Endophytic Fungi of Calea pinnatifida (Asteraceae): Dereplication of Crude Extracts, Antimicrobial Properties, and Identification of New Tetronic Acid Derivative Produced by Hypomontagnella barbarensis
Abstract
1. Introduction
2. Materials and Methods
2.1. General Experimental Procedures
2.2. Plant Material and Procedure of Isolation of Endophytic Fungi
2.3. Identification of Endophytic Fungi
2.4. Cultivation and Extraction of Endophytic Fungi
2.5. Antimicrobial Activity Assay
2.5.1. Strains and Growth of Microorganisms in Solid Culture
2.5.2. Disc Diffusion Method
2.5.3. Minimum Inhibitory Concentration (MIC)
2.6. Data Acquisition by UHPLC-HRMS/MS and Molecular Networking
2.7. Chromatographic Fractionation and Isolation of Compounds
3. Results
3.1. Endophytic Fungi Obtained from Leaves
3.2. Dereplication Based on Molecular Networking Organization from HRMS-MS Data
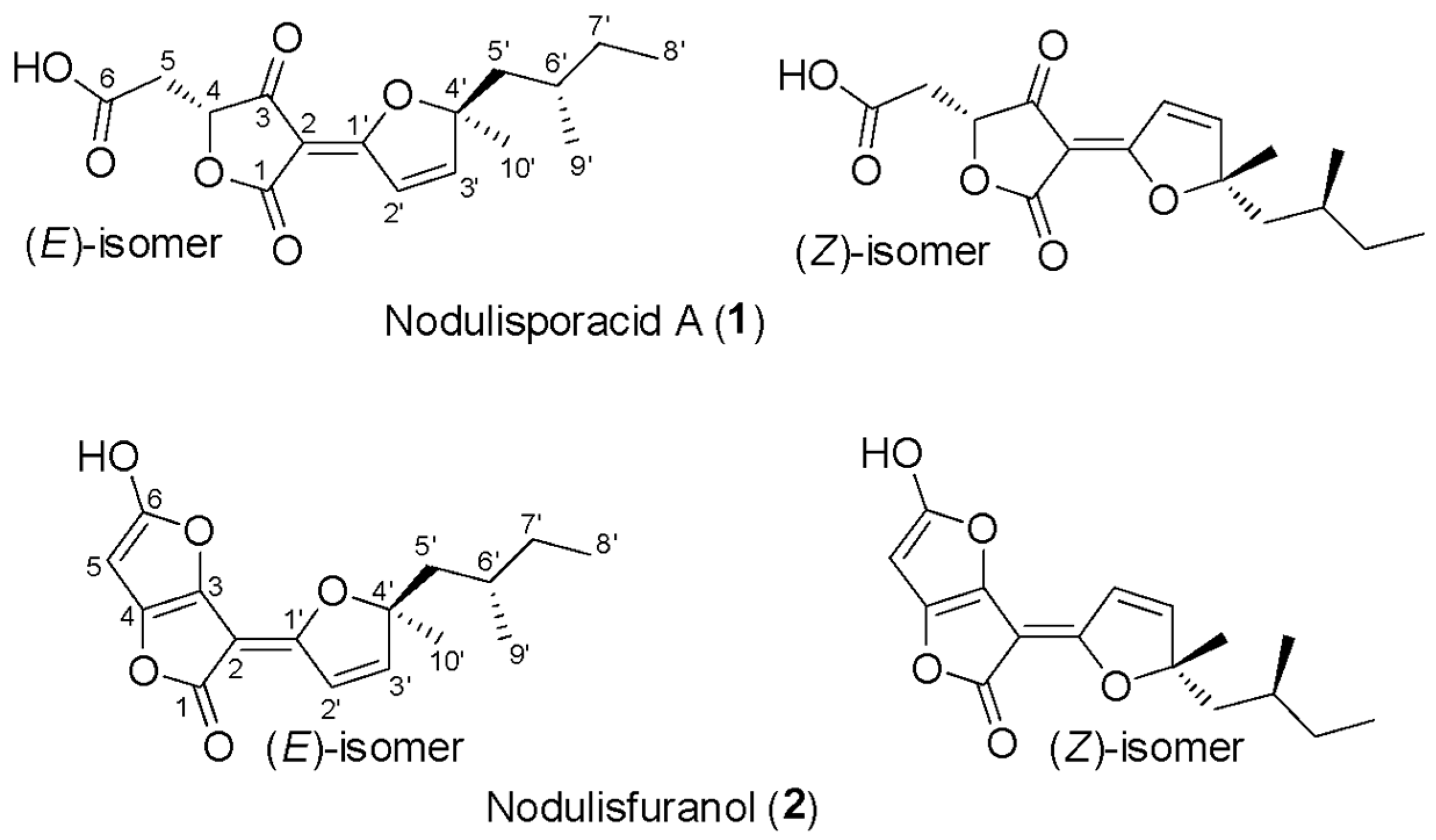
3.3. Identification of Compounds from Fungi Hypomontagnella barbarensis
3.4. Antimicrobial Activity
4. Discussion
5. Conclusions
Supplementary Materials
Author Contributions
Funding
Institutional Review Board Statement
Informed Consent Statement
Data Availability Statement
Conflicts of Interest
References
- Alkatheri, A.H.; Yap, P.S.-X.; Abushelaibi, A.; Lai, K.-S.; Cheng, W.-H.; Lim, S.-H.E. Microbial Genomics: Innovative Targets and Mechanisms. Antibiotics 2023, 12, 190. [Google Scholar] [CrossRef] [PubMed]
- World Health Organization. Ten Threats to Global Health in 2019. 2024. Available online: https://www.who.int/news-room/spotlight/ten-threats-to-global-health-in-2019 (accessed on 25 June 2023).
- Murray, C.J.L.; Ikuta, K.S.; Sharara, F.; Swetschinski, L.; Aguilar, G.R.; Gray, A.; Han, C.; Bisignano, C.; Rao, P.; Wool, E.; et al. Global burden of bacterial antimicrobial resistance in 2019: A systematic analysis. Lancet 2022, 399, 629–655. [Google Scholar] [CrossRef] [PubMed]
- Todd, O.A.; Peters, B.M. Candida albicans and Staphylococcus aureus Pathogenicity and Polymicrobial Interactions: Lessons beyond Koch’s Postulates. J. Fungi 2019, 5, 81. [Google Scholar] [CrossRef] [PubMed]
- Ventoulis, I.; Sarmourli, T.; Amoiridou, P.; Mantzana, P.; Exindari, M.; Gioula, G.; Vyzantiadis, T.-A. Bloodstream Infection by Saccharomyces cerevisiae in Two COVID-19 Patients after Receiving Supplementation of Saccharomyces in the ICU. J. Fungi 2020, 6, 98. [Google Scholar] [CrossRef] [PubMed]
- Enache-Angoulvant, A.; Hennequin, C. Invasive Saccharomyces Infection: A Comprehensive Review. Clin. Infect. Dis. 2005, 41, 1559–1568. [Google Scholar] [CrossRef]
- Richardson, M.; Lass-Flörl, C. Changing epidemiology of systemic fungal infections. Clin. Microbiol. Infect. 2008, 14, 5–24. [Google Scholar] [CrossRef]
