Diterpenes Specially Produced by Fungi: Structures, Biological Activities, and Biosynthesis (2010–2020)
Abstract
1. Introduction
2. Cyathane

3. Cyclopiane


3.1. Conidiogenol Type
3.2. Conidiogenone Type
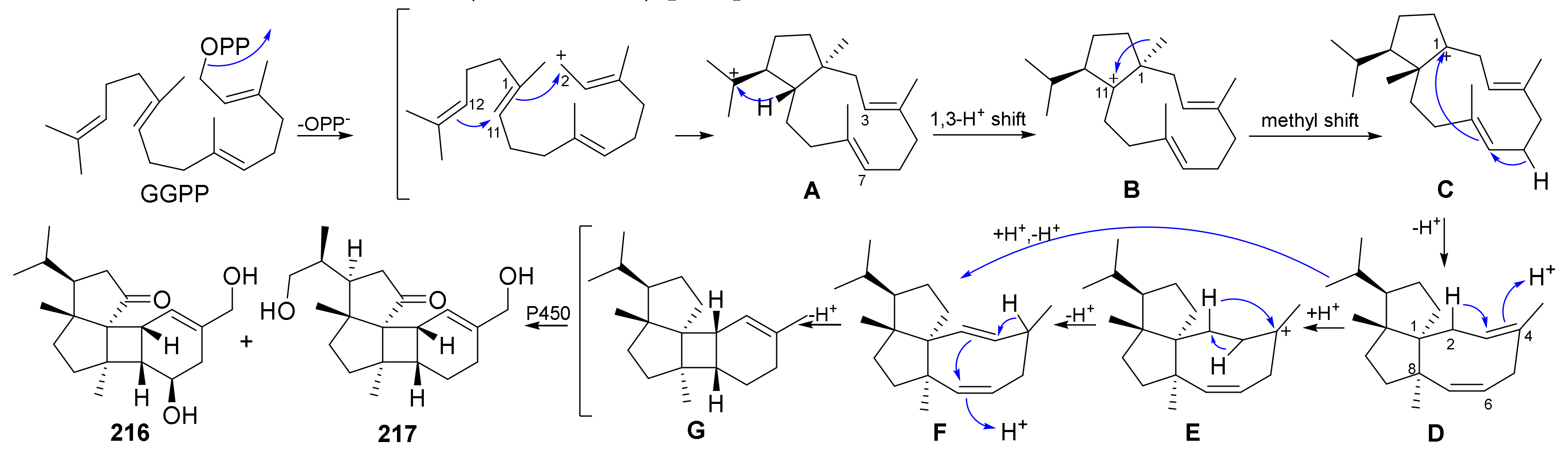
4. Fusicoccane
4.1. Structural and Biological Diversity




4.2. Biosynthesis of Fusicoccane Diterpenes
5. Guanacastane



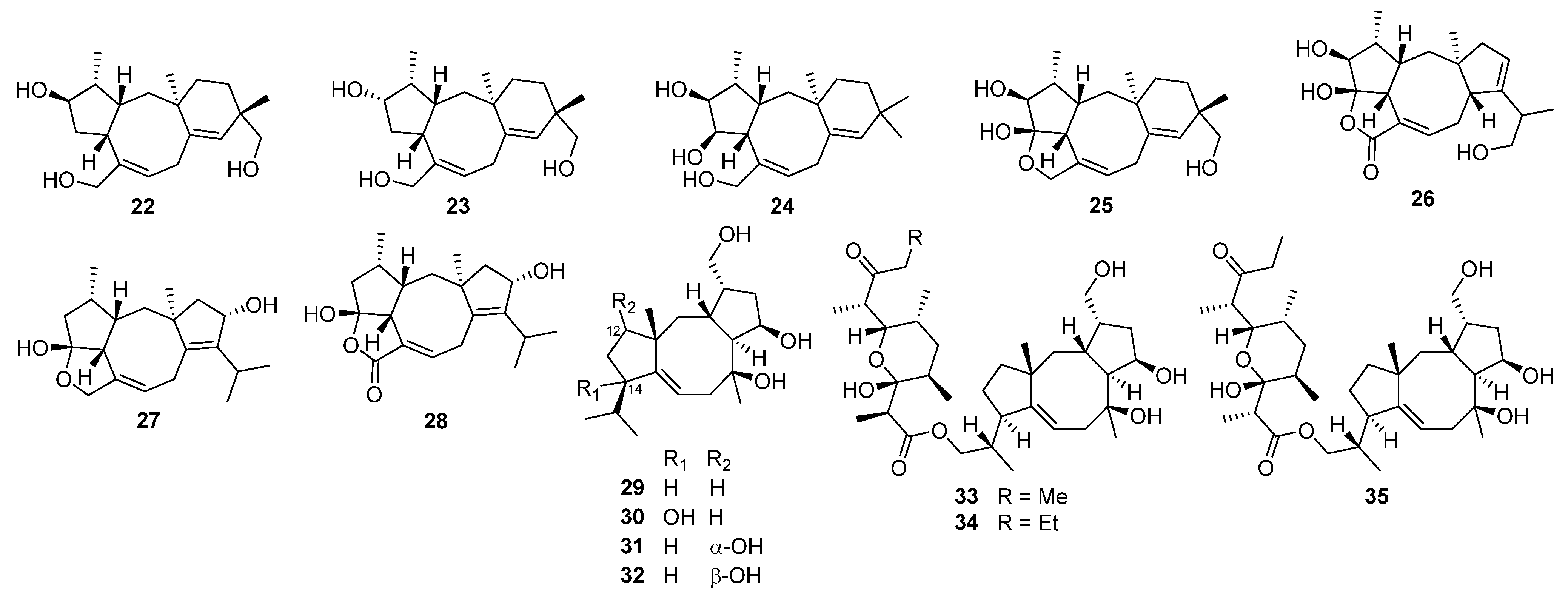
6. Harziene


7. Phomopsene

8. Pleuromutilin

9. Sordaricin
10. Tetraquinane

11. Others
11.1. Spirograterpene

11.2. Psathyrin
11.3. Coicenal

11.4. Eryngiolide
11.5. Trichodermanin

12. Conclusions and Future Prospects
Author Contributions
Funding
Institutional Review Board Statement
Informed Consent Statement
Data Availability Statement
Conflicts of Interest
References
- Blackwell, M. The fungi: 1, 2, 3 … 5.1 million species? Am. J. Bot. 2011, 98, 426–438. [Google Scholar] [CrossRef]
- Spiteller, P. Chemical ecology of fungi. Nat. Prod. Rep. 2015, 32, 971–993. [Google Scholar] [CrossRef] [PubMed]
- Dictionary of Natural Products. 2020. Available online: http://dnp.chemnetbase.com (accessed on 26 August 2021).
