Candidemia in Southern Poland (2017–2022): Multicenter Analysis of Species Distribution and Antifungal Susceptibility
Abstract
1. Introduction
2. Materials and Methods
2.1. Study Area and Time Frame
- Tertiary academic center, a large multispecialty university hospital providing comprehensive adult care (~1300 inpatient beds, including 60 ICU beds);
- Large provincial general hospital, a multispecialty facility with ~700 inpatient beds, including 32 ICU beds;
- Regional high-specialist trauma center, a teaching multiprofile hospital with designated trauma services (~600 inpatient beds, including 18 ICU beds);
- Municipal multi-profile complex, adult and pediatric secondary/tertiary care, ~550 inpatient beds, including 8 adult ICU beds and 8 pediatric ICU beds;
- A single-profile geriatric, non-teaching hospital (~100 inpatient beds, without dedicated ICU beds).
- Only candidemia episodes confirmed from peripherally collected venous or arterial blood samples were included in the analysis. Blood cultures drawn through central venous catheters (CVCs) were excluded, as isolates recovered exclusively from CVC-derived specimens are more likely to represent catheter colonization rather than true bloodstream infection [24].
- All positive blood cultures with Candida spp. obtained within one year of the index candidemia episode were considered part of the same infectious episode. Isolation of Candida spp. occurring more than one year after the initial episode was classified as a new candidemia event. The one-year timeframe was adopted by the authors specifically for the purposes of this publication to minimize misclassification of prolonged or recurrent fungemia arising from a single pathogenic process as separate episodes, given the heterogeneity of disease courses and the potential for delayed bloodstream clearance or deep-seated involvement [25].
2.2. Culture, Identification, and Drug Susceptibility Testing Methods
3. Results
3.1. Species Distribution
3.2. Temporal Trends in Candida Species Distribution
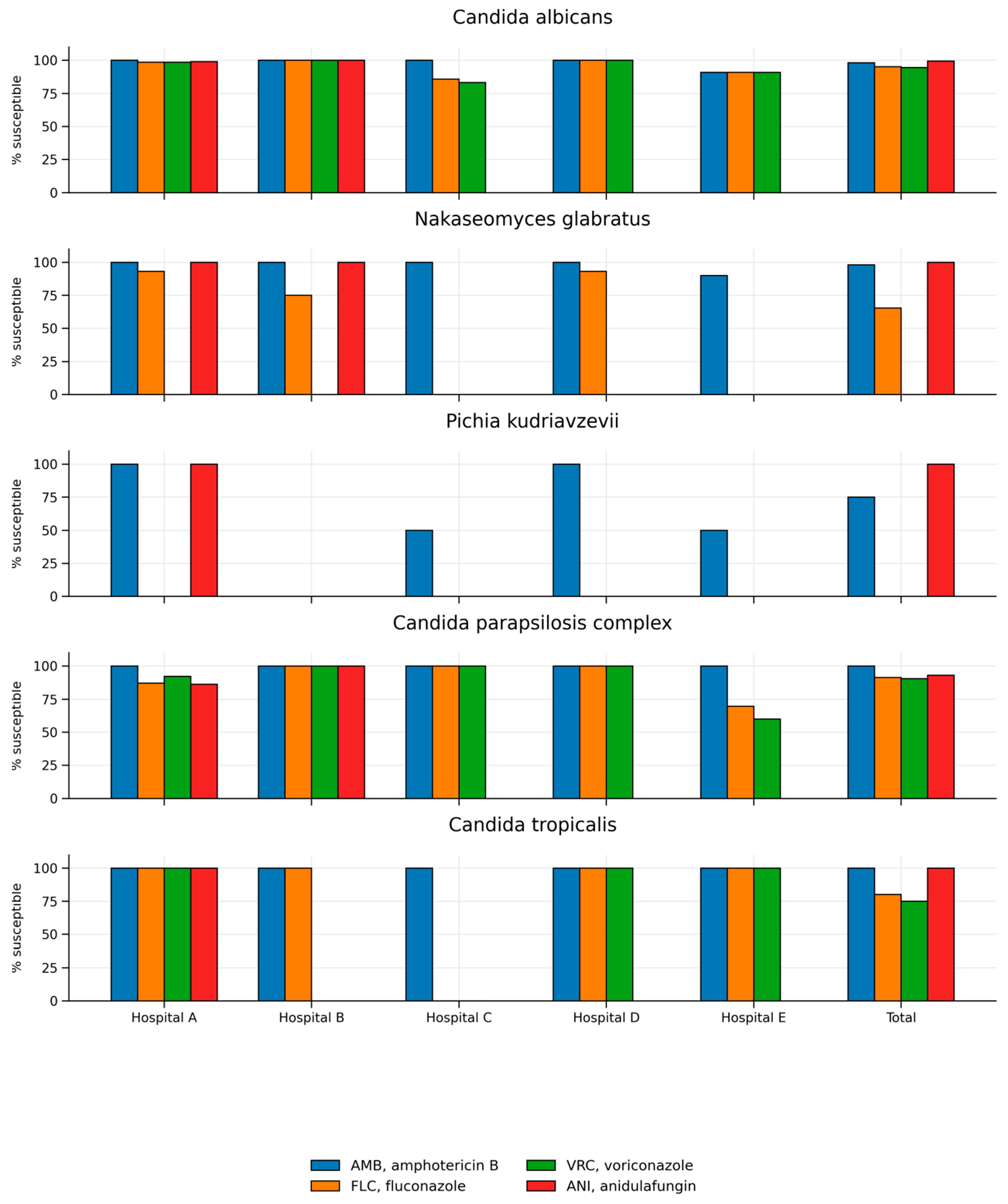
3.3. Antifungal Susceptibility Profiles
3.4. Temporal Trends in Antifungal Susceptibility Profiles
3.5. Candida albicans
3.6. Nakaseomyces glabratus
3.7. Candida parapsilosis
4. Discussion
5. Limitations
6. Conclusions
Supplementary Materials
Author Contributions
Funding
Institutional Review Board Statement
Informed Consent Statement
Data Availability Statement
Conflicts of Interest
References
- van de Veerdonk, F.L.; Netea, M.G.; Joosten, L.A.; van der Meer, J.W.; Kullberg, B.J. Novel strategies for the prevention and treatment of Candida infections: The potential of immunotherapy. FEMS Microbiol. Rev. 2010, 34, 1063–1075. [Google Scholar] [CrossRef]
- Lass-Flörl, C.; Kanj, S.S.; Govender, N.P.; Thompson, G.R., 3rd; Ostrosky-Zeichner, L.; Govrins, M.A. Invasive candidiasis. Nat. Rev. Dis. Prim. 2024, 10, 20. [Google Scholar] [CrossRef]
- Sabino, R.; Veríssimo, C.; Pereira, Á.A.; Antunes, F. Candida auris, an Agent of Hospital-Associated Outbreaks: Which Challenging Issues Do We Need to Have in Mind? Microorganisms 2020, 8, 181. [Google Scholar] [CrossRef] [PubMed]