- Caruso, D.J.; Palombo, E.A.; Moulton, S.E.; Zaferanloo, B. Exploring the Promise of Endophytic Fungi: A Review of Novel Antimicrobial Compounds. Microorganisms 2022, 10, 1990. [Google Scholar] [CrossRef] [PubMed]
- Bessada, S.M.F.; Barreira, J.C.M.; Oliveira, M.B.P.P. Asteraceae species with most prominent bioactivity and their potential applications: A review. Ind. Crop. Prod. 2015, 76, 604–615. [Google Scholar] [CrossRef]
- Gunatilaka, A.A.L. Natural Products from Plant-Associated Microorganisms: Distribution, Structural Diversity, Bioactivity, and Implications of Their Occurrence. J. Nat. Prod. 2006, 69, 509–526. [Google Scholar] [CrossRef]
- Caruso, G.; Abdelhamid, M.; Kalisz, A.; Sekara, A. Linking Endophytic Fungi to Medicinal Plants Therapeutic Activity. A Case Study on Asteraceae. Agriculture 2020, 10, 286. [Google Scholar] [CrossRef]
- Deshmukh, S.K.; Gupta, M.K.; Prakash, V.; Saxena, S. Endophytic Fungi: A Source of Potential Antifungal Compounds. J. Fungi 2018, 4, 77. [Google Scholar] [CrossRef]
- Golinska, P.; Wypij, M.; Agarkar, G.; Rathod, D.; Dahm, H.; Rai, M. Endophytic actinobacteria of medicinal plants: Diversity and bioactivity. Antonie Leeuwenhoek 2015, 108, 267–289. [Google Scholar] [CrossRef]
- Kaul, S.; Gupta, S.; Ahmed, M.; Dhar, M.K. Endophytic fungi from medicinal plants: A treasure hunt for bioactive metabolites. Phytochem. Rev. 2012, 11, 487–505. [Google Scholar] [CrossRef]
- Mousa, W.K.; Raizada, M.N. The Diversity of Anti-Microbial Secondary Metabolites Produced by Fungal Endophytes: An Interdisciplinary Perspective. Front. Microbiol. 2013, 4, 44840. [Google Scholar] [CrossRef]
- Aly, A.H.; Edrada-Ebel, R.; Wray, V.; Müller, W.E.; Kozytska, S.; Hentschel, U.; Proksch, P.; Ebel, R. Bioactive metabolites from the endophytic fungus Ampelomyces sp. isolated from the medicinal plant Urospermum picroides. Phytochemistry 2008, 69, 1716–1725. [Google Scholar] [CrossRef]
- Dai, J.; Krohn, K.; Draeger, S.; Schulz, B. New Naphthalene-Chroman Coupling Products from the Endophytic Fungus, Nodulisporium sp. from Erica arborea. Eur. J. Org. Chem. 2009, 2009, 1564–1569. [Google Scholar] [CrossRef]
- WFO Plant List. Asteraceae Family. 2024. Available online: https://wfoplantlist.org/taxon/wfo-7000000146-2023-12?page=1 (accessed on 25 June 2023).
- Lösgen, S.; Magull, J.; Schulz, B.; Draeger, S.; Zeeck, A. Isofusidienols: Novel Chromone-3-oxepines Produced by the Endophytic Fungus Chalara sp. Eur. J. Org. Chem. 2008, 2008, 698–703. [Google Scholar] [CrossRef]
- Hussain, H.; Tchimene, M.K.; Ahmed, I.; Meier, K.; Steinert, M.; Draeger, S.; Schulz, B.; Krohn, K. Antimicrobial Chemical Constituents from the Endophytic Fungus Phomopsis sp. from Notobasis syriaca. Nat. Prod. Commun. 2011, 6, 1905–1906. [Google Scholar] [CrossRef] [PubMed]
