Biopolymers-Based Macrogels with Applications in the Food Industry: Capsules with Berry Juice for Functional Food Products
Abstract
1. Introduction
2. Results and Discussion
2.1. Antioxidant Activity of Yogurt Samples
2.2. Total Phenolic Content and Antioxidant Activity of Yogurt Samples
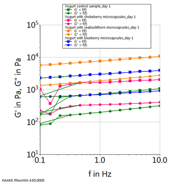
2.3. The Rheological Properties of Yogurt Samples Characterization
2.4. Sensory Evaluation
3. Conclusions and Future Perspectives
4. Materials and Methods
4.1. Materials
4.2. Development of Gel Macrocapsules and Yogurt
4.3. Color Evaluation
4.4. Capsules Diameter
4.5. Determinations of Total Phenolic Compounds (TPC) and Antioxidant Activities (DPPH—2,2-Diphenyl-1-Picrylhydrazyl and ABTS)
4.6. Assessment of the Rheological Properties of Yogurt Samples
4.7. Sensory Evaluation
- Goal: Evaluate the overall sensorial quality of yogurt samples.
- Criteria: Different sensory attributes such as aspect, color, texture, smell, and taste.
- Alternatives: Three yogurt samples being analyzed: P1 (aronia), P2 (sea buckthorn), and P3 (chokeberries).
Author Contributions
Funding
Institutional Review Board Statement
Informed Consent Statement
Data Availability Statement
Acknowledgments
Conflicts of Interest
References
- Nedovic, V.; Kalusevic, A.; Manojlovic, V.; Levic, S.; Bugarski, B. An overview of encapsulation technologies for food applications. Procedia Food Sci. 2011, 1, 1806–1815. [Google Scholar] [CrossRef]
- Puscaselu, R.G.; Lobiuc, A.; Dimian, M.; Covasa, M. Alginate: From food industry to biomedical applications and management of metabolic disorders. Polymers 2020, 12, 2417. [Google Scholar] [CrossRef] [PubMed]
- Adinepour, F.; Pouramin, S.; Rashidinejad, A.; Jafari, S.M. Fortification/enrichment of milk and dairy products by encapsulated bioactive ingredients. Food Res. Int. 2022, 157, 111212. [Google Scholar] [CrossRef] [PubMed]
- Ephrem, E.; Najjar, A.; Charcosset, C.; Greige-Gerges, H. Encapsulation of natural active compounds, enzymes, and probiotics for fruit juice fortification, preservation, and processing: An overview. J. Funct. Foods 2018, 48, 65–84. [Google Scholar] [CrossRef]
- Kaur, R.; Kaur, L. Encapsulated natural antimicrobials: A promising way to reduce microbial growth in different food systems. Food Control. 2021, 123, 107678. [Google Scholar] [CrossRef]
- de Boer, F.Y.; Imhof, A.; Velikov, K.P. Encapsulation of colorants by natural polymers for food applications. Color. Technol. 2019, 135, 183–194. [Google Scholar] [CrossRef]
- Li, H.; Zhang, T.; Li, C.; Zheng, S.; Li, H.; Yu, J. Development of a microencapsulated synbiotic product and its application in yoghurt. LWT 2020, 122, 109033. [Google Scholar] [CrossRef]
- Silva, M.P.; da S. Mesquita, M.; Fernanda, F.T.; Thomazini, M.; Favaro-Trindade, C.S. Fortification of yoghurt drink with microcapsules loaded with Lacticaseibacillus paracasei BGP-1 and guaraná seed extract. Int. Dairy J. 2022, 125, 105230. [Google Scholar] [CrossRef]
- Khair, A.G.A.-E.; Soliman, T.N.; Hashim, A.F. Development of composite nanoemulsion gels as carriers for co-delivery of wheat germ oil and probiotics and their incorporation in yoghurt. Food Biosci. 2023, 55, 103001. [Google Scholar] [CrossRef]
- Popescu, L.; Cojocari, D.; Ghendov-Mosanu, A.; Lung, I.; Soran, M.L.; Opriş, O.; Sturza, R. The Effect of Aromatic Plant Extracts Encapsulated in Alginate on the Bioactivity, Textural Characteristics and Shelf Life of Yogurt. Antioxidants 2023, 12, 893. [Google Scholar] [CrossRef]
- De Figueiredo Paes Barretto, F.J.; Clemente, H.A.; Santana, A.L.B.D.; da Silva Vasconcelo, M.A. Stability of encapsulated and non-encapsulated anthocyanin in yogurt produced with natural dye obtained from Solanum melongena L. Bark. Rev. Bras. Frutic. 2020, 42, e-137. [Google Scholar] [CrossRef]
