Is ß-d-glucan Relevant for the Diagnosis and Follow-Up of Intensive Care Patients with Yeast-Complicated Intra-Abdominal Infection?
Abstract
1. Introduction
2. Patients and Methods
2.1. Study Design
2.2. Study Population
2.3. Data Collection
2.4. (1,3)-ß-d-glucan Assays
2.5. Yeast Peritoneal Culture
2.6. Endpoints
2.7. Statistical Analysis
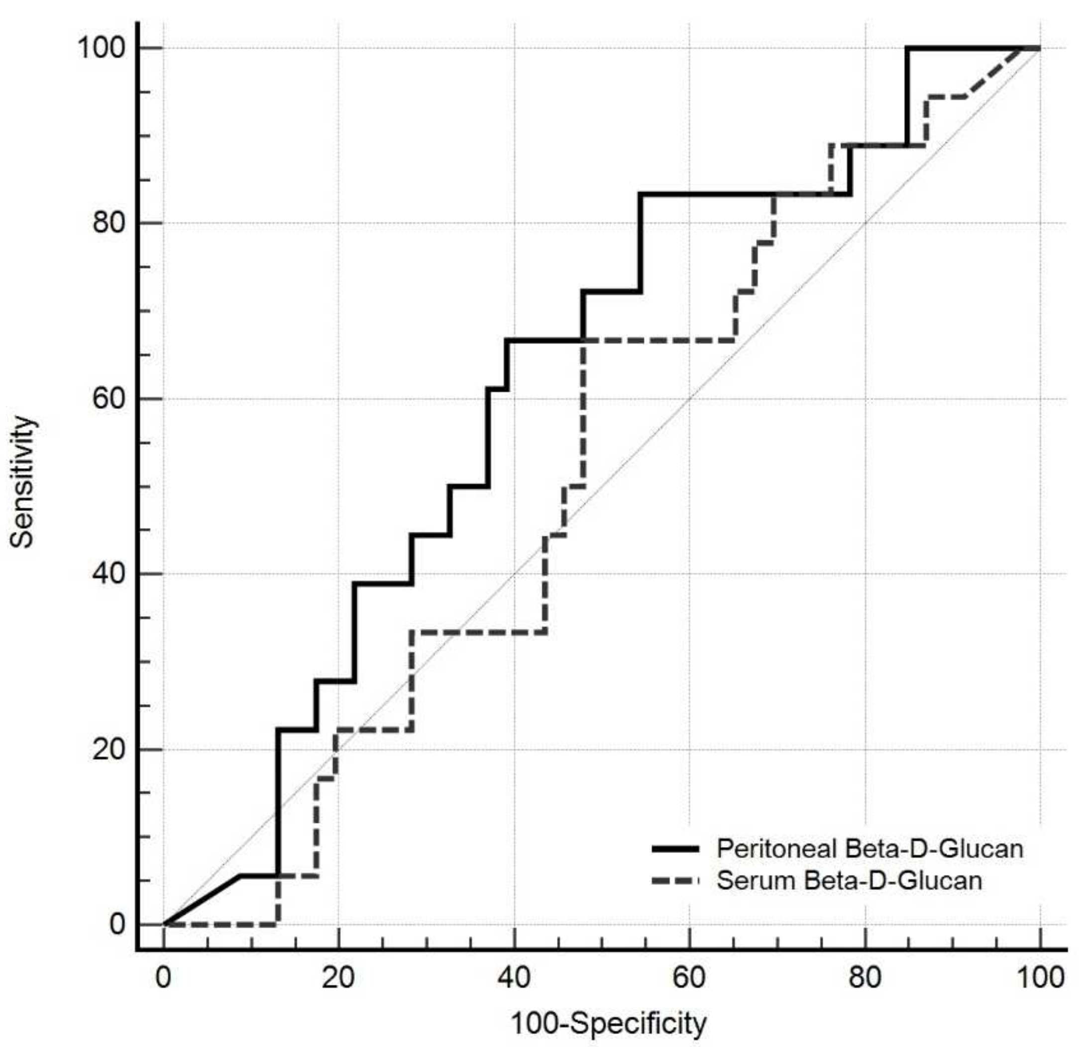
3. Results
3.1. Study Population
3.2. Primary and Secondary Endpoints
4. Discussion
5. Conclusions
Author Contributions
Funding
Institutional Review Board Statement
Informed Consent Statement
Data Availability Statement
Acknowledgments
Conflicts of Interest
References
- De Waele, J.; Lipman, J.; Sakr, Y.; Marshall, J.C.; Vanhems, P.; Barrera Groba, C.; Leone, M.; Vincent, J.L.; EPIC II Investigators. Abdominal infections in the intensive care unit: Characteristics, treatment and determinants of outcome. BMC Infect. Dis. 2014, 14, 420. [Google Scholar] [CrossRef] [PubMed]
- Augustin, P.; Kermarrec, N.; Muller-Serieys, C.; Lasocki, S.; Chosidow, D.; Marmuse, J.P.; Valin, N.; Desmonts, J.M.; Montravers, P. Risk factors for multidrug resistant bacteria and optimization of empirical antibiotic therapy in postoperative peritonitis. Crit. Care 2010, 14, R20. [Google Scholar] [CrossRef] [PubMed]
- Blot, S.; Antonelli, M.; Arvaniti, K.; Blot, K.; Creagh-Brown, B.; de Lange, D.; De Waele, J.; Deschepper, M.; Dikmen, Y.; Dimopoulos, G.; et al. Epidemiology of intra-abdominal infection and sepsis in critically ill patients: “AbSeS”, a multinational observational cohort study and ESICM Trials Group Project. Intensive Care Med. 2019, 45, 1703–1717. [Google Scholar] [CrossRef] [PubMed]
- Chromik, A.M.; Meiser, A.; Holling, J.; Sulberg, D.; Daigeler, A.; Meurer, K.; Vogelsang, H.; Seelig, M.H.; Uhl, W. Identification of patients at risk for development of tertiary peritonitis on a surgical intensive care unit. J. Gastrointest. Surg. 2009, 13, 1358–1367. [Google Scholar] [CrossRef] [PubMed]
- de Ruiter, J.; Weel, J.; Manusama, E.; Kingma, W.P.; van der Voort, P.H. The epidemiology of intra-abdominal flora in critically ill patients with secondary and tertiary abdominal sepsis. Infection 2009, 37, 522–527. [Google Scholar] [CrossRef] [PubMed]
- Montravers, P.; Blot, S.; Dimopoulos, G.; Eckmann, S.; Eggimann, P.; Guirao, X.; Paiva, J.A.; Sganga, G.; De Waele, J. Therapeutic management of peritonitis: A comprehensive guide for intensivists. Intensive Care Med. 2016, 42, 1234–1247. [Google Scholar] [CrossRef]