- Lima, T.C.; Souza, R.d.J.; da Silva, F.A.; Biavatti, M.W. The genus Calea L.: A review on traditional uses, phytochemistry, and biological activities. Phytotherapy Res. 2018, 32, 769–795. [Google Scholar] [CrossRef]
- Hatamzadeh, S.; Rahnama, K.; Nasrollahnejad, S.; Fotouhifar, K.B.; Hemmati, K.; White, J.F.; Taliei, F. Isolation and identification of L-asparaginase-producing endophytic fungi from the Asteraceae family plant species of Iran. PeerJ 2020, 8, e8309. [Google Scholar] [CrossRef] [PubMed]
- Lu, H.; Zou, W.X.; Meng, J.C.; Hu, J.; Tan, R.X. New bioactive metabolites produced by Colletotrichum sp., an endophytic fungus in Artemisia annua. Plant Sci. 2000, 151, 67–73. [Google Scholar] [CrossRef]
- Aron, A.T.; Gentry, E.C.; McPhail, K.L.; Nothias, L.-F.; Nothias-Esposito, M.; Bouslimani, A.; Petras, D.; Gauglitz, J.M.; Sikora, N.; Vargas, F.; et al. Reproducible molecular networking of untargeted mass spectrometry data using GNPS. Nat. Protoc. 2020, 15, 1954–1991. [Google Scholar] [CrossRef]
- Santos, A.L.; Ionta, M.; Horvath, R.; Soares, M.G.; de Medeiros, L.S.; Uemi, M.; Kawafune, E.S.; Tangerina, M.M.; Ferreira, M.J.; Sartorelli, P. Molecular network for accessing polyketide derivatives from Phomopsis sp., an endophytic fungus of Casearia arborea (Salicaceae). Phytochem. Lett. 2021, 42, 1–7. [Google Scholar] [CrossRef]
- Negri, C.E.; Gonçalves, S.S.; Xafranski, H.; Bergamasco, M.D.; Aquino, V.R.; Castro, P.T.O.; Colombo, A.L. Cryptic and Rare Aspergillus Species in Brazil: Prevalence in Clinical Samples and In Vitro Susceptibility to Triazoles. J. Clin. Microbiol. 2014, 52, 3633–3640. [Google Scholar] [CrossRef] [PubMed]
- Katoh, K.; Rozewicki, J.; Yamada, K.D. MAFFT online service: Multiple sequence alignment, interactive sequence choice and visualization. Briefings Bioinform. 2018, 20, 1160–1166. [Google Scholar] [CrossRef] [PubMed]
- Capella-Gutiérrez, S.; Silla-Martínez, J.M.; Gabaldón, T. trimAl: A tool for automated alignment trimming in large-scale phylogenetic analyses. Bioinformatics 2009, 25, 1972–1973. [Google Scholar] [CrossRef] [PubMed]
- Minh, B.Q.; Schmidt, H.A.; Chernomor, O.; Schrempf, D.; Woodhams, M.D.; von Haeseler, A.; Lanfear, R. IQ-TREE 2: New Models and Efficient Methods for Phylogenetic Inference in the Genomic Era. Mol. Biol. Evol. 2020, 37, 1530–1534. [Google Scholar] [CrossRef] [PubMed]
- Letunic, I.; Bork, P. Interactive Tree Of Life (iTOL) v5: An online tool for phylogenetic tree display and annotation. Nucleic Acids Res. 2021, 49, W293–W296. [Google Scholar] [CrossRef]
- Hoog, G.S.; Guarro, J.; Gené, J. The Ultimate Benchtool for Diagnostics, 4th ed.; Foundation Atlas of Clinical Fungi: Hilversum, The Netherlands, 2020. [Google Scholar]
