swine manure biochar. Bioresource Technol. 2022, 351, 127025. [Google Scholar] [CrossRef]
- Alfuraydi, R.T.; Harby, N.F.; Alminderej, F.M.; Elmehbad, N.Y.; Mohamed, N.A. Poly(vinyl alcohol) hydrogels boosted with cross-linked chitosan and silver nanoparticles for efficient adsorption of congo red and crystal violet dyes. Gels 2023, 9, 882. [Google Scholar] [CrossRef]
- Mendizabal, E.; Donato, N.R.; Gastinel, C.F.J.; Navarro, I.P.V. Removal of arsenate by fixed-bed columns using chitosan-magnetite hydrogel beads and chitosan hydrogel beads: Effect of the operating conditions on column efficiency. Gels 2023, 9, 825. [Google Scholar] [CrossRef]
- Sulaiman, N.S.; Amini, M.H.M.; Danish, M.; Sulaiman, O.; Hashim, R.; Demirel, G.K. Characterization and ofloxacin adsorption studies of chemically modified activated carbon from cassava stem. Materials 2022, 15, 5117. [Google Scholar] [CrossRef]
- Zhu, C.M.; Lang, Y.H.; Liu, B.; Zhao, H.X. Ofloxacin adsorption on chitosan/biochar composite: Kinetics, isotherms, and effects of solution chemistry. Polycycl. Aromat. Comp. 2019, 39, 287–297. [Google Scholar] [CrossRef]
- Miao, P.P.; Sang, Y.N.; Gao, J.; Han, X.B.; Zhao, Y.; Chen, T. Adsorption and recognition property of tyrosine molecularly imprinted polymer prepared via electron beam irradiation. Polymers 2023, 15, 4048. [Google Scholar] [CrossRef]
- Aljar, M.A.A.; Rashdan, S.; Almutawah, A.; Fattah, A.A. Synthesis and characterization of biodegradable poly(vinyl alcohol)-chitosan/cellulose hydrogel beads for efficient removal of Pb(II), Cd(II), Zn(II), and Co(II) from water. Gels 2023, 9, 328. [Google Scholar] [CrossRef]
- Men, J.Y.; Shi, H.X.; Dong, C.Y.; Yang, Y.Y.; Han, Y.R.; Wang, R.X.; Zhang, Y.Q.; Zhao, T.; Li, J. Preparation of poly(sodium 4-styrene sulfonate) grafted magnetic chitosan microspheres for adsorption of cationic dyes. Int. J. Biol. Macromol. 2021, 181, 810–823. [Google Scholar] [CrossRef]
- Du, J.F.; Wu, Y.Z.; Dong, Z.; Zhang, M.M.; Yang, X.; Xiong, H.H.; Zhao, L. Single and competitive adsorption between Indigo Carmine and Methyl orange dyes on quaternized kapok fiber adsorbent prepared by radiation technique. Sep. Purif. Technol. 2022, 292, 121103. [Google Scholar] [CrossRef]
- Zhang, H.F.; Dang, Q.F.; Liu, C.S.; Yu, D.J.; Wang, Y.; Pu, X.Y.; Liu, Y.; Liang, Y.Y.; Cha, D.S. Fabrication of methyl acrylate and tetraethylenepentamine grafted magnetic chitosan microparticles for capture of Cd(II) from aqueous solutions. J. Hazard. Mater. 2019, 366, 2346–2357. [Google Scholar] [CrossRef] [PubMed]
- Liu, Y.; Xu, H. Equilibrium, thermodynamics and mechanisms of Ni2+ biosorption by aerobic granules. Biochem. Eng. J. 2007, 35, 174–182. [Google Scholar] [CrossRef]
- Liu, Y.; Liu, Y.J. Biosorption isotherms, kinetics and thermodynamics. Sep. Purif. Technol. 2008, 61, 229–242. [Google Scholar] [CrossRef]
- Liu, Y. Is the free energy change of adsorption correctly calculated? J. Chem. Eng. Data 2009, 54, 1981–1985. [Google Scholar] [CrossRef]
- Lima, E.C.; Bandegharaei, A.H.; Pirajan, J.M.; Anastopoulos, I. A critical review of the estimation of the thermodynamic parameters on adsorption equilibria. Wrong use of equilibrium constant in the Van’t Hoof equation for calculation of thermodynamic parameters of adsorption. J. Mol. Liq. 2019, 273, 425–434. [Google Scholar] [CrossRef]