- Buckingham, J.; Cooper, C.M.; Purchase, R. Natural Products Desk Reference; CRC Press: Boca Raton, FL, USA, 2016; pp. 1–219. [Google Scholar]
- Christianson, D.W. Structural and chemical biology of terpenoid cyclases. Chem. Rev. 2017, 117, 11570–11648. [Google Scholar] [CrossRef]
- Quin, M.B.; Flynn, C.M.; Schmidt-Dannert, C. Traversing the fungal terpenome. Nat. Prod. Rep. 2014, 31, 1449–1473. [Google Scholar] [CrossRef]
- Minami, A.; Ozaki, T.; Liu, C.; Oikawa, H. Cyclopentane-forming di/sesterterpene synthases: Widely distributed enzymes in bacteria, fungi, and plants. Nat. Prod. Rep. 2018, 35, 1330–1346. [Google Scholar] [CrossRef] [PubMed]
- Mitsuhashi, T.; Abe, I. Chimeric terpene synthases possessing both terpene cyclization and prenyltransfer activities. ChemBioChem 2018, 19, 1106–1114. [Google Scholar] [CrossRef] [PubMed]
- Dickschat, J.S. Bacterial diterpene biosynthesis. Angew. Chem. Int. Ed. 2019, 58, 15964–15976. [Google Scholar] [CrossRef] [PubMed]
- Mafu, S.; Zerbe, P. Plant diterpenoid metabolism for manufacturing the biopharmaceuticals of tomorrow: Prospects and challenges. Phytochem. Rev. 2018, 17, 113–130. [Google Scholar] [CrossRef]
- Rudolf, J.D.; Alsup, T.A.; Xu, B.; Li, Z. Bacterial terpenome. Nat. Prod. Rep. 2020, 38, 905–980. [Google Scholar] [CrossRef]
- Pemberton, T.A.; Chen, M.; Harris, G.G.; Chou, W.K.; Duan, L.; Koksal, M.; Genshaft, A.S.; Cane, D.E.; Christianson, D.W. Exploring the influence of domain architecture on the catalytic function of diterpene synthases. Biochemistry 2017, 56, 2010–2023. [Google Scholar] [CrossRef] [PubMed]
- Keller, N.P.; Turner, G.; Bennett, J.W. Fungal secondary metabolism—From biochemistry to genomics. Nat. Rev. Microbiol. 2005, 3, 937–947. [Google Scholar] [CrossRef] [PubMed]
- Bills, G.F.; Gloer, J.B. Biologically active secondary metabolites from the fungi. Microbiol. Spectr. 2016, 4, 1087–1119. [Google Scholar] [CrossRef] [PubMed]
- Sanchez, J.F.; Somoza, A.D.; Keller, N.P.; Wang, C.C.C. Advances in Aspergillus secondary metabolite research in the post-genomic era. Nat. Prod. Rep. 2012, 29, 351–371. [Google Scholar] [CrossRef]
- Fischer, M.J.; Rustenhloz, C.; Leh-Louis, V.; Perriere, G. Molecular and functional evolution of the fungal diterpene synthase genes. BMC Microbiol. 2015, 15, 221. [Google Scholar] [CrossRef][Green Version]
- Rokas, A.; Mead, M.E.; Steenwyk, J.L.; Raja, H.A.; Oberlies, N.H. Biosynthetic gene clusters and the evolution of fungal chemodiversity. Nat. Prod. Rep. 2020, 37, 868–878. [Google Scholar] [CrossRef]
- Gressler, M.; Löhr, N.A.; Schäfer, T.; Lawrinowitz, S.; Seibold, P.S.; Hoffmeister, D. Mind the mushroom: Natural product biosynthetic genes and enzymes of Basidiomycota. Nat. Prod. Rep. 2021, 38, 702–722. [Google Scholar] [CrossRef]
- Bailly, C.; Gao, J.M. Erinacine A and related cyathane diterpenoids: Molecular diversity and mechanisms underlying their neuroprotection and anticancer activities. Pharmacol. Res. 2020, 159, 104953. [Google Scholar] [CrossRef] [PubMed]
- Tang, H.Y.; Yin, X.; Zhang, C.C.; Jia, Q.; Gao, J.M. Structure diversity, synthesis, and biological activity of cyathane diterpenoids in higher fungi. Curr. Med. Chem. 2015, 22, 2375–2391. [Google Scholar] [CrossRef]
- Laber, G.; Schütze, E. In Vivo efficacy of 81.723 hfu, a new pleuromutilin derivative against experimentally induced airsacculitis in chicks and turkey poults. Antimicrob. Agents Chemother. 1975, 7, 517–521. [Google Scholar] [CrossRef]
- Burch, D.G.; Jones, G.T.; Heard, T.W.; Tuck, R.E. The synergistic activity of tiamulin and chlortetracycline: In-feed treatment of bacterially complicated enzootic pneumonia in fattening pigs. Vet. Rec. 1986, 119, 108–112. [Google Scholar] [CrossRef]
- Stipkovits, L.; Ripley, P.H.; Tenk, M.; Glávits, R.; Molnár, T.; Fodor, L. The efficacy of valnemulin (Econor®) in the control of disease caused by experimental infection of calves with Mycoplasma bovis. Res. Vet. Sci. 2005, 78, 207–215. [Google Scholar] [CrossRef] [PubMed]
- Rittenhouse, S.; Biswas, S.; Broskey, J.; McCloskey, L.; Moore, T.; Vasey, S.; West, J.; Zalacain, M.; Zonis, R.; Payne, D. Selection of retapamulin, a novel pleuromutilin for topical use. Antimicrob. Agents Chemother. 2006, 50, 3882–3885. [Google Scholar] [CrossRef] [PubMed]
- Zhao, D.H.; Zhang, Z.; Zhang, C.Y.; Liu, Z.C.; Deng, H.; Yu, J.J.; Guo, J.P.; Liu, Y.H. Population pharmacokinetics of valnemulin in swine. J. Vet. Pharmacol. Ther. 2014, 37, 59–65. [Google Scholar] [CrossRef]
- Zhang, L.; Fasoyin, O.E.; Molnár, I.; Xu, Y. Secondary metabolites from hypocrealean entomopathogenic fungi: Novel bioactive compounds. Nat. Prod. Rep. 2020, 37, 1181–1206. [Google Scholar] [CrossRef] [PubMed]
- Kuang, Y.; Li, B.; Wang, Z.; Qiao, X.; Ye, M. Terpenoids from the medicinal mushroom Antrodia camphorata: Chemistry and medicinal potential. Nat. Prod. Rep. 2021, 38, 83–102. [Google Scholar] [CrossRef] [PubMed]
- Jiang, M.H.; Wu, Z.E.; Guo, H.; Liu, L.; Chen, S.H. A review of terpenes from marine-derived fungi: 2015–2019. Mar. Drugs 2020, 18, 321. [Google Scholar] [CrossRef]
- Ran, H.; Li, S.M. Fungal benzene carbaldehydes: Occurrence, structural diversity, activities and biosynthesis. Nat. Prod. Rep. 2021, 38, 240–263. [Google Scholar] [CrossRef]
- Zhu, M.Z.; Cen, Y.F.; Ye, W.; Li, S.N.; Zhang, W.M. Recent advances on macrocyclic trichothecenes, their bioactivities and biosynthetic pathway. Toxins 2020, 12, 417. [Google Scholar] [CrossRef]
- Proctor, R.H.; McCormick, S.P.; Gutierrez, S. Genetic bases for variation in structure and biological activity of trichothecene toxins produced by diverse fungi. Appl. Microbiol. Biotechnol. 2020, 104, 5185–5199. [Google Scholar] [CrossRef]
- Cadelis, M.M.; Copp, B.R.; Wiles, S. A review of fungal protoilludane sesquiterpenoid natural products. Antibiotics 2020, 9, 928. [Google Scholar] [CrossRef]
- El-Demerdash, A.; Kumla, D.; Kijjoa, A. Chemical diversity and biological activities of meroterpenoids from marine derived-fungi: A comprehensive update. Mar. Drugs 2020, 18, 317. [Google Scholar] [CrossRef]
- Zhao, M.; Tang, Y.; Xie, J.; Zhao, Z.; Cui, H. Meroterpenoids produced by fungi: Occurrence, structural diversity, biological activities, and their molecular targets. Eur. J. Med. Chem. 2021, 209, 112860. [Google Scholar] [CrossRef] [PubMed]
- Jiang, M.; Wu, Z.; Liu, L.; Chen, S. The chemistry and biology of fungal meroterpenoids (2009–2019). Org. Biomol. Chem. 2020, 19, 1644–1704. [Google Scholar] [CrossRef] [PubMed]
- Barra, L.; Abe, I. Chemistry of fungal meroterpenoid cyclases. Nat. Prod. Rep. 2020, 38, 566–585. [Google Scholar] [CrossRef] [PubMed]