- Gonçalves, S.S.; Cano, J.F.; Stchigel, A.M.; Melo, A.S.; Godoy-Martinez, P.C.; Correa, B.; Guarro, J. Molecular phylogeny and phenotypic variability of clinical and environmental strains of Aspergillus flavus. Fungal Biol. 2012, 116, 1146–1155. [Google Scholar] [CrossRef] [PubMed]
- Silva, W.C.; Gonçalves, S.S.; Santos, D.W.C.L.; Padovan, A.C.B.; Bizerra, F.C.; Melo, A.S.A. Species diversity, antifungal susceptibility and phenotypic and genotypic characterisation of Exophiala spp. infecting patients in different medical centres in Brazil. Mycoses 2017, 60, 328–337. [Google Scholar] [CrossRef] [PubMed]
- Castellani, A. Maintenance and Cultivation of the common pathogenic fungi of man in sterile distilled water. Am. J. Trop. Med. Hyg. 1967, 70, 181–184. [Google Scholar]
- Liao, C.-H.; Shollenberger, L. Survivability and long-term preservation of bacteria in water and in phosphate-buffered saline. Lett. Appl. Microbiol. 2003, 37, 45–50. [Google Scholar] [CrossRef] [PubMed]
- Sharma, S.K.; Kumar, R.; Vaishnav, A.; Sharma, P.K.; Singh, U.B.; Sharma, A.K. Microbial cultures: Maintenance, preservation and registration. In Modern Tools and Techniques to Understand Microbes; Springer International Publishing: Berlin/Heidelberg, Germany, 2017; pp. 335–367. [Google Scholar]
- Nyanga, L.K.; Nout, M.J.R.; Smid, E.J.; Boekhout, T.; Zwietering, M.H. Yeasts preservation: Alternatives for lyophilisation. World J. Microbiol. Biotechnol. 2012, 28, 3239–3244. [Google Scholar] [CrossRef] [PubMed][Green Version]
- Weiskirchen, S.; Schröder, S.K.; Buhl, E.M.; Weiskirchen, R. A Beginner’s Guide to Cell Culture: Practical Advice for Preventing Needless Problems. Cells 2023, 12, 682. [Google Scholar] [CrossRef] [PubMed]
- Xiao, J.; Zhang, Q.; Gao, Y.-Q.; Tang, J.-J.; Zhang, A.-L.; Gao, J.-M. Secondary Metabolites from the Endophytic Botryosphaeria dothidea of Melia azedarach and Their Antifungal, Antibacterial, Antioxidant, and Cytotoxic Activities. J. Agric. Food Chem. 2014, 62, 3584–3590. [Google Scholar] [CrossRef]
- Oliveira, C.M.; Regasini, L.O.; Silva, G.H.; Pfenning, L.H.; Young, M.C.; Berlinck, R.G.; Bolzani, V.S.; Araujo, A.R. Dihydroisocoumarins produced by Xylaria sp. and Penicillium sp., endophytic fungi associated with Piper aduncum and Alibertia macrophylla. Phytochem. Lett. 2011, 4, 93–96. [Google Scholar] [CrossRef]
- Clinical and Laboratory Standards Institute. Performance Standards for Antimicrobial Disk Susceptibility Tests; Clinical and Laboratory Standards Institute: Wayne, PA, USA, 2003. [Google Scholar]
- Clinical and Laboratory Standards Institute. Method for Broth Dilution Antifungal Susceptibility Testing of Yeasts; Clinical and Laboratory Standards Institute: Wayne, PA, USA, 2008. [Google Scholar]
- Clinical and Laboratory Standards Institute. Methods for Dilution Antimicrobial Susceptibility Tests for Bacteria That Grow Aerobically; Clinical and Laboratory Standards Institute: Wayne, PA, USA, 2008. [Google Scholar]
