Environmental Gradients Shape Fungal Diversity and Functional Traits in Arctic Biocrusts
Abstract
1. Introduction
2. Materials and Methods
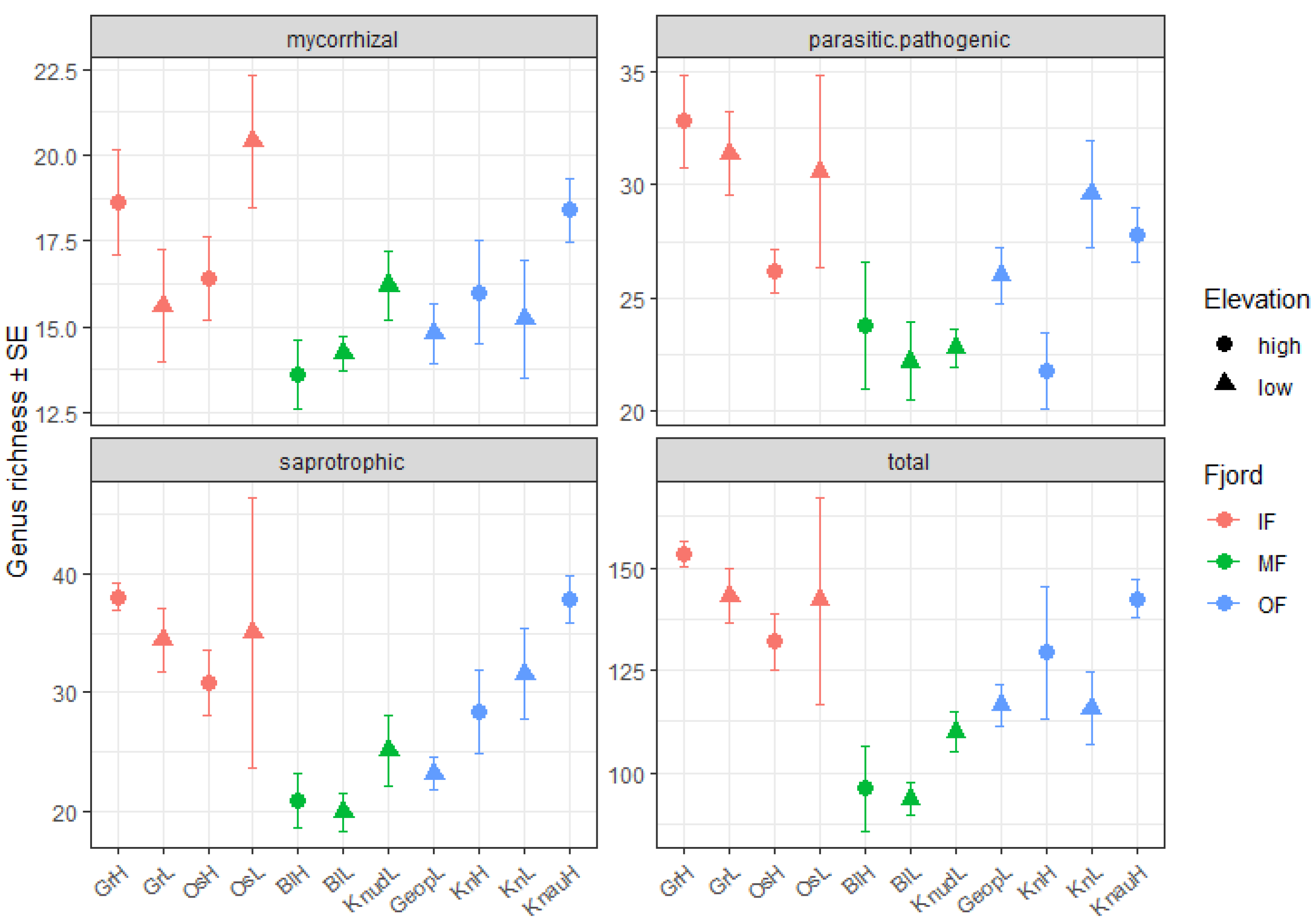
3. Results and Discussion
Supplementary Materials
Author Contributions
Funding
Institutional Review Board Statement
Informed Consent Statement
Data Availability Statement
Acknowledgments
Conflicts of Interest
References
- Weber, B.; Büdel, B.; Belnap, J. Biological Soil Crusts: An Organizing Principle in Drylands; Springer International Publishing: Berlin/Heidelberg, Germany, 2016. [Google Scholar]
- Guang, S.; Ying, Z.; Haotian, Y.; Li, X. Fungi in Biocrusts Facilitate Ecosystem Restoration during Long-Term Vegetation Succession in Arid Environments. Catena 2025, 252, 108893. [Google Scholar] [CrossRef]
- Robinson, C.H. Cold Adaptation in Arctic and Antarctic Fungi. New Phytol. 2001, 151, 341–353. [Google Scholar] [CrossRef]
- Timling, I.; Walker, D.A.; Nusbaum, C.; Lennon, N.J.; Taylor, D.L. Rich and Cold: Diversity, Distribution and Drivers of Fungal Communities in Patterned-Ground Ecosystems of the North American Arctic. Mol. Ecol. 2014, 23, 3258–3272. [Google Scholar] [CrossRef] [PubMed]
- Bolger, A.M.; Lohse, M.; Usadel, B. Trimmomatic: A Flexible Trimmer for Illumina Sequence Data. Bioinformatics 2014, 30, 2114–2120. [Google Scholar] [CrossRef] [PubMed]
- Põlme, S.; Abarenkov, K.; Henrik Nilsson, R.; Lindahl, B.D.; Clemmensen, K.E.; Kauserud, H.; Nguyen, N.; Kjøller, R.; Bates, S.T.; Baldrian, P.; et al. FungalTraits: A User-Friendly Traits Database of Fungi and Fungus-like Stramenopiles. Fungal Divers. 2020, 105, 1–16. [Google Scholar] [CrossRef]
- Wood, D.E.; Lu, J.; Langmead, B. Improved Metagenomic Analysis with Kraken 2. Genome Biol. 2019, 20, 257. [Google Scholar] [CrossRef] [PubMed]
- Huerta-Cepas, J.; Forslund, K.; Coelho, L.P.; Szklarczyk, D.; Jensen, L.J.; Von Mering, C.; Bork, P. Fast Genome-Wide Functional Annotation through Orthology Assignment by EggNOG-Mapper. Mol. Biol. Evol. 2017, 34, 2115–2122. [Google Scholar] [CrossRef] [PubMed]
- Oksanen, J.; Blanchet, F.G.; Friendly, M.; Kindt, R.; Legendre, P.; McGlinn, D.; Minchin, P.R.; O’Hara, R.B.; Simpson, G.L.; Solymos, P.; et al. Vegan: Community Ecology Package. 2018. Available online: https://vegandevs.github.io/vegan/ (accessed on 16 September 2025).
- Malard, L.A.; Pearce, D.A. Minireview Microbial Diversity and Biogeography in Arctic Soils. Environ. Microbiol. Rep. 2018, 10, 611–625. [Google Scholar] [CrossRef] [PubMed]
- Zhang, K.; Bonito, G.; Hsu, C.-M.; Hameed, K.; Vilgalys, R.; Liao, H.-L. Mortierella Elongata Increases Plant Biomass among Non-Leguminous Crop Species. Agronomy 2020, 5, 754. [Google Scholar] [CrossRef]
- Bardgett, R.D.; Van Der Putten, W.H. Belowground Biodiversity and Ecosystem Functioning. Nature 2014, 515, 505–511. [Google Scholar] [CrossRef] [PubMed]
