Novel Antifungals and Aspergillus Section Terrei with Potpourri Susceptibility Profiles to Conventional Antifungals
Abstract
1. Introduction
2. Materials and Methods
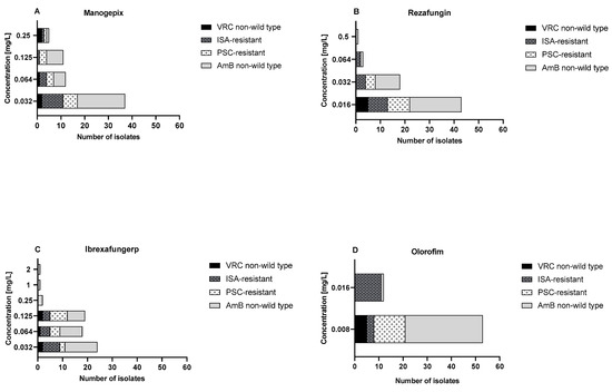
3. Results
| Aspergillus Section Terrei (no.) | MEC Range (mg/L)/(MEC GM) | MIC Range (mg/L)/(MIC GM) | ||
|---|---|---|---|---|
| Manogepix | Rezafungin | Ibrexafungerp | Olorofim | |
| A. alabamensis (n = 7) | 0.032/0.03 | 0.016–0.032/0.018 | 0.03–0.05/0.074 | 0.008/0.008 |
| A. allahabadii (n = 4) | 0.032/0.03 | 0.016–0.032/0.017 | 0.06–0.125/0.087 | 0.008–0.016/0.009 |
| A. ambiguus (n = 1) | 0.032/- | 0.016/- | 0.06/- | 0.008/- |
| A. aureoterreus (n = 5) | 0.032–0.125/0.045 | 0.016–0.032/0.019 | 0.03–0.125/0.053 | 0.008/0.008 |
| A. barbosae (n = 2) | 0.032/- | 0.016/- | 0.06–0.125/- | 0.008/- |
| A. bicephalus (n = 1) | 0.5/- | 0.016/- | 0.03/- | 0.008/- |
| A. carneus (n = 6) | 0.032–0.25/0.086 | 0.016–0.5/0.026 | 0.03–0.25/0.061 | 0.008–0.016/0.011 |
| A. citrinoterreus (n = 9) | 0.032–0.5/0.070 | 0.016–0.032/0.018 | 0.03–2/0.076 | 0.008/0.008 |
| A. floccosus (n = 2) | 0.064–0.125/- | 0.016–0.032/- | 0.03–0.25/- | 0.008–0.016/- |
| A. hortai (n = 6) | 0.032–0.125/0.038 | 0.016–0.125/0.023 | 0.06–1/0.155 | 0.008/0.008 |
| A. iranicus (n = 5) | 0.032–0.06/0.039 | 0.016–0.032/0.019 | 0.03–0.06/0.045 | 0.008–0.016/0.012 |
| A. micocysticus (n = 1) | 0.032/- | 0.016/- | 0.03/- | 0.008/- |
| A. neoafricanus (n = 5) | 0.032–0.125/0.039 | 0.016–0.06/0.025 | 0.03–1/0.173 | 0.008/0.008 |
| A. neoindicus (n = 5) | 0.032–0.125/0.045 | 0.016–0.032/0.023 | 0.03–0.125/0.06 | 0.008–0.032/0.01 |
| A. niveus (n = 6) | 0.032–0.25/0.086 | 0.016–0.06/0.023 | 0.3–0.125/0.061 | 0.008/0.008 |
| A. pseudoterreus (n = 4) | 0.032–0.06/0.035 | 0.016–0.032/0.017 | 0.06/0.06 | 0.008/0.008 |
| A. recifensis (n = 2) | 0.032–0.125/- | 0.032/- | 0.125/- | 0.008/- |
| A. terreus s.s (n = 30) | 0.032–0.125/0.044 | 0.016–0.06/0.019 | 0.03–2/0.067 | 0.008/0.008 |
| All isolates (n = 100) | ||||
| GM | 0.048 | 0.020 | 0.071 | 0.008 |
| Range | 0.032–0.5 | 0.016–0.5 | 0.032–2 | 0.008–0.032 |
| MEC 50/90 | 0.032/0.125 | 0.016/0.032 | 0.064/0.25 | - |
| MIC50/90 | - | - | - | 0.008/0.008 |
4. Discussion
Author Contributions
Funding
Institutional Review Board Statement
Informed Consent Statement
Data Availability Statement
Acknowledgments
Conflicts of Interest
References
- Brown, G.D.; Denning, D.W.; Gow, N.A.R.; Levitz, S.M.; Netea, M.G.; White, T.C. Hidden killers: Human fungal infections. Sci. Transl. Med. 2012, 4, 165rv13. [Google Scholar] [CrossRef] [PubMed]
- Gow, N.A.R.; Netea, M.G. Medical mycology and fungal immunology: New research perspectives addressing a major world health challenge. Philos. Trans. R. Soc. B Biol. Sci. 2016, 371, 20150462. [Google Scholar] [CrossRef] [PubMed]
- Perfect, J.R. The antifungal pipeline: A reality check. Nat. Rev. Drug Discov. 2017, 16, 603–616. [Google Scholar] [CrossRef] [PubMed]
- Lass-Flörl, C.; Cuenca-Estrella, M. Changes in the epidemiological landscape of invasive mould infections and disease. J. Antimicrob. Chemother. 2017, 72 (Suppl. 1), i5–i11. [Google Scholar] [CrossRef] [PubMed]