- Wang, M.; Carver, J.J.; Phelan, V.V.; Sanchez, L.M.; Garg, N.; Peng, Y.; Nguyen, D.D.; Watrous, J.; Kapono, C.A.; Luzzatto-Knaan, T.; et al. Sharing and community curation of mass spectrometry data with Global Natural Products Social Molecular Networking. Nat. Biotechnol. 2016, 34, 828–837. [Google Scholar] [CrossRef]
- Frank, A.M.; Bandeira, N.; Shen, Z.; Tanner, S.; Briggs, S.P.; Smith, R.D.; Pevzner, P.A. Clustering Millions of Tandem Mass Spectra. J. Proteome Res. 2008, 7, 113–122. [Google Scholar] [CrossRef]
- Shannon, P.; Markiel, A.; Ozier, O.; Baliga, N.S.; Wang, J.T.; Ramage, D.; Amin, N.; Schwikowski, B.; Ideker, T. Cytoscape: A software environment for integrated models of Biomolecular Interaction Networks. Genome Res. 2003, 13, 2498–2504. [Google Scholar] [CrossRef]
- Lambert, C.; Wendt, L.; Hladki, A.I.; Stadler, M.; Sir, E.B. Hypomontagnella (Hypoxylaceae): A new genus segregated from Hypoxylon by a polyphasic taxonomic approach. Mycol. Prog. 2019, 18, 187–201. [Google Scholar] [CrossRef]
- Huang, Y.; Chen, Z.; Huang, M.; Chen, K.; Liu, H.; Liang, J.; Liao, Y.; Li, J.; Zhu, L.; Ding, B.; et al. Cytotoxic tetronic acid derivatives from the mangrove endophytic fungus Hypomontagnella monticulosa YX702. Fitoterapia 2023, 170, 105656. [Google Scholar] [CrossRef] [PubMed]
- Sumiya, T.; Ishigami, K.; Watanabe, H. Determination of the absolute configuration of nodulisporacid A by the concise synthesis of four stereoisomers via three-component reaction and one-pot construction of the framework. Tetrahedron Lett. 2010, 51, 2765–2767. [Google Scholar] [CrossRef]
- Vieira, M.L.; Johann, S.; Hughes, F.M.; Rosa, C.A.; Rosa, L.H. The diversity and antimicrobial activity of endophytic fungi associated with medicinal plant Baccharis trimera (Asteraceae) from the Brazilian savannah. Can. J. Microbiol. 2014, 60, 847–856. [Google Scholar] [CrossRef]
- Nicoletti, R.; Fiorentino, A. Plant Bioactive Metabolites and Drugs Produced by Endophytic Fungi of Spermatophyta. Agriculture 2015, 5, 918–970. [Google Scholar] [CrossRef]
- Singh, V.K.; Kumar, A. Secondary metabolites from endophytic fungi: Production, methods of analysis, and diverse pharmaceutical potential. Symbiosis 2023, 90, 111–125. [Google Scholar] [CrossRef] [PubMed]
- García-Pajón, C.M.; Collado, I.G. Secondary metabolites isolated from Colletotrichum species. Nat. Prod. Rep. 2003, 20, 426–431. [Google Scholar] [CrossRef]
- Wang, K.-L.; Wu, Z.-H.; Wang, Y.; Wang, C.-Y.; Xu, Y. Mini-Review: Antifouling Natural Products from Marine Microorganisms and Their Synthetic Analogs. Mar. Drugs 2017, 15, 266. [Google Scholar] [CrossRef]
- Yang, X.-L.; Zhang, J.-Z.; Luo, D.-Q. The taxonomy, biology and chemistry of the fungal Pestalotiopsis genus. Nat. Prod. Rep. 2012, 29, 622–641. [Google Scholar] [CrossRef] [PubMed]