- Acevedo-Fani, A.; Ochoa-Grimaldo, A.; Loveday, S.M.; Singh, H. Digestive dynamics of yoghurt structure impacting the release and bioaccessibility of the flavonoid rutin. Food Hydrocoll. 2021, 111, 106215. [Google Scholar] [CrossRef]
- Diep, T.T.; Yoo, M.J.Y.; Rush, E. Tamarillo Polyphenols Encapsulated-Cubosome: Formation, Characterization, Stability during Digestion and Application in Yoghurt. Antioxidants 2022, 11, 520. [Google Scholar] [CrossRef]
- Robert, P.; Fredes, C. The Encapsulation of Anthocyanins from Berry-Type Fruits. Trends in Foods. Molecules 2015, 20, 5875–5888. [Google Scholar] [CrossRef] [PubMed]
- Šeregelj, V.; Pezo, L.; Šovljanski, O.; Lević, S.; Nedović, V.; Markov, S.; Tomić, A.; Čanadanović-Brunet, J.; Vulić, J.; Šaponjac, V.T.; et al. New concept of fortified yogurt formulation with encapsulated carrot waste extract. LWT 2021, 138, 110732. [Google Scholar] [CrossRef]
- Šeregelj, V.; Šaponjac, V.T.; Lević, S.; Kalušević, A.; Ćetković, G.; Čanadanović-Brunet, J.; Nedović, V.; Stajčić, S.; Vulić, J.; Vidaković, A. Application of encapsulated natural bioactive compounds from red pepper waste in yogurt. J. Microencapsul. 2019, 36, 704–714. [Google Scholar] [CrossRef]
- Siró, I.; Kápolna, E.; Kápolna, B.; Lugasi, A. Functional food. Product development, marketing and consumer acceptance—A review. Appetite 2008, 51, 456–467. [Google Scholar] [CrossRef]
- de Carvalho, N.M.; Oliveira, D.L.; Costa, C.M.; Pintado, M.E.; Madureira, A.R. Strategies to Assess the Impact of Sustainable Functional Food Ingredients on Gut Microbiota. Foods 2023, 12, 2209. [Google Scholar] [CrossRef]
- Cosme, F.; Inês, A.; Vilela, A. Consumer’s acceptability and health consciousness of probiotic and prebiotic of non-dairy products. Food Res. Int. 2022, 151, 110842. [Google Scholar] [CrossRef]
- Chrubasik, C.; Li, G.; Chrubasik, S. The clinical effectiveness of chokeberry: A systematic review. Phytother. Res. 2010, 24, 1107–1114. [Google Scholar] [CrossRef]
- Sidor, A.; Drożdżyńska, A.; Gramza-Michałowska, A. Black chokeberry (Aronia melanocarpa) and its products as potential health-promoting factors—An overview. Trends Food Sci. Technol. 2019, 89, 45–60. [Google Scholar] [CrossRef]
- Zhang, Y.; Zhao, Y.; Liu, X.; Chen, X.; Ding, C.; Dong, L.; Zhang, J.; Sun, S.; Ding, Q.; Khatoom, S.; et al. Chokeberry (Aronia melanocarpa) as a new functional food relationship with health: An overview. J. Future Foods 2021, 1, 168–178. [Google Scholar] [CrossRef]
- Thi, N.D.; Hwang, E.S. Effects of drying methods on contents of bioactive compounds and antioxidant activities of black chokeberries (Aronia melanocarpa). Food Sci. Biotechnol. 2016, 25, 55–61. [Google Scholar] [CrossRef]
- Hawkins, J.; Hires, C.; Baker, C.; Keenan, L.; Bush, M. Daily supplementation with Aronia melanocarpa (chokeberry) reduces blood pressure and cholesterol: A meta analysis of controlled clinical trials. J. Diet. Suppl. 2021, 18, 517–530. [Google Scholar] [CrossRef] [PubMed]
- Gill, N.K.; Rios, D.; Osorio-Camacena, E.; Mojica, B.E.; Kaur, B.; Soderstrom, M.A.; Gonzalez, M.; Plaat, B.; Poblete, C.; Kaur, N.; et al. Anticancer Effects of Extracts from Three Different Chokeberry Species. Nutr. Cancer 2021, 73, 1168–1174. [Google Scholar] [CrossRef] [PubMed]
- Kim, D.-H.; Lim, H.-W.; Kim, S.-H.; Lee, J.-M.; Chon, J.-W.; Song, K.-Y.; Bae, D.; Kim, J.; Kim, H.; Seo, K.-H. Antibacterial Activity of Crude Aronia melanocarpa (Black Chokeberry) Extracts against Bacillus cereus, Staphylococcus aureus, Cronobacter sakazakii, and Salmonella Enteritidis in Various Dairy Foods: Preliminary Study. J. Dairy Sci. Biotechnol. 2018, 36, 155–163. [Google Scholar] [CrossRef]