- Chakrabarti, A.; Singh, S. Multidrug-resistant Candida auris: An epidemiological review. Expert Rev. Anti-Infect. Ther. 2020, 18, 551–562. [Google Scholar] [CrossRef]
- Arastehfar, A.; Daneshnia, F.; Hilmioğlu-Polat, S.; Fang, W.; Yaşar, M.; Polat, F.; Metin, D.Y.; Rigole, P.; Coenye, T.; Ilkit, M.; et al. First Report of Candidemia Clonal Outbreak Caused by Emerging Fluconazole-Resistant Candida parapsilosis Isolates Harboring Y132F and/or Y132F+K143R in Turkey. Antimicrob. Agents Chemother. 2020, 64, e01001-20. [Google Scholar] [CrossRef]
- Skóra, M.; Rosam, K.; Namysł, M.; Sepioło, A.; Gajda, M.; Jędras, J.; Krzyściak, P.; Zorska, J.; Wordliczek, J.; Heczko, P.B.; et al. Candida albicans Horizontal Transmission in COVID-19 Patients Hospitalized in Intensive Care Unit. J. Fungi 2024, 10, 864. [Google Scholar] [CrossRef] [PubMed]
- Lupetti, A.; Tavanti, A.; Davini, P.; Ghelardi, E.; Corsini, V.; Merusi, I.; Boldrini, A.; Campa, M.; Senesi, S. Horizontal transmission of Candida parapsilosis candidemia in a neonatal intensive care unit. J. Clin. Microbiol. 2002, 40, 2363–2369. [Google Scholar] [CrossRef] [PubMed]
- Denning, D.W. Global incidence and mortality of severe fungal disease. Lancet Infect. Dis. 2024, 24, e428–e438. [Google Scholar] [CrossRef]
- Donnelly, J.P.; Chen, S.C.; Kauffman, C.A.; Steinbach, W.J.; Baddley, J.W.; Verweij, P.E.; Clancy, C.J.; Wingard, J.R.; Lockhart, S.R.; Groll, A.H.; et al. Revision and Update of the Consensus Definitions of Invasive Fungal Disease from the European Organization for Research and Treatment of Cancer and the Mycoses Study Group Education and Research Consortium. Clin. Infect. Dis. 2020, 71, 1367–1376. [Google Scholar] [CrossRef]
- Timsit, J.F.; Ruppé, E.; Barbier, F.; Tabah, A.; Bassetti, M. Bloodstream infections in critically ill patients: An expert statement. Intensiv. Care Med. 2020, 46, 266–284. [Google Scholar] [CrossRef]
- Branco, J.; Miranda, I.M.; Rodrigues, A.G. Candida parapsilosis Virulence and Antifungal Resistance Mechanisms: A Comprehensive Review of Key Determinants. J. Fungi 2023, 9, 80. [Google Scholar] [CrossRef]
- Pfaller, M.A.; Diekema, D.J.; Turnidge, J.D.; Castanheira, M.; Jones, R.N. Twenty Years of the SENTRY Antifungal Surveillance Program: Results for Candida Species from 1997–2016. Open Forum Infect. Dis. 2019, 6, S79–S94. [Google Scholar] [CrossRef]
- Daneshnia, F.; de Almeida Júnior, J.N.; Ilkit, M.; Lombardi, L.; Perry, A.M.; Gao, M.; Nobile, C.J.; Egger, M.; Perlin, D.S.; Zhai, B.; et al. Worldwide emergence of fluconazole-resistant Candida parapsilosis: Current framework and future research roadmap. Lancet Microbe 2023, 4, e470–e480. [Google Scholar] [CrossRef]
- Hoenigl, M.; Sprute, R.; Egger, M.; Arastehfar, A.; Cornely, O.A.; Krause, R.; Lass-Flörl, C.; Prattes, J.; Spec, A.; Thompson, G.H.; et al. The Antifungal Pipeline: Fosmanogepix, Ibrexafungerp, Olorofim, Opelconazole, and Rezafungin. Drugs 2021, 81, 1703–1729. [Google Scholar] [CrossRef] [PubMed]
- Van Daele, R.; Spriet, I.; Wauters, J.; Maertens, J.; Mercier, T.; Van Hecke, S.; Brüggemann, R. Antifungal drugs: What brings the future? Med. Mycol. 2019, 57, S328–S343. [Google Scholar] [CrossRef] [PubMed]
