Study on the Curing and Foaming of Surfactant-Modified Geopolymer Gels Based on Ash and Slag Waste from Coal Combustion
Abstract
1. Introduction
2. Results and Discussion
2.1. Optimization of Temperature–Time Mode in the Drying Oven
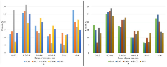
2.2. Physical–Mechanical Properties of Synthesized Porous Geopolymers
2.3. XRD Analysis of Porous Geopolymers
2.4. Changes in Sodium Stearate during Microwave Exposure
3. Conclusions
- (1)
- The study of the curing in a drying oven for 6–24 h showed that the difference in physical and mechanical characteristics between 12 and 24 h of curing for the geopolymer gel varied by no more than 5%: the strength increased from 1.02 to 1.05 MPa, while the density decreased from 354 to 340 kg/m3. Therefore, a 12 h curing period appears more promising from an energy-efficient standpoint.
- (2)
- Samples containing sodium stearate as a surfactant exhibited the most favorable combination of properties. The following properties were achieved for ASW from different sources: a density of 334 kg/m3 and a strength of 1.08 MPa for samples based on the ASW from Severodvinsk CHPP-1, and 373 kg/m3 and 1.17 MPa for samples based on the waste from Novocherkassk SDPP, respectively.
- (3)
- The use of microwave radiation allows for achieving the lowest density (291 kg/m3) among all samples. The difference between samples’ properties cured using microwave radiation for a total of 6 min and cured using a drying oven at 80 °C for 12 h is almost absent. Thus, microwave curing notably reduces the time of the geopolymer gel curing, ultimately streamlining the production of geopolymers.
- (4)
- However, microwave irradiation adversely affects the sodium stearate-modified geopolymer gels, leading to complete sample destruction due to the formation of the Dumas reaction. Microwave radiation is found to be incompatible with sodium stearate, suggesting the use of this compound at curing temperatures below 200 °C.
- (5)
- Ultimately, the best combination of physical and mechanical properties is exhibited by compositions, utilizing sodium stearate and curing in a drying oven with both types of coal combustion waste. It allows achieving a density of 334 kg/m3 and a strength of 1.08 MPa for Severodvinsk CHPP-1 and 373 kg/m3 and 1.17 MPa for Novocherkassk GRES, respectively. Microwave curing stands as a promising method for geopolymer material curing in terms of energy efficiency and time savings. Nonetheless, intensive material heating should be considered when selecting raw materials for its production.
4. Materials and Methods
4.1. Characterization of the Raw Materials
4.2. Synthesis of Porous Geopolymers
4.3. Methods
Supplementary Materials
Author Contributions
Funding
Institutional Review Board Statement
Informed Consent Statement
Data Availability Statement
Acknowledgments
Conflicts of Interest
References
- Novais, R.M.; Labrincha, J.A. Alkali-Activated Materials as Adsorbents for Water and Wastewater Treatment. In Alkali-Activated Materials in Environmental Technology Applications; Woodhead Publishing: Sawston, UK, 2022; pp. 143–166. [Google Scholar] [CrossRef]