- Neal, C.O.; Richardson, A.O.; Hurst, S.F.; Tortorano, A.M.; Viviani, M.A.; Stevens, D.A.; Balajee, S.A. Global population structure of Aspergillus terreus inferred by ISSR typing reveals geographical subclustering. BMC Microbiol. 2011, 11, 203. [Google Scholar] [CrossRef]
- Lass-Flörl, C. Treatment of infections due to Aspergillus terreus species complex. J. Fungi. 2018, 4, 83. [Google Scholar] [CrossRef] [PubMed]
- Vahedi Shahandashti, R.; Lass-Flörl, C. Antifungal resistance in Aspergillus terreus: A current scenario. Fungal Genet. Biol. 2019, 131, 103247. [Google Scholar] [CrossRef] [PubMed]
- Hachem, R.; Gomes, M.Z.R.; El Helou, G.; El Zakhem, A.; Kassis, C.; Ramos, E.; Jiang, Y.; Chaftari, A.M.; Raad, I.I. Invasive aspergillosis caused by Aspergillus terreus: An emerging opportunistic infection with poor outcome independent of azole therapy. J. Antimicrob. Chemother. 2014, 69, 3148–3155. [Google Scholar] [CrossRef]
- Fakhim, H.; Badali, H.; Dannaoui, E.; Nasirian, M.; Jahangiri, F.; Raei, M.; Vaseghi, N.; Ahmadikia, K.; Vaezi, A. Trends in the prevalence of amphotericin B-resistance (AmBR) among clinical isolates of Aspergillus species. J. Med. Mycol. 2022, 32, 101310. [Google Scholar] [CrossRef]
- Stewart, E.R.; Thompson, G.R. Treatment of primary pulmonary aspergillosis: An assessment of the evidence. J. Fungi. 2016, 2, 25. [Google Scholar] [CrossRef]
- Alastruey-Izquierdo, A.; Mellado, E.; Peláez, T.; Pemán, J.; Zapico, S.; Alvarez, M.; Rodríguez-Tudela, J.L.; Cuenca-Estrella, M.; FILPOP Study Group. Population-based survey of filamentous fungi and antifungal resistance in Spain (FILPOP Study). Antimicrob. Agents Chemother. 2013, 57, 3380. [Google Scholar] [CrossRef] [PubMed]
- Arendrup, M.C.; Jensen, R.H.; Grif, K.; Skov, M.; Pressler, T.; Johansen, H.K.; Lass-Flörl, C. In vivo emergence of Aspergillus terreus with reduced azole susceptibility and a Cyp51a M217I alteration. J. Infect. Dis. 2012, 206, 981–985. [Google Scholar] [CrossRef] [PubMed]
- Zoran, T.; Sartori, B.; Sappl, L.; Aigner, M.; Sánchez-Reus, F.; Rezusta, A.; Chowdhary, A.; Taj-Aldeen, S.J.; Arendrup, M.C.; Oliveri, S.; et al. Azole-Resistance in Aspergillus terreus and related species: An emerging problem or a rare phenomenon? Front. Microbiol. 2018, 9, 516. [Google Scholar] [CrossRef]
- Vahedi-Shahandashti, R.; Dietl, A.M.; Binder, U.; Nagl, M.; Würzner, R.; Lass-Flörl, C. Aspergillus terreus and the interplay with amphotericin B: From resistance to tolerance? Antimicrob. Agents Chemother. 2022, 66, e0227421. [Google Scholar] [CrossRef] [PubMed]
- Vahedi-Shahandashti, R.; Lass-Flörl, C. Novel antifungal agents and their activity against Aspergillus species. J. Fungi. 2020, 6, 213. [Google Scholar] [CrossRef]
- Maertens, J.A.; Raad, I.I.; Marr, K.A.; Patterson, T.F.; Kontoyiannis, D.P.; Cornely, O.A.; Bow, E.J.; Rahav, G.; Neofytos, D.; Aoun, M.; et al. Isavuconazole versus voriconazole for primary treatment of invasive mould disease caused by Aspergillus and other filamentous fungi (SECURE): A phase 3, randomised-controlled, non-inferiority trial. Lancet Lond Engl. 2016, 387, 760–769. [Google Scholar] [CrossRef]
- Jørgensen, K.M.; Astvad, K.M.T.; Hare, R.K.; Arendrup, M.C. EUCAST Susceptibility Testing of Isavuconazole: MIC Data for Contemporary Clinical Mold and Yeast Isolates. Antimicrob. Agents Chemother. 2019, 63, e00073-19. [Google Scholar] [CrossRef]