- Thompson, G.R., 3rd; Soriano, A.; Cornely, O.A.; Kullberg, B.J.; Kollef, M.; Vazquez, J.; Honore, P.M.; Bassetti, M.; Pullman, J.; Chayakulkeeree, M.; et al. Rezafungin versus caspofungin for treatment of candidaemia and invasive candidiasis (ReSTORE): A multicentre, double-blind, double-dummy, randomised phase 3 trial. Lancet 2023, 401, 49–59. [Google Scholar] [CrossRef]
- Cortegiani, A.; Misseri, G.; Giarratano, A.; Bassetti, M.; Eyre, D. The global challenge of Candida auris in the intensive care unit. Crit. Care 2019, 23, 150. [Google Scholar] [CrossRef]
- Khojasteh, S.; Jafarzdeh, J.; Hosseini, S.A.; Haghani, I.; Turki, H.; Aghaei Gharehbolagh, S.; Abastabar, M.; Mahmoudi, S. Candida auris and COVID-19: A health threatening combination. Curr. Med. Mycol. 2022, 8, 44–50. [Google Scholar] [CrossRef]
- Hoenigl, M.; Seidel, D.; Sprute, R.; Cunha, C.; Oliverio, M.; Goldman, G.H.; Ibrahim, A.S.; Carvalho, A. COVID-19-associated fungal infections. Nat. Microbiol. 2022, 7, 1127–1140. [Google Scholar] [CrossRef]
- Singh, A.; Singh, P.K.; de Groot, T.; Kumar, A.; Mathur, P.; Tarai, B.; Sachdeva, N.; Upadhyaya, G.; Sarma, S.; Meis, J.F.; et al. Emergence of clonal fluconazole-resistant Candida parapsilosis clinical isolates in a multicentre laboratory-based surveillance study in India. J. Antimicrob. Chemother. 2019, 74, 1260–1268. [Google Scholar] [CrossRef] [PubMed]
- Martini, C.; Torelli, R.; de Groot, T.; De Carolis, E.; Morandotti, G.A.; De Angelis, G.; Posteraro, B.; Meis, J.F.; Sanguinetti, M. Prevalence and Clonal Distribution of Azole-Resistant Candida parapsilosis Isolates Causing Bloodstream Infections in a Large Italian Hospital. Front. Cell. Infect. Microbiol. 2020, 10, 232. [Google Scholar] [CrossRef]
- Alcoceba, E.; Gómez, A.; Lara-Esbrí, P.; Oliver, A.; Beltrán, A.F.; Ayestarán, I.; Muñoz, P.; Escribano, P.; Guinea, J. Fluconazole-resistant Candida parapsilosis clonally related genotypes: First report proving the presence of endemic isolates harbouring the Y132F ERG11 gene substitution in Spain. Clin. Microbiol. Infect. 2022, 28, 1113–1119. [Google Scholar] [CrossRef]
- Trevijano-Contador, N.; Torres-Cano, A.; Carballo-González, C.; Puig-Asensio, M.; Martín-Gómez, M.T.; Jiménez-Martínez, E.; Romero, D.; Nuvials, F.X.; Olmos-Arenas, R.; Moretó-Castellsagué, M.C.; et al. Global emergence of resistance to fluconazole and voriconazole in Candida parapsilosis in tertiary hospitals in Spain during the COVID-19 pandemic. Open Forum Infect. Dis. 2022, 9, ofac605. [Google Scholar] [CrossRef]
- Miller, J.M.; Binnicker, M.J.; Campbell, S.; Carroll, K.C.; Chapin, K.C.; Gonzalez, M.D.; Harrington, A.; Jerris, R.C.; Kehl, S.C.; Leal, S.M., Jr.; et al. Guide to utilization of the microbiology laboratory for diagnosis of infectious diseases: 2024 update by the Infectious Diseases Society of America (IDSA) and the American Society for Microbiology (ASM). Clin. Infect. Dis. 2024. [Google Scholar] [CrossRef]