- Chen, S.; Ruan, S.; Zeng, Q.; Liu, Y.; Zhang, M.; Tian, Y.; Yan, D. Pore Structure of Geopolymer Materials and Its Correlations to Engineering Properties: A Review. Constr. Build. Mater. 2022, 328, 127064. [Google Scholar] [CrossRef]
- Zhang, X.; Bai, C.; Qiao, Y.; Wang, X.; Jia, D.; Li, H.; Colombo, P. Porous Geopolymer Composites: A Review. Compos. Part A Appl. Sci. Manuf. 2021, 150, 106629. [Google Scholar] [CrossRef]
- Ettahiri, Y.; Bouargane, B.; Fritah, K.; Akhsassi, B.; Pérez-Villarejo, L.; Aziz, A.; Bouna, L.; Benlhachemi, A.; Novais, R.M. A State-of-the-Art Review of Recent Advances in Porous Geopolymer: Applications in Adsorption of Inorganic and Organic Contaminants in Water. Constr. Build. Mater. 2023, 395, 132269. [Google Scholar] [CrossRef]
- Bai, C.; Colombo, P. Processing, Properties and Applications of Highly Porous Geopolymers: A Review. Ceram. Int. 2018, 44, 16103–16118. [Google Scholar] [CrossRef]
- Morsy, M.S.; Rashad, A.M.; Shoukry, H.; Mokhtar, M.M. Potential Use of Limestone in Metakaolin-Based Geopolymer Activated with H3PO4 for Thermal Insulation. Constr. Build. Mater. 2019, 229, 117088. [Google Scholar] [CrossRef]
- Rao, P.R.; Momayez, M.; Runge, K.A.; Muralidharan, K. Recent Developments in Thermally Insulating Materials Based on Geopolymers—A Review Article. Mining Metall. Explor. 2020, 37, 995–1014. [Google Scholar] [CrossRef]
- Lemougna, P.N.; Wang, K.T.; Tang, Q.; Melo, U.C.; Cui, X.M. Recent Developments on Inorganic Polymers Synthesis and Applications. Ceram. Int. 2016, 42, 15142–15159. [Google Scholar] [CrossRef]
- Huang, Y.; Gong, L.; Shi, L.; Cao, W.; Pan, Y.; Cheng, X. Experimental Investigation on the Influencing Factors of Preparing Porous Fly Ash-Based Geopolymer for Insulation Material. Energy Build. 2018, 168, 9–48. [Google Scholar] [CrossRef]
- Jaya, N.A.; Yun-Ming, L.; Cheng-Yong, H.; Abdullah, M.M.A.B.; Hussin, K. Correlation between Pore Structure, Compressive Strength and Thermal Conductivity of Porous Metakaolin Geopolymer. Constr. Build. Mater. 2020, 247, 118641. [Google Scholar] [CrossRef]
- Huang, Y.; Gong, L.; Pan, Y.; Li, C.; Zhou, T.; Cheng, X. Facile Construction of the Aerogel/Geopolymer Composite with Ultra-Low Thermal Conductivity and High Mechanical Performance. RSC Adv. 2018, 8, 2350–2356. [Google Scholar] [CrossRef]
- Cui, Y.; Wang, D.; Zhao, J.; Li, D.; Ng, S.; Rui, Y. Effect of Calcium Stearate Based Foam Stabilizer on Pore Characteristics and Thermal Conductivity of Geopolymer Foam Material. J. Build. Eng. 2018, 20, 21–29. [Google Scholar] [CrossRef]
- Tan, T.H.; Mo, K.H.; Ling, T.C.; Lai, S.H. Current Development of Geopolymer as Alternative Adsorbent for Heavy Metal Removal. Environ. Technol. Innov. 2020, 18, 100684. [Google Scholar] [CrossRef]
- Tang, J.; Liu, P.; Xue, S.; Li, Y.; Zhao, Y.; Huang, K.; Liu, Z. Optimization of Coal Fly Ash-Based Porous Geopolymer Synthesis and Application for Zinc Removal from Water. Ceram. Int. 2023, 49, 5828–5833. [Google Scholar] [CrossRef]
- Łach, M.; Mierzwiński, D.; Korniejenko, K.; Mikuła, J. Geopolymer Foam as a Passive Fire Protection. MATEC Web Conf. 2018, 247, 00031. [Google Scholar] [CrossRef][Green Version]