- Sidor, A.; Gramza-Michałowska, A. Black Chokeberry Aronia melanocarpa L.—A Qualitative Composition, Phenolic Profile and Antioxidant Potential. Molecules 2019, 24, 3710. [Google Scholar] [CrossRef]
- Dong, K.; Fernando, W.M.A.D.B.; Durham, R.; Stockmann, R.; Jayasena, V. Nutritional Value, Health-promoting Benefits and Food Application of Sea Buckthorn. Food Rev. Int. 2023, 39, 2122–2137. [Google Scholar] [CrossRef]
- Tereshchuk, L.V.; Starovoitova, K.V.; Vyushinsky, P.A.; Zagorodnikov, K.A. The Use of Sea Buckthorn Processing Products in the Creation of a Functional Biologically Active Food Emulsion. Foods 2022, 11, 2226. [Google Scholar] [CrossRef]
- Feng, K.; Feng, X.; Tan, W.; Zheng, Q.; Zhong, W.; Liao, C.; Liu, Y.; Li, S.; Hu, W. Development of a food preservative from sea buckthorn together with chitosan: Application in and characterization of fresh-cut lettuce storage. Front. Microbiol. 2023, 14, 1080365. [Google Scholar] [CrossRef]
- Michel, T.; Destandau, E.; Le Floch, G.; Lucchesi, M.E.; Elfakir, C. Antimicrobial, antioxidant and phytochemical investigations of sea buckthorn (Hippophaë rhamnoides L.) leaf, stem, root and seed. Food Chem. 2012, 131, 754–760. [Google Scholar] [CrossRef]
- Wang, Z.; Zhao, F.; Wei, P.; Chai, X.; Hou, G.; Meng, Q. Phytochemistry, health benefits, and food applications of sea buckthorn (Hippophae rhamnoides L.): A comprehensive review. Front. Nutr. 2022, 9, 1036295. [Google Scholar] [CrossRef] [PubMed]
- Wani, T.A.; Wani, S.M.; Ahmad, M.; Ahmad, M.; Gani, A.; Masoodi, F.A. Bioactive profile, health benefits and safety evaluation of sea buckthorn (Hippophae rhamnoides L.): A review. Cogent Food Agric. 2016, 2, 1128519. [Google Scholar] [CrossRef]
- Wang, K.; Xu, Z.; Liao, X. Bioactive compounds, health benefits and functional food products of sea buckthorn: A review. Crit. Rev. Food Sci. Nutr. 2022, 62, 6761–6782. [Google Scholar] [CrossRef] [PubMed]
- Xu, Y.J.; Kaur, M.; Dhillon, R.S.; Tappia, P.S.; Dhalla, N.S. Health benefits of sea buckthorn for the prevention of cardiovascular diseases. J. Funct. Foods 2011, 3, 2–12. [Google Scholar] [CrossRef]
- Dupak, R.; Hrnkova, J.; Simonova, N.; Kovac, J.; Ivanisova, E.; Kalafova, A.; Schneidgenova, M.; Prnova, M.S.; Brindza, J.; Tokarova, K.; et al. The consumption of sea buckthorn (Hippophae rhamnoides L.) effectively alleviates type 2 diabetes symptoms in spontaneous diabetic rats. Res. Vet. Sci. 2022, 152, 261–269. [Google Scholar] [CrossRef]
- Gâtlan, A.M.; Gutt, G. Sea Buckthorn in Plant Based Diets. An Analytical Approach of Sea Buckthorn Fruits Composition: Nutritional Value, Applications, and Health Benefits. Int. J. Environ. Res. Public Health 2021, 18, 8986. [Google Scholar] [CrossRef]
- Schubertová, S.; Krepsová, Z.; Janotková, L.; Potočňáková, M.; Kreps, F. Exploitation of Sea Buckthorn Fruit for Novel Fermented Foods Production: A Review. Processes 2021, 9, 749. [Google Scholar] [CrossRef]
- Sun, L.-Q.; Ding, X.-P.; Qi, J.; Yu, H.; He, S.-A.; Zhang, J.; Ge, H.-X.; Yu, B.-Y. Antioxidant anthocyanins screening through spectrum–effect relationships and DPPH-HPLC-DAD analysis on nine cultivars of introduced rabbiteye blueberry in China. Food Chem. 2012, 132, 759–765. [Google Scholar] [CrossRef]
- Pap, N.; Fidelis, M.; Azevedo, L.; do Carmo, M.A.V.; Wang, D.; Mocan, A.; Pereira, E.P.R.; Xavier-Santos, D.; Sant’Ana, A.S.; Yang, B.; et al. Berry polyphenols and human health: Evidence of antioxidant, anti-inflammatory, microbiota modulation, and cell-protecting effects. Curr. Opin. Food Sci. 2021, 42, 167–186. [Google Scholar] [CrossRef]