- Reinhold, I.; Picardi, S.; Liss, B.; Seidel, D.; Stemler, J.; Koehler, P.; Ruegamer, T.; Sprute, R.; Cornely, O.A. Towards shorter therapy for candidaemia: Defining uncomplicated candidaemia in adults. Lancet Infect. Dis. 2026, 26, e112–e123. [Google Scholar] [CrossRef] [PubMed]
- Miller, J.M.; Binnicker, M.J.; Campbell, S.; Carroll, K.C.; Chapin, K.C.; Gilligan, P.H.; Gonzalez, M.D.; Jerris, R.C.; Kehl, S.C.; Patel, R.; et al. A guide to utilization of the microbiology laboratory for diagnosis of infectious diseases: 2018 Update by the Infectious Diseases Society of America and the American Society for Microbiology. Clin. Infect. Dis. 2018, 67, e1–e94. [Google Scholar] [CrossRef]
- Leber, A.L.; Burnham, C.A.D. Clinical Microbiology, Procedures Handbook, 5th ed.; ASM Press: Washington, DC, USA, 2023; Volume 2. [Google Scholar]
- Available online: https://www.eucast.org/fungi-afst/document-archive/ (accessed on 25 December 2025).
- Aydın, S.; Mert, A.; Yılmaz, M.; Al Maslamani, M.; Rahimi, B.A.; Ayoade, F.; El-Kholy, A.; Belitova, M.; Sengel, B.E.; Jalal, S.; et al. Understanding clinical outcomes and factors influencing mortality in intensive care unit patients with COVID-19-associated candidemia. Mycoses 2024, 67, e13687. [Google Scholar] [CrossRef]
- Wolfgruber, S.; Sedik, S.; Klingspor, L.; Tortorano, A.; Gow, N.A.R.; Lagrou, K.; Gangneux, J.P.; Maertens, J.; Meis, J.F.; Lass-Flörl, C.; et al. Insights from Three Pan-European Multicentre Studies on Invasive Candida Infections and Outlook to ECMM Candida IV. Mycopathologia 2024, 189, 70. [Google Scholar] [CrossRef]
- Kanj, S.S.; Haddad, S.F.; Meis, J.F.; Verweij, P.E.; Voss, A.; Rautemaa-Richardson, R.; Levy-Hara, G.; Chowdhary, A.; Ghafur, A.; Brüggemann, R.; et al. The battle against fungi: Lessons in antifungal stewardship from COVID 19 times. Int. J. Antimicrob. Agents 2023, 62, 106846. [Google Scholar] [CrossRef] [PubMed]
- Pappas, P.G.; Kauffman, C.A.; Andes, D.R.; Clancy, C.J.; Marr, K.A.; Ostrosky-Zeichner, L.; Reboli, A.C.; Schuster, M.G.; Vazquez, J.A.; Walsh, T.J.; et al. Clinical Practice Guideline for the Management of Candidiasis: 2016 Update by the Infectious Diseases Society of America. Clin. Infect. Dis. 2016, 62, e1–e50. [Google Scholar] [CrossRef] [PubMed]
- Gaffar, N.R.; Valand, N.; Venkatraman Girija, U. Candidiasis: Insights into Virulence Factors, Complement Evasion and Antifungal Drug Resistance. Microorganisms 2025, 13, 272. [Google Scholar] [CrossRef] [PubMed]
- Guinea, J. Global trends in the distribution of Candida species causing candidemia. Clin. Microbiol. Infect. 2014, 20, 5–10. [Google Scholar] [CrossRef] [PubMed]
- Motta, J.C.; Rivas-Pinedo, P.; Onate, J.M. Changing Climate, Changing Candida: Environmental and Social Pressures on Invasive Candidiasis and Antifungal Resistance in Latin America. J. Fungi 2025, 11, 609. [Google Scholar] [CrossRef]
- Stewart, A.G.; Laupland, K.B.; Edwards, F.; Koo, S.; Hammond, S.P.; Harris, P.N.; Paterson, D.L.; Slavin, M.A.; Chen, S.C. Population-based longitudinal study over two decades of Candida and v-like species bloodstream infection reveals gender and species differences in mortality, recurrence and resistance. J. Infect. 2025, 91, 106513. [Google Scholar] [CrossRef]
