Monilinia fructicola Response to White Light
Abstract
:1. Introduction
2. Materials and Methods
2.1. Monilinia Fructicola Strains
2.2. Effect of Different Lights on Mycelial Growth and Sporulation of M. fructicola on PDA
2.3. Effect of Different Lights on Gene Expression Levels of M. fructicola in Potato Dextrose Broth
2.4. Effect of Different Lights on Nectarine Brown Rot Disease
2.5. RNA Extraction
2.6. Identification of Photoreceptor Coding Genes in M. fructicola 38C Genome
2.7. Transcriptomic Analysis
2.8. Gene Expression Analysis
2.9. Statistical Analysis
3. Results
3.1. Effect of Light on Growth Rate and Sporulation of M. fructicola
3.2. Light Sensing Machinery in M. fructicola 38C
3.3. Transcriptional Profiles in the Light and Darkness in M. fructicola
3.4. Photoregulation of Photoresponse Genes in M. fructicola
3.5. Far1, a Small Protein Coding Gene Upregulated during Light Exposure
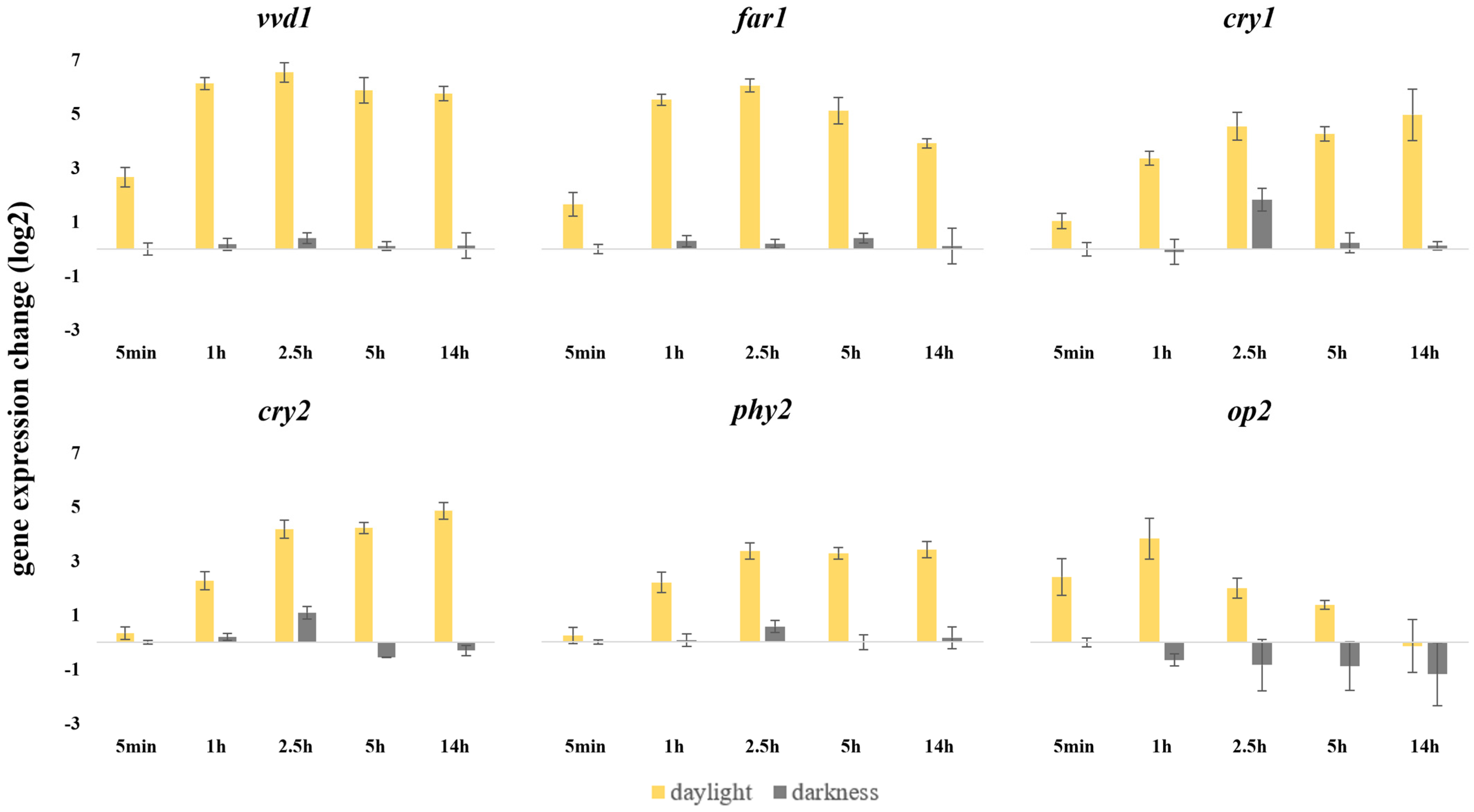
3.6. Differential Expression Analysis Using RT-qPCR in M. fructicola
4. Discussion
Supplementary Materials
Author Contributions
Funding
Institutional Review Board Statement
Informed Consent Statement
Data Availability Statement
Conflicts of Interest
References
- Byrde, R.J.W.; Willetts, H.J. Chapter 2–Taxonomy and nomenclature. In The Brown Rot Fungi of Fruit; Byrde, R.J.W., Willetts, H.J., Eds.; Pergamon: Oxford, UK, 1977; pp. 15–31. [Google Scholar]
- Villarino, M.; Egüen, B.; Lamarca, N.; Segarra, J.; Usall, J.; Melgarejo, P.; De Cal, A. Occurrence of Monilinia laxa and M. fructigena after introduction of M. fructicola in peach orchards in Spain. Eur. J. Plant Pathol. 2013, 137, 835–845. [Google Scholar] [CrossRef]
- Lee, M.H.; Bostock, R.M. Induction, Regulation, and Role in Pathogenesis of Appressoria in Monilinia fructicola. Phytopathology 2006, 96, 1072–1080. [Google Scholar] [CrossRef] [PubMed]
- Garcia-Benitez, C.; Melgarejo, P.; De, C.A. Fruit maturity and post-harvest environmental conditions influence the pre-penetration stages of Monilinia infections in peaches. Int. J. Food. Microbiol. 2017, 241, 117–122. [Google Scholar] [CrossRef] [PubMed]
- Roden, L.C.; Ingle, R.A. Lights, rhythms, infection: The role of light and the circadian clock in determining the outcome of plant-pathogen interactions. Plant Cell 2009, 21, 2546–2552. [Google Scholar] [CrossRef] [PubMed]
- Idnurm, A.; Crosson, S. The photobiology of microbial pathogenesis. PLoS Pathog. 2009, 5, e1000470. [Google Scholar] [CrossRef]
- Linden, H.; Macino, G. White collar 2, a partner in blue-light signal transduction, controlling expression of light-regulated genes in Neurospora crassa. EMBO J. 1997, 16, 98–109. [Google Scholar] [CrossRef]
