Dynamics of Nutrient Components and Microbial Communities in Substrates During the Development of the Fruiting Bodies of Volvariella volvacea
Abstract
1. Introduction
2. Materials and Methods
2.1. Cultivation Method and Sampling
2.2. Nutrient Content Analysis
2.3. DNA Extraction, PCR Amplification, and High-Throughput Sequencing
2.4. Data Processing and Analysis
2.5. Statistical Analysis
3. Results
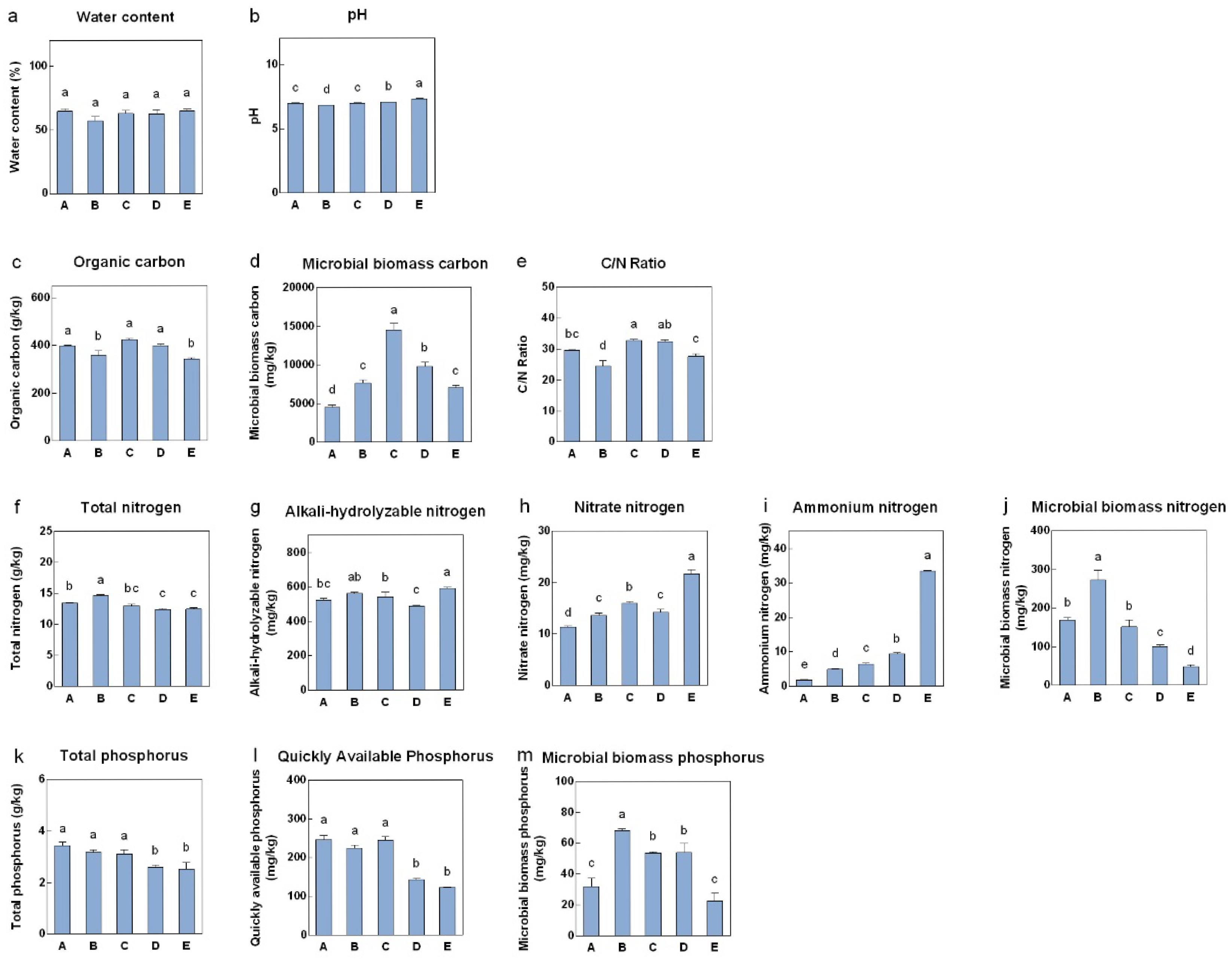
3.1. Physicochemical Changes in the Substrate During V. volvacea Fruiting Body Development
3.2. Microbial Community Diversity and Evolution
3.3. Differences in Community Composition
3.4. Correlations Between Microorganisms and the Nutrient Profile of the Substrate
4. Discussion
5. Conclusions
Author Contributions
Funding
Institutional Review Board Statement
Informed Consent Statement
Data Availability Statement
Conflicts of Interest
Abbreviations
| WC | Water Content |
| OC | Organic Carbon |
| MBC | Microbial Biomass Carbon |
| MBN | Microbial Biomass Nitrogen |
| MBP | Microbial Biomass Phosphorus |
| TN | Total Nitrogen |
| AHN | Alkali-Hydrolyzed Nitrogen |
| NH4+-N | Ammonium Nitrogen |
| NO3-N | Nitrate Nitrogen |
| TP | Total Phosphorus |
| QAP | Quickly Available Phosphorus |
| DNA | Deoxyribonucleic Acid |
| PCR | Polymerase Chain Reaction |
| ASVs | Amplicon Sequence Variants |
| GLM | General Linear Model |
| LSD | Least Significant Difference |
| NMDS | Nonmetric Multidimensional Scaling |
| PERMANOVA | Permutational Multivariate Analysis of Variance |
| LEfSe | Linear Discriminant Analysis Effect Size |
| LDA | Linear Discriminant Analysis |
| NCBI | National Center for Biotechnology Information |
| SRA | Sequence Read Archive |
References
- Feng, L.; Wang, L.; Lei, Y.; Li, J.; Zhao, F. Molecular Mechanism During Mycelium Subculture Degeneration of Volvariella volvacea. J. Fungi 2024, 11, 7. [Google Scholar] [CrossRef] [PubMed]
- Chang, S.T.; Miles, P.G. Mushrooms: Cultivation, Nutritional Value, Medicinal Effect, and Environmental Impact, 2nd ed.; CRC Press: Boca Raton, FL, USA, 2004. [Google Scholar]
- Chang, S.T. A cytological study of spore germination of Volvariella volvacea. Bot. Mag. Tokyo 1969, 82, 102–109. [Google Scholar] [CrossRef]
- Ali, S.; Yousaf, N.; Usman, M.; Javed, M.A.; Nawaz, M.; Ali, B.; Azam, M.; Ercisli, S.; Tirasci, S.; Ahmed, A.E. Volvariella volvacea (paddy straw mushroom): A mushroom with exceptional medicinal and nutritional properties. Heliyon 2024, 10, e39747. [Google Scholar] [CrossRef] [PubMed]