- Popović, T.; Šarić, B.; Martačić, J.D.; Arsić, A.; Jovanov, P.; Stokić, E.; Mišan, A.; Mandić, A. Potential health benefits of blueberry and raspberry pomace as functional food ingredients: Dietetic intervention study on healthy women volunteers. Front. Nutr. 2022, 9, 969996. [Google Scholar] [CrossRef]
- Zhou, L.; Xie, M.; Yang, F.; Liu, J. Antioxidant activity of high purity blueberry anthocyanins and the effects on human intestinal microbiota. LWT 2020, 117, 108621. [Google Scholar] [CrossRef]
- Jiao, X.; Wang, Y.; Lin, Y.; Lang, Y.; Li, E.; Zhang, X.; Zhang, Q.; Feng, Y.; Meng, X.; Li, B. Blueberry polyphenols extract as a potential prebiotic with anti-obesity effects on C57BL/6 J mice by modulating the gut microbiota. J. Nutr. Biochem. 2019, 64, 88–100. [Google Scholar] [CrossRef]
- Whyte, A.R.; Williams, C.M. Effects of a single dose of a flavonoid-rich blueberry drink on memory in 8 to 10 y old children. Nutrition 2015, 31, 531–534. [Google Scholar] [CrossRef] [PubMed]
- Tran, P.H.L.; Tran, T.T.D. Blueberry Supplementation in Neuronal Health and Protective Technologies for Efficient Delivery of Blueberry Anthocyanins. Biomolecules 2021, 11, 102. [Google Scholar] [CrossRef] [PubMed]
- Wu, Y.; Han, T.; Yang, H.; Lyu, L.; Li, W.; Wu, W. Known and potential health benefits and mechanisms of blueberry anthocyanins: A review. Food Biosci. 2023, 55, 103050. [Google Scholar] [CrossRef]
- Herrera-Balandrano, D.D.; Chai, Z.; Beta, T.; Feng, J.; Huang, W. Blueberry anthocyanins: An updated review on approaches to enhancing their bioavailability. Trends Food Sci. Technol. 2021, 118, 808–821. [Google Scholar] [CrossRef]
- Flores, F.P.; Singh, R.K.; Kerr, W.L.; Phillips, D.R.; Kong, F. In vitro release properties of encapsulated blueberry (Vaccinium ashei) extracts. Food Chem. 2015, 168, 225–232. [Google Scholar] [CrossRef]
- da Rosa, J.R.; Nunes, G.L.; Motta, M.H.; Fortes, J.P.; Weis, G.C.C.; Hecktheuer, L.H.R.; Muller, E.I.; de Menezes, C.R.; da Rosa, C.S. Microencapsulation of anthocyanin compounds extracted from blueberry (Vaccinium spp.) by spray drying: Characterization, stability and simulated gastrointestinal conditions. Food Hydrocoll. 2019, 89, 742–748. [Google Scholar] [CrossRef]
- Kazan, A.; Sevimli-Gur, C.; Yesil-Celiktas, O.; Dunford, N.T. In vitro tumor suppression properties of blueberry extracts in liquid and encapsulated forms. Eur. Food Res. Technol. 2017, 243, 1057–1063. [Google Scholar] [CrossRef]
- Sivapragasam, N.; Neelakandan, N.; Rupasinghe, H.P.V. Potential health benefits of fermented blueberry: A review of current scientific evidence. Trends Food Sci. Technol. 2023, 132, 103–120. [Google Scholar] [CrossRef]
- Yan, Y.; Zhang, F.; Chai, Z.; Liu, M.; Battino, M.; Meng, X. Mixed fermentation of blueberry pomace with L. rhamnosus GG and L. plantarum-1: Enhance the active ingredient, antioxidant activity and health-promoting benefits. Food Chem. Toxicol. 2019, 131, 110541. [Google Scholar] [CrossRef] [PubMed]
- Neuenfeldt, N.H.; de Moraes, D.P.; de Deus, C.; Barcia, M.T.; de Menezes, C.R. Blueberry Phenolic Composition and Improved Stability by Microencapsulation. Food Bioprocess Technol. 2022, 15, 750–767. [Google Scholar] [CrossRef]
- Dabija, A.; Codină, G.G.; Ropciuc, S.; Stroe, S.G. Studies regarding the production of a novel yogurt using some local plant raw materials. J. Food Process. Preserv. 2019, 43, 13826. [Google Scholar] [CrossRef]
- Tifrea, A.; Tiţa, O.; Máthé, E.; Ketney, O. Physicochemical parameters of probiotic yoghurt with bioactive natural products from sea buckthorn. Acta Univ. Cibiniensis Ser. E Food Technol. 2013, 17, 27–38. [Google Scholar] [CrossRef]