- Bayram, O.; Feussner, K.; Dumkow, M.; Herrfurth, C.; Feussner, I.; Braus, G.H. Changes of global gene expression and secondary metabolite accumulation during light-dependent Aspergillus nidulans development. Fungal Genet. Biol. 2016, 87, 30–53. [Google Scholar] [CrossRef]
- Bayram, O.; Braus, G.H.; Fischer, R.; Rodriguez-Romero, J. Spotlight on Aspergillus nidulans photosensory systems. Fungal Genet. Biol. 2010, 47, 900–908. [Google Scholar] [CrossRef]
- Herrera-Estrella, A.; Horwitz, B.A. Looking through the eyes of fungi: Molecular genetics of photoreception. Mol. Microbiol. 2007, 64, 5–15. [Google Scholar] [CrossRef]
- Schumacher, J. How light affects the life of Botrytis. Fungal Genet. Biol. 2017, 106, 26–41. [Google Scholar] [CrossRef]
- Rodriguez-Pires, S.; Espeso, E.A.; Rasiukeviciute, N.; Melgarejo, P.; De, C.A. Light-Photoreceptors and Proteins Related to Monilinia laxa Photoresponses. J. Fungi 2021, 7, 32. [Google Scholar] [CrossRef] [PubMed]
- Cohrs, K.C.; Schumacher, J. The Two Cryptochrome/Photolyase Family Proteins Fulfill Distinct Roles in DNA Photorepair and Regulation of Conidiation in the Gray Mold Fungus Botrytis cinerea. Appl. Environ. Microbiol. 2017, 83, e00812-17. [Google Scholar] [CrossRef] [PubMed]
- Rodriguez-Pires, S.; Melgarejo, P.; De, C.A.; Espeso, E.A. Proteomic Studies to Understand the Mechanisms of Peach Tissue Degradation by Monilinia laxa. Front. Plant Sci. 2020, 11, 1286. [Google Scholar] [CrossRef]
- Rodriguez-Pires, S.; Melgarejo, P.; De, C.A.; Espeso, E.A. Pectin as Carbon Source for Monilinia laxa Exoproteome and Expression Profiles of Related Genes. Mol. Plant Microbe Interact. 2020, 33, 1116–1128. [Google Scholar] [CrossRef]
- Vilanova, L.; Valero-Jimenez, C.A.; van Kan, J.A.L. Deciphering the Monilinia fructicola Genome to Discover Effector Genes Possibly Involved in Virulence. Genes 2021, 12, 568. [Google Scholar] [CrossRef]
- Sauer, D.B.; Burroughs, R. Disinfection of seed surfaces with sodium hypochlorite. Phytopathology 1986, 76, 745–749. [Google Scholar] [CrossRef]
- Gambino, G.; Perrone, I.; Gribaudo, I. A Rapid and effective method for RNA extraction from different tissues of grapevine and other woody plants. Phytochem. Anal. 2008, 19, 520–525. [Google Scholar] [CrossRef]
- Espeso, E.A.; Villarino, M.; Carreras, M.; Alonso-Guirado, L.; Alonso, J.M.; Melgarejo, P.; Larena, I. Altered nitrogen metabolism in biocontrol strains of Penicillium rubens. Fungal Genet. Biol. 2019, 132, 103263. [Google Scholar] [CrossRef]