- Zhao, Y.; Cui, J.; Liu, M.Y.J.; Zhao, L. Progress on terpenoids with biological activities produced by plant endophytic fungi in China between 2017 and 2019. Nat. Prod. Commun. 2020, 15, 1934578X20937204. [Google Scholar] [CrossRef]
- Zhang, L.; Yue, Q.; Wang, C.; Xu, Y.; Molnár, I. Secondary metabolites from hypocrealean entomopathogenic fungi: Genomics as a tool to elucidate the encoded parvome. Nat. Prod. Rep. 2020, 37, 1164–1180. [Google Scholar] [CrossRef]
- Lyu, H.N.; Liu, H.W.; Keller, N.P.; Yin, W.B. Harnessing diverse transcriptional regulators for natural product discovery in fungi. Nat. Prod. Rep. 2020, 37, 6–16. [Google Scholar] [CrossRef]
- Hanson, J.R.; Nichols, T.; Mukhrish, Y.; Bagley, M.C. Diterpenoids of terrestrial origin. Nat. Prod. Rep. 2019, 36, 1499–1512. [Google Scholar] [CrossRef]
- Friedman, M. Chemistry, nutrition, and health-promoting properties of Hericium erinaceus (Lion’s Mane) mushroom fruiting bodies and mycelia and their bioactive compounds. J. Agric. Food Chem. 2015, 63, 7108–7123. [Google Scholar] [CrossRef]
- Enquist, J.A.; Stoltz, B.M. Synthetic efforts toward cyathane diterpenoid natural products. Nat. Prod. Rep. 2009, 26, 661–680. [Google Scholar] [CrossRef]
- Kim, K.; Cha, J.K. Total synthesis of cyathin A3 and cyathin B2. Angew. Chem. Int. Ed. 2009, 48, 5334–5336. [Google Scholar] [CrossRef] [PubMed]
- Kanoh, N.; Sakanishi, K.; Iimori, E.; Nishimura, K.; Iwabuchi, Y. Asymmetric total synthesis of (−)-scabronine G via intramolecular double Michael reaction and Prins cyclization. Org. Lett. 2011, 13, 2864–2867. [Google Scholar] [CrossRef]
- Kobayakawa, Y.; Nakada, M. Enantioselective total synthesis of (−)-cyathin B2. J. Antibiot. 2014, 67, 483–485. [Google Scholar] [CrossRef]
- Nakada, M. Enantioselective total syntheses of cyathane diterpenoids. Chem. Rec. 2014, 14, 641–662. [Google Scholar] [CrossRef]
- Wu, G.J.; Zhang, Y.H.; Tan, D.X.; He, L.; Cao, B.C.; He, Y.P.; Han, F.S. Synthetic studies on enantioselective total synthesis of cyathane diterpenoids: Cyrneines A and B, glaucopine C, and (+)-allocyathin B2. J. Org. Chem. 2019, 84, 3223–3238. [Google Scholar] [CrossRef] [PubMed]
- Marcos, I.S.; Moro, R.F.; Gil-Mesón, A.; Díez, D. Chapter 5. 7-6-5 Tricarbocyclic diterpenes: Valparanes, mulinanes, cyathanes, homoverrucosanes, and related ones. In Studies in Natural Products Chemistry; ur Rahman, A., Ed.; Elsevier Inc.: Amsterdam, The Netherlands, 2016; Volume 48, pp. 137–207. [Google Scholar]
- De Jesus Dzul-Beh, A.; Uc-Cachon, A.H.; Borquez, J.; Loyola, L.A.; Pena-Rodriguez, L.M.; Molina-Salinas, G.M. Mulinane- and azorellane-type diterpenoids: A systematic review of their biosynthesis, chemistry, and pharmacology. Biomolecules 2020, 10, 1333. [Google Scholar] [CrossRef] [PubMed]
- Sennett, S.H.; Pompeni, S.A.; Wright, A.E. Diterpene metabolites from two chemotypes of the marine sponge Myrmekioderma styx. J. Nat. Prod. 1992, 55, 1421–1429. [Google Scholar] [CrossRef] [PubMed]
- Green, D.; Goldberg, I.; Stein, Z.; Ilan, M.; Kashman, Y. Cyanthiwigin A–D, novel cytotoxic diterpenes from the sponge Epipolasis reiswigi. Nat. Prod. Lett. 1992, 1, 193–199. [Google Scholar] [CrossRef]
- Peng, J.; Walsh, K.; Weedman, V.; Bergthold, J.D.; Lynch, J.; Lieu, K.L.; Braude, I.A.; Kelly, M.; Hamann, M.T. The new bioactive diterpenes cyanthiwigins E–AA from the Jamaican sponge Myrmekioderma styx. Tetrahedron 2002, 58, 7809–7819. [Google Scholar] [CrossRef]
- Pfeiffer, M.W.B.; Phillips, A.J. Conversion of cyanthiwigin U to related cyanthiwigins: Total syntheses of cyanthiwigin W and cyanthiwigin Z. Tetrahedron Lett. 2008, 49, 6860–6861. [Google Scholar] [CrossRef]
- Miller, L.C.; Ndungu, J.M.; Sarpong, R. Parallel kinetic resolution approach to the cyathane and cyanthiwigin diterpenes using a cyclopropanation/cope rearrangement. Angew. Chem. Int. Ed. 2009, 48, 2398–2402. [Google Scholar] [CrossRef] [PubMed]
- Enquist, J.A., Jr.; Virgil, S.C.; Stoltz, B.M. Total syntheses of cyanthiwigins B, F, and G. Chem. Eur. J. 2011, 17, 9957–9969. [Google Scholar] [CrossRef] [PubMed][Green Version]
- Wang, C.; Wang, D.; Gao, S. Total synthesis of cyanthiwigins A, C, G, and H. Org. Lett. 2013, 15, 4402–4405. [Google Scholar] [CrossRef]
- Kim, K.E.; Stoltz, B.M. A second-generation synthesis of the cyanthiwigin natural product core. Org. Lett. 2016, 18, 5720–5723. [Google Scholar] [CrossRef]
- Chang, Y.; Shi, L.; Huang, J.; Shi, L.; Zhang, Z.; Hao, H.D.; Gong, J.; Yang, Z. Stereoselective total synthesis of (±)-5-epi-cyanthiwigin I via an intramolecular Pauson–Khand reaction as the key step. Org. Lett. 2018, 20, 2876–2879. [Google Scholar] [CrossRef]
- Kim, K.E.; Adams, A.M.; Chiappini, N.D.; Du Bois, J.; Stoltz, B.M. Cyanthiwigin natural product core as a complex molecular scaffold for comparative late-stage C–H functionalization studies. J. Org. Chem. 2018, 83, 3023–3033. [Google Scholar] [CrossRef] [PubMed]
- Cao, C.Y.; Zhang, C.C.; Shi, X.W.; Li, D.; Cao, W.; Yin, X.; Gao, J.M. Sarcodonin G derivatives exhibit distinctive effects on neurite outgrowth by modulating NGF signaling in PC12 cells. ACS Chem. Neurosci. 2018, 9, 1607–1615. [Google Scholar] [CrossRef]
- Dixon, E.; Schweibenz, T.; Hight, A.; Kang, B.; Dailey, A.; Kim, S.; Chen, M.Y.; Kim, Y.; Neale, S.; Groth, A.; et al. Bacteria-induced static batch fungal fermentation of the diterpenoid cyathin A3, a small-molecule inducer of nerve growth factor. J. Ind. Microbiol. Biotechnol. 2011, 38, 607–615. [Google Scholar] [CrossRef]
- Nei, M.; Kumar, S. Molecular Evolution and Phylogenetics; Oxford University Press: New York, NY, USA, 2000. [Google Scholar]
- Felsenstein, J. Confidence limits on phylogenies: An approach using the bootstrap. Evolution 1985, 39, 783–791. [Google Scholar] [CrossRef]
- Kumar, S.; Stecher, G.; Li, M.; Knyaz, C.; Tamura, K. MEGA X: Molecular evolutionary genetics analysis across computing platforms. Mol. Biol. Evol. 2018, 35, 1547–1549. [Google Scholar] [CrossRef]
- Cheng, Z.; Li, Y.; Xu, W.; Liu, W.; Liu, L.; Zhu, D.; Kang, Y.; Luo, Z.; Li, Q. Three new cyclopiane-type diterpenes from a deep-sea derived fungus Penicillium sp. YPGA11 and their effects against human esophageal carcinoma cells. Bioorg. Chem. 2019, 91, 103129. [Google Scholar] [CrossRef] [PubMed]
- Roncal, T.; Cordobés, S.; Ugalde, U.; He, Y.; Sterner, O. Novel diterpenes with potent conidiation inducing activity. Tetrahedron Lett. 2002, 43, 6799–6802. [Google Scholar] [CrossRef]
- Rodriíguez, I.I.; Rodriíguez, A.D.; Zhao, H. Aberrarone: A gorgonian-derived diterpene from Pseudopterogorgia elisabethae. J. Org. Chem. 2009, 74, 7581–7584. [Google Scholar] [CrossRef]
- Niu, S.; Fan, Z.; Tang, X.; Liu, Q.; Shao, Z.; Liu, G.; Yang, X.W. Cyclopiane-type diterpenes from the deep-sea-derived fungus Penicillium commune MCCC 3A00940. Tetrahedron Lett. 2018, 59, 375–378. [Google Scholar] [CrossRef]