- Soriano-Martín, A.; Escribano, P.; Machado, M.; Guinea, J.; Reigadas, E.; García-Clemente, P.; Bouza, E.; Muñoz, P. Trends in Candidemia Over the Last 14 Years: A Comparative Analysis of Candida parapsilosis and Candida albicans. Open Forum Infect. Dis. 2025, 12, ofaf359. [Google Scholar] [CrossRef]
- Forrest, G.N.; Weekes, E.; Johnson, J.K. Increasing incidence of Candida parapsilosis candidemia with caspofungin usage. J. Infect. 2008, 56, 126–129. [Google Scholar] [CrossRef]
- Tanriverdi, E.S.; Yakupogullari, Y.; Duman, Y.; Tekerekoglu, M.S.; Otlu, B. Shift in Candida species causing candidemia: A seven-year study from a university hospital and evaluation of the rise of Candida parapsilosis sensu stricto. Rev. Iberoam. Micol. 2025, 42, 66–73. [Google Scholar] [CrossRef]
- Shishido, A.A.; Mathew, M.; Baddley, J.W. Overview of COVID-19-Associated Invasive Fungal Infection. Curr. Fungal Infect. Rep. 2022, 16, 87–97. [Google Scholar] [CrossRef] [PubMed]
- Wilbourn, A.C.; Tsodikov, O.V.; Garneau-Tsodikova, S. Association of COVID-19 risk factors with systemic fungal infections in hospitalized patients. medRxiv 2024. medRxiv:2024.10.10.24315254. [Google Scholar] [CrossRef]
- Srisurapanont, K.; Lerttiendamrong, B.; Meejun, T.; Thanakitcharu, J.; Manothummetha, K.; Thongkam, A.; Chuleerarux, N.; Sanguankeo, A.; Li, L.X.; Leksuwankun, S.; et al. Candidemia Following Severe COVID-19 in Hospitalised and Critical Ill Patients: A Systematic Review and Meta-Analysis. Mycoses 2024, 67, e13798. [Google Scholar] [CrossRef]
- Alessandri, F.; Ceccarelli, G.; Migliara, G.; Baccolini, V.; Russo, A.; Marzuillo, C.; Ceparano, M.; Giordano, G.; Tozzi, P.; Galardo, G.; et al. High Incidence of Candidemia in Critically Ill COVID-19 Patients Supported by Veno-Venous Extracorporeal Membrane Oxygenation: A Retrospective Study. J. Fungi 2023, 9, 119. [Google Scholar] [CrossRef]
- Machado, M.; Estévez, A.; Sánchez-Carrillo, C.; Guinea, J.; Escribano, P.; Alonso, R.; Valerio, M.; Padilla, B.; Bouza, E.; Muñoz, P. Incidence of Candidemia Is Higher in COVID-19 versus Non-COVID-19 Patients, but Not Driven by Intrahospital Transmission. J. Fungi 2022, 8, 305. [Google Scholar] [CrossRef] [PubMed]
- Koulenti, D.; Karvouniaris, M.; Paramythiotou, E.; Koliakos, N.; Markou, N.; Paranos, P.; Meletiadis, J.; Blot, S. Severe Candida infections in critically ill patients with COVID-19. J. Intensiv. Med. 2023, 3, 291–297. [Google Scholar] [CrossRef]
- Pinho, S.; Miranda, I.M.; Costa-de-Oliveira, S. Global Epidemiology of Invasive Infections by Uncommon Candida Species: A Systematic Review. J. Fungi 2024, 10, 558. [Google Scholar] [CrossRef] [PubMed]
- Kohlenberg, A.; Monnet, D.L.; Plachouras, D.; Candida auris Survey Collaborative Group. Increasing number of cases and outbreaks caused by Candida auris in the EU/EEA, 2020 to 2021. Euro Surveillance 2022, 27, 2200846. [Google Scholar] [CrossRef]
- European Centre for Disease Prevention and Control. Survey on the Epidemiological Situation, Laboratory Capacity and Preparedness for Candidozyma (Candida) Auris, 2024; ECDC: Stockholm, Sweden, 2025.