- Hoenigl, M.; Sprute, R.; Egger, M.; Arastehfar, A.; Cornely, O.A.; Krause, R.; Lass-Flörl, C.; Prattes, J.; Spec, A.; Thompson, G.R.; et al. The Antifungal pipeline: Fosmanogepix, ibrexafungerp, olorofim, opelconazole, and rezafungin. Drugs 2021, 81, 1703–1729. [Google Scholar] [CrossRef]
- Miyazaki, M.; Horii, T.; Hata, K.; Watanabe, N.A.; Nakamoto, K.; Tanaka, K.; Shirotori, S.; Murai, N.; Inoue, S.; Matsukura, M.; et al. In vitro activity of E1210, a novel antifungal, against clinically important yeasts and molds. Antimicrob. Agents Chemother. 2011, 55, 4652–4658. [Google Scholar] [CrossRef]
- Watanabe, N.A.; Miyazaki, M.; Horii, T.; Sagane, K.; Tsukahara, K.; Hata, K. E1210, a New broad-spectrum antifungal, suppresses Candida albicans hyphal growth through inhibition of glycosylphosphatidylinositol biosynthesis. Antimicrob. Agents Chemother. 2012, 56, 960–971. [Google Scholar] [CrossRef]
- Wring, S.A.; Randolph, R.; Park, S.; Abruzzo, G.; Chen, Q.; Flattery, A.; Garrett, G.; Peel, M.; Outcalt, R.; Powell, K.; et al. Preclinical pharmacokinetics and pharmacodynamic target of SCY-078, a first-in-class orally active antifungal glucan synthesis inhibitor, in murine models of disseminated candidiasis. Antimicrob. Agents Chemother. 2017, 61, e02068-16. [Google Scholar] [CrossRef] [PubMed]
- Oliver, J.D.; Sibley, G.E.; Beckmann, N.; Dobb, K.S.; Slater, M.J.; McEntee, L.; Du Pré, S.; Livermore, J.; Bromley, M.J.; Wiederhold, N.P.; et al. F901318 represents a novel class of antifungal drug that inhibits dihydroorotate dehydrogenase. Proc. Natl. Acad. Sci. USA 2016, 113, 12809–12814. [Google Scholar] [CrossRef] [PubMed]
- Buil, J.B.; Rijs, A.J.M.M.; Meis, J.F.; Birch, M.; Law, D.; Melchers, W.J.G.; Verweij, P.E. In vitro activity of the novel antifungal compound F901318 against difficult-to-treat Aspergillus isolates. J. Antimicrob. Chemother. 2017, 72, 2548–2552. [Google Scholar] [CrossRef] [PubMed]
- Risslegger, B.; Zoran, T.; Lackner, M.; Aigner, M.; Sánchez-Reus, F.; Rezusta, A.; Chowdhary, A.; Taj-Aldeen, S.J.; Arendrup, M.C.; Oliveri, S.; et al. A prospective international Aspergillus terreus survey: An EFISG, ISHAM and ECMM joint study. Clin. Microbiol. Infect. 2017, 23, 776.e1–776.e5. [Google Scholar] [CrossRef]
- Houbraken, J.; Kocsubé, S.; Visagie, C.M.; Yilmaz, N.; Wang, X.C.; Meijer, M.; Kraak, B.; Hubka, V.; Bensch, K.; Samson, R.A.; et al. Classification of Aspergillus, Penicillium, Talaromyces and related genera (Eurotiales): An overview of families, genera, subgenera, sections, series and species. Stud. Mycol. 2020, 95, 5–169. [Google Scholar] [CrossRef]
- Arendrup, M.C.; Guinea, J.; Cuenca-Estrella, M.; Meletiadis, J.; Mouton, J.W.; Lagrou, K.; Howard, S.J.; the Subcommittee on Antifungal Susceptibility Testing (AFST) of the ESCMID European Committee for Antimicrobial Susceptibility Testing (EUCAST). Method for the Determination of Broth Dilution Minimum Inhibitory Concentrations of Antifungal Agents for Conidia Form-ing Moulds. EUCAST Definitive Document DEF 9.3.2. Available online: https://www.aspergillus.org.uk/wpcontent/uploads/2016/03/EUCAST_E_Def_9_3_Mould_testing_definitive_0.pdf (accessed on 2 February 2023).