- Sarazin, J.; Davy, C.A.; Bourbigot, S.; Tricot, G.; Hosdez, J.; Lambertin, D.; Fontaine, G. Flame Resistance of Geopolymer Foam Coatings for the Fire Protection of Steel. Compos. Part B Eng. 2021, 222, 109045. [Google Scholar] [CrossRef]
- Sharma, S.; Medpelli, D.; Chen, S.; Seo, D.K. Calcium-Modified Hierarchically Porous Aluminosilicate Geopolymer as a Highly Efficient Regenerable Catalyst for Biodiesel Production. RSC Adv. 2015, 5, 65454–65461. [Google Scholar] [CrossRef]
- Innocentini, M.D.M.; Botti, R.F.; Bassi, P.M.; Paschoalato, C.F.P.R.; Flumignan, D.L.; Franchin, G.; Colombo, P. Lattice-Shaped Geopolymer Catalyst for Biodiesel Synthesis Fabricated by Additive Manufacturing. Ceram. Int. 2019, 45, 1443–1446. [Google Scholar] [CrossRef]
- Zhang, Z.; Wang, K.; Mo, B.; Li, X.; Cui, X. Preparation and Characterization of a Reflective and Heat Insulative Coating Based on Geopolymers. Energy Build. 2015, 87, 220–225. [Google Scholar] [CrossRef]
- Gao, H.; Liu, H.; Liao, L.; Mei, L.; Zhang, F.; Zhang, L.; Li, S.; Lv, G. A Bifunctional Hierarchical Porous Kaolinite Geopolymer with Good Performance in Thermal and Sound Insulation. Constr. Build. Mater. 2020, 251, 118888. [Google Scholar] [CrossRef]
- Reeb, C.; Pierlot, C.; Davy, C.; Lambertin, D. Incorporation of Organic Liquids into Geopolymer Materials—A Review of Processing, Properties and Applications. Ceram. Int. 2021, 47, 7369–7385. [Google Scholar] [CrossRef]
- Beleuk à Moungam, L.M.; Lemougna, P.N.; Kaze, R.C.; Mohamed, H.; Deutou Nemaleu, J.G.; Billong, N.; Kamseu, E.; Mvondo-Ze, A.D.; Tonle Kenfack, I. Synthesis of Volcanic Ash-based Porous Inorganic Polymers Using Biomass as Pore Inducing Agent: Phase Evolution and Descriptive Microstructure. Silicon 2022, 14, 2595–2608. [Google Scholar] [CrossRef]
- Beleuk à Moungam, L.M.; Tchieda, K.V.; Mohamed, H.; Pecheu, N.C.; Kaze, R.C.; Kamseu, E.; Mvondo-Ze, A.D.; Tonle, I.K. Efficiency of Volcanic Ash-Based Porous Geopolymers for the Removal of Pb2+, Cd2+ and Hg2+ from Aqueous Solution. Clean. Mater. 2022, 5, 100106. [Google Scholar] [CrossRef]
- Zivica, V.; Palou, M.T.; Bágeľ, T.I.Ľ. High Strength Metahalloysite Based Geopolymer. Compos. Part B Eng. 2014, 57, 155–165. [Google Scholar] [CrossRef]
- Bai, C.; Franchin, G.; Elsayed, H.; Conte, A.; Colombo, P. High Strength Metakaolin-Based Geopolymer Foams with Variable Macroporous Structure. J. Eur. Ceram. Soc. 2016, 36, 4243–4249. [Google Scholar] [CrossRef]
- Yatsenko, E.A.; Goltsman, B.M.; Trofimov, S.V.; Novikov, Y.V.; Smoliy, V.A.; Ryabova, A.V.; Klimova, L.V. Influence of Various Coal Energy Wastes and Foaming Agents on Foamed Geopolymer Materials’ Synthesis. Materials 2023, 16, 264. [Google Scholar] [CrossRef] [PubMed]
- Zhang, P.; Gao, Z.; Wang, J.; Guo, J.; Hu, S.; Ling, Y. Properties of Fresh and Hardened Fly Ash/Slag Based Geopolymer Concrete: A Review. J. Clean. Prod. 2020, 270, 122389. [Google Scholar] [CrossRef]
- Almalkawi, A.T.; Balchandra, A.; Soroushian, P. Potential of Using Industrial Wastes for Production of Geopolymer Binder as Green Construction Materials. Constr. Build. Mater. 2019, 220, 516–524. [Google Scholar] [CrossRef]