- QIAGEN CLC Genomics Workbench 22.0.3. 2023. Available online: https://digitalinsights.qiagen.com (accessed on 1 February 2023).
- Götz, S.; Garcia-Gomez, J.M.; Terol, J.; Williams, T.D.; Nagaraj, S.H.; Nueda, M.J.; Robles, M.; Talon, M.; Dopazo, J.; Conesa, A. High-throughput functional annotation and data mining with the Blast2GO suite. Nucleic Acids Res. 2008, 36, 3420–3435. [Google Scholar] [CrossRef]
- Kumar, S.; Stecher, G.; Li, M.; Knyaz, C.; Tamura, K. MEGA X: Molecular Evolutionary Genetics Analysis across Computing Platforms. Mol. Biol. Evol. 2018, 35, 1547–1549. [Google Scholar] [CrossRef]
- Schmittgen, T.D.; Livak, K.J. Analyzing real-time PCR data by the comparative C(T) method. Nat. Protoc. 2008, 3, 1101–1108. [Google Scholar] [CrossRef] [PubMed]
- The UniProt Consortium. UniProt: The Universal Protein Knowledgebase in 2023. Nucleic Acids Res. 2023, 51, D523–D531. [Google Scholar] [CrossRef] [PubMed]
- Jones, D.T.; Taylor, W.R.; Thornton, J.M. The rapid generation of mutation data matrices from protein sequences. Comput. Appl. Biosci. 1992, 8, 275–282. [Google Scholar] [CrossRef] [PubMed]
- Mooney, J.L.; Yager, L.N. Light is required for conidiation in Aspergillus nidulans. Genes Dev. 1990, 4, 1473–1482. [Google Scholar] [CrossRef] [PubMed]
- Schumacher, J.; Pradier, J.M.; Simon, A.; Traeger, S.; Moraga, J.; Collado, I.G.; Viaud, M.; Tudzynski, B. Natural variation in the VELVET gene bcvel1 affects virulence and light-dependent differentiation in Botrytis cinerea. PLoS ONE 2012, 7, e47840. [Google Scholar] [CrossRef] [PubMed]
- Rodríguez-Pires, S.; Garcia-Company; Espeso, E.A.; Melgarejo, P.; De Cal, A. Influence of light on the Monilinia laxa-stone fruit interaction. Plant Pathol. 2021, 70, 326–335. [Google Scholar] [CrossRef]
- Schumacher, J.; Simon, A.; Cohrs, K.C.; Viaud, M.; Tudzynski, P. The transcription factor BcLTF1 regulates virulence and light responses in the necrotrophic plant pathogen Botrytis cinerea. PLoS Genet. 2014, 10, e1004040. [Google Scholar] [CrossRef]
- Verde-Yanez, L.; Vall-Llaura, N.; Usall, J.; Teixido, N.; Torres, R. Phenotypic plasticity of Monilinia spp. in response to light wavelengths: From in vitro development to virulence on nectarines. Int. J. Food Microbiol. 2022, 373, 109700. [Google Scholar] [CrossRef]
- Schumacher, J.; Simon, A.; Cohrs, K.C.; Traeger, S.; Porquier, A.; Dalmais, B.; Viaud, M.; Tudzynski, B. The VELVET Complex in the Gray Mold Fungus Botrytis cinerea: Impact of BcLAE1 on Differentiation, Secondary Metabolism, and Virulence. Mol. Plant Microbe Interact. 2015, 28, 659–674. [Google Scholar] [CrossRef]