- Montravers, P.; Dupont, H.; Leone, M.; Constantin, J.M.; Mertes, P.M.; Laterre, P.F.; Misset, B.; Bru, J.P.; Gauzit, R.; Sotto, A.; et al. Guidelines for management of intra-abdominal infections. Anaesth. Crit. Care Pain Med. 2015, 34, 117–130. [Google Scholar] [CrossRef]
- Solomkin, J.S.; Mazuski, J.E.; Bradley, J.S.; Rodvold, K.A.; Goldstein, E.J.C.; Baron, E.J.; O’Neill, P.J.; Chow, A.W.; Dellinger, E.P.; Eachempati, S.R.; et al. Diagnosis and Management of Complicated Intra-abdominal Infection in Adults and Children: Guidelines by the Surgical Infection Society and the Infectious Diseases Society of America. Clin. Infect. Dis. 2010, 50, 133–164. [Google Scholar] [CrossRef]
- Montravers, P.; Dupont, H.; Gauzit, R.; Veber, B.; Auboyer, C.; Blin, P.; Hennequin, C.; Martin, C. Candida as a risk factor for mortality in peritonitis. Crit. Care Med. 2006, 34, 646–652. [Google Scholar] [CrossRef]
- Dupont, H.; Guilbart, M.; Ntouba, A.; Perquin, M.; Petiot, S.; Regimbeau, J.M.; Chouaki, T.; Mahjoub, Y.; Zogheib, E. Can yeast isolation be predicted in complicated secondary non-postoperative intra-abdominal infections? Crit. Care 2015, 19, 60. [Google Scholar] [CrossRef]
- Dupont, H.; Paugam-Burtz, C.; Muller-Serieys, C.; Fierobe, L.; Chosidow, D.; Marmuse, J.P.; Mantz, J.; Desmonts, J.M. Predictive factors of mortality due to polymicrobial peritonitis with Candida isolation in the peritonnael fluid in critically ill patients. Arch. Surg. 2002, 137, 1341–1346. [Google Scholar] [CrossRef] [PubMed]
- Dupont, H.; Bourichon, A.; Paugam-Burtz, C.; Mantz, J.; Desmonts, J.M. Can yeast isolation in peritoneal fluid be predicted in intensive care unit patients with peritonitis? Crit. Care Med. 2003, 31, 752–757. [Google Scholar] [CrossRef] [PubMed]
- Angebault, C.; Lanternier, F.; Dalle, F.; Schrimpf, C.; Roupie, A.L.; Dupuis, A.; Agathine, A.; Scemla, A.; Paubelle, E.; Caillot, D.; et al. Prospective Evaluation of Serum beta-Glucan Testing in Patients With Probable or Proven Fungal Diseases. Open Forum Infect. Dis. 2016, 3, ofw128. [Google Scholar] [CrossRef] [PubMed]
- Koo, S.; Bryar, J.M.; Page, J.H.; Baden, L.R.; Marty, F.M. Diagnostic performance of the (1-->3)-beta-D-glucan assay for invasive fungal disease. Clin. Infect. Dis. 2009, 49, 1650–1659. [Google Scholar] [CrossRef]
- Mohr, J.F.; Sims, C.; Paetznick, V.; Rodriguez, J.; Finkelman, M.A.; Rex, J.H.; Ostrosky-Zeichner, L. Prospective survey of (1-->3)-beta-D-glucan and its relationship to invasive candidiasis in the surgical intensive care unit setting. J. Clin. Microbiol. 2011, 49, 58–61. [Google Scholar] [CrossRef]