- Hou, L.J.; Li, Z.P.; Li, C.T.; Lin, J.S.; Ma, L.; Jiang, N.; Qu, S.X.; Li, H.P.; Li, Y. Enhanced Enzymatic Hydrolysis of Cellulose From Substrate and Indole-3-Acetic Acid Content-During the Fruiting Body Differentiation Stage by Sodium Acetate Addition. Front. Fungal Biol. 2021, 2, 746313. [Google Scholar] [CrossRef]
- Biswas, M.K. Cultivation of paddy straw mushrooms (Volvariella volvacea) in the lateritic zone of West Bengal-a healthy food for rural people. Int. J. Econ. Plants 2014, 1, 43–47. [Google Scholar]
- Mohd Joha, N.S.; Misran, A.; Mahmud, T.M.M.; Abdullah, S.; Mohamad, A. Physical quality, amino acid contents, and health risk assessment of straw mushroom (Volvariella volvacea) at different maturity stages. Int. Food Res. J. 2021, 28, 181–188. [Google Scholar] [CrossRef]
- Chen, X.; Zhang, Z.; Liu, X.; Cui, B.; Miao, W.; Cheng, W.; Zhao, F. Characteristics Analysis Reveals the Progress of Volvariella volvacea Mycelium Subculture Degeneration. Front. Microbiol. 2019, 10, 2045. [Google Scholar] [CrossRef]
- Ukoima, H.N.; Ogbonnaya, L.O.; Arikpo, G.E.; Ikpe, F.N. Cultivation of mushroom (Volvariella volvacea) on various farm wastes in Obubra local government of Cross River state, Nigeria. Pak. J. Nutr. 2009, 8, 1059–1061. [Google Scholar] [CrossRef][Green Version]
- Tripathy, A.; Sahoo, T.K.; Behera, S.R. Yield Evaluation of Paddy Straw Mushrooms (Volvariella spp.) on Various Lignocellulosic Wastes. Bot. Res. Int. 2011, 4, 19–24. [Google Scholar]
- Thuc, L.V.; Corales, R.G.; Sajor, J.T.; Truc, N.T.T.; Hien, P.H.; Ramos, R.E.; Bautista, E.; Tado, C.J.M.; Ompad, V.; Son, D.T.; et al. Rice-Straw Mushroom Production; Springer Nature: Cham, Switzerland, 2020. [Google Scholar]
- Akinyle, B.J.; Akinyosoye, F.A. Effect of Volvariella volvacea cultivation on chemical composition of agrowastes. Afr. J. Biotechnol. 2005, 4, 979–983. [Google Scholar]
- Kakumyan, P.; Yang, L.; Liu, S.; Yu, C.; Li, Z.; Chen, M.; Popluechai, S.; Zhao, Y. Comparison of the Bacterial and Fungal Communities and Metabolic Functions of Cottonseed Hull Waste Compost Associated with High and Low Yields of Straw Mushroom Volvariella volvacea. Microorganisms 2025, 13, 437. [Google Scholar] [CrossRef] [PubMed]
- Hou, L.; Li, Y.; Chen, M.; Li, Z. Improved fruiting of the straw mushroom (Volvariella volvacea) on cotton waste supplemented with sodium acetate. Appl. Microbiol. Biotechnol. 2017, 101, 8533–8541. [Google Scholar] [CrossRef] [PubMed]
- Reyes, R.G.; Abella, E.A.; Eguchu, F.; Lijima, T.; Higaki, M.; Quimio, T.H. Growing Paddy Straw Mushrooms. In Mushroom Growers’ Handbook 1; MushWorld: San Francisco, CA, USA, 2004; pp. 248–255. [Google Scholar]
- Onuoha, C.I.; Oyibo, G.; Ebibila, J. Cultivation of Straw Mushroom (Volvariella volvacea) Using SomeAgro-Waste Material. J. Am. Sci. 2009, 5, 135–138. [Google Scholar]