- Zhu, Z.; Zhang, C.; Liu, R.; Li, S.; Wang, M. Sunflower Straw Ash as an Alternative Activator in Alkali-Activated Grouts: A New 100% Waste-Based Material. Ceram. Int. 2023, 49, 32308–32312. [Google Scholar] [CrossRef]
- Çelik, A.İ.; Tunç, U.; Bahrami, A.; Karalar, M.; Othuman Mydin, M.A.; Alomayri, T.; Özkılıç, Y.O. Use of Waste Glass Powder toward More Sustainable Geopolymer Concrete. J. Mater. Res. Technol. 2023, 24, 8533–8546. [Google Scholar] [CrossRef]
- Lau, C.K.; Rowles, M.R.; Parnham, G.N.; Htut, T.; Ng, T.S. Investigation of Geopolymers Containing Fly Ash and Ground-Granulated Blast-Furnace Slag Blended by Amorphous Ratios. Constr. Build. Mater. 2019, 222, 731–737. [Google Scholar] [CrossRef]
- Zimar, Z.; Robert, D.; Zhou, A.; Giustozzi, F.; Setunge, S.; Kodikara, J. Application of Coal Fly Ash in Pavement Subgrade Stabilisation: A Review. J. Environ. Manag. 2022, 312, 114926. [Google Scholar] [CrossRef] [PubMed]
- Onyelowe, K.C.; Kontoni, D.P.N.; Ebid, A.M.; Dabbaghi, F.; Soleymani, A.; Jahangir, H.; Nehdi, M.L. Multi-Objective Optimization of Sustainable Concrete Containing Fly Ash Based on Environmental and Mechanical Considerations. Buildings 2022, 12, 948. [Google Scholar] [CrossRef]
- El Alouani, M.; Aouan, B.; Rachdi, Y.; Alehyen, S.; El Herradi, E.H.; Saufi, H.; Mabrouki, J.; Barka, N. Porous Geopolymers as Innovative Adsorbents for the Removal of Organic and Inorganic Hazardous Substances: A Mini-Review. Int. J. Environ. Anal. Chem. 2022. [Google Scholar] [CrossRef]
- Kočí, V.; Černý, R. Directly Foamed Geopolymers: A Review of Recent Studies. Cem. Concr. Compos. 2022, 130, 104530. [Google Scholar] [CrossRef]
- Matalkah, F.; Ababneh, A.; Aqel, R. Synthesis of Calcined Kaolin-Based Geopolymer Foam: Assessment of Mechanical Properties, Thermal Insulation, and Elevated Temperature Stability. Ceram. Int. 2023, 49, 9967–9977. [Google Scholar] [CrossRef]
- Yan, S.; Zhang, F.; Liu, J.; Ren, B.; He, P.; Jia, D.; Yang, J. Green Synthesis of High Porosity Waste Gangue Microsphere/Geopolymer Composite Foams via Hydrogen Peroxide Modification. J. Clean. Prod. 2019, 227, 483–494. [Google Scholar] [CrossRef]
- Kioupis, D.; Zisimopoulou, A.; Tsivilis, S.; Kakali, G. Development of Porous Geopolymers Foamed by Aluminum and Zinc Powders. Ceram. Int. 2021, 47, 26280–26292. [Google Scholar] [CrossRef]
- Kaczmarski, K.; Pławecka, K.; Kozub, B.; Bazan, P.; Łach, M. Preliminary Investigation of Geopolymer Foams as Coating Materials. Appl. Sci. 2022, 12, 11205. [Google Scholar] [CrossRef]
- Liang, B.; Zhang, M.; Li, H.; Zhao, M.; Xu, P.; Deng, L. Preparation of Ceramic Foams from Ceramic Tile Polishing Waste and Fly Ash without Added Foaming Agent. Ceram. Int. 2021, 47, 23338–23349. [Google Scholar] [CrossRef]
- Liu, X.; Hu, C.; Chu, L. Microstructure, Compressive Strength and Sound Insulation Property of Fly Ash-Based Geopolymeric Foams with Silica Fume as Foaming Agent. Materials 2020, 13, 3215. [Google Scholar] [CrossRef]
- Abdollahnejad, Z.; Pacheco-Torgal, F.; Félix, T.; Tahri, W.; Barroso Aguiar, J. Mix Design, Properties and Cost Analysis of Fly Ash-Based Geopolymer Foam. Constr. Build. Mater. 2015, 80, 18–30. [Google Scholar] [CrossRef]