- Mitsuhashi, T.; Kikuchi, T.; Hoshino, S.; Ozeki, M.; Awakawa, T.; Shi, S.P.; Fujita, M.; Abe, I. Crystalline sponge method enabled the investigation of a prenyltransferase-terpene synthase chimeric enzyme, whose product exhibits broadened NMR signals. Org. Lett. 2018, 20, 5606–5609. [Google Scholar] [CrossRef] [PubMed]
- Roncal, T.; Cordobes, S.; Sterner, O.; Ugalde, U. Conidiation in Penicillium cyclopium is induced by conidiogenone, an endogenous diterpene. Eukaryot. Cell 2002, 1, 823–829. [Google Scholar] [CrossRef]
- Shiina, T.; Nakagawa, K.; Fujisaki, Y.; Ozaki, T.; Liu, C.; Toyomasu, T.; Hashimoto, M.; Koshino, H.; Minami, A.; Kawaide, H.; et al. Biosynthetic study of conidiation-inducing factor conidiogenone: Heterologous production and cyclization mechanism of a key bifunctional diterpene synthase. Biosci. Biotechnol. Biochem. 2019, 83, 192–201. [Google Scholar] [CrossRef]
- Du, L.; Li, D.; Zhu, T.; Cai, S.; Wang, F.; Xiao, X.; Gu, Q. New alkaloids and diterpenes from a deep ocean sediment derived fungus Penicillium sp. Tetrahedron 2009, 65, 1033–1039. [Google Scholar] [CrossRef]
- Gao, S.S.; Li, X.M.; Zhang, Y.; Li, C.S.; Wang, B.G. Conidiogenones H and I, two new diterpenes of cyclopiane class from a marine-derived endophytic fungus Penicillium chrysogenum QEN-24S. Chem. Biodivers. 2011, 8, 1748–1753. [Google Scholar] [CrossRef]
- Hou, S.H.; Tu, Y.Q.; Wang, S.H.; Xi, C.C.; Zhang, F.M.; Wang, S.H.; Li, Y.T.; Liu, L. Total syntheses of the tetracyclic cyclopiane diterpenes conidiogenone, conidiogenol, and conidiogenone B. Angew. Chem. Int. Ed. 2016, 128, 4532–4536. [Google Scholar] [CrossRef]
- Li, F.; Sun, W.; Zhang, S.; Gao, W.; Lin, S.; Yang, B.; Chai, C.; Li, H.; Wang, J.; Hu, Z.; et al. New cyclopiane diterpenes with anti-inflammatory activity from the sea sediment-derived fungus Penicillium sp. TJ403-2. Chin. Chem. Lett. 2020, 31, 197–201. [Google Scholar] [CrossRef]
- Chen, H.Y.; Liu, T.K.; Shi, Q.; Yang, X.L. Sesquiterpenoids and diterpenes with antimicrobial activity from Leptosphaeria sp. XL026, an endophytic fungus in Panax notoginseng. Fitoterapia 2019, 137, 104243. [Google Scholar] [CrossRef]
- De Boer, A.H.; De Vries-Van Leeuwen, I.J. Fusicoccanes: Diterpenes with surprising biological functions. Trends Plant Sci. 2012, 17, 360–368. [Google Scholar] [CrossRef] [PubMed]
- Hu, Z.; Sun, W.; Li, F.; Guan, J.; Lu, Y.; Liu, J.; Tang, Y.; Du, G.; Xue, Y.; Luo, Z.; et al. Fusicoccane-derived diterpenoids from Alternaria brassicicola: Investigation of the structure-stability relationship and discovery of an IKKβ inhibitor. Org. Lett. 2018, 20, 5198–5202. [Google Scholar] [CrossRef]
- Li, F.L.; Lin, S.; Zhang, S.T.; Hao, X.C.; Li, X.N.; Yang, B.Y.; Liu, J.J.; Wang, J.P.; Hu, Z.X.; Zhang, Y.H. Alterbrassinoids A–D: Fusicoccane-derived diterpenoid dimers featuring different carbon skeletons from Alternaria brassicicola. Org. Lett. 2019, 21, 8353–8357. [Google Scholar] [CrossRef]
- Zhang, M.; Yan, S.; Liang, Y.; Zheng, M.; Wu, Z.; Zang, Y.; Yu, M.; Sun, W.; Liu, J.; Ye, Y.; et al. Talaronoids A–D: Four fusicoccane diterpenoids with an unprecedented tricyclic 5/8/6 ring system from the fungus Talaromyces stipitatus. Org. Chem. Front. 2020, 7, 3486–3492. [Google Scholar] [CrossRef]
- Ballio, A.; Chain, E.B.; De Leo, P.; Erlanger, B.F.; Mauri, M.; Tonolo, A. Fusicoccin: A new wilting toxin produced by Fusicoccum amygdali Del. Nature 1964, 203, 297. [Google Scholar] [CrossRef]
- Aoyagi, T.; Aoyama, T.; Kojima, F.; Hattori, S.; Honma, Y.; Hamada, M.; Takeuch, T. Cyclooctatin, a new inhibitor of lysophospholipase, produced by Streptomyces melanosporofaciens MI614-43F2. Taxonomy, production, isolation, physico-chemical properties and biological activities. J. Antibiot. 1992, 45, 1587–1591. [Google Scholar] [CrossRef]
- Muromtsev, G.S.; Voblikova, V.D.; Kobrina, N.S.; Koreneva, V.M.; Krasnopolskaya, L.M.; Sadovskaya, V.L. Occurrence of fusicoccanes in plants and fungi. J. Plant Growth Regul. 1994, 13, 39–49. [Google Scholar] [CrossRef]
- Rasoamiaranjanahary, L.; Marston, A.; Guilet, D.; Schenk, K.; Randimbivololona, F.; Hostettmann, K. Antifungal diterpenes from Hypoestes serpens (Acanthaceae). Phytochemistry 2003, 62, 333–337. [Google Scholar] [CrossRef]
- Komala, I.; Ito, T.; Nagashima, F.; Yagi, Y.; Kawahata, M.; Yamaguchi, K.; Asakawa, Y. Zierane sesquiterpene lactone, cembrane and fusicoccane diterpenoids, from the Tahitian liverwort Chandonanthus hirtellus. Phytochemistry 2010, 71, 1387–1394. [Google Scholar] [CrossRef] [PubMed]
- Gilabert, M.; Ramos, A.N.; Schiavone, M.A.M.; Arena, M.E.; Bardoón, A. Bioactive sesqui- and diterpenoids from the Argentine liverwort Porella chilensis. J. Nat. Prod. 2011, 74, 574–579. [Google Scholar] [CrossRef] [PubMed]
- Kawamura, A.; Iacovidou, M.; Hirokawa, E.; Soll, C.E.; Trujillo, M. 17-Hydroxycyclooctatin, a fused 5–8–5 ring diterpene, from Streptomyces sp. MTE4a. J. Nat. Prod. 2011, 74, 492–495. [Google Scholar] [CrossRef] [PubMed]
- Kenmoku, H.; Tada, H.; Oogushi, M.; Esumi, T.; Takahashi, H.; Noji, M.; Sassa, T.; Toyota, M.; Asakawa, Y. Seed dormancy breaking diterpenoids from the liverwort Plagiochila sciophila and their differentiation inducing activity in human promyelocytic leukemia HL-60 cells. Nat. Prod. Commun. 2014, 9, 915–920. [Google Scholar] [CrossRef]
- Takahashi, M.; Kawamura, A.; Kato, N.; Nishi, T.; Hamachi, I.; Ohkanda, J. Phosphopeptide-dependent labeling of 14–3–3ζ proteins by fusicoccin-based fluorescent probes. Angew. Chem. Int. Ed. 2012, 51, 509–512. [Google Scholar] [CrossRef]
- Wang, W.; Wan, X.; Liu, J.; Wang, J.; Zhu, H.; Chen, C.; Zhang, Y. Two new terpenoids from Talaromyces purpurogenus. Mar. Drugs 2018, 16, 150. [Google Scholar] [CrossRef]
- Takekawa, H.; Tanaka, K.; Fukushi, E.; Matsuo, K.; Nehira, T.; Hashimoto, M. Roussoellols A and B, tetracyclic fusicoccanes from Roussoella hysterioides. J. Nat. Prod. 2013, 76, 1047–1051. [Google Scholar] [CrossRef]
- Aoyama, T.; Naganawa, H.; Muraoka, Y.; Aoyagi, T.; Takeuchi, T. The structure of cyclooctatin, a new inhibitor of lysophospholipase. J. Antibiot. 1992, 45, 1703–1704. [Google Scholar] [CrossRef]
- Zheng, D.; Han, L.; Qu, X.D.; Chen, X.; Zhong, J.L.; Bi, X.X.; Liu, J.; Jiang, Y.; Jiang, C.L.; Huang, X.S. Cytotoxic fusicoccane-type diterpenoids from Streptomyces violascens isolated from Ailuropoda melanoleuca feces. J. Nat. Prod. 2017, 80, 837–844. [Google Scholar] [CrossRef]
- Mackinnon, S. Components from the phytotoxic extract of Alternaria brassicicola, a black spot pathogen of canola. Phytochemistry 1999, 51, 215–221. [Google Scholar] [CrossRef]