- Haq, I.U.; Khan, M.A.; Khan, S.A.; Ahmad, M. Biochemical analysis of fruiting bodies of Volvariella volvacea strain Vv pk, grown on six different substrates. Soil Environ. 2011, 30, 146–150. [Google Scholar]
- Philippoussis, A.; Zervakis, G.; Diamantopoulour, P. Bioconversion of Agriculture Wastes through the Cultivation of the Edible Mushrooms. World J. Microbiol. Biotechnol. 2001, 17, 191–200. [Google Scholar] [CrossRef]
- Solovyev, N.; Prakash, N.T.; Bhatia, P.; Prakash, R.; Drobyshev, E.; Michalke, B. Selenium-rich mushrooms cultivation on a wheat straw substrate from seleniferous area in Punjab, India. J. Trace Elem. Med. Biol. 2018, 50, 362–366. [Google Scholar] [CrossRef]
- Souza, T.P.; Marques, S.C.; da Silveira e Santos, D.M.; Dias, E.S. Analysis of thermophilic fungal populations during phase II of composting for the cultivation of Agaricus subrufescens. World J. Microbiol. Biotechnol. 2014, 30, 2419–2425. [Google Scholar] [CrossRef]
- Chen, C.; Yun, J.; Meng, L.; Li, Y. Denaturing gradient gel electrophoresis analysis on bacterial community change in the phase II composting of Volvariella volvacea substrate. Wei Sheng Wu Xue Bao 2012, 52, 977–984. [Google Scholar]
- Kertesz, M.A.; Thai, M. Compost bacteria and fungi that influence growth and development of Agaricus bisporus and other commercial mushrooms. Appl. Microbiol. Biotechnol. 2018, 102, 1639–1650. [Google Scholar] [CrossRef]
- Székely, A.J.; Sipos, R.; Berta, B.; Vajna, B.; Hajdú, C.; Márialigeti, K. DGGE and T-RFLP Analysis of Bacterial Succession during Mushroom Compost Production and Sequence-aided T-RFLP Profile of Mature Compost. Microb. Ecol. 2009, 57, 522–533. [Google Scholar] [CrossRef]
- Rossouw, W.; Korsten, L. Cultivable microbiome of fresh white button mushrooms. Lett. Appl. Microbiol. 2016, 64, 164–170. [Google Scholar] [CrossRef] [PubMed]
- Vajna, B.; Szili, D.; Nagy, A.; Márialigeti, K. An improved sequence-aided T-RFLP analysis of bacterial succession during oyster mushroom substrate preparation. Microb. Ecol. 2012, 64, 702–713. [Google Scholar] [CrossRef] [PubMed]
- Mao, W.; Li, Y.; Zhou, C.; Wang, Y.; Zhu, G.; Bao, D.; Wang, Y. Relative Expression of Laccase Genes at Different Stages of Volvariella volvacea Fruit Body Development. Acta Edulis Fungi 2016, 23, 1–6. [Google Scholar]
- Karnan, M.; Tamilkani, P.; Senthilkumar, G.; Vijayalakshmi, S.; Panneerselvam, A. Cultivation, nutrition, biochemicals and enzyme analysis of paddy straw. Int. J. Curr. Res. 2016, 8, 27303–27308. [Google Scholar]