- Chen, Z.; Dong, Z.; Wen, J.; Feng, T.; Liu, J. A New Sesquiterpene from the Endophytic Fungus Nigrospora sphaerica #003. Nat. Prod. 2016, 10, 307–310. [Google Scholar]
- Fukushima, T.; Tanaka, M.; Gohbara, M.; Fujimori, T. Phytotoxicity of three lactones from Nigrospora sacchari. Phytochemistry 1998, 48, 625–630. [Google Scholar] [CrossRef]
- Meepagala, K.M.; Becnel, J.J.; Estep, A.S. Phomalactone as the Active Constituent against Mosquitoes from Nigrospora spherica. Agric. Sci. 2015, 06, 1195–1201. [Google Scholar] [CrossRef]
- Ibrahim, D.; Lee, C.C.; Yenn, T.W.; Zakaria, L.; Sheh-Hong, L. Effect of the Extract of Endophytic fungus, Nigrospora sphaerica CL-OP 30, Against the Growth of Methicillin- Resistant Staphylococcus aureus (MRSA) and Klebsiella pneumonia cells. Trop. J. Pharm. Res. 2015, 14, 2091–2097. [Google Scholar] [CrossRef]
- Aly, A.H.; Debbab, A.; Proksch, P. Fungal endophytes: Unique plant inhabitants with great promises. Appl. Microbiol. Biotechnol. 2011, 90, 1829–1845. [Google Scholar] [CrossRef]
- Jalgaonwala, R.E.; Vishwas Mohite, B.; Mahajan, R.T. A review: Natural products from plant associated endophytic fungi. J. Microbiol. Biotechnol. 2011, 1, 21–32. [Google Scholar]
- Strobel, G.; Daisy, B. Bioprospecting for Microbial Endophytes and Their Natural Products. Microbiol. Mol. Biol. Rev. 2003, 67, 491–502. [Google Scholar] [CrossRef]
- Ćeranić, A.; Svoboda, T.; Berthiller, F.; Sulyok, M.; Samson, J.M.; Güldener, U.; Schuhmacher, R.; Adam, G. Identification and Functional Characterization of the Gene Cluster Responsible for Fusaproliferin Biosynthesis in Fusarium proliferatum. Toxins 2021, 13, 468. [Google Scholar] [CrossRef]
- Aly, A.H.; Debbab, A.; Kjer, J.; Proksch, P. Fungal endophytes from higher plants: A prolific source of phytochemicals and other bioactive natural products. Fungal Divers. 2010, 41, 1–16. [Google Scholar] [CrossRef]
- Kasettrathat, C.; Ngamrojanavanich, N.; Wiyakrutta, S.; Mahidol, C.; Ruchirawat, S.; Kittakoop, P. Cytotoxic and antiplasmodial substances from marine-derived fungi, Nodulisporium sp. and CRI247-01. Phytochemistry 2008, 69, 2621–2626. [Google Scholar] [CrossRef] [PubMed]
- Logrieco, A.; Moretti, A.; Fornelli, F.; Fogliano, V.; Ritieni, A.; Caiaffa, M.F.; Randazzo, G.; Bottalico, A.; Macchia, L. Fusaproliferin production by Fusarium subglutinans and its toxicity to Artemia salina, SF-9 insect cells, and IARC/LCL 171 human B lymphocytes. Appl. Environ. Microbiol. 1996, 62, 3378–3384. [Google Scholar] [CrossRef] [PubMed]
- Pereira, R.G.; Garcia, V.L.; Rodrigues, M.V.N.; Martínez, J. Extraction of lignans from Phyllanthus amarus Schum. & Thonn using pressurized liquids and low pressure methods. Sep. Purif. Technol. 2016, 158, 204–211. [Google Scholar] [CrossRef]