- Stinnett, S.M.; Espeso, E.A.; Cobeno, L.; Araujo-Bazan, L.; Calvo, A.M. Aspergillus nidulans VeA subcellular localization is dependent on the importin alpha carrier and on light. Mol. Microbiol. 2007, 63, 242–255. [Google Scholar] [CrossRef]
- Hu, Y.; He, J.; Wang, Y.; Zhu, P.; Zhang, C.; Lu, R.; Xu, L. Disruption of a phytochrome-like histidine kinase gene by homologous recombination leads to a significant reduction in vegetative growth, sclerotia production, and the pathogenicity of Botrytis cinerea. Physiol. Mol. Plant Pathol. 2014, 85, 25–33. [Google Scholar] [CrossRef]
- Chen, C.H.; DeMay, B.S.; Gladfelter, A.S.; Dunlap, J.C.; Loros, J.J. Physical interaction between VIVID and white collar complex regulates photoadaptation in Neurospora. Proc. Natl. Acad. Sci. USA 2010, 107, 16715–16720. [Google Scholar] [CrossRef] [PubMed]
- Ballario, P.; Vittorioso, P.; Magrelli, A.; Talora, C.; Cabibbo, A.; Macino, G. White collar-1, a central regulator of blue light responses in Neurospora, is a zinc finger protein. EMBO J. 1996, 15, 1650–1657. [Google Scholar] [CrossRef] [PubMed]
- Smith, K.M.; Sancar, G.; Dekhang, R.; Sullivan, C.M.; Li, S.; Tag, A.G.; Sancar, C.; Bredeweg, E.L.; Priest, H.D.; McCormick, R.F.; et al. Transcription factors in light and circadian clock signaling networks revealed by genomewide mapping of direct targets for Neurospora white collar complex. Eukaryot. Cell 2010, 9, 1549–1556. [Google Scholar] [CrossRef]
- Rodriguez-Pires, S.; Espeso, E.A.; Baro-Montel, N.; Torres, R.; Melgarejo, P.; De, C.A. Labeling of Monilinia fructicola with GFP and Its Validation for Studies on Host-Pathogen Interactions in Stone and Pome Fruit. Genes 2019, 10, 1033. [Google Scholar] [CrossRef]







| Gene Name | Seq ID a | Putative Protein Function b | Predicted Protein Length c | M. laxa 8L ID d | % Identity | % Coverage | B. cinerea B05.10 Id e | % Identity | % Coverage |
|---|---|---|---|---|---|---|---|---|---|
| Putative Near-UV/Blue Light Sensors | |||||||||
| mfccry1 | MFRU_030g01000 | putative deoxyribodipyrimidine photo-lyase | 646 | mlcry1 | 92.01 | 89.54 | bccry1 | 77.28 | 99.15 |
| mfccry2 | MFRU_004g02180 | DASH family cryptochrome protein | 684 | mlcry2 | 94.6 | 100 | bccry2 | 84.36 | 100 |
| Blue light sensing | |||||||||
| mfcwc1 | MFRU_072g00010 | putative white collar-1 protein | 1106 | mlwcl1 | 96.26 | 99.91 | bcwcl1 | 67.38 | 97 |
| mfcwl2 | MFRU_002g04340 | putative white collar-2 protein | 483 | mlwc2 | 95.65 | 100 | bcwcl2 | 72.27 | 99 |