- Gunenc, A.; Khoury, C.; Legault, C.; Mirrashed, H.; Rijke, J.; Hosseinian, F. Seabuckthorn as a novel prebiotic source improves probiotic viability in yogurt. LWT Food Sci. Technol. 2016, 66, 490–495. [Google Scholar] [CrossRef]
- Brodziak, A.; Król, J.; Matwijczuk, A.; Czernecki, T.; Glibowski, P.; Wlazło, Ł.; Litwińczuk, A. Effect of Sea Buckthorn (Hippophae rhamnoides L.) Mousse on Properties of Probiotic Yoghurt. Appl. Sci. 2021, 11, 545. [Google Scholar] [CrossRef]
- Najgebauer-Lejko, D.; Liszka, K.; Tabaszewska, M.; Domagała, J. Probiotic Yoghurts with Sea Buckthorn, Elderberry, and Sloe Fruit Purees. Molecules 2021, 26, 2345. [Google Scholar] [CrossRef]
- Bidchol, A.M.; Wilfred, A.; Abhijna, P.; Harish, R. Free Radical Scavenging Activity of Aqueous and Ethanolic Extract of Brassica oleracea L. var. italica. Food Bioproc. Tech. 2011, 4, 1137–1143. [Google Scholar] [CrossRef]
- Olas, B. Berry phenolic antioxidants—Implications for human health? Front. Pharmacol. 2018, 9, 320038. [Google Scholar] [CrossRef]
- Muniandy, P.; Shori, A.B.; Baba, A.S. Influence of green, white and black tea addition on the antioxidant activity of probiotic yogurt during refrigerated storage. Food Packag. Shelf Life 2016, 8, 1–8. [Google Scholar] [CrossRef]
- Okur, O.D. Determination of antioxidant activity and total phenolic contents in yogurt added with black cumin (Nigella sativa L.) honey. Ovidius Univ. An. Chem. 2021, 32, 1–5. [Google Scholar] [CrossRef]
- Raikos, V.; Pirie, L.P.; Gürel, S.; Hayes, H.E. Encapsulation of Vitamin E in Yogurt-Based Beverage Emulsions: Influence of Bulk Pasteurization and Chilled Storage on Physicochemical Stability and Starter Culture Viability. Molecules 2021, 26, 1504. [Google Scholar] [CrossRef] [PubMed]
- Singleton, V.L.; Orthofer, R.; Lamuela-Raventós, R.M. Analysis of total phenols and other oxidation substrates and antioxidants by means of Folin-Ciocalteu reagent. Met. Enzym. 2004, 299, 152–178. [Google Scholar] [CrossRef]
- Kennas, A.; Amellal-Chibane, H.; Kessal, F.; Halladj, F. Effect of pomegranate peel and honey fortification on physicochemical, physical, microbiological and antioxidant properties of yoghurt powder. J. Saudi Heart Assoc. 2018, 19, 99–108. [Google Scholar] [CrossRef]
- Opitz, S.E.W.; Smrke, S.; Goodman, B.A.; Yeretzian, C. Chapter 26—Methodology for the Measurement of Antioxidant Capacity of Coffee: A Validated Platform Composed of Three Complementary Antioxidant Assays. In Processing and Impact on Antioxidants in Beverages; Academic Press: Cambridge, MA, USA, 2014; pp. 253–264. ISBN 9780124047389. [Google Scholar] [CrossRef]
- Kim, S.-H.; Chon, J.-W.; Song, K.-Y.; Jeong, D.; Seo, K.-H. Sensory Attributes of Market Milk, Yogurt, and Kefir Supplemented with Various Concentrations of Aronia melanocarpa (black chokeberry) Powder: A Preliminary Study. J. Dairy Sci. Biotechnol. 2019, 37, 108–114. [Google Scholar] [CrossRef]
- Laaksonen, O.; Knaapila, A.; Niva, T.; Deegan, K.C.; Sandell, M. Sensory properties and consumer characteristics contributing to liking of berries. Food Qual. Prefer. 2016, 53, 117–126. [Google Scholar] [CrossRef]
- Gheorghita, R.; Iatcu, O.C.; Petcu, L.; Dabija, A. Development and characterization of a novel food product—Yoghurt with grapefruit essential oil capsules. Sci. Study Res. Chem. Chem. Eng. Biotech. 2023, 24, 329–336. [Google Scholar]
- Beetsma, J. The CIELAB L*a*b* System—The Method to Quantify Colors of Coatings. Available online: https://www.ulprospector.com/knowledge/10780/pc-the-cielab-lab-system-the-method-to-quantify-colors-of-coatings/ (accessed on 10 January 2024).