- Hemmerling, F.; Piel, J. Strategies to access biosynthetic novelty in bacterial genomes for drug discovery. Nat. Rev. Drug Discov. 2022, 21, 359–378. [Google Scholar] [CrossRef] [PubMed]





| Species | Cell Line |
|---|---|
| Cryptococcus neoformans | KN99α (serotype A) |
| Cryptococcus neoformans | JEC21 (serotype D) |
| Cryptococcus gattii | NIH312 (serotype C) |
| Cryptococcus gattii | R265 (serotype B) |
| Saccharomyces cerevisiae | BY4647 |
| Candida krusei | Clinical isolate 9602 |
| Candida parapsilosis | Clinical isolate 68 |
| Candida albicans | CBmay 560 |
| Candida tropicalis | ATCC 1303 |
| Candida dubliniensis | ATCC 7876 |
| Species | Cell Line |
|---|---|
| Enterococcus faecium | ATCC CCB076 |
| Pseudomonas aeruginosa | ATCC 27853 |
| Klebsiella pneumoniae | ATCC 700603 |
| Escherichia coli | ATCC 25922 |
| Shigella flexneri | ATCC 12022 |
| Salmonella enterica | ATCC 14028 |
| Staphylococcus aureus | ATCC 25923 |
| Acinetobacter baumanii | ATCC 19606 |
| Strain Number | Species | % Identity * | |||
|---|---|---|---|---|---|
| ITS | Cod. | TUB2 | Cod. | ||
| CPFF12 | Colletotrichum karstii | 100 | PP831945 | 100 | PP840075 |
| CPFF14 | Colletotrichum karstii | 99.39 | PP829193 | 99.72 | PP840076 |
| CPFF16 | Colletotrichum siamense | 100 | PP829196 | 99.60 | PP840077 |
| CPFF41 | Hypomontagnella barbarensis | 99.23 | PP829195 | 93.24 | PP840078 |
| CPFF42 | Neopestalotiopsis clavispora | 100 | PP829194 | 99.09 | PP942538 |
| CPFF52 | Nigrospora sacchari-officinarum | 99.08 | PP832015 | 100.00 | PP840079 |
| CPFC2 | Annulohypoxylon moriforme | 98.50 | PP834406 | 98.09 | PP840080 |
| Compound Name | Molecular Formula | Calculated Mass | Precursor Ion | Error (ppm) | Sample | Structural Formula | |
|---|---|---|---|---|---|---|---|
| 1 | 1-Acetoxy-7-isopropylidene-1,4a-dimethyl-6-oxodecahydro-2-naphthalenyl 2,3-dimethyl-2-oxiranecarboxylate | C22H32O6 | 415.2097 [M+Na]+ | 415.2097 | 0.1 | CPFF12 CPFF16 | ![]() |
| 2 | 13-keto-9Z,11E-octadecadienoic acid | C18H30O3 | 295.2273 [M+H]+ | 295.2275 | 0.7 | CPFF41 CPFF42 | ![]() |
| 3 | Alismol | C15H24O | 203.1799 [M+H]+ | 203.1797 | 1.0 | CPFF14 CPFF52 | ![]() |
| 4 | Phytosphingosine | C18H39NO3 | 318.3008 [M+H]+ | 318.3000 | 2.6 | CPFF12 CPFF16 CPFF52 | ![]() |
| 5 | Fusaproliferin | C27H40O5 | 445.2954 [M+H]+ | 445.2949 | 1,1 | CPFF12 CPFF14 | ![]() |
| Extract (400 μg) | Species (Lineage) | ||
|---|---|---|---|
| S. cerevisiae (BY4647) | C. albicans (CBmay 560) | S. aureus (ATCC 25923) | |
| CPFF12 | 1.4 ± 0.26 | 1.23 ± 0.25 | n/a |
| CPFF14 | n/a | n/a | 0.73 ± 0.23 |
| CPFF41 | n/a | n/a | 1.37 ± 0.32 |
| Control * | 2.07 ± 0.12 a | 2.07 ± 0.12 b | 2.5 ± 0.0 b |
| Specie | Extract—MIC90 (mg/mL) | Control * | ||