- Pedras, M.S.; Chumala, P.B.; Jin, W.; Islam, M.S.; Hauck, D.W. The phytopathogenic fungus Alternaria brassicicola: Phytotoxin production and phytoalexin elicitation. Phytochemistry 2009, 70, 394–402. [Google Scholar] [CrossRef] [PubMed]
- Kenmoku, H.; Takeue, S.; Oogushi, M.; Yagi, Y.; Sassa, T.; Toyota, M.; Asakawa, Y. Seed dormancy breaking diterpenoids, including novel brassicicenes J and K, from fungus Alternaria brassicicola, and their necrotic/apoptotic activities in HL-60 cells. Nat. Prod. Commun. 2014, 9, 351–354. [Google Scholar] [CrossRef] [PubMed]
- Tang, Y.; Xue, Y.; Du, G.; Wang, J.; Liu, J.; Sun, B.; Li, X.N.; Yao, G.; Luo, Z.; Zhang, Y. Structural revisions of a class of natural products: Scaffolds of aglycon analogues of fusicoccins and cotylenins isolated from fungi. Angew. Chem. Int. Ed. 2016, 55, 4069–4073. [Google Scholar] [CrossRef] [PubMed]
- Li, F.; Sun, W.; Guan, J.; Lu, Y.; Zhang, S.; Lin, S.; Liu, J.; Gao, W.; Wang, J.; Hu, Z.; et al. Alterbrassicicene A, a highly transformed fusicoccane-derived diterpenoid with potent PPAR-γ agonistic activity from Alternaria brassicicola. Org. Lett. 2018, 20, 7982–7986. [Google Scholar] [CrossRef] [PubMed]
- Li, F.; Sun, W.; Guan, J.; Lu, Y.; Lin, S.; Zhang, S.; Gao, W.; Liu, J.; Du, G.; Wang, J.; et al. Anti-inflammatory fusicoccane-type diterpenoids from the phytopathogenic fungus Alternaria brassicicola. Org. Biomol. Chem. 2018, 16, 8751–8760. [Google Scholar] [CrossRef]
- Li, F.; Lin, S.; Zhang, S.; Pan, L.; Chai, C.; Su, J.C.; Yang, B.; Liu, J.; Wang, J.; Hu, Z.; et al. Modified fusicoccane-type diterpenoids from Alternaria brassicicola. J. Nat. Prod. 2020, 83, 1931–1938. [Google Scholar] [CrossRef]
- Li, F.L.; Pan, L.F.; Lin, S.; Zhang, S.T.; Li, H.Q.; Yang, B.Y.; Liu, J.J.; Wang, J.P.; Hu, Z.X.; Zhang, Y.H. Fusicoccane-derived diterpenoids with bridgehead double-bond-containing tricyclo[9.2.1.03,7]tetradecane ring systems from Alternaria brassicicola. Bioorg. Chem. 2020, 100, 103887. [Google Scholar] [CrossRef]
- Bie, Q.; Chen, C.M.; Yu, M.Y.; Guo, J.R.; Wang, J.P.; Liu, J.J.; Zhou, Y.; Zhu, H.C.; Zhang, Y.H. Dongtingnoids A–G: Fusicoccane diterpenoids from a Penicillium species. J. Nat. Prod. 2019, 82, 80–86. [Google Scholar] [CrossRef]
- Harada, J.; Tanaka, T.; Sassa, T. Sprouting of dormant tubers of Sagittaria trifolia, a perennial paddy weed, caused by cotylenin E, a new plant growth regulator. J. Weed Sci. Technol. 1981, 26, 37–39. [Google Scholar] [CrossRef][Green Version]
- Takeuchi, Y.; Sassa, T.; Kawaguchi, S.; Ogasawara, M.; Yoneyama, K.; Konnai, M. Stimulation of germination of Monochoria vaginalis seeds by seed coat puncture and cotylenins. J. Weed Sci. Technol. 1995, 40, 221–224. [Google Scholar] [CrossRef][Green Version]
- Noike, M.; Ono, Y.; Araki, Y.; Tanio, R.; Higuchi, Y.; Nitta, H.; Hamano, Y.; Toyomasu, T.; Sassa, T.; Kato, N.; et al. Molecular breeding of a fungus producing a precursor diterpene suitable for semi-synthesis by dissection of the biosynthetic machinery. PLoS ONE 2012, 7, e42090. [Google Scholar] [CrossRef]
- Arens, J.; Engels, B.; Klopries, S.; Jennewein, S.; Ottmann, C.; Schulz, F. Exploration of biosynthetic access to the shared precursor of the fusicoccane diterpenoid family. Chem. Commun. 2013, 49, 4337–4339. [Google Scholar] [CrossRef] [PubMed]
- Liang, X.R.; Miao, F.P.; Song, Y.P.; Guo, Z.Y.; Ji, N.Y. Trichocitrin, a new fusicoccane diterpene from the marine brown alga-endophytic fungus Trichoderma citrinoviride cf-27. Nat. Prod. Res. 2016, 30, 1605–1610. [Google Scholar] [CrossRef]
- Wu, Y.H.; Chen, G.D.; He, R.R.; Wang, C.X.; Hu, D.; Wang, G.Q.; Guo, L.D.; Yao, X.S.; Gao, H. Pericolactines A–C, a new class of diterpenoid alkaloids with unusual tetracyclic skeleton. Sci. Rep. 2015, 5, 17082. [Google Scholar] [CrossRef] [PubMed]
- Toyomasu, T.; Tsukahara, M.; Kaneko, A.; Niida, R.; Mitsuhashi, W.; Dairi, T.; Kato, N.; Sassa, T. Fusicoccins are biosynthesized by an unusual chimera diterpene synthase in fungi. Proc. Natl. Acad. Sci. USA 2007, 104, 3084–3088. [Google Scholar] [CrossRef]
- Minami, A.; Tajima, N.; Higuchi, Y.; Toyomasu, T.; Sassa, T.; Kato, N.; Dairi, T. Identification and functional analysis of brassicicene C biosynthetic gene cluster in Alternaria brassicicola. Bioorg. Med. Chem. Lett. 2009, 19, 870–874. [Google Scholar] [CrossRef]
- Hashimoto, M.; Higuchi, Y.; Takahashi, S.; Osada, H.; Sakaki, T.; Toyomasu, T.; Sassa, T.; Kato, N.; Dairi, T. Functional analyses of cytochrome P450 genes responsible for the early steps of brassicicene C biosynthesis. Bioorg. Med. Chem. Lett. 2009, 19, 5640–5643. [Google Scholar] [CrossRef] [PubMed]
- Ono, Y.; Minami, A.; Noike, M.; Higuchi, Y.; Toyomasu, T.; Sassa, T.; Kato, N.; Dairi, T. Dioxygenases, key enzymes to determine the aglycon structures of fusicoccin and brassicicene, diterpene compounds produced by fungi. J. Am. Chem. Soc. 2011, 133, 2548–2555. [Google Scholar] [CrossRef]
- Kim, S.Y.; Zhao, P.; Igarashi, M.; Sawa, R.; Tomita, T.; Nishiyama, M.; Kuzuyama, T. Cloning and heterologous expression of the cyclooctatin biosynthetic gene cluster afford a diterpene cyclase and two P450 hydroxylases. Chem. Biol. 2009, 16, 736–743. [Google Scholar] [CrossRef]
- Kudo, F.; Matsuura, Y.; Hayashi, T.; Fukushima, M.; Eguchi, T. Genome mining of the sordarin biosynthetic gene cluster from Sordaria araneosa Cain ATCC 36386: Characterization of cycloaraneosene synthase and GDP-6-deoxyaltrose transferase. J. Antibiot. 2016, 69, 541–548. [Google Scholar] [CrossRef]
- Chiba, R.; Minami, A.; Gomi, K.; Oikawa, H. Identification of ophiobolin F synthase by a genome mining approach: A sesterterpene synthase from Aspergillus clavatus. Org. Lett. 2013, 15, 594–597. [Google Scholar] [CrossRef] [PubMed]
- Ye, Y.; Minami, A.; Mandi, A.; Liu, C.; Taniguchi, T.; Kuzuyama, T.; Monde, K.; Gomi, K.; Oikawa, H. Genome mining for sesterterpenes using bifunctional terpene synthases reveals a unified intermediate of di/sesterterpenes. J. Am. Chem. Soc. 2015, 137, 11846–11853. [Google Scholar] [CrossRef] [PubMed]
- Tazawa, A.; Ye, Y.; Ozaki, T.; Liu, C.; Ogasawara, Y.; Dairi, T.; Higuchi, Y.; Kato, N.; Gomi, K.; Minami, A.; et al. Total biosynthesis of brassicicenes: Identification of a key enzyme for skeletal diversification. Org. Lett. 2018, 20, 6178–6182. [Google Scholar] [CrossRef]
- Lin, F.L.; Lauterbach, L.; Zou, J.; Wang, Y.H.; Lv, J.M.; Chen, G.D.; Hu, D.; Gao, H.; Yao, X.S.; Dickschat, J.S. Mechanistic characterization of the fusicoccane-type diterpene synthase for myrothec-15(17)-en-7-ol. ACS Catal. 2020, 10, 4306–4312. [Google Scholar] [CrossRef]
- Brady, S.F.; Singh, M.P.; Janso, J.E.; Clardy, J. Guanacastepene, a fungal-derived diterpene antibiotic with a new carbon skeleton. J. Am. Chem. Soc. 2000, 122, 2116–2117. [Google Scholar] [CrossRef]