- Saberi, M.; Saremnezhad, S.; Soltani, M.; Faraji, A. Functional stirred yogurt manufactured using co-microencapsulated or free forms of grape pomace and flaxseed oil as bioactive ingredients: Physicochemical, antioxidant, rheological, microstructural, and sensory properties. Food Sci. Nutr. 2023, 21, 3989–4001. [Google Scholar] [CrossRef]
- dos Santos, S.S.; Paraíso, C.M.; Romanini, E.B.; Correa, V.G.; Peralta, R.M.; da Costa, S.C.; Junior, O.d.O.S.; Visentainer, J.V.; Reis, M.H.M.; Madrona, G.S. Bioavailability of blackberry pomace microcapsules by using different techniques: An approach for yogurt application. Innov. Food Sci. Emerg. Technol. 2022, 81, 103111. [Google Scholar] [CrossRef]
- Dabija, A.; Codină, G.G.; Gâtlan, A.-M.; Sănduleac, E.T.; Rusu, L. Effects of some vegetable proteins addition on yogurt quality. Sci. Study Res. Chem. Chem. Eng. Biotechnol. Food Ind. 2018, 19, 181–192. Available online: https://doaj.org/article/81642b004c9642a49dfea3df5e7a5cc4 (accessed on 12 December 2023).
- Sidor, A.M.; Gutt, G.; Dabija, A.; Sanduleac, E.T.; Sidor, V. The effect of yogurt enrichment with sea buckthorn powder on its sensory acceptance, rheological, textural and physicochemical properties. Int. Multidiscip. Sci. GeoConference Surv. Geol. Min. Ecol. Manag. SGEM 2017, 17, 1117–1128. [Google Scholar] [CrossRef]
- Dabija, A.; Ciocan, M.E.; Chetrariu, A.; Dabija, D. Research on the use of the AHP method in the sensory analysis of buckwheat and sorghum beer. Sci. Study Research. Chem. Chem. Eng. Biotechnol. Food Ind. 2023, 24, 291–300. [Google Scholar]
- Baviera-Puig, A.; García-Melón, M.; López-Cortés, I.; Ortolá, M.D. Combining sensory panels with Analytic Hierarchy Process (AHP) to assess nectarine and peach quality. Cogent Food Agric. 2023, 9, 2161184. [Google Scholar] [CrossRef]
- Gurmeric, V.E.; Dogan, M.; Toker, O.S.; Senyigit, E.; Ersoz, N.B. Application of Different Multi-criteria Decision Techniques to Determine Optimum Flavour of Prebiotic Pudding Based on Sensory Analyses. Food Bioproc. Tech. 2013, 6, 2844–2859. [Google Scholar] [CrossRef]
- Ramírez-Rivera, E.D.J.; Morales-Carrera, U.A.; Limón-Rivera, R.; Castillo-Martínez, S.I.; Hernández-Salinas, G.; Ramírez-Sucre, M.O.; Herrera-Corredor, J.A. Analytic hierarchy process as an alternative for the selection of vocabularies for sensory characterization and consumer preference. J. Sens. Stud. 2020, 35, e12547. [Google Scholar] [CrossRef]
- Mogbojur, A.O.; Olanrewaju, O.A.; Ogunleye, T.O. Evaluation of inventory management practice in food processing industries in Lagos: Analytical hierarchy process approach. Niger. J. Technol. 2022, 41, 236–246. [Google Scholar] [CrossRef]


















| Chokeberry Capsules | Sea Buckthorn Capsules | Blueberry Capsules | p1* | p2** | p3*** | |
|---|---|---|---|---|---|---|
| L* | 28.89 ± 0.31 | 54.44 ± 0.32 | 28.65 ± 0.29 | <0.001 | 0.726 | <0.001 |
| a* | 1.53 ± 0.03 | 13.17 ± 0.08 | 1.21 ± 0.22 | <0.001 | 0.303 | <0.001 |