- Chelu, M.; Popa, M.; Moreno, J.C.; Leonties, A.R.; Ozon, E.A.; Cusu, J.P.; Surdu, V.A.; Aricov, L.; Musuc, A.M. Green synthesis of hydrogel-based adsorbent material for the effective removal of diclofenac sodium from wastewater. Gels 2023, 9, 454. [Google Scholar] [CrossRef]
- Sarbani, N.M.M.; Hidayat, E.; Naito, K.; Mitoma, Y.; Harada, H. Cr (VI) and Pb (II) removal using crosslinking magnetite- carboxymethyl cellulose-chitosan hydrogel beads. Gels 2023, 9, 612. [Google Scholar] [CrossRef]
- Simonin, J.P. On the comparison of pseudo-first order and pseudo-second order rate laws in the modeling of adsorption kinetics. Chem. Eng. J. 2016, 300, 254–263. [Google Scholar] [CrossRef]
- Wu, F.C.; Tseng, R.L.; Juang, R.S. Characteristics of Elovich equation used for the analysis of adsorption kinetics in dye-chitosan systems. Chem. Eng. J. 2009, 150, 366–373. [Google Scholar] [CrossRef]
- Wu, F.C.; Tseng, R.L.; Juang, R.S. Initial behavior of intraparticle diffusion model used in the description of adsorption kinetics. Chem. Eng. J. 2009, 153, 1–8. [Google Scholar] [CrossRef]









| Temperature (K) | K0 | ΔG0 (kJ/mol) | ΔH0 (kJ/mol) | ΔS0 (J/mol·k) |
|---|---|---|---|---|
| 298 | 0.21 | −0.51 | −2.21 | 5.8 |
| 308 | 0.14 | −0.36 | - | - |
| 318 | 0.13 | −0.34 | - | - |
| 328 | 0.12 | −0.33 | - | - |
| Kinetic Models | Coefficients | 150 mg/L | 200 mg/L | 250 mg/L |
|---|---|---|---|---|
| PFO | qe,cal (mg/g) | 28.22 | 34.12 | 35.16 |
| k1 (min−1) | 1.51 × 10−2 | 1.31 × 10−2 | 1.12 × 10−2 | |
| R2 | 0.9885 | 0.9978 | 0.9933 | |
| PSO | qe,cal (mg/g) | 34.84 | 39.31 | 43.05 |
| k2 (g/mg min) | 3.79 × 10−4 | 4.00 × 10−4 | 4.50 × 10−4 | |
| R2 | 0.9851 | 0.9630 | 0.9880 | |
| Elovich | A (mg/g min) | 1.1959 | 1.2502 | 1.8356 |
| Β (g/min) | 0.1437 | 0.1138 | 0.1089 | |
| R2 | 0.9688 | 0.9732 | 0.9883 | |
| IPD | Kp (g/kg min1/2) | 1.9528 | 2.4548 | 0.5350 |
| C (g/kg) | −1.5524 | −3.5384 | −0.2857 | |
| R2 | 0.9758 | 0.9720 | 0.9642 |
Disclaimer/Publisher’s Note: The statements, opinions and data contained in all publications are solely those of the individual author(s) and contributor(s) and not of MDPI and/or the editor(s). MDPI and/or the editor(s) disclaim responsibility for any injury to people or property resulting from any ideas, methods, instructions or products referred to in the content. |
© 2024 by the authors. Licensee MDPI, Basel, Switzerland. This article is an open access article distributed under the terms and conditions of the Creative Commons Attribution (CC BY) license (https://creativecommons.org/licenses/by/4.0/).
Share and Cite
Miao, P.; Gao, J.; Han, X.; Zhao, Y.; Chen, T. Adsorption of Levofloxacin onto Graphene Oxide/Chitosan Composite Aerogel Microspheres. Gels 2024, 10, 81. https://doi.org/10.3390/gels10010081
Miao P, Gao J, Han X, Zhao Y, Chen T. Adsorption of Levofloxacin onto Graphene Oxide/Chitosan Composite Aerogel Microspheres. Gels. 2024; 10(1):81. https://doi.org/10.3390/gels10010081
Chicago/Turabian StyleMiao, Pengpai, Jie Gao, Xiaobing Han, Yuan Zhao, and Tao Chen. 2024. "Adsorption of Levofloxacin onto Graphene Oxide/Chitosan Composite Aerogel Microspheres" Gels 10, no. 1: 81. https://doi.org/10.3390/gels10010081
APA StyleMiao, P., Gao, J., Han, X., Zhao, Y., & Chen, T. (2024). Adsorption of Levofloxacin onto Graphene Oxide/Chitosan Composite Aerogel Microspheres. Gels, 10(1), 81. https://doi.org/10.3390/gels10010081