- Novais, R.M.; Pullar, R.C.; Labrincha, J.A. Geopolymer Foams: An Overview of Recent Advancements. Prog. Mater. Sci. 2020, 109, 100621. [Google Scholar] [CrossRef]
- Yu, Q.; Li, X.; Wang, Z.; Xue, J. Characterization and Performance Evaluation of Metakaolin-Based Geopolymer Foams Obtained by Adding Palm Olein as the Foam Stabilizer. Materials 2022, 15, 3570. [Google Scholar] [CrossRef] [PubMed]
- Wang, Z.; Lu, D. Study on the Effect of Emulsifiers on the Pore Structures of Geopolymer Prepared by Emulsion Templating. Mater. Res. Express 2020, 7, 055508. [Google Scholar] [CrossRef]
- Dong, C.; Shao, N.; Yan, F.; Ji, R.; Wei, X.; Zhang, Z. A Novel Integration Strategy for the Foaming and Hydrophobization of Geopolymer Foams. Cem. Concr. Res. 2022, 160, 106919. [Google Scholar] [CrossRef]
- Xu, F.; Gu, G.; Zhang, W.; Wang, H.; Huang, X.; Zhu, J. Pore Structure Analysis and Properties Evaluations of Fly Ash-Based Geopolymer Foams by Chemical Foaming Method. Ceram. Int. 2018, 44, 19989–19997. [Google Scholar] [CrossRef]
- Li, X.; Bai, C.; Qiao, Y.; Wang, X.; Yang, K.; Colombo, P. Preparation, Properties and Applications of Fly Ash-Based Porous Geopolymers: A Review. J. Clean. Prod. 2022, 359, 132043. [Google Scholar] [CrossRef]
- Raza, A.; Hechmi El Ouni, M.; Azab, M.; Ali, K.; Haider, H.; Rashedi, A. A Scientometric Review on Mechanical and Durability Performance of Geopolymer Paste: Effect of Various Raw Materials. Constr. Build. Mater. 2022, 345, 128297. [Google Scholar] [CrossRef]
- Rovnaník, P. Effect of Curing Temperature on the Development of Hard Structure of Metakaolin-Based Geopolymer. Constr. Build. Mater. 2010, 24, 1176–1183. [Google Scholar] [CrossRef]
- Bai, C.; Colombo, P. High-Porosity Geopolymer Membrane Supports by Peroxide Route with the Addition of Egg White as Surfactant. Ceram. Int. 2017, 43, 2267–2273. [Google Scholar] [CrossRef]
- Alghamdi, H.; Dakhane, A.; Alum, A.; Abbaszadegan, M.; Mobasher, B.; Neithalath, N. Synthesis and Characterization of Economical, Multi-Functional Porous Ceramics Based on Abundant Aluminosilicates. Mater. Des. 2018, 152, 10–21. [Google Scholar] [CrossRef]
- Onutai, S.; Jiemsirilers, S.; Thavorniti, P.; Kobayashi, T. Fast Microwave Syntheses of Fly Ash Based Porous Geopolymers in the Presence of High Alkali Concentration. Ceram. Int. 2016, 42, 9866–9874. [Google Scholar] [CrossRef]
- Li, X.; Zheng, J.; Shao, J.; Loutou, M.; Bai, C.; Qiao, Y.; Miao, Y.; Wang, X.; Zheng, T.; Colombo, P. Evaluation of Porosity, Mechanical and Thermal Properties of Self-Ignition Coal Gangue-Based Foams via Fast Microwave Foaming. J. Build. Eng. 2023, 68, 106062. [Google Scholar] [CrossRef]
- Nadeem, M.; Ul Haq, E.; Ahmed, F.; Asif Rafiq, M.; Hameed Awan, G.; Zain-ul-Abdein, M. Effect of Microwave Curing on the Construction Properties of Natural Soil Based Geopolymer Foam. Constr. Build. Mater. 2020, 230, 117074. [Google Scholar] [CrossRef]
- Ul Haq, E.; Kunjalukkal Padmanabhan, S.; Licciulli, A. Microwave Synthesis of Thermal Insulating Foams from Coal Derived Bottom Ash. Fuel Process. Technol. 2015, 130, 263–267. [Google Scholar] [CrossRef]
- Li, X.; Liu, L.; Bai, C.; Yang, K.; Zheng, T.; Lu, S.; Li, H.; Qiao, Y.; Colombo, P. Porous Alkali-Activated Material from Hypergolic Coal Gangue by Microwave Foaming for Methylene Blue Removal. J. Am. Ceram. Soc. 2023, 106, 1473–1489. [Google Scholar] [CrossRef]