| b* | 0.82 ± 0.06 | 0.79 ± 0.14 | 0.78 ± 0.05 | 0.934 | 0.921 | 0.999 |
| Diameter, mm | 3.12 ± 0.33 | 3.27 ± 0.25 | 3.08 ± 0.03 | <0.001 | 0.137 | <0.001 |
| P1 | P2 | P3 | C | p1* | p2** | p3*** | |
|---|---|---|---|---|---|---|---|
| pH | |||||||
| Day 1 | 4.56 ± 0.02 | 4.52 ± 0.02 | 4.38 ± 0.02 | 4.34 ± 0.01 | <0.001 | <0.001 | 0.463 |
| Day 8 | 4.52 ± 0.01 | 4.50 ± 0.01 | 4.40 ± 0.01 | 4.32 ± 0.01 | 0.001 | 0.002 | 0.036 |
| Day 15 | 4.45 ± 0.01 | 4.49 ± 0.01 | 4.37 ± 0.01 | 4.31 ± 0.01 | 0.003 | <0.001 | 0.021 |
| pa | 0.172 | 0.676 | 0.983 | 0.985 | |||
| pb | 0.056 | 0.365 | 0.998 | 0.817 | |||
| pc | 0.020 | 0.865 | 0.971 | 0.996 | |||
| Syneresis, % | |||||||
| Day 1 | 47.00 ± 0.01 | 50.00 ± 0.01 | 53.50 ± 0.01 | 52.00 ± 0.01 | 0.004 | 0.070 | 0.069 |
| Day 8 | 45.00 ± 0.01 | 50.80 ± 0.01 | 51.30 ± 0.01 | 46.00 ± 0.01 | 0.288 | 0.001 | 0.001 |
| Day 15 | 44.00 ± 0.01 | 53.00 ± 0.01 | 50.50 ± 0.01 | 40.00 ± 0.01 | 0.008 | <0.001 | <0.001 |
| pa | 0.001 | 0.548 | 0.003 | <0.001 | |||
| pb | 0.002 | 0.037 | <0.001 | <0.001 | |||
| pc | 0.005 | 0.010 | 0.037 | <0.001 | |||
| Water-holding capacity, % | |||||||
| Day 1 | 31.14 ± 0.01 | 38.17 ± 0.01 | 33.75 ± 0.01 | 35.84 ± 0.01 | <0.001 | <0.001 | <0.001 |
| Day 8 | 35.17 ± 0.01 | 41.12 ± 0.01 | 31.19 ± 0.01 | 34.12 ± 0.01 | <0.001 | <0.001 | <0.001 |
| Day 15 | 38.84 ± 0.01 | 44.76 ± 0.01 | 39.04 ± 0.01 | 30.86 ± 0.01 | <0.001 | <0.001 | <0.001 |
| pa | <0.001 | <0.001 | <0.001 | <0.001 | pa | <0.001 | <0.001 |
| pb | <0.001 | <0.001 | <0.001 | <0.001 | pb | <0.001 | <0.001 |
| pc | <0.001 | <0.001 | <0.001 | <0.001 | pc | <0.001 | <0.001 |
| P1 | P2 | P3 | C | |
|---|---|---|---|---|
| L* | ||||
| Day 1 | 71.92 ± 1.93 | 77.94 ± 0.64 | 74.70 ± 0.76 | 79.71 ± 0.08 |
| Day 8 | 72.49 ± 0.29 | 78.47 ± 0.24 | 74.85 ± 0.46 | 78.74 ± 0.21 |
| Day 15 | 73.22 ± 0.06 | 78.62 ± 0.29 | 74.04 ± 0.40 | 79.17 ± 0.47 |
| a* | ||||
| Day 1 | 3.13 ± 0.24 | 1.47 ± 0.02 | 0.49 ± 0.09 | −2.45 ± 0.03 |
| Day 8 | 3.32 ± 0.13 | 1.50 ± 0.01 | 0.91 ± 0.04 | −2.51 ± 0.02 |
| Day 15 | 3.84 ± 0.02 | 1.54 ± 0.01 | 1.29 ± 0.19 | −2.52 ± 0.02 |
| b* | ||||
| Day 1 | 2.45 ± 0.19 | 8.22 ± 0.10 | 4.79 ± 0.39 | 8.68 ± 0.02 |
| Day 8 | 3.81 ± 0.07 | 8.24 ± 0.02 | 4.73 ± 0.02 | 8.64 ± 0.02 |
| Day 15 | 4.20 ± 0.02 | 8.29 ± 0.03 | 4.68 ± 0.41 | 8.56 ± 0.08 |
| ΔEs | ||||
| Day 1 | 9.99 | 2.07 | 6.63 | - |
| Day 8 | 7.94 | 1.11 | 5.74 | - |
| Day 15 | 7.49 | 1.15 | 3.12 | - |
| ΔEt | ||||
| Day 8–Day 1 | 1.48 | 0.53 | 0.45 | 0.99 |
| Day 15–Day 8 | 0.83 | 0.16 | 0.89 | 0.43 |
| Day 15–Day 1 | 2.58 | 0.71 | 1.04 | 0.55 |
| Aspect | Color | Texture | Smell | Taste | Priorities | |
|---|---|---|---|---|---|---|
| Aspect | 1 | 0.607 | 0.252 | 0.339 | 0.226 | 0.0669 |
| Color | 1.65 | 1 | 0.24 | 0.322 | 0.21 | 0.0788 |
| Texture | 3.97 | 4.16 | 1 | 2.04 | 0.473 | 0.2757 |
| Smell | 2.79 | 3.11 | 0.49 | 1 | 0.441 | 0.1807 |
| Taste | 4.43 | 4.77 | 2.11 | 2.27 | 1 | 0.3979 |
| Consistency Ratio calculated as | 0.025 | |||||