|---|---|---|---|---|
| CPFF12 | CPFF14 | CPFF41 | ||
| S. aureus (ATCC 25923) | n/a | 0.20 (91.6 ± 1.5) | 0.05 (92.0 ± 1.0) | 0.004 a |
| C. albicans (CBmay 560) | 0.01 (92.0 ± 1.9) | n/a | n/a | 0.025 b |
| S. cerevisiae (BY4647) | 0.02 (90.3 ± 1.5) | n/a | n/a | 0.013 c |
Disclaimer/Publisher’s Note: The statements, opinions and data contained in all publications are solely those of the individual author(s) and contributor(s) and not of MDPI and/or the editor(s). MDPI and/or the editor(s) disclaim responsibility for any injury to people or property resulting from any ideas, methods, instructions or products referred to in the content. |
© 2024 by the authors. Licensee MDPI, Basel, Switzerland. This article is an open access article distributed under the terms and conditions of the Creative Commons Attribution (CC BY) license (https://creativecommons.org/licenses/by/4.0/).
Share and Cite
Barna, B.; Caldas, L.A.; Monteiro, J.; dos Santos, A.L.; Pascon, R.C.; Vallim, M.A.; Ferreira, M.J.P.; Gonçalves, S.S.; dos Santos, G.Q.; Rodrigues, A.M.; et al. Endophytic Fungi of Calea pinnatifida (Asteraceae): Dereplication of Crude Extracts, Antimicrobial Properties, and Identification of New Tetronic Acid Derivative Produced by Hypomontagnella barbarensis. J. Fungi 2025, 11, 22. https://doi.org/10.3390/jof11010022
Barna B, Caldas LA, Monteiro J, dos Santos AL, Pascon RC, Vallim MA, Ferreira MJP, Gonçalves SS, dos Santos GQ, Rodrigues AM, et al. Endophytic Fungi of Calea pinnatifida (Asteraceae): Dereplication of Crude Extracts, Antimicrobial Properties, and Identification of New Tetronic Acid Derivative Produced by Hypomontagnella barbarensis. Journal of Fungi. 2025; 11(1):22. https://doi.org/10.3390/jof11010022
Chicago/Turabian StyleBarna, Bianca, Lhaís Araújo Caldas, Jackson Monteiro, Augusto Leonardo dos Santos, Renata Castiglioni Pascon, Marcelo Afonso Vallim, Marcelo José Pena Ferreira, Sarah Santos Gonçalves, Glaucia Queiroz dos Santos, Anderson Messias Rodrigues, and et al. 2025. "Endophytic Fungi of Calea pinnatifida (Asteraceae): Dereplication of Crude Extracts, Antimicrobial Properties, and Identification of New Tetronic Acid Derivative Produced by Hypomontagnella barbarensis" Journal of Fungi 11, no. 1: 22. https://doi.org/10.3390/jof11010022
APA StyleBarna, B., Caldas, L. A., Monteiro, J., dos Santos, A. L., Pascon, R. C., Vallim, M. A., Ferreira, M. J. P., Gonçalves, S. S., dos Santos, G. Q., Rodrigues, A. M., de Carvalho, J. A., de Vasconcellos, S. P., & Sartorelli, P. (2025). Endophytic Fungi of Calea pinnatifida (Asteraceae): Dereplication of Crude Extracts, Antimicrobial Properties, and Identification of New Tetronic Acid Derivative Produced by Hypomontagnella barbarensis. Journal of Fungi, 11(1), 22. https://doi.org/10.3390/jof11010022