- Beredaki, M.I.; Georgiou, P.C.; Siopi, M.; Kanioura, L.; Andes, D.; Arendrup, M.C.; Mouton, J.W.; Meletiadis, J. Toward Harmonization of Voriconazole CLSI and EUCAST Breakpoints for Candida albicans Using a Validated In Vitro Pharmacokinetic/Pharmacodynamic Model. Antimicrob. Agents Chemother. 2020, 64, e00170-20. [Google Scholar] [CrossRef] [PubMed]
- Yamin, D.; Akanmu, M.H.; Al Mutair, A.; Alhumaid, S.; Rabaan, A.A.; Hajissa, K. Global Prevalence of Antifungal-Resistant Candida parapsilosis: A Systematic Review and Meta-Analysis. Trop. Med. Infect. Dis. 2022, 7, 188. [Google Scholar] [CrossRef]
- Jenkins, E.N.; Gold, J.A.W.; Benedict, K.; Lockhart, S.R.; Berkow, E.L.; Dixon, T.; Shack, S.L.; Witt, L.S.; Harrison, L.H.; Seopaul, S.; et al. Population-Based Active Surveillance for Culture-Confirmed Candidemia—10 Sites, United States, 2017–2021. MMWR Surveill. Summ. 2025, 74, 1–15. [Google Scholar] [CrossRef] [PubMed]
- Nawrot, U.; Pajączkowska, M.; Fleischer, M.; Przondo-Mordarska, H.; Samet, A.; Piasecka-Pazik, D.; Komarnicka, J.; Sulik-Tyszka, B.; Swoboda-Kopeć, E.; Cieślik, J.; et al. Candidaemia in polish hospitals—A multicentre survey. Mycoses 2013, 56, 576–581. [Google Scholar] [CrossRef]



| Candida Species | Hospital A | Hospital B | Hospital C * | Hospital D | Hospital E | Total |
|---|---|---|---|---|---|---|
| Candida albicans complex | 161 (49.8%) | 33 (55.0%) | 9 (47.4%) | 52 (47.7%) | 13 (22.0%) | 268 (47.0%) |
| Candida albicans | 146 (45.2%) | 33 (55%) | 7 (36.8%) | 46 (42.2%) | 11 (18.6%) | 243 (42.6%) |
| Candida dubliniensis | 15 (4.6%) | 0 (0.0%) | 2 (10.5%) | 6 (5.5%) | 2 (3.4%) | 25 (4.4%) |
| Candida other than the C. albicans complex | 162 (50.2%) | 27 (45.0%) | 10 (52.6%) | 57 (52.3%) | 46 (77.9%) | 302 (52.9%) |
| Nakaseomyces glabratus (formerly Candida glabrata) | 73 (22.6%) | 12 (20.0%) | 2 (10.5%) | 29 (26.6%) | 10 (16.9%) | 126 (22.1%) |
| Pichia kudriavzevii (formerly Candida krusei) | 5 (1.6%) | 0 (0.0%) | 2 (10.5%) | 0 (0.0%) | 2 (3.39%) | 9 (1.58%) |
| Candida parapsilosis complex | 51 (15.8%) | 13 (21. 7%) | 4 (21.1%) | 16 (14.7%) | 23 (38.9%) | 107 (18.8%) |
| Candida lusitaniae | 5 (1.6%) | 0 (0.0%) | 0 (0.0%) | 8 (7.34%) | 2 (3.39%) | 15 (2.63%) |
| Candida tropicalis | 20 (6.2%) | 1 (1.7%) | 1 (5.3%) | 4 (3.67%) | 6 (10.12%) | 32 (5.61%) |
| Candida auris | 0 (0.0%) | 0 (0.0%) | 0 (0.0%) | 0 (0.0%) | 0 (0.0%) | 0 (0.0%) |
| Other Candida species ** | 8 (2.5%) | 1 (1.7%) | 1 (5.3%) | 0 (0.0%) | 3 (5.1%) | 13 (2.3%) |
| Total | 323 (100.0%) | 60 (100.0%) | 19 (100.0%) | 109 (100.0%) | 59 (100.0%) | 570 (100.0%) |
| Antifungal Drug | Hospital A | Hospital B | Hospital C | Hospital D | Hospital E | Total |