- Corsaro, D.; Köhsler, M.; Wylezich, C.; Venditti, D.; Walochnik, J.; Michel, R. New Insights from Molecular Phylogenetics of Amoebophagous Fungi (Zoopagomycota, Zoopagales). Parasitol. Res. 2018, 117, 157–167. [Google Scholar] [CrossRef] [PubMed]
- Barbi, F.; Martinović, T.; Odriozola, I.; Machac, A.; Moravcová, A.; Algora, C.; Ballian, D.; Barthold, S.; Brabcová, V.; Hollá, S.A.; et al. Disentangling Drivers behind Fungal Diversity Gradients along Altitude and Latitude. New Phytol. 2025, 247, 295–308. [Google Scholar] [CrossRef] [PubMed]
- Zhou, X.; Liang, B.; Zhang, T.; Xiong, Q.; Ma, X.; Chen, L. Co-Inoculation of Fungi and Desert Cyanobacteria Facilitates Biological Soil Crust Formation and Soil Fertility. Front. Microbiol. 2024, 15, 1377732. [Google Scholar] [CrossRef] [PubMed]
- Ni, Y.; Yang, T.; Zhang, K.; Shen, C.; Chu, H. Fungal Communities along a Small-Scale Elevational Gradient in an Alpine Tundra Are Determined by Soil Carbon Nitrogen Ratios. Front. Microbiol. 2018, 9, 1815. [Google Scholar] [CrossRef] [PubMed]
- Pánek, M.; Vlková, T.; Michalová, T.; Borovička, J.; Tedersoo, L.; Adamczyk, B.; Baldrian, P.; Lopéz-Mondéjar, R. Variation of Carbon, Nitrogen and Phosphorus Content in Fungi Reflects Their Ecology and Phylogeny. Front. Microbiol. 2024, 15, 1379825. [Google Scholar] [CrossRef] [PubMed]
- Pushkareva, E.; Keilholz, L.; Kammann, S.; Linne von Berg, K.-H.; Karsten, U.; Becker, B. Arctic Biocrusts Highlight Genetic Variability in Photosynthesis as a Key Driver of Biodiversity. Preprint 2025. [CrossRef]
- Asplund, J.; van Zuijlen, K.; Roos, R.E.; Birkemoe, T.; Klanderud, K.; Lang, S.I.; Wardle, D.A. Divergent Responses of Functional Diversity to an Elevational Gradient for Vascular Plants, Bryophytes and Lichens. J. Veg. Sci. 2022, 33, 13105. [Google Scholar] [CrossRef]
- Pushkareva, E.; Pessi, I.S.; Wilmotte, A.; Elster, J. Cyanobacterial Community Composition in Arctic Soil Crusts at Different Stages of Development. FEMS Microbiol. Ecol. 2015, 91, fiv143. [Google Scholar] [CrossRef] [PubMed]
- Hutchinson, M.I.; Powell, A.J.; Herrera, J.; Natvig, D.O. New Perspectives on the Distribution and Roles of Thermophilic Fungi. In Fungi in Extreme Environments: Ecological Role and Biotechnological Significance; Springer International Publishing: Berlin/Heidelberg, Germany, 2019; pp. 59–80. [Google Scholar]
- Brown, A.J.P.; Cowen, L.E.; di Pietro, A.; Quinn, J. Stress Adaptation. Microbiol. Spectr. 2017, 5, 463–485. [Google Scholar] [CrossRef] [PubMed]
- Fuchs, B.B.; Mylonakis, E. Our Paths Might Cross: The Role of the Fungal Cell Wall Integrity Pathway in Stress Response and Cross Talk with Other Stress Response Pathways. Eukaryot. Cell 2009, 8, 1616–1625. [Google Scholar] [CrossRef] [PubMed]


| Category | Pathway | KEGG ID | logFC | FDR |
|---|---|---|---|---|
| DNA repair & genome stability | Base excision repair | map03410 | 19.6 | 0.027 |
| DNA replication | map03030 | 19.1 | 0.027 | |
| Homologous recombination | map03440 | 19.6 | 0.027 | |