- Lin, S.J.; Schranz, J.; Teutsch, S.M. Aspergillosis case-fatality rate: Systematic review of the literature. Clin. Infect. Dis. 2001, 32, 358–366. [Google Scholar] [CrossRef]
- Gintjee, T.J.; Donnelley, M.A.; Thompson, G.R. Aspiring antifungals: Review of current antifungal pipeline developments. J. Fungi. 2020, 6, 28. [Google Scholar] [CrossRef]
- Fisher, M.C.; Alastruey-Izquierdo, A.; Berman, J.; Bicanic, T.; Bignell, E.M.; Bowyer, P.; Bromley, M.; Brüggemann, R.; Garber, G.; Cornely, O.A.; et al. Tackling the emerging threat of antifungal resistance to human health. Nat. Rev. Microbiol. 2022, 20, 557–571. [Google Scholar] [CrossRef]
- Lo Cascio, G.; Bazaj, A.; Trovato, L.; Sanna, S.; Andreoni, S.; Blasi, E.; Conte, M.; Fazii, P.; Oliva, E.; Lepera, V.; et al. Multicenter Italian study on “in Vitro activities” of isavuconazole, voriconazole, amphotericin B, and caspofungin for Aspergillus species: Comparison between SensititreTM YeastOneTM and MIC Test Strip. Infect. Drug Resist. 2022, 15, 5839–5848. [Google Scholar] [CrossRef]
- Chowdhary, A.; Sharma, C.; Meis, J.F. Azole-resistant aspergillosis: Epidemiology, molecular mechanisms, and treatment. J. Infect. Dis. 2017, 216 (Suppl. S3), S436–S444. [Google Scholar] [CrossRef]
- Vahedi-Shahandashti, R.; Hahn, L.; Houbraken, J.; Lass-Flörl, C. Aspergillus section Terrei and antifungals: From broth to agar-based susceptibility testing methods. J. Fungi. 2023, 9, 306. [Google Scholar] [CrossRef] [PubMed]
- Berman, J.; Krysan, D.J. Drug resistance and tolerance in fungi. Nat. Rev. Microbiol. 2020, 18, 319–331. [Google Scholar] [CrossRef] [PubMed]
- Pfaller, M.A.; Huband, M.D.; Flamm, R.K.; Bien, P.A.; Castanheira, M. Antimicrobial activity of manogepix, a first-in-class antifungal, and comparator agents tested against contemporary invasive fungal isolates from an international surveillance programme (2018–2019). J. Glob. Antimicrob. Resist. 2021, 26, 117–127. [Google Scholar] [CrossRef] [PubMed]
- Huband, M.D.; Pfaller, M.; Carvalhaes, C.G.; Bien, P.; Castanheira, M. 2043. In vitro activity of manogepix against 2,810 fungal isolates from the SENTRY surveillance program (2020-2021) stratified by infection type. Open Forum. Infect. Dis. 2022, 9 (Suppl. 2), ofac492.1665. [Google Scholar]
- Rivero-Menendez, O.; Cuenca-Estrella, M.; Alastruey-Izquierdo, A. In vitro activity of APX001A against rare moulds using EUCAST and CLSI methodologies. J. Antimicrob. Chemother. 2019, 74, 1295–1299. [Google Scholar] [CrossRef]
- Gebremariam, T.; Gu, Y.; Alkhazraji, S.; Youssef, E.; Shaw, K.J.; Ibrahim, A.S. The combination treatment of fosmanogepix and liposomal amphotericin b is superior to monotherapy in treating experimental invasive mold infections. Antimicrob. Agents Chemother. 2022, 66, e0038022. [Google Scholar] [CrossRef]
- Lepak, A.J.; Zhao, M.; Andes, D.R. Pharmacodynamic evaluation of rezafungin (CD101) against Candida auris in the neutropenic mouse invasive candidiasis model. Antimicrob. Agents Chemother. 2018, 62, e01572-18. [Google Scholar] [CrossRef]
- Wiederhold, N.P.; Locke, J.B.; Daruwala, P.; Bartizal, K. Rezafungin (CD101) demonstrates potent in vitro activity against Aspergillus, including azole-resistant Aspergillus fumigatus isolates and cryptic species. J. Antimicrob. Chemother. 2018, 73, 3063–3067. [Google Scholar] [CrossRef]