|---|---|---|---|---|---|---|
| Candida albicans | ||||||
| AMB | 100% | 100% | 100% | 100% | 90.9% | 98.2% |
| FLC | 98.63% | 100% | 85.7% | 100% | 90.9% | 95.1% |
| VRC | 98.63% | 100% | 83.3% | 100% | 90.9% | 94.6% |
| ANI | 99% | 100% | - ^^ | - | - | 99.5% |
| Nakaseomyces glabratus (formerly Candida glabrata) | ||||||
| AMB | 100% | 100% | 100% | 100% | 90% | 98% |
| FLC | 93.2% | 75% | - | 93.1% | 0 | 65.3% |
| VRC | IE | IE | IE | IE | IE | IE |
| ANI | 100% | 100% | - ^^ | - | - | 100% |
| Pichia kudriavzevii (formerly Candida krusei) | ||||||
| AMB | 100% | - | 50% | 100% | 50% | 75% |
| FLC | - | - | - | - | - | - |
| VRC | IE | - | IE | IE | IE | IE |
| ANI | 100% | - | - ^^ | - | - | 100% |
| Candida parapsilosis complex | ||||||
| AMB | 100% | 100% | 100% | 100% | 100% | 100% |
| FLC | 87% | 100% | 100% | 100% | 69.6% | 91.3% |
| VRC | 92.2% | 100% | 100% | 100% | 60% | 90.4% |
| ANI | 86.3% | 100% | - ^^ | - | - | 93.1% |
| Candida tropicalis | ||||||
| AMB | 100% | 100% | 100% | 100% | 100% | 100% |
| FLC | 100% | 100% | 0 | 100% | 100% | 80% |
| VRC | 100% | - | 0 | 100% | 100% | 75% |
| ANI | 100% | - | - ^^ | - | - | 100% |
| Antifungal Drug | Candida Species | Susceptibility Category * | Percentage of Isolates in Each Category (S/I/R) (MIC Ranges [mg/L]) | |||||
|---|---|---|---|---|---|---|---|---|
| 2017 | 2018 | 2019 | 2020 | 2021 | 2022 | |||
| FLC | Ca | S, I | 93% (0.19–1) | 100% (0.25–1) | 100% (0.5–1) | 100% (0.5–2) | 100% (0.25–1) | 100% (0.25–1) |
| R | 7% (16–256) | 0 | 0 | 0 | 0 | 0 | ||
| Ng | S, I | 92% (2–16) | 100% (2–32) | 94% (4–16) | 100% (8–32) | 86% (2–16) | 90% (2–8) | |
| R | 8% (256) | 0 | 6% (256) | 0 | 14% (32–256) | 10% (128) | ||
| Cpc | S, I | 58% (0.5–2) | 100% (0.5–1) | 86% (0.5–2) | 100% (0.5–2) | 100% (0.5–2) | 100% (0.5–1) | |
| R | 42% (256) | 0 | 14% (8) | 0 | 0 | 0 | ||
| VRC | Ca | S, I | 93% (0.012–0.125) | 100% (0.06–0.125) | 100% (0.06) | 100% (0.008–0.19) | 100% (0.008–0.125) | 100% (0.008–0.06) |
| R | 7% (1) | 0 | 0 | 0 | 0 | 0 | ||
| Ng | IE | n/a (0.125–8) | n/a (0.125–0.25) | n/a (0.03–1) | n/a (0.125–0.25) | n/a (0.03–32) | n/a (0.03–1) | |
| Cpc | S, I | 55% (0.125–0.25) | 100% (0.016–0.125) | 100% (0.094–0.125) | 100% (0.125–0.25) | 100% (0.008–0.125) | 100% (0.008–0.016) | |
| R | 45% (0.38–0.75) | 0 | 0 | 0 | 0 | 0 | ||
| AMB | Ca | S | 100% (0.25–0.5) | 100% (0.25–0.5) | 100% (0.25–0.5) | 100% (0.094–0.5) | 100% (0.03–0.5) | 100% (0.125–0.5) |
| R | 0 | 0 | 0 | 0 | 0 | 0 | ||
| Ng | S | 100% (0.094–0.5) | 100% (0.25–0.5) | 100% (0.25–1) | 100% (0.25–0.5) | 100% (0.125–0.5) | 100% (0.125–0.5) | |
| R | 0 | 0 | 0 | 0 | 0 | 0 | ||