- Brady, S.F.; Bondi, S.M.; Clardy, J. The guanacastepenes: A highly diverse family of secondary metabolites produced by an endophytic fungus. J. Am. Chem. Soc. 2001, 123, 9900–9901. [Google Scholar] [CrossRef]
- Dudley, G.B.; Danishefsky, S.J. A four-step synthesis of the hydroazulene core of guanacastepene. Org. Lett. 2001, 3, 2399–2402. [Google Scholar] [CrossRef]
- Dudley, G.B.; Tan, D.S.; Kim, G.; Tanski, J.M.; Danishefsky, S.J. Remarkable stereoselectivity in the alkylation of a hydroazulenone: Progress towards the total synthesis of guanacastepene. Tetrahedron Lett. 2001, 42, 6789–6791. [Google Scholar] [CrossRef]
- Mehta, G.; Umarye, J.D. Studies toward the total synthesis of diterpene antibiotic guanacastepene A: construction of the hydroazulenic core. Org. Lett. 2002, 4, 1063–1066. [Google Scholar] [CrossRef]
- Lin, S.; Dudley, G.B.; Tan, D.S.; Danishefsky, S.J. A stereoselective route to guanacastepene A through a surprising epoxidation. Angew. Chem. Int. Ed. 2002, 41, 2188–2191. [Google Scholar] [CrossRef]
- Brummond, K.M.; Gao, D. Unique strategy for the assembly of the carbon skeleton of guanacastepene A using an allenic Pauson–Khand-type reaction. Org. Lett. 2003, 5, 3491–3494. [Google Scholar] [CrossRef] [PubMed]
- Du, X.; Chu, H.V.; Kwon, O. Synthesis of the [5–7–6] tricyclic core of guanacastepene A via an intramolecular Mukaiyama aldol reaction. Org. Lett. 2003, 5, 1923–1926. [Google Scholar] [CrossRef] [PubMed]
- Hughes, C.C.; Kennedy-Smith, J.J.; Trauner, D. Synthetic studies toward the guanacastepenes. Org. Lett. 2003, 5, 4113–4115. [Google Scholar] [CrossRef] [PubMed]
- Hughes, C.C.; Miller, A.K.; Trauner, D. An electrochemical approach to the guanacastepenes. Org. Lett. 2005, 7, 3425–3428. [Google Scholar] [CrossRef]
- Battiste, M.A.; Pelphrey, P.M.; Wright, D.L. The cycloaddition strategy for the synthesis of natural products containing carbocyclic seven-membered rings. Chem. Eur. J. 2006, 12, 3438–3447. [Google Scholar] [CrossRef]
- Iimura, S.; Overman, L.E.; Paulini, R.; Zakarian, A. Enantioselective total synthesis of guanacastepene N using an uncommon 7-endo Heck cyclization as a pivotal step. J. Am. Chem. Soc. 2006, 128, 13095–13101. [Google Scholar] [CrossRef][Green Version]
- Li, C.C.; Wang, C.H.; Liang, B.; Zhang, X.H.; Deng, L.J.; Liang, S.; Chen, J.H.; Wu, Y.D.; Yang, Z. Synthetic study of 1,3-butadiene-based IMDA approach to construct a [5–7–6] tricyclic core and its application to the total synthesis of C8-epi-guanacastepene O. J. Org. Chem. 2006, 71, 6892–6897. [Google Scholar] [CrossRef]
- McGowan, C.A.; Schmieder, A.K.; Roberts, L.; Greaney, M.F. Synthesis of the guanacastepene A–B hydrazulene ring system through photochemical ring transposition. Org. Biomol. Chem. 2007, 5, 1522–1524. [Google Scholar] [CrossRef]
- Michalak, K.; Michalak, M.; Wicha, J. Construction of the tricyclic 5-7-6 scaffold of fungi-derived diterpenoids. Total synthesis of (±)-heptemerone G and an approach to Danishefsky’s intermediate for guanacastepene A synthesis. J. Org. Chem. 2010, 75, 8337–8350. [Google Scholar] [CrossRef]
- Oonishi, Y.; Taniuchi, A.; Sato, Y. Rhodium(I)-catalyzed hydroacylation/cycloisomerization cascade reaction: Application to the construction of the tricyclic core of guanacastepenes. Synthesis 2010, 2010, 2884–2892. [Google Scholar] [CrossRef]
- Gampe, C.M.; Carreira, E.M. Total syntheses of guanacastepenes N and O. Angew. Chem. Int. Ed. 2011, 50, 2962–2965. [Google Scholar] [CrossRef]
- Michalak, K.; Michalak, M.; Wicha, J. A facile construction of the tricyclic 5-7-6 scaffold of fungi-derived diterpenoids. The first total synthesis of (±)-heptemerone G and a new approach to Danishefsky’s intermediate for a guanacastepene A synthesis. Tetrahedron Lett. 2010, 51, 4344–4346. [Google Scholar] [CrossRef]
- Kettering, M.; Valdivia, C.; Sterner, O.; Anke, H.; Thines, E. Heptemerones A–G, seven novel diterpenoids from Coprinus heptemerus: Producing organism, fermentation, isolation and biological activities. J. Antibiot. 2005, 58, 390–396. [Google Scholar] [CrossRef] [PubMed]
- Valdivia, C.; Kettering, M.; Anke, H.; Thines, E.; Sterner, O. Diterpenoids from Coprinus heptemerus. Tetrahedron 2005, 61, 9527–9532. [Google Scholar] [CrossRef]
- Ou, Y.X.; Li, Y.Y.; Qian, X.M.; Shen, Y.M. Guanacastane-type diterpenoids from Coprinus radians. Phytochemistry 2012, 78, 190–196. [Google Scholar] [CrossRef]
- Liu, Y.Z.; Li, Y.Y.; Ou, Y.X.; Xiao, S.Y.; Lu, C.H.; Zheng, Z.H.; Shen, Y.M. Guanacastane-type diterpenoids with cytotoxic activity from Coprinus plicatilis. Bioorg. Med. Chem. Lett. 2012, 22, 5059–5062. [Google Scholar] [CrossRef]
- Liu, Y.Z.; Lu, C.H.; Shen, Y.M. Guanacastane-type diterpenoids from Coprinus plicatilis. Phytochem. Lett. 2014, 7, 161–164. [Google Scholar] [CrossRef]
- Yin, X.; Feng, T.; Li, Z.H.; Leng, Y.; Liu, J.K. Five new guanacastane-type diterpenes from cultures of the fungus Psathyrella candolleana. Nat. Prod. Bioprospect. 2014, 4, 149–155. [Google Scholar] [CrossRef]
- Feng, Y.; Ren, F.X.; Niu, S.B.; Wang, L.; Li, L.; Liu, X.Z.; Che, Y.S. Guanacastane diterpenoids from the plant endophytic fungus Cercospora sp. J. Nat. Prod. 2014, 77, 873–881. [Google Scholar] [CrossRef]
- Wu, F.B.; Li, T.X.; Yang, M.H.; Kong, L.Y. Guanacastane-type diterpenoids from the insect-associated fungus Verticillium dahliae. J. Asian Nat. Prod. Res. 2016, 18, 117–124. [Google Scholar] [CrossRef]
- Zhang, H.; Yang, M.H.; Li, Y.; Cheng, X.B.; Pei, Y.H.; Kong, L.Y. Seven new guanacastane-type diterpenoids from the fungus Verticillium dahliae. Fitoterapia 2019, 133, 219–224. [Google Scholar] [CrossRef]
- Lam, Y.T.H.; Palfner, G.; Lima, C.; Porzel, A.; Brandt, W.; Frolov, A.; Sultani, H.; Franke, K.; Wagner, C.; Merzweiler, K.; et al. Nor-guanacastepene pigments from the Chilean mushroom Cortinarius pyromyxa. Phytochemistry 2019, 165, 112048. [Google Scholar] [CrossRef] [PubMed]
- Wang, X.; Jin, X.Y.; Zhou, J.C.; Zhu, R.X.; Qiao, Y.N.; Zhang, J.Z.; Li, Y.; Zhang, C.Y.; Chen, W.; Chang, W.Q.; et al. Terpenoids from the Chinese liverwort Heteroscyphus coalitus and their anti-virulence activity against Candida albicans. Phytochemistry 2020, 174, 112324. [Google Scholar] [CrossRef]
- Ghisalberti, E.L.; Hockless, D.C.R.; Rowland, C.; White, A.H. Harziandione, a new class of diterpene from Trichoderma harzianum. J. Nat. Prod. 1992, 55, 1690–1694. [Google Scholar] [CrossRef]
- Miao, F.P.; Liang, X.R.; Yin, X.L.; Wang, G.; Ji, N.Y. Absolute configurations of unique harziane diterpenes from Trichoderma species. Org. Lett. 2012, 14, 3815–3817. [Google Scholar] [CrossRef]