- Nguyen, T.T.; Goodier, C.I.; Austin, S.A. Factors Affecting the Slump and Strength Development of Geopolymer Concrete. Constr. Build. Mater. 2020, 261, 119945. [Google Scholar] [CrossRef]
- Bai, B.; Bai, F.; Nie, Q.; Jia, X. A High-Strength Red Mud–Fly Ash Geopolymer and the Implications of Curing Temperature. Powder Technol. 2023, 416, 118242. [Google Scholar] [CrossRef]
- Leiva, C.; Luna-Galiano, Y.; Arenas, C.; Alonso-Fariñas, B.; Fernández-Pereira, C. A Porous Geopolymer Based on Aluminum-Waste with Acoustic Properties. Waste Manag. 2019, 95, 504–512. [Google Scholar] [CrossRef]
- Shao, J.; Bai, C.; Li, X.; Yang, K.; Zheng, T.; Qiao, Y.; Zhang, L.; Li, H.; Colombo, P. Open-Cell Mullite Ceramic Foams Derived from Porous Geopolymer Precursors with Tailored Porosity. J. Adv. Ceram. 2023, 12, 279–295. [Google Scholar] [CrossRef]
- Ji, Z.; Li, M.; Su, L.; Pei, Y. Porosity, Mechanical Strength and Structure of Waste-Based Geopolymer Foams by Different Stabilizing Agents. Constr. Build. Mater. 2020, 258, 119555. [Google Scholar] [CrossRef]
- Hosseini, S.; Brake, N.A.; Nikookar, M.; Günaydın-Şen, Ö.; Snyder, H.A. Mechanochemically Activated Bottom Ash-Fly Ash Geopolymer. Cem. Concr. Compos. 2021, 118, 103976. [Google Scholar] [CrossRef]
- Yatsenko, E.A.; Goltsman, B.M.; Trofimov, S.V.; Kurdashov, V.M.; Novikov, Y.V.; Smoliy, V.A.; Ryabova, A.V.; Klimova, L. V Improving the Properties of Porous Geopolymers Based on TPP Ash and Slag Waste by Adjusting Their Chemical Composition. Materials 2022, 15, 2587. [Google Scholar] [CrossRef] [PubMed]
- Yatsenko, E.A.; Goltsman, B.M.; Trofimov, S.V.; Lazorenko, G.I. Processing of Ash and Slag Waste from Coal Fuel Combustion at CHPPs in the Arctic Zone of Russia with Obtaining Porous Geopolymer Materials. Therm. Eng. 2022, 69, 615–623. [Google Scholar] [CrossRef]
- Nuruddin, M.F.; Demie, S.; Ahmed, M.F.; Shafiq, N. Effect of Superplasticizer and NaOH Molarity on Workability, Compressive Strength and Microstructure Properties of Self-Compacting Geopolymer Concrete. World Acad. Sci. Eng. Technol. 2011, 51, 187–194. [Google Scholar]
- Chithambar Ganesh, A.; Muthukannan, M.; Aakassh, S.; Prasad; Subramanaian, B. Energy Efficient Production of Geopolymer Bricks Using Industrial Waste. In Proceedings of the IOP Conference Series: Materials Science and Engineering; IOP Publishing: Bristol, UK, 2020; Volume 872, p. 012154. [Google Scholar] [CrossRef]
- Hashim, M.F.A.; Faris, M.A.; Mydin, M.A.O.; Ghazali, C.M.R.; Daud, Y.M.; Abdullah, M.M.A.B.; Zainal, F.F.; Mohd Tahir, M.F.; Yong, H.C.; Khorami, M. Interaction of Geopolymer Filler and Alkali Molarity Concentration towards the Fire Properties of Glass-Reinforced Epoxy Composites Fabricated Using Filament Winding Technique. Materials 2022, 15, 6495. [Google Scholar] [CrossRef]
- Luca Lutterotti MAUD—Materials Analysis Using Diffraction. Available online: https://luttero.github.io/maud/ (accessed on 21 August 2023).
- National Institutes of Health Image J. Available online: https://imagej.net/ij/index.html (accessed on 21 August 2023).