- Pfaller, M.A.; Messer, S.A.; Motyl, M.R.; Jones, R.N.; Castanheira, M. In vitro activity of a new oral glucan synthase inhibitor (MK-3118) tested against Aspergillus spp. by CLSI and EUCAST broth microdilution methods. Antimicrob. Agents Chemother. 2013, 57, 1065–1068. [Google Scholar] [CrossRef]
- Jiménez-Ortigosa, C.; Paderu, P.; Motyl, M.R.; Perlin, D.S. Enfumafungin derivative MK-3118 shows increased in vitro potency against clinical echinocandin-resistant Candida Species and Aspergillus species isolates. Antimicrob. Agents Chemother. 2014, 58, 1248–1251. [Google Scholar] [CrossRef]
- Ghannoum, M.; Long, L.; Larkin, E.L.; Isham, N.; Sherif, R.; Borroto-Esoda, K.; Barat, S.; Angulo, D. Evaluation of the antifungal activity of the novel oral glucan synthase inhibitor SCY-078, singly and in combination, for the treatment of invasive aspergillosis. Antimicrob. Agents Chemother. 2018, 62, e00244-18. [Google Scholar] [CrossRef] [PubMed]
- Jørgensen, K.M.; Astvad, K.M.T.; Hare, R.K.; Arendrup, M.C. EUCAST determination of olorofim (F901318) susceptibility of mold species, method validation, and MICs. Antimicrob. Agents Chemother. 2018, 62, e00487-18. [Google Scholar] [CrossRef] [PubMed]
- Rivero-Menendez, O.; Cuenca-Estrella, M.; Alastruey-Izquierdo, A. In vitro activity of olorofim (F901318) against clinical isolates of cryptic species of Aspergillus by EUCAST and CLSI methodologies. J. Antimicrob. Chemother. 2019, 74, 1586–1590. [Google Scholar] [CrossRef]
- Lackner, M.; Birch, M.; Naschberger, V.; Grässle, D.; Beckmann, N.; Warn, P.; Gould, J.; Law, D.; Lass-Flörl, C.; Binder, U. Dihydroorotate dehydrogenase inhibitor olorofim exhibits promising activity against all clinically relevant species within Aspergillus section Terrei. J. Antimicrob. Chemother. 2018, 73, 3068–3073. [Google Scholar] [CrossRef] [PubMed]



Disclaimer/Publisher’s Note: The statements, opinions and data contained in all publications are solely those of the individual author(s) and contributor(s) and not of MDPI and/or the editor(s). MDPI and/or the editor(s) disclaim responsibility for any injury to people or property resulting from any ideas, methods, instructions or products referred to in the content. |
© 2023 by the authors. Licensee MDPI, Basel, Switzerland. This article is an open access article distributed under the terms and conditions of the Creative Commons Attribution (CC BY) license (https://creativecommons.org/licenses/by/4.0/).
Share and Cite
Vahedi-Shahandashti, R.; Houbraken, J.; Birch, M.; Lass-Flörl, C. Novel Antifungals and Aspergillus Section Terrei with Potpourri Susceptibility Profiles to Conventional Antifungals. J. Fungi 2023, 9, 649. https://doi.org/10.3390/jof9060649
Vahedi-Shahandashti R, Houbraken J, Birch M, Lass-Flörl C. Novel Antifungals and Aspergillus Section Terrei with Potpourri Susceptibility Profiles to Conventional Antifungals. Journal of Fungi. 2023; 9(6):649. https://doi.org/10.3390/jof9060649
Chicago/Turabian StyleVahedi-Shahandashti, Roya, Jos Houbraken, Mike Birch, and Cornelia Lass-Flörl. 2023. "Novel Antifungals and Aspergillus Section Terrei with Potpourri Susceptibility Profiles to Conventional Antifungals" Journal of Fungi 9, no. 6: 649. https://doi.org/10.3390/jof9060649
APA StyleVahedi-Shahandashti, R., Houbraken, J., Birch, M., & Lass-Flörl, C. (2023). Novel Antifungals and Aspergillus Section Terrei with Potpourri Susceptibility Profiles to Conventional Antifungals. Journal of Fungi, 9(6), 649. https://doi.org/10.3390/jof9060649