- Mannina, L.; Segre, A.L.; Ritieni, A.; Fogliano, V.; Vinale, F.; Randazzo, G.; Maddau, L.; Bottalico, A. A new fungal growth inhibitor from Trichoderma viride. Tetrahedron 1997, 53, 3135–3144. [Google Scholar] [CrossRef]
- Barra, L.; Dickschat, J.S. Harzianone biosynthesis by the biocontrol fungus Trichoderma. ChemBioChem 2017, 18, 2358–2365. [Google Scholar] [CrossRef]
- Adelin, E.; Servy, C.; Martin, M.T.; Arcile, G.; Iorga, B.I.; Retailleau, P.; Bonfill, M.; Ouazzani, J. Bicyclic and tetracyclic diterpenes from a Trichoderma symbiont of Taxus baccata. Phytochemistry 2014, 97, 55–61. [Google Scholar] [CrossRef]
- Hönig, M.; Carreira, E.M. Total synthesis and structural revision of a harziane diterpenoid. Angew. Chem. Int. Ed. 2020, 59, 1192–1196. [Google Scholar] [CrossRef]
- Zhang, M.; Liu, J.M.; Zhao, J.L.; Li, N.; Chen, R.D.; Xie, K.B.; Zhang, W.J.; Feng, K.P.; Yan, Z.; Wang, N.; et al. Two new diterpenoids from the endophytic fungus Trichoderma sp. Xy24 isolated from mangrove plant Xylocarpus granatum. Chin. Chem. Lett. 2016, 27, 957–960. [Google Scholar] [CrossRef]
- Song, Y.P.; Fang, S.T.; Miao, F.P.; Yin, X.L.; Ji, N.Y. Diterpenes and sesquiterpenes from the marine algicolous fungus Trichoderma harzianum X-5. J. Nat. Prod. 2018, 81, 2553–2559. [Google Scholar] [CrossRef]
- Song, Y.P.; Liu, X.H.; Shi, Z.Z.; Miao, F.P.; Fang, S.T.; Ji, N.Y. Bisabolane, cyclonerane, and harziane derivatives from the marine-alga-endophytic fungus Trichoderma asperellum cf44-2. Phytochemistry 2018, 152, 45–52. [Google Scholar] [CrossRef] [PubMed]
- Song, Y.P.; Miao, F.P.; Liang, X.R.; Yin, X.L.; Ji, N.Y. Harziane and cadinane terpenoids from the alga-endophytic fungus Trichoderma asperellum A-YMD-9-2. Phytochem. Lett. 2019, 32, 38–41. [Google Scholar] [CrossRef]
- Zou, J.X.; Song, Y.P.; Ji, N.Y. Deoxytrichodermaerin, a harziane lactone from the marine algicolous fungus Trichoderma longibrachiatum A-WH-20-2. Nat. Prod. Res. 2021, 35, 216–221. [Google Scholar] [CrossRef]
- Zhao, D.L.; Yang, L.J.; Shi, T.; Wang, C.Y.; Shao, C.L.; Wang, C.Y. Potent phytotoxic harziane diterpenes from a soft coral-derived strain of the fungus Trichoderma harzianum XS-20090075. Sci. Rep. 2019, 9, 13345. [Google Scholar] [CrossRef]
- Shi, T.; Shao, C.L.; Liu, Y.; Zhao, D.L.; Cao, F.; Fu, X.M.; Yu, J.Y.; Wu, J.S.; Zhang, Z.K.; Wang, C.Y. Terpenoids From the coral-derived fungus Trichoderma harzianum (XS-20090075) induced by chemical epigenetic manipulation. Front. Microbiol. 2020, 11, 572. [Google Scholar] [CrossRef]
- Li, W.Y.; Liu, Y.; Lin, Y.T.; Liu, Y.C.; Guo, K.; Li, X.N.; Luo, S.H.; Li, S.H. Antibacterial harziane diterpenoids from a fungal symbiont Trichoderma atroviride isolated from Colquhounia coccinea var. mollis. Phytochemistry 2020, 170, 112198. [Google Scholar] [CrossRef] [PubMed]
- Zhang, M.; Liu, J.; Chen, R.; Zhao, J.; Xie, K.; Chen, D.; Feng, K.; Dai, J. Two furanharzianones with 4/7/5/6/5 ring system from microbial transformation of harzianone. Org. Lett. 2017, 19, 1168–1171. [Google Scholar] [CrossRef] [PubMed]
- Zhang, M.; Liu, J.; Chen, R.; Zhao, J.; Xie, K.; Chen, D.; Feng, K.; Dai, J. Microbial oxidation of harzianone by Bacillus sp. IMM-006. Tetrahedron 2017, 73, 7195–7199. [Google Scholar] [CrossRef]
- Toyomasu, T.; Kaneko, A.; Tokiwano, T.; Kanno, Y.; Kanno, Y.; Niida, R.; Miura, S.; Nishioka, T.; Ikeda, C.; Mitsuhashi, W.; et al. Biosynthetic gene-based secondary metabolite screening: A new diterpene, methyl phomopsenonate, from the fungus Phomopsis amygdali. J. Org. Chem. 2009, 74, 1541–1548. [Google Scholar] [CrossRef]
- Shinde, S.S.; Minami, A.; Chen, Z.; Tokiwano, T.; Toyomasu, T.; Kato, N.; Sassa, T.; Oikawa, H. Cyclization mechanism of phomopsene synthase: Mass spectrometry based analysis of various site-specifically labeled terpenes. J. Antibiot. 2017, 70, 632–638. [Google Scholar] [CrossRef] [PubMed]
- Lauterbach, L.; Rinkel, J.; Dickschat, J.S. Two bacterial diterpene synthases from Allokutzneria albata produce bonnadiene, phomopsene, and allokutznerene. Angew. Chem. Int. Ed. 2018, 57, 8280–8283. [Google Scholar] [CrossRef] [PubMed]
- Rinkel, J.; Steiner, S.T.; Dickschat, J.S. Diterpene biosynthesis in actinomycetes: Studies on cattleyene synthase and phomopsene synthase. Angew. Chem. Int. Ed. 2019, 58, 9230–9233. [Google Scholar] [CrossRef]
- Kavanagh, F.; Hervey, A.; Robbins, W.J. Robbins, W.J. Antibiotic substances from Basidiomycetes VIII. Pleurotus Multilus (Fr.) Sacc. and Pleurotus passeckerianus Pilat. Proc. Natl. Acad. Sci. USA 1951, 37, 570. [Google Scholar] [CrossRef]
- Hartley, A.J.; De Mattos-Shipley, K.; Collins, C.M.; Kilaru, S.; Foster, G.D.; Bailey, A.M. Investigating pleuromutilin-producing Clitopilus species and related basidiomycetes. FEMS Microbiol. Lett. 2009, 297, 24–30. [Google Scholar] [CrossRef]
- Arigoni, D. La struttura di un terpene di nuovo genere. Gazz. Chim. Ital. 1962, 92, 884–901. [Google Scholar]
- Birch, A.J.; Holzapfel, C.W.; Rickards, R.W. The structure and some aspects of the biosynthesis of pleuromutilin. Tetrahedron 1966, 22, 359–387. [Google Scholar] [CrossRef]
- Arigoni, D. Some studies in the biosynthesis of terpenes and related compounds. Pure Appl. Chem. 1968, 17, 331–348. [Google Scholar] [CrossRef]
- Hu, Y.J.; Li, L.X.; Han, J.C.; Min, L.; Li, C.C. Recent advances in the total synthesis of natural products containing eight-membered carbocycles (2009–2019). Chem. Rev. 2020, 120, 5910–5953. [Google Scholar] [CrossRef]
- Min, L.; Liu, X.; Li, C.C. Total synthesis of natural products with bridged bicyclo[m.n.1] ring systems via type II [5 + 2] cycloaddition. Acc. Chem. Res. 2020, 53, 703–718. [Google Scholar] [CrossRef] [PubMed]
- Ling, C.; Fu, L.; Gao, S.; Chu, W.; Wang, H.; Huang, Y.; Chen, X.; Yang, Y. Design, synthesis, and structure–activity relationship studies of novel thioether pleuromutilin derivatives as potent antibacterial agents. J. Med. Chem. 2014, 57, 4772–4795. [Google Scholar] [CrossRef] [PubMed]
- Wang, X.; Ling, Y.; Wang, H.; Yu, J.; Tang, J.; Zheng, H.; Zhao, X.; Wang, D.; Chen, G.; Qiu, W.; et al. Novel pleuromutilin derivatives as antibacterial agents: Synthesis, biological evaluation and molecular docking studies. Bioorg. Med. Chem. Lett. 2012, 22, 6166–6172. [Google Scholar] [CrossRef]
- Dong, Y.J.; Meng, Z.H.; Mi, Y.Q.; Zhang, C.; Cui, Z.H.; Wang, P.; Xu, Z.B. Synthesis of novel pleuromutilin derivatives. Part 1: Preliminary studies of antituberculosis activity. Bioorg. Med. Chem. Lett. 2015, 25, 1799–1803. [Google Scholar] [CrossRef] [PubMed]
- Novak, R. Are pleuromutilin antibiotics finally fit for human use? Ann. N. Y. Acad. Sci. 2011, 1241, 71–81. [Google Scholar] [CrossRef] [PubMed]