| Cpc | S | 100% (0.016–0.5) | 100% (0.25–0.5) | 100% (0.03–0.5) | 100% (0.25–1) | 100% (0.125–0.5) | 100% (0.125–0.5) | |
| R | 0 | 0 | 0 | 0 | 0 | 0 | ||
| ANI | Ca | S, I | 100% (0.002–0.06) | 100% (0.002–0.012) | 94% (0.002–0.38) | 100% (0.002–0.125) | 100% (0.002–0.03) | 100% (0.002–0.03) |
| R | 0 | 0 | 6% (1) | 0 | 0 | 0 | ||
| Ng | S, I | 100% (0.004–0.06) | 100% (0.004–0.125) | 100% (0.004–0.03) | 100% (0.003–0.006) | 100% (0.006–0.06) | 100% (0.03–0.06) | |
| R | 0 | 0 | 0 | 0 | 0 | 0 | ||
| Cpc | S, I | 100% (0.002–2) | 100% (0.38–1.5) | 100% (0.25–2) | 38% (1–2) | 80% (0.19–4) | 100% (0.125–1) | |
| R | 0 | 0 | 0 | 62% (6–12) | 20% (8) | 0 | ||
Disclaimer/Publisher’s Note: The statements, opinions and data contained in all publications are solely those of the individual author(s) and contributor(s) and not of MDPI and/or the editor(s). MDPI and/or the editor(s) disclaim responsibility for any injury to people or property resulting from any ideas, methods, instructions or products referred to in the content. |
© 2026 by the authors. Licensee MDPI, Basel, Switzerland. This article is an open access article distributed under the terms and conditions of the Creative Commons Attribution (CC BY) license.
Share and Cite
Namysł, M.; Skóra, M.; Pomorska-Wesołowska, M.; Romanik, M.; Świątek-Kwapniewska, W.; Serwacki, P.; Pawłowska, I.; Olechowska-Jarząb, A.; Wójkowska-Mach, J. Candidemia in Southern Poland (2017–2022): Multicenter Analysis of Species Distribution and Antifungal Susceptibility. J. Fungi 2026, 12, 212. https://doi.org/10.3390/jof12030212
Namysł M, Skóra M, Pomorska-Wesołowska M, Romanik M, Świątek-Kwapniewska W, Serwacki P, Pawłowska I, Olechowska-Jarząb A, Wójkowska-Mach J. Candidemia in Southern Poland (2017–2022): Multicenter Analysis of Species Distribution and Antifungal Susceptibility. Journal of Fungi. 2026; 12(3):212. https://doi.org/10.3390/jof12030212
Chicago/Turabian StyleNamysł, Magdalena, Magdalena Skóra, Monika Pomorska-Wesołowska, Małgorzata Romanik, Wioletta Świątek-Kwapniewska, Piotr Serwacki, Iwona Pawłowska, Aldona Olechowska-Jarząb, and Jadwiga Wójkowska-Mach. 2026. "Candidemia in Southern Poland (2017–2022): Multicenter Analysis of Species Distribution and Antifungal Susceptibility" Journal of Fungi 12, no. 3: 212. https://doi.org/10.3390/jof12030212
APA StyleNamysł, M., Skóra, M., Pomorska-Wesołowska, M., Romanik, M., Świątek-Kwapniewska, W., Serwacki, P., Pawłowska, I., Olechowska-Jarząb, A., & Wójkowska-Mach, J. (2026). Candidemia in Southern Poland (2017–2022): Multicenter Analysis of Species Distribution and Antifungal Susceptibility. Journal of Fungi, 12(3), 212. https://doi.org/10.3390/jof12030212