| # | Density, kg/m3 | Compressive Strength, MPa | Porosity, % | Thermal Conductivity, W/(m·K) |
|---|---|---|---|---|
| NA1 | 339 ± 11 | 0.88 ± 0.05 | 85.8 ± 0.2 | 0.0754 ± 0.0038 |
| NA2 | 322 ± 15 | 0.83 ± 0.03 | 87.7 ± 0.7 | 0.0719 ± 0.0031 |
| NAO1 | 364 ± 14 | 0.86 ± 0.02 | 84.8 ± 0.8 | 0.0750 ± 0.0031 |
| NAO2 | 361 ± 18 | 0.77 ± 0.06 | 84.9 ± 0.9 | 0.0800 ± 0.0009 |
| NAS1 | 373 ± 7 | 1.17 ± 0.08 | 84.3 ± 1.0 | 0.0826 ± 0.0018 |
| SA1 | 306 ± 3 | 0.85 ± 0.03 | 85.0 ± 0.1 | 0.0700 ± 0.0005 |
| SA2 | 291 ± 5 | 0.83 ± 0.03 | 85.7 ± 0.7 | 0.0670 ± 0.0008 |
| SAO1 | 326 ± 4 | 0.78 ± 0.03 | 84.0 ± 0.2 | 0.0745 ± 0.0009 |
| SAO2 | 322 ± 9 | 0.73 ± 0.02 | 84.1 ± 0.9 | 0.0736 ± 0.0014 |
| SAS1 | 334 ± 11 | 1.08 ± 0.03 | 83.6 ± 0.6 | 0.0761 ± 0.0021 |
| # | D50 | D90 | D99 |
|---|---|---|---|
| NA1 | 0.53 ± 0.07 | 1.97 ± 0.03 | 4.24 ± 0.21 |
| NA2 | 0.56 ± 0.08 | 1.69 ± 0.07 | 3.94 ± 0.17 |
| NAO1 | 0.38 ± 0.03 | 1.48 ± 0.03 | 3.61 ± 0.24 |
| NAO2 | 0.66 ± 0.05 | 1.59 ± 0.05 | 2.87 ± 0.18 |
| NAS1 | 0.48 ± 0.04 | 1.34 ± 0.05 | 2.49 ± 0.13 |
| SA1 | 0.43 ± 0.04 | 1.67 ± 0.06 | 3.53 ± 0.17 |
| SA2 | 0.52 ± 0.07 | 1.90 ± 0.11 | 4.95 ± 0.21 |
| SAO1 | 0.55 ± 0.05 | 1.17 ± 0.06 | 2.05 ± 0.22 |
| SAO2 | 0.48 ± 0.04 | 1.22 ± 0.05 | 2.60 ± 0.22 |
| SAS1 | 0.51 ± 0.04 | 1.34 ± 0.03 | 2.59 ± 0.11 |
| Composition | O | Na | Al | Mg | Si | K | Ca | Ti | Fe | ∑ |
|---|---|---|---|---|---|---|---|---|---|---|
| NA1 | 59.9 | 11.2 | 5.8 | 0.9 | 16.5 | 1.0 | 1.3 | 0.2 | 3.2 | 100.0 |
| NA2 | 57.1 | 12.3 | 6.1 | 1.1 | 18.3 | 1.2 | 1.4 | 0.3 | 2.2 | 100.0 |
| NAO1 | 58.3 | 13.7 | 5.6 | 1.0 | 16.7 | 1.1 | 1.4 | – | 2.2 | 100.0 |
| NAO2 | 60.4 | 12.8 | 5.2 | 1.0 | 16.1 | 1.0 | 1.2 | 0.2 | 2.1 | 100.0 |
| NAS1 | 57.1 | 16.7 | 5.1 | 0.9 | 15.9 | 1.0 | 1.2 | 0.2 | 1.9 | 100.0 |
| SA1 | 62.1 | 8.4 | 6.2 | 1.4 | 18.3 | 1.0 | 0.8 | 0.3 | 1.5 | 100.0 |
| SA2 | 62.4 | 10.9 | 5.6 | 1.3 | 16.9 | 0.9 | 0.6 | 0.2 | 1.2 | 100.0 |
| SAO1 | 62.2 | 9.1 | 5.9 | 1.4 | 17.5 | 1.0 | 0.9 | 0.2 | 1.8 | 100.0 |
| SAO2 | 62.0 | 9.2 | 6.1 | 1.4 | 17.9 | 1.0 | 0.7 | 0.3 | 1.4 | 100.0 |
| SAS1 | 62.0 | 13.7 | 4.9 | 1.4 | 15.5 | 0.7 | 0.6 | 0.2 | 1.0 | 100.0 |
| Low Quartz | Mullite | Hematite | Amorphous Phase | |
|---|---|---|---|---|
| NA1 | 13.6 ± 0.5 | – | 8.0 ± 0.1 | 78.4 ± 0.6 |
| NA2 | 15.6 ± 0.5 | – | – | 84.4 ± 0.4 |
| SA1 | 31.3 ± 0.4 | 8.8 ± 0.1 | – | 59.9 ± 0.6 |
| SA2 | 29.1 ± 0.6 | 7.0 ± 0.1 | – | 63.9 ± 0.2 |
| Component | SiO2 | Al2O3 | Fe2O3 | MgO | Na2O | K2O | CaO | TiO2 | MnO | P2O5 | SO3 | LOI |
|---|---|---|---|---|---|---|---|---|---|---|---|---|
| ASW from Severodvinsk CHPP-1 | 61.6 | 17.9 | 6.0 | 2.7 | 3.6 | 2.3 | 2.1 | 0.8 | 0.1 | 0.2 | 0.3 | 2.3 |