- Shuai, X.; Fanyu, L.; Jialin, G.; XiaoYan, Z.; Mengnan, L.; Liang, L.; Chunlin, H.; Shuyang, Z.; Kangzhen, L.; Weihan, K.; et al. Low GHG emissions and less nitrogen use in mushroom-based protein production from chitin-containing waste and cottonseed hull with two phase SSF. Ind. Crops Prod. 2023, 201, 116970. [Google Scholar]
- Liu, Z.; Wang, J.; Kang, L.; Peng, Y.; Ye, L.; Zhou, H.; Liu, M. Exploring the influence of culture environment on the yield of Volvariella volvacea based on microbiomics. Horticulturae 2024, 10, 204. [Google Scholar] [CrossRef]
- Vieira, F.R.; Pecchia, J.A. Bacterial Community patterns in the Agaricus bisporus cultivation system, from compost raw materials to mushroom caps. Microb. Ecol. 2021, 84, 20–32. [Google Scholar] [CrossRef]
- Wei, H.; Wang, L.; Hassan, M.; Xie, B. Succession of the functional microbial communities and the metabolic functions in maize straw composting process. Bioresour. Technol. 2018, 256, 333–341. [Google Scholar] [CrossRef]
- Sharmin, F.; Wakelin, S.; Huygens, F.; Hargreaves, M. Firmicutes dominate the bacterial taxa within sugar-cane processing plants. Sci. Rep. 2013, 3, 3107. [Google Scholar] [CrossRef]
- Martins, L.F.; Antunes, L.P.; Pascon, R.C.; de Oliveira, J.C.F.; Digiampietri, L.A.; Barbosa, D.; Peixoto, B.M.; Vallim, M.A.; Viana-Niero, C.; Ostroski, E.H.; et al. Metagenomic analysis of a tropical composting operation at the Sao Paulo Zoo Park reveals diversity of biomass degradation functions and organisms. PLoS ONE 2013, 8, e61928. [Google Scholar] [CrossRef]
- Cho, Y.S.; Kim, J.S.; Crowley, D.E.; Cho, B.G. Growth promotion of the edible fungus Pleurotus ostreatus by fluorescent pseudomonads. FEMS Microbiol. Lett. 2003, 218, 271–276. [Google Scholar] [CrossRef] [PubMed]
- Baars, J.J.P.; Scholtmeijer, K.; Sonnenberg, A.S.M.; Van Peer, A. Critical factors involved in primordia building in Agaricus bisporus: A review. Molecules 2020, 25, 2984. [Google Scholar] [CrossRef] [PubMed]
- GB 5009.3-2016; National Food Safety Standard—Determination of Moisture Content in Foods. National Standard of the People’s Republic of China: Beijing, China, 2016.
- DB12T 729-2017; Determination Method of pH Value and Electrical Conductivity in Planting Substrate for Greening. Tianjin Quality and Technical Supervision Bureau: Tianjin, China, 2017.
- NY/T 1121.6-2006; Soil Testing. Part 6: Method for Determination of Soil Organic Matter. China Agriculture Press: Beijing, China, 2006.
- NY/T 2017-2011; Determination of Nitrogen, Phosphorus and Potassium in Plants. China Agriculture Press: Beijing, China, 2011.
- NY/T 1121.7-2014; Soil Testing. Part 7: Method for Determination of Available Phosphorus in Soil. China Agriculture Press: Beijing, China, 2014.