- Presterl, E.; Parschalk, B.; Bauer, E.; Lassnigg, A.; Hajdu, S.; Graninger, W. Invasive fungal infections and (1,3)-beta-D-glucan serum concentrations in long-term intensive care patients. Int. J. Infect. Dis. 2009, 13, 707–712. [Google Scholar] [CrossRef][Green Version]
- Jaijakul, S.; Vazquez, J.A.; Swanson, R.N.; Ostrosky-Zeichner, L. (1,3)-beta-D-glucan as a prognostic marker of treatment response in invasive candidiasis. Clin. Infect. Dis. 2012, 55, 521–526. [Google Scholar] [CrossRef]
- Novy, E.; Laithier, F.X.; Machouart, M.C.; Albuisson, E.; Guerci, P.; Losser, M.R. Determination of 1,3-beta-D-glucan in the peritoneal fluid for the diagnosis of intra-abdominal candidiasis in critically ill patients: A pilot study. Minerva Anestesiol. 2018, 84, 1369–1376. [Google Scholar] [CrossRef]
- Tissot, F.; Lamoth, F.; Hauser, P.M.; Orasch, C.; Flückiger, U.; Siegemund, M.; Zimmerli, S.; Calandra, T.; Bille, J.; Eggimann, P.; et al. ß-Glucan Antigenemia Anticipates Diagnosis of Blood Culture–Negative Intraabdominal Candidiasis. Am. J. Respir. Crit. Care Med. 2013, 188, 1100–1109. [Google Scholar] [CrossRef]
- Bassetti, M.; Marchetti, M.; Chakrabarti, A.; Colizza, S.; Garnacho-Montero, J.; Kett, D.H.; Munoz, P.; Cristini, F.; Andoniadou, A.; Viale, P.; et al. A research agenda on the management of intra-abdominal candidiasis: Results from a consensus of multinational experts. Intensive Care Med. 2013, 39, 2092–2106. [Google Scholar] [CrossRef]
- Lopez, N.; Kobayashi, L.; Coimbra, R. A Comprehensive review of abdominal infections. World J. Emerg. Surg. 2011, 6, 7. [Google Scholar] [CrossRef] [PubMed]
- Menichetti, F.; Sganga, G. Definition and classification of intra-abdominal infections. J. Chemother. 2009, 21, 3–4. [Google Scholar] [CrossRef] [PubMed]
- Charlson, M.E.; Pompei, P.; Ales, K.L.; MacKenzie, C.R. A new method of classifying prognostic comorbidity in longitudinal studies: Development and validation. J. Chronic Dis. 1987, 40, 373–383. [Google Scholar] [CrossRef]
- Le Gall, J.R.; Lemeshow, S.; Saulnier, F. A new Simplified Acute Physiology Score (SAPS II) based on a European/North American multicenter study. JAMA 1993, 270, 2957–2963. [Google Scholar] [CrossRef]
- Vincent, J.L.; Moreno, R.; Takala, J.; Willatts, S.; De Mendonca, A.; Bruining, H.; Reinhart, C.K.; Suter, P.M.; Thijs, L.G. The SOFA (Sepsis-related Organ Failure Assessment) score to describe organ dysfunction/failure. On behalf of the Working Group on Sepsis-Related Problems of the European Society of Intensive Care Medicine. Intensive Care Med. 1996, 22, 707–710. [Google Scholar] [CrossRef]
- Cohen, J. A power primer. Psychol. Bull. 1992, 112, 155–159. [Google Scholar] [CrossRef]