| ASW from Novocherkassk SDPP | 51.2 | 18.8 | 10.3 | 2.1 | 0.9 | 3.0 | 3.1 | 0.8 | 0.1 | 0.1 | 0.3 | 9.2 |
| Waterglass | 29.8 | 0.6 | 0.1 | – | 15.3 | – | 0.2 | – | – | – | 0.2 | 53.8 |
| Geopolymer based on ASW from Severodvinsk CHPP-1 | 49.7 | 12.7 | 4.2 | 1.9 | 7.7 | 1.6 | 1.5 | 0.6 | 0.1 | 0.2 | 0.3 | 19.5 |
| Geopolymer based on ASW from Novocherkassk SDPP | 42.4 | 13.3 | 7.2 | 1.5 | 5.8 | 2.1 | 2.2 | 0.6 | 0.1 | 0.1 | 6.5 | 18.2 |
| # | Precursor (ASW) | NaOH (Powder) | Water | Waterglass | Aluminum Powder, over 100 | Olive Oil, over 100 | Sodium Stearate, over 100 |
|---|---|---|---|---|---|---|---|
| A | 70.0 | 2.5 | 5.0 | 22.5 | 2.0 | – | – |
| AO | 70.0 | 2.5 | 5.0 | 22.5 | 2.0 | 2.0 | – |
| AS | 70.0 | 2.5 | 5.0 | 22.5 | 2.0 | – | 2.0 |
Disclaimer/Publisher’s Note: The statements, opinions and data contained in all publications are solely those of the individual author(s) and contributor(s) and not of MDPI and/or the editor(s). MDPI and/or the editor(s) disclaim responsibility for any injury to people or property resulting from any ideas, methods, instructions or products referred to in the content. |
© 2023 by the authors. Licensee MDPI, Basel, Switzerland. This article is an open access article distributed under the terms and conditions of the Creative Commons Attribution (CC BY) license (https://creativecommons.org/licenses/by/4.0/).
Share and Cite
Yatsenko, E.A.; Trofimov, S.V.; Goltsman, B.M.; Li, W.; Smoliy, V.A.; Ryabova, A.V.; Klimova, L.V.; Izvarin, A.I. Study on the Curing and Foaming of Surfactant-Modified Geopolymer Gels Based on Ash and Slag Waste from Coal Combustion. Gels 2024, 10, 19. https://doi.org/10.3390/gels10010019
Yatsenko EA, Trofimov SV, Goltsman BM, Li W, Smoliy VA, Ryabova AV, Klimova LV, Izvarin AI. Study on the Curing and Foaming of Surfactant-Modified Geopolymer Gels Based on Ash and Slag Waste from Coal Combustion. Gels. 2024; 10(1):19. https://doi.org/10.3390/gels10010019
Chicago/Turabian StyleYatsenko, Elena A., Sergei V. Trofimov, Boris M. Goltsman, Wensheng Li, Victoria A. Smoliy, Anna V. Ryabova, Lyudmila V. Klimova, and Andrey I. Izvarin. 2024. "Study on the Curing and Foaming of Surfactant-Modified Geopolymer Gels Based on Ash and Slag Waste from Coal Combustion" Gels 10, no. 1: 19. https://doi.org/10.3390/gels10010019
APA StyleYatsenko, E. A., Trofimov, S. V., Goltsman, B. M., Li, W., Smoliy, V. A., Ryabova, A. V., Klimova, L. V., & Izvarin, A. I. (2024). Study on the Curing and Foaming of Surfactant-Modified Geopolymer Gels Based on Ash and Slag Waste from Coal Combustion. Gels, 10(1), 19. https://doi.org/10.3390/gels10010019