- Thiribhuvanamala, G.; Krishnamoorthy, S.; Manoranjitham, K.; Praksasm, V.; Krishnan, S. Improved techniques to enhance the yield of paddystraw mushroom (Volvariella volvacea) for commercialcultivation. Afr. J. Biotechnol. 2012, 11, 12740–12748. [Google Scholar]
- Li, Z.; Chen, M.; Yu, C.; Li, Q.; Zhou, F.; Li, Y. Five Steps to Cultivate Volvariella volvacea. Agric. Sci. Technol. 2017, 18, 1593–1594. [Google Scholar]
- Hao, H.; Yue, Y.; Wang, Q.; Xiao, T.; Zhao, Z.; Zhang, J.; Chen, H. Effects of the rice-mushroom rotation pattern on soil properties and microbial community succession in paddy fields. Front. Microbiol. 2024, 15, 1449922. [Google Scholar] [CrossRef]
- Sun, S.; Li, F.; Xu, X.; Liu, Y.; Chen, L. Study on community structure and function of symbiotic bacteria at different growth and developmental stages of Hypsizygus marmoreus. BMC Microbiol. 2020, 20, 311. [Google Scholar] [CrossRef]
- Ye, D.; Li, X.; Shen, J.; Xia, X. Microbial metabolomics: From novel technologies to diversified applications. TrAC Trends Anal. Chem. 2022, 148, 116540. [Google Scholar] [CrossRef]
- Chen, L.; Yan, M.; Qian, X.; Yang, Z.; Xu, Y.; Wang, T.; Cao, J.; Sun, S. Bacterial Community Composition in the Growth Process of Pleurotus eryngii and Growth-Promoting Abilities of Isolated Bacteria. Front. Microbiol. 2022, 13, 787628. [Google Scholar] [CrossRef] [PubMed]
- Siyoum, N.A.; Surridge, K.; van der Linde, E.J.; Korsten, L. Microbial succession in white button mushroom production systems from compost and casing to a marketable packed product. Ann. Microbiol. 2016, 66, 151–164. [Google Scholar] [CrossRef]
- Yang, W.; Wang, L.; Hu, Q.; Pei, F.; Mugambi, M.A. Identification of Bacterial Composition in Freeze-Dried Agaricus bisporus During Storage and the Resultant Odor Deterioration. Front. Microbiol. 2019, 10, 349. [Google Scholar] [CrossRef]
- Martín, M.L.T.; Lavega, R.; Carrasco, J.C.; Pérez, M.; Pérez-Pulido, A.J.; Thon, M.; Benito, E.P. Influence of Agaricus bisporus establishment and fungicidal treatments on casing soil metataxonomy during mushroom cultivation. BMC Genom. 2022, 23, 442. [Google Scholar]
- Zheng, B.; Xiao, Z.; Liu, J.; Zhu, Y.; Shuai, K.; Chen, X.; Liu, Y.; Hu, R.; Peng, G.; Li, J.; et al. Vertical differences in carbon metabolic diversity and dominant flora of soil bacterial communities in farmlands. Sci. Rep. 2024, 14, 9445. [Google Scholar] [CrossRef] [PubMed]
- Rivas, R.; Sánchez, M.E.; Trujillo, M.; Zurdo-Piñeiro, J.L.; Mateos, P.; Martínez-Molina, E.; Velázquez, E. Xylanimonas cellulosilytica gen. nov., sp. nov., a xylanolytic bacterium isolated from a decayed tree (Ulmus nigra). Int. J. Syst. Evol. Microbiol. 2003, 53, 99–103. [Google Scholar] [CrossRef] [PubMed]
- Schumann, P.; Stackebrandt, E. The Family Promicromonosporaceae; Springer: Berlin/Heidelberg, Germany, 2014. [Google Scholar]
- Warren, M.; Lin, X.; Gaby, J.C.; Kretz, C.; Kolton, M.; Morton, P.; Pett-Ridge, J.; Weston, D.; Schadt, C.; Kostka, J.; et al. Molybdenum-Based Diazotrophy in a Sphagnum Peatland in Northern Minnesota. Appl. Environ. Microbiol. 2017, 83, e01174-17. [Google Scholar] [CrossRef]
- Saito, T.; Ishii, S.; Otsuka, S.; Nishiyama, M.; Senoo, K. Identification of novel betaproteobacteria in a succinate-assimilating population in denitrifying rice paddy soil by using stable isotope probing. Microbes Environ. 2008, 23, 192–200. [Google Scholar] [CrossRef][Green Version]