- Knitsch, W.; Vincent, J.L.; Utzolino, S.; Francois, B.; Dinya, T.; Dimopoulos, G.; Ozgunes, I.; Valia, J.C.; Eggimann, P.; Leon, C.; et al. A randomized, placebo-controlled trial of preemptive antifungal therapy for the prevention of invasive candidiasis following gastrointestinal surgery for intra-abdominal infections. Clin. Infect. Dis. 2015, 61, 1671–1678. [Google Scholar] [CrossRef]
- Hallen-Adams, H.E.; Suhr, M.J. Fungi in the healthy human gastrointestinal tract. Virulence 2017, 8, 352–358. [Google Scholar] [CrossRef]
- Paterson, M.J.; Oh, S.; Underhill, D.M. Host-microbe interactions: Commensal fungi in the gut. Curr. Opin. Microbiol. 2017, 40, 131–137. [Google Scholar] [CrossRef]
- Chin, V.K.; Yong, V.C.; Chong, P.P.; Amin Nordin, S.; Basir, R.; Abdullah, M. Mycobiome in the Gut: A Multiperspective Review. Mediat. Inflamm. 2020, 2020, 9560684. [Google Scholar] [CrossRef]
- Hallen-Adams, H.E.; Kachman, S.D.; Kim, J.; Legge, R.M.; Martínez, I. Fungi inhabiting the healthy human gastrointestinal tract: A diverse and dynamic community. Fungal Ecol. 2015, 15, 9–17. [Google Scholar] [CrossRef]
- Ruiz-Herrera, J.; Ortiz-Castellanos, L. Cell wall glucans of fungi. A review. Cell Surf. 2019, 5, 100022. [Google Scholar] [CrossRef] [PubMed]
- Gow, N.A.R.; Latge, J.P.; Munro, C.A. The Fungal Cell Wall: Structure, Biosynthesis, and Function. Microbiol. Spectr. 2017, 5. [Google Scholar] [CrossRef] [PubMed]
- Alam, F.F.; Mustafa, A.S.; Khan, Z.U. Comparative evaluation of (1, 3)-beta-D-glucan, mannan and anti-mannan antibodies, and Candida species-specific snPCR in patients with candidemia. BMC Infect. Dis. 2007, 7, 103. [Google Scholar] [CrossRef] [PubMed]
- Mokaddas, E.; Khan, Z.U.; Ahmad, S.; Nampoory, M.R.N.; Burhamah, M. Value of (1-3)-b-D-glucan, Candida mannan and Candida DNA detection in the diagnosis of candidaemia. Clin. Microbiol. Infect. 2011, 17, 1546–1553. [Google Scholar] [CrossRef]
- Corrales, I.; Gimenez, E.; Aguilar, G.; Delgado, C.; Puig, J.; Izquierdo, A.; Belda, J.; Navarro, D. Detection of fungal DNA in peritoneal fluids by a PCR DNA low-density microarray system and quantitation of serum (1-3)-beta-D-glucan in the diagnosis of peritoneal candidiasis. Med. Mycol. 2015, 53, 199–204. [Google Scholar] [CrossRef][Green Version]



| Yeast Negative Peritoneal Culture (n = 46) | Yeast Positive Peritoneal Culture (n = 19) | p Value | |
|---|---|---|---|
| Age (years) | 69 [59–73] | 62 [59–71] | 0.42 |
| Charlson score | 5.0 [3.5–7.0] | 5.0 [4.0–6.5] | 0.83 |
| Sex, male | 25 (53.2%) | 14 (73.7%) | 0.21 |
| SAPS2 score | 65 [51–74] | 66 [64–78] | 0.48 |
| SOFA score | 14.0 [11.5–16.0] | 15.0 [11.5–16.0] | 0.29 |