| mfcvvd1 | MFRU_006g01210 | vivid PAS VVD protein | 237 | mlvvd1 | 94.09 | 100 | bcvvd1 | 73.84 | 100 |
| Green light sensing | |||||||||
| mfcop1 | MFRU_001g04210 | putative opsin-1 protein, translocase | 310 | mlops1 | 96.12 | 100 | bcpop1 | 87.5 | 100 |
| mfcop2 | MFRU_009g00610 | putative opsin-like protein, translocase | 340 | mlops2 | 89.12 | 100 | bcpop2 | 81.47 | 100 |
| Red/far red ratio sensing | |||||||||
| mfcphy1 | MFRU_022g00870 | PHY1, histidine kinase-group VIII protein | 1612 | mlphy1 | 94.18 | 99.75 | bcphy1 | 77.91 | 99 |
| mfcphy2 | MFRU_023g00600 | PHY2, histidine kinase-group VIII protein | 1221 | mlphy2 | 92.08 | 99.59 | bcphy2 | 75.69 | 100 |
| mfcphy3 | MFRU_005g01680 | PHY3, histidine kinase-group VIII protein | 1197 | mlphy3 | 93.98 | 100 | bcphy3 | 76.11 | 97 |
| Implicated in photoresponse | |||||||||
| mfcvel1 | MFRU_013g00210 | velvet complex subunit 1 | 609 | mlvel1 | 94.39 | 100 | bcvel1 | 72.76 | 96 |
| mfcvel2 | MFRU_014g01690 | velvet complex subunit 2 | 445 | mlvel2 | 95.74 | 94.61 | bcvel2 | 86.92 | 94 |
| mfcvel3 | MFRU_027g01050 | velvet 3 | 497 | mlvel3 | 95.57 | 100 | bcvel3 | 79.84 | 100 |
| mfcvel4 | MFRU_018g00640 | velvet 4 | 395 | mlvel4 | 95.16 | 98.4 | bcvel4 | 87.11 | 95 |
| Gene | Protein ID | GO ID | GO Name | Enzyme Name |
|---|---|---|---|---|
| vvd1 | MFRU_006g01210 | C:GO:0005634 | C:nucleus | putative vivid pas protein |
| cry1 | MFRU_030g01000 | P:GO:0000719; P:GO:0018298; F:GO:0016829; F:GO:0097159; F:GO:1901363 | P:photoreactive repair; P:obsolete protein-chromophore linkage; F:lyase activity; F:organic cyclic compound binding; F:heterocyclic compound binding | Lyases |
| cry2 | MFRU_004g02180 | P:GO:0006281; P:GO:0018298; P:GO:0060258; P:GO:0075308; F:GO:0003913 | P:DNA repair; P:obsolete protein-chromophore linkage; P:negative regulation of filamentous growth; P:negative regulation of conidium formation; F:DNA photolyase activity | Carbon-carbon lyases |
| phy1 | MFRU_022g00870 | P:GO:0000160; P:GO:0006355; P:GO:0009584; P:GO:0016310; P:GO:0018298; P:GO:1902531; F:GO:0000155; F:GO:0005524; F:GO:0009881; C:GO:0005737 | P:phosphorelay signal transduction system; P:regulation of DNA-templated transcription; P:detection of visible light; P:phosphorylation; P:obsolete protein-chromophore linkage; P:regulation of intracellular signal transduction; F:phosphorelay sensor kinase activity; F:ATP binding; F:photoreceptor activity; C:cytoplasm | Transferring phosphorus-containing groups; Histidine kinase |