- Qin, S.; Yu, L.; Yang, Z.; Li, M.; Clough, T.; Wrage-Moennig, N.; Hu, C.; Liu, B.; Chen, S.; Zhou, S. Electrodes Donate Electrons for Nitrate Reduction in a Soil Matrix via DNRA and Denitrification. Environ. Sci. Technol. 2019, 53, 2002–2012. [Google Scholar] [CrossRef]
- Cheng, C.; Wang, Q.; He, L.; Sheng, X. Change in mineral weathering behaviors of a bacterium Chitinophaga jiangningensis JN53 under different nutrition conditions. J. Basic Microbiol. 2017, 57, 293–301. [Google Scholar] [CrossRef]
- Chen, M.-Y.; Tsay, S.; Chen, K.-Y.; Shi, Y.-C.; Lin, Y.-T.; Lin, G.-H. Pseudoxanthomonas taiwanensis sp. nov., a novel thermophilic, N2O-producing species isolated from hot springs. Int. J. Syst. Evol. Microbiol. 2002, 52, 2155–2161. [Google Scholar] [CrossRef]
- Devi, R.; Thakur, R.; Kapoor, S.; Joshi, S.J.; Kumar, A. Comparative assessment on lignocellulose degrading enzymes and bioethanol production from spent mushroom substrate of Calocybe indica and Volvariella volvacea. Environ. Sci. Pollut. Res. 2024, 31, 38878–38892. [Google Scholar] [CrossRef]
- Wu, D.; Wei, Z.; Mohamed, T.A.; Zheng, G.; Qu, F.; Wang, F.; Zhao, Y.; Song, C. Lignocellulose biomass bioconversion during composting: Mechanism of action of lignocellulase, pretreatment methods and future perspectives. Chemosphere 2022, 286 Pt 1, 131635. [Google Scholar] [CrossRef]
- Zervakis, G.; Philippoussis, A.; Ioannidou, S.; Diamantopoulou, P. Mycelium growth kinetics and optimal temperature conditions for the cultivation of edible mushroom species on lignocellulosic substrates. Folia Microbiol. 2001, 46, 231–234. [Google Scholar] [CrossRef]
- Wang, W.; Yan, L.; Cui, Z.; Gao, Y.; Wang, Y.; Jing, R. Characterization of a microbial consortium capable of degrading lignocellulose. Bioresour. Technol. 2011, 102, 9321–9324. [Google Scholar] [CrossRef]





Disclaimer/Publisher’s Note: The statements, opinions and data contained in all publications are solely those of the individual author(s) and contributor(s) and not of MDPI and/or the editor(s). MDPI and/or the editor(s) disclaim responsibility for any injury to people or property resulting from any ideas, methods, instructions or products referred to in the content. |
© 2025 by the authors. Licensee MDPI, Basel, Switzerland. This article is an open access article distributed under the terms and conditions of the Creative Commons Attribution (CC BY) license (https://creativecommons.org/licenses/by/4.0/).
Share and Cite
Wang, L.; Dong, Q.; Guo, Q.; Zha, L.; Yang, L.; Yu, C.; Zhao, Y. Dynamics of Nutrient Components and Microbial Communities in Substrates During the Development of the Fruiting Bodies of Volvariella volvacea. J. Fungi 2025, 11, 479. https://doi.org/10.3390/jof11070479
Wang L, Dong Q, Guo Q, Zha L, Yang L, Yu C, Zhao Y. Dynamics of Nutrient Components and Microbial Communities in Substrates During the Development of the Fruiting Bodies of Volvariella volvacea. Journal of Fungi. 2025; 11(7):479. https://doi.org/10.3390/jof11070479
Chicago/Turabian StyleWang, Le, Qin Dong, Qian Guo, Lei Zha, Lin Yang, Changxia Yu, and Yan Zhao. 2025. "Dynamics of Nutrient Components and Microbial Communities in Substrates During the Development of the Fruiting Bodies of Volvariella volvacea" Journal of Fungi 11, no. 7: 479. https://doi.org/10.3390/jof11070479
APA StyleWang, L., Dong, Q., Guo, Q., Zha, L., Yang, L., Yu, C., & Zhao, Y. (2025). Dynamics of Nutrient Components and Microbial Communities in Substrates During the Development of the Fruiting Bodies of Volvariella volvacea. Journal of Fungi, 11(7), 479. https://doi.org/10.3390/jof11070479