| Mismatch repair | map03430 | 19.9 | 0.027 | |
| Nucleotide excision repair | map03420 | 19.6 | 0.027 | |
| Stress signaling & regulatory networks | HIF-1 signaling pathway | map04066 | 19.3 | 0.027 |
| Hippo signaling pathway—multiple species | map04392 | 20.3 | 0.027 | |
| MAPK signaling pathway | map04010 | 21.1 | 0.013 | |
| mTOR signaling pathway | map04150 | 19.9 | 0.027 | |
| Phosphatidylinositol signaling system | map04070 | 20.3 | 0.027 | |
| Phospholipase D signaling pathway | map04072 | 19.4 | 0.027 | |
| Ras signaling pathway | map04014 | 19.7 | 0.027 | |
| Wnt signaling pathway | map04310 | 20.7 | 0.026 | |
| Metabolism & nutrient flexibility | Butanoate metabolism | map00650 | 19.9 | 0.027 |
| Degradation of aromatic compounds | map01220 | 19.2 | 0.027 | |
| Folate biosynthesis | map00790 | 19.2 | 0.027 | |
| Pantothenate and CoA biosynthesis | map00770 | 19.2 | 0.027 | |
| Propanoate metabolism | map00640 | 19.9 | 0.027 | |
| Sulfur metabolism | map00920 | 19.2 | 0.027 | |
| Synthesis and degradation of ketone bodies | map00072 | 19.2 | 0.027 | |
| Monobactam biosynthesis | map00261 | 19.6 | 0.027 | |
| Cell structure, communication & timing | Cell cycle—yeast | map04111 | 2.0 | 0.050 |
| Circadian entrainment | map04713 | 19.3 | 0.027 | |
| Mannose type O-glycan biosynthesis | map00515 | 19.2 | 0.027 | |
| N-Glycan biosynthesis | map00510 | 19.2 | 0.027 | |
| Core gene expression machinery | Basal transcription factors | map03022 | 19.6 | 0.027 |
Disclaimer/Publisher’s Note: The statements, opinions and data contained in all publications are solely those of the individual author(s) and contributor(s) and not of MDPI and/or the editor(s). MDPI and/or the editor(s) disclaim responsibility for any injury to people or property resulting from any ideas, methods, instructions or products referred to in the content. |
© 2025 by the authors. Licensee MDPI, Basel, Switzerland. This article is an open access article distributed under the terms and conditions of the Creative Commons Attribution (CC BY) license (https://creativecommons.org/licenses/by/4.0/).
Share and Cite
Rümenapp, M.; Becker, B.; Pushkareva, E. Environmental Gradients Shape Fungal Diversity and Functional Traits in Arctic Biocrusts. J. Fungi 2025, 11, 847. https://doi.org/10.3390/jof11120847
Rümenapp M, Becker B, Pushkareva E. Environmental Gradients Shape Fungal Diversity and Functional Traits in Arctic Biocrusts. Journal of Fungi. 2025; 11(12):847. https://doi.org/10.3390/jof11120847
Chicago/Turabian StyleRümenapp, Mia, Burkhard Becker, and Ekaterina Pushkareva. 2025. "Environmental Gradients Shape Fungal Diversity and Functional Traits in Arctic Biocrusts" Journal of Fungi 11, no. 12: 847. https://doi.org/10.3390/jof11120847
APA StyleRümenapp, M., Becker, B., & Pushkareva, E. (2025). Environmental Gradients Shape Fungal Diversity and Functional Traits in Arctic Biocrusts. Journal of Fungi, 11(12), 847. https://doi.org/10.3390/jof11120847