| phy2 | MFRU_023g00600 | P:GO:0000160; P:GO:0006355; P:GO:0009584; P:GO:0016310; P:GO:0018298; P:GO:1902531; F:GO:0000155; F:GO:0005524; F:GO:0009881; C:GO:0005737 | P:phosphorelay signal transduction system; P:regulation of DNA-templated transcription; P:detection of visible light; P:phosphorylation; P:obsolete protein-chromophore linkage; P:regulation of intracellular signal transduction; F:phosphorelay sensor kinase activity; F:ATP binding; F:photoreceptor activity; C:cytoplasm | Transferring phosphorus-containing groups; Histidine kinase |
| phy3 | MFRU_005g01680 | P:GO:0000160; P:GO:0006355; P:GO:0009584; P:GO:0016310; P:GO:0018298; P:GO:1902531; F:GO:0000155; F:GO:0005524; F:GO:0009881; C:GO:0005737 | P:phosphorelay signal transduction system; P:regulation of DNA-templated transcription; P:detection of visible light; P:phosphorylation; P:obsolete protein-chromophore linkage; P:regulation of intracellular signal transduction; F:phosphorelay sensor kinase activity; F:ATP binding; F:photoreceptor activity; C:cytoplasm | Transferring phosphorus-containing groups; Histidine kinase |
| op1 | MFRU_001g04210 | P:GO:0007602; P:GO:0018298; P:GO:0034220; F:GO:0005216; F:GO:0009881; C:GO:0016021 | P:phototransduction; P:obsolete protein-chromophore linkage; P:ion transmembrane transport; F:ion channel activity; F:photoreceptor activity; C:integral component of membrane | Translocases |
| op2 | MFRU_009g00610 | P:GO:0007602; P:GO:0018298; P:GO:0034220; F:GO:0005216; F:GO:0009881; C:GO:0016021 | P:phototransduction; P:obsolete protein-chromophore linkage; P:ion transmembrane transport; F:ion channel activity; F:photoreceptor activity; C:integral component of membrane | Translocases |
| wcl1 | MFRU_072g00010 | P:GO:0006355; F:GO:0008270; F:GO:0043565 | P:regulation of DNA-templated transcription; F:zinc ion binding; F:sequence-specific DNA binding | putative white collar 1 protein |
| wcl2 | MFRU_002g04340 | P:GO:0006355; F:GO:0008270; F:GO:0043565; C:GO:0005634 | P:regulation of DNA-templated transcription; F:zinc ion binding; F:sequence-specific DNA binding; C:nucleus | putative white collar-2 protein |
| vel1 | MFRU_013g00210 | P:GO:0030435; C:GO:0005634; C:GO:0005737; C:GO:0016021 | P:sporulation resulting in formation of a cellular spore; C:nucleus; C:cytoplasm; C:integral component of membrane | Velvet 1 |
| vel2 | MFRU_014g01690 | P:GO:0030435; C:GO:0005634; C:GO:0005737 | P:sporulation resulting in formation of a cellular spore; C:nucleus; C:cytoplasm | putative developmental regulator protein |
| vel3 | MFRU_027g01050 | C:GO:0005634 | C:nucleus | putative velvet 3 protein |
| vel4 | MFRU_018g00640 | C:GO:0005634 | C:nucleus | putative vea protein |