| Option | Aspect | Color | Texture | Smell | Taste |
|---|---|---|---|---|---|
| P1 | 0.0072 | 0.0089 | 0.0631 | 0.0444 | 0.1146 |
| P2 | 0.0195 | 0.0207 | 0.0332 | 0.0203 | 0.0325 |
| P3 | 0.0402 | 0.0492 | 0.1794 | 0.1159 | 0.2508 |
| From Your Point of View, Which Attribute Is More Important and to What Extent to Evaluate the QUALITY of a Yogurt? | ||||||||||
|---|---|---|---|---|---|---|---|---|---|---|
| EX | MF | F | MO | = | MO | F | MF | EX | ||
| C1 Aspect | 9 | 7 | 5 | 3 | 1 | 3 | 5 | 7 | 9 | C2 Color |
| C1 Aspect | 9 | 7 | 5 | 3 | 1 | 3 | 5 | 7 | 9 | C3 Texture |
| C1 Aspect | 9 | 7 | 5 | 3 | 1 | 3 | 5 | 7 | 9 | C4 Smell |
| C1 Aspect | 9 | 7 | 5 | 3 | 1 | 3 | 5 | 7 | 9 | C5 Taste |
| C2 Color | 9 | 7 | 5 | 3 | 1 | 3 | 5 | 7 | 9 | C3 Texture |
| C2 Color | 9 | 7 | 5 | 3 | 1 | 3 | 5 | 7 | 9 | C4 Smell |
| C2 Color | 9 | 7 | 5 | 3 | 1 | 3 | 5 | 7 | 9 | C5 Taste |
| C3 Texture | 9 | 7 | 5 | 3 | 1 | 3 | 5 | 7 | 9 | C4 Smell |
| C3 Texture | 9 | 7 | 5 | 3 | 1 | 3 | 5 | 7 | 9 | C5 Taste |
| C4 Smell | 9 | 7 | 5 | 3 | 1 | 3 | 5 | 7 | 9 | C5 Taste |
Disclaimer/Publisher’s Note: The statements, opinions and data contained in all publications are solely those of the individual author(s) and contributor(s) and not of MDPI and/or the editor(s). MDPI and/or the editor(s) disclaim responsibility for any injury to people or property resulting from any ideas, methods, instructions or products referred to in the content. |
© 2024 by the authors. Licensee MDPI, Basel, Switzerland. This article is an open access article distributed under the terms and conditions of the Creative Commons Attribution (CC BY) license (https://creativecommons.org/licenses/by/4.0/).
Share and Cite
Gheorghita, R.E.; Lupaescu, A.V.; Gâtlan, A.M.; Dabija, D.; Lobiuc, A.; Iatcu, O.C.; Buculei, A.; Andriesi, A.; Dabija, A. Biopolymers-Based Macrogels with Applications in the Food Industry: Capsules with Berry Juice for Functional Food Products. Gels 2024, 10, 71. https://doi.org/10.3390/gels10010071
Gheorghita RE, Lupaescu AV, Gâtlan AM, Dabija D, Lobiuc A, Iatcu OC, Buculei A, Andriesi A, Dabija A. Biopolymers-Based Macrogels with Applications in the Food Industry: Capsules with Berry Juice for Functional Food Products. Gels. 2024; 10(1):71. https://doi.org/10.3390/gels10010071
Chicago/Turabian StyleGheorghita, Roxana Elena, Ancuta Veronica Lupaescu, Anca Mihaela Gâtlan, Dadiana Dabija, Andrei Lobiuc, Oana Camelia Iatcu, Amelia Buculei, Alexandru Andriesi, and Adriana Dabija. 2024. "Biopolymers-Based Macrogels with Applications in the Food Industry: Capsules with Berry Juice for Functional Food Products" Gels 10, no. 1: 71. https://doi.org/10.3390/gels10010071
APA StyleGheorghita, R. E., Lupaescu, A. V., Gâtlan, A. M., Dabija, D., Lobiuc, A., Iatcu, O. C., Buculei, A., Andriesi, A., & Dabija, A. (2024). Biopolymers-Based Macrogels with Applications in the Food Industry: Capsules with Berry Juice for Functional Food Products. Gels, 10(1), 71. https://doi.org/10.3390/gels10010071