| Community IAI | 16 (34.0%) | 5 (26.3%) | 0.65 |
| Generalized IAI | 33 (70.2%) | 15 (78.9%) | 0.68 |
| Upper gastro-intestinal tract location | 14 (29.8%) | 10 (52.6%) | 0.35 |
| MAP (mmHg) | 82 [70–90] | 77 [74–88] | 0.42 |
| HR (bpm) | 100 [85–123] | 103 [90–114] | 0.97 |
| Mechanical ventilation | 43 (91.5%) | 17 (89.5%) | 0.99 |
| Procalcitonin (µg.L−1) | 3.6 [0.8–21.0] | 4.9 [0.9–25.3] | 0.89 |
| CRP (mg.L−1) | 221 [153–299] | 150 [52–322] | 0.23 |
| Yeast Negative Peritoneal Culture (n = 46) | Yeast Positive Peritoneal Culture (n = 19) | p Value | |
|---|---|---|---|
| Duration of catecholamine use (days) | 3 [2–5] | 5 [3–9] | 0.005 |
| Duration of MV (days) | 3 [1–6] | 6 [4–16.5] | 0.001 |
| Success rate at EOT | 18 (39.1%) | 3 (15.8%) | 0.085 |
| Mortality at day 28 | 10 (21.7%) | 4 (21.5%) | 0.95 |
| Mortality at hospital discharge | 14 (30.4%) | 5 (26.3%) | 0.74 |
Publisher’s Note: MDPI stays neutral with regard to jurisdictional claims in published maps and institutional affiliations. |
© 2022 by the authors. Licensee MDPI, Basel, Switzerland. This article is an open access article distributed under the terms and conditions of the Creative Commons Attribution (CC BY) license (https://creativecommons.org/licenses/by/4.0/).
Share and Cite
Dupont, H.; Malaquin, S.; Villeret, L.; Macq, P.-Y.; Ammenouche, N.; Tinturier, F.; Diouf, M.; Rumbach, M.; Chouaki, T. Is ß-d-glucan Relevant for the Diagnosis and Follow-Up of Intensive Care Patients with Yeast-Complicated Intra-Abdominal Infection? J. Fungi 2022, 8, 487. https://doi.org/10.3390/jof8050487
Dupont H, Malaquin S, Villeret L, Macq P-Y, Ammenouche N, Tinturier F, Diouf M, Rumbach M, Chouaki T. Is ß-d-glucan Relevant for the Diagnosis and Follow-Up of Intensive Care Patients with Yeast-Complicated Intra-Abdominal Infection? Journal of Fungi. 2022; 8(5):487. https://doi.org/10.3390/jof8050487
Chicago/Turabian StyleDupont, Hervé, Stéphanie Malaquin, Léonie Villeret, Pierre-Yves Macq, Nacim Ammenouche, François Tinturier, Momar Diouf, Matthieu Rumbach, and Taieb Chouaki. 2022. "Is ß-d-glucan Relevant for the Diagnosis and Follow-Up of Intensive Care Patients with Yeast-Complicated Intra-Abdominal Infection?" Journal of Fungi 8, no. 5: 487. https://doi.org/10.3390/jof8050487
APA StyleDupont, H., Malaquin, S., Villeret, L., Macq, P.-Y., Ammenouche, N., Tinturier, F., Diouf, M., Rumbach, M., & Chouaki, T. (2022). Is ß-d-glucan Relevant for the Diagnosis and Follow-Up of Intensive Care Patients with Yeast-Complicated Intra-Abdominal Infection? Journal of Fungi, 8(5), 487. https://doi.org/10.3390/jof8050487