| RNAseq Analysis | # Upregulated Transcripts | # Downregulated Transcripts | # Transcripts with No Changes | # No Expression Transcripts |
|---|---|---|---|---|
| 5 min daylight against continuous darkness | 126 | 39 | 6309 | 3612 |
| 14 h daylight against continuous darkness | 188 | 171 | 4800 | 4927 |
| Gene | 5 min | 14 h | ||||
|---|---|---|---|---|---|---|
| TPM Daylight | TPM Darkness | Log2 FoldChange | TPM Daylight | TPM Darkness | Log2 FoldChange | |
| mfcfar1 | 657.9 | 34.1 | 4.3 | 534.4 | 38.2 | 3.6 |
| mfccry1 | 90.5 | 40.2 | 1.2 | 48.4 | 22.8 | 0.9 |
| mfccry2 | 197.5 | 109.6 | 0.9 | 32 | 26 | −0.5 |
| mfcwc1 | 31.8 | 47.2 | −0.5 | 24.4 | 21.7 | 0 |
| mfcwc2 | 64.4 | 41 | 0.7 | 35.6 | 11.9 | 1.4 |
| mfcvvd1 | 346.4 | 27.2 | 3.7 | 105.93 | 35.1 | 1.4 |
| mfcop1 | 593.3 | 254.9 | 1.2 | 181.1 | 210.2 | −0.4 |
| mfcop2 | 13.2 | 1.4 | 3.3 | 3.5 | 4.5 | 0.2 |
| mfcphy1 | 25.2 | 33.4 | −0.4 | 11.1 | 15.6 | 1.2 |
| mfcphy2 | 66.6 | 28.1 | 1.3 | 33.2 | 11.6 | 1.3 |
| mfcphy3 | 0.7 | 0.2 | 1.5 | 0 | 0.5 | −3.3 |
| mfcvel1 | 99.9 | 141.7 | −0.5 | 46.5 | 57.2 | −0.5 |
| mfcvel2 | 118.7 | 93.5 | 0.4 | 78.6 | 28.8 | 1.3 |
| mfcvel3 | 4 | 5.1 | −0.4 | 1.2 | 0 | 3 |
| mfcvel4 | 20.3 | 23.6 | −0.2 | 11.6 | 17 | −0.7 |
Disclaimer/Publisher’s Note: The statements, opinions and data contained in all publications are solely those of the individual author(s) and contributor(s) and not of MDPI and/or the editor(s). MDPI and/or the editor(s) disclaim responsibility for any injury to people or property resulting from any ideas, methods, instructions or products referred to in the content. |
© 2023 by the authors. Licensee MDPI, Basel, Switzerland. This article is an open access article distributed under the terms and conditions of the Creative Commons Attribution (CC BY) license (https://creativecommons.org/licenses/by/4.0/).
Share and Cite
Astacio, J.D.; Espeso, E.A.; Melgarejo, P.; De Cal, A. Monilinia fructicola Response to White Light. J. Fungi 2023, 9, 988. https://doi.org/10.3390/jof9100988
Astacio JD, Espeso EA, Melgarejo P, De Cal A. Monilinia fructicola Response to White Light. Journal of Fungi. 2023; 9(10):988. https://doi.org/10.3390/jof9100988
Chicago/Turabian StyleAstacio, Juan Diego, Eduardo Antonio Espeso, Paloma Melgarejo, and Antonieta De Cal. 2023. "Monilinia fructicola Response to White Light" Journal of Fungi 9, no. 10: 988. https://doi.org/10.3390/jof9100988
APA StyleAstacio, J. D., Espeso, E. A., Melgarejo, P., & De Cal, A. (2023). Monilinia fructicola Response to White Light. Journal of Fungi, 9(10), 988. https://doi.org/10.3390/jof9100988