- Bailey, A.M.; Alberti, F.; Kilaru, S.; Collins, C.M.; de Mattos-Shipley, K.; Hartley, A.J.; Hayes, P.; Griffin, A.; Lazarus, C.M.; Cox, R.J.; et al. Identification and manipulation of the pleuromutilin gene cluster from Clitopilus passeckerianus for increased rapid antibiotic production. Sci. Rep. 2016, 6, 25202. [Google Scholar] [CrossRef] [PubMed]
- Alberti, F.; Khairudin, K.; Venegas, E.R.; Davies, J.A.; Hayes, P.M.; Willis, C.L.; Bailey, A.M.; Foster, G.D. Heterologous expression reveals the biosynthesis of the antibiotic pleuromutilin and generates bioactive semi-synthetic derivatives. Nat. Commun. 2017, 8, 1831. [Google Scholar] [CrossRef]
- Hauser, D.; Sigg, H.P. Isolation and decomposition of sordarin. Helv. Chim. Acta 1971, 54, 1178–1190. [Google Scholar] [CrossRef]
- Ogita, T.; Hayashi, T.; Sato, A.; Furutani, W. Antibiotic Substance Zofimarin. JPN Patent No. JPS 6240292A, 21 February 1987. [Google Scholar]
- Michael, D.; Sarah, M.; Timm, A.; Olov, S. Hypoxysordarin, a new sordarin derivative from Hypoxylon croceum. Z. Naturforsch. C 1999, 54, 474–480. [Google Scholar] [CrossRef]
- Hori, Y.; Nitta, K.; Kobayashi, M.; Takase, S.; Hino, M. Novel Sordarin Derivative as a Therapeutic Antimicrobial Agent. JPN Patent No. WO/2001/000639, 4 January 2001. [Google Scholar]
- Hanadate, T.; Tomishima, M.; Shiraishi, N.; Tanabe, D.; Morikawa, H.; Barrett, D.; Matsumoto, S.; Ohtomo, K.; Maki, K. FR290581, a novel sordarin derivative: Synthesis and antifungal activity. Bioorg. Med. Chem. Lett. 2009, 19, 1465–1468. [Google Scholar] [CrossRef]
- Büschleb, M.; Dorich, S.; Hanessian, S.; Tao, D.; Schenthal, K.B.; Overman, L.E. Synthetic strategies toward natural products containing contiguous stereogenic quaternary carbon atoms. Angew. Chem. Int. Ed. 2016, 55, 4156–4186. [Google Scholar] [CrossRef]
- Justice, M.C.; Hsu, M.J.; Tse, B.; Ku, T.; Balkovec, J.; Schmatz, D.; Nielsen, J. Elongation factor 2 as a novel target for selective inhibition of fungal protein synthesis. J. Biol. Chem. 1998, 273, 3148–3151. [Google Scholar] [CrossRef] [PubMed]
- Domiínguez, J.M.; Martiín, J.J. Identification of elongation factor 2 as the essential protein targeted by sordarins in Candida albicans. Antimicrob. Agents Chemother. 1998, 42, 2279–2283. [Google Scholar] [CrossRef]
- Domínguez, J.M.; Kelly, V.A.; Kinsman, O.S.; Marriott, M.S.; Gómez de las Heras, F.; Martín, J.J. Sordarins: A new class of antifungals with selective inhibition of the protein synthesis elongation cycle in yeasts. Antimicrob. Agents Chemother. 1998, 42, 2274–2278. [Google Scholar] [CrossRef] [PubMed]
- Chang, Y.C.; Lu, C.K.; Chiang, Y.R.; Wang, G.J.; Ju, Y.M.; Kuo, Y.H.; Lee, T.H. Diterpene glycosides and polyketides from Xylotumulus gibbisporus. J. Nat. Prod. 2014, 77, 751–757. [Google Scholar] [CrossRef]
- Kupka, J.; Anke, T.; Oberwinkler, F.; Schramm, G.; Steglich, W. Antibiotics from basidiomycetes. VII. Crinipellin, a new antibiotic from the basidiomycetous fungus Crinipellis stipitaria (Fr.) Pat. J. Antibiot. 1979, 32, 130–135. [Google Scholar] [CrossRef]
- Anke, T.; Heim, J.; Knoch, F.; Mocek, U.; Steffan, B.; Steglich, W. Crinipellins, the first natural products with a tetraquinane skeleton. Angew. Chem. Int. Ed. 1985, 24, 709–711. [Google Scholar] [CrossRef]
- Piers, E.; Renaud, J. Total synthesis of the tetraquinane diterpenoid (±)-crinipellin B. J. Org. Chem. 1993, 58, 11–13. [Google Scholar] [CrossRef]
- Piers, E. Tetraquinane diterpenoids: Total synthesis of (±)-crinipellin B. Synthesis 1998, 1998, 590–602. [Google Scholar] [CrossRef]
- Kang, T.; Song, S.B.; Kim, W.Y.; Kim, B.G.; Lee, H.Y. Total synthesis of (−)-crinipellin A. J. Am. Chem. Soc. 2014, 136, 10274–10276. [Google Scholar] [CrossRef] [PubMed]
- Li, Y.Y.; Shen, Y.M. Four novel diterpenoids from Crinipellis sp. 113. Helv. Chim. Acta 2010, 93, 2151–2157. [Google Scholar] [CrossRef]
- Rohr, M.; Oleinikov, K.; Jung, M.; Sandjo, L.P.; Opatz, T.; Erkel, G. Anti-inflammatory tetraquinane diterpenoids from a Crinipellis species. Biorg. Med. Chem. 2017, 25, 514–522. [Google Scholar] [CrossRef] [PubMed]
- Han, J.W.; Oh, M.; Lee, Y.J.; Choi, J.; Choi, G.J.; Kim, H. Crinipellins A and I, two diterpenoids from the basidiomycete fungus Crinipellis rhizomaticola, as potential natural fungicides. Molecules 2018, 23, 2377. [Google Scholar] [CrossRef] [PubMed]
- Niu, S.; Fan, Z.W.; Xie, C.L.; Liu, Q.; Luo, Z.H.; Liu, G.; Yang, X.W. Spirograterpene A, a tetracyclic spiro-diterpene with a fused 5/5/5/5 ring system from the deep-sea-derived fungus Penicillium granulatum MCCC 3A00475. J. Nat. Prod. 2017, 80, 2174–2177. [Google Scholar] [CrossRef] [PubMed]
- Rabe, P.; Rinkel, J.; Dolja, E.; Schmitz, T.; Nubbemeyer, B.; Luu, T.H.; Dickschat, J.S. Mechanistic investigations of two bacterial diterpene cyclases: Spiroviolene synthase and tsukubadiene synthase. Angew. Chem. Int. Ed. 2017, 56, 2776–2779. [Google Scholar] [CrossRef]
- Liu, Y.P.; Dai, Q.; Wang, W.X.; He, J.; Li, Z.H.; Feng, T.; Liu, J.K. Psathyrins: Antibacterial diterpenoids from Psathyrella candolleana. J. Nat. Prod. 2020, 83, 1725–1729. [Google Scholar] [CrossRef]
- Wang, Q.X.; Qi, Q.Y.; Wang, K.; Li, L.; Bao, L.; Han, J.J.; Liu, M.M.; Zhang, L.X.; Cai, L.; Liu, H.W. Coicenals A–D, four new diterpenoids with new chemical skeletons from the plant pathogenic fungus Bipolaris coicis. Org. Lett. 2013, 15, 3982–3985. [Google Scholar] [CrossRef]
- Wang, S.J.; Li, Y.X.; Bao, L.; Han, J.J.; Yang, X.L.; Li, H.R.; Wang, Y.Q.; Li, S.J.; Liu, H.W. Eryngiolide A, a cytotoxic macrocyclic diterpenoid with an unusual cyclododecane core skeleton produced by the edible mushroom Pleurotus eryngii. Org. Lett. 2012, 14, 3672–3675. [Google Scholar] [CrossRef]
- Sun, P.X.; Zheng, C.J.; Li, W.C.; Jin, G.L.; Huang, F.; Qin, L.P. Trichodermanin A, a novel diterpenoid from endophytic fungus culture. J. Nat. Med. 2011, 65, 381–384. [Google Scholar] [CrossRef]
- Omura, S.; Shiomi, K.; Masuma, R.; Ui, H.; Nagai, T.; Yamada, H. Wickerol and Process for Production Thereof. JPN Patent No. WO 2009116604, 24 September 2009. [Google Scholar]
- Yamamoto, T.; Izumi, N.; Ui, H.; Sueki, A.; Masuma, R.; Nonaka, K.; Hirose, T.; Sunazuka, T.; Nagai, T.; Yamada, H.; et al. Wickerols A and B: Novel anti-influenza virus diterpenes produced by Trichoderma atroviride FKI-3849. Tetrahedron 2012, 68, 9267–9271. [Google Scholar] [CrossRef]
- Tokiwano, T.; Fukushi, E.; Endo, T.; Oikawa, H. Biosynthesis of phomactins: Common intermediate phomactatriene and taxadiene. Chem. Commun. 2004, 40, 1324–1325. [Google Scholar] [CrossRef]
- Yamada, T.; Suzue, M.; Arai, T.; Kikuchi, T.; Tanaka, R. Trichodermanins C–E, new diterpenes with a fused 6-5-6-6 ring system produced by a marine sponge-derived fungus. Mar. Drugs 2017, 15, 169. [Google Scholar] [CrossRef] [PubMed]
- Yamada, T.; Fujii, A.; Kikuchi, T. New diterpenes with a fused 6-5-6-6 ring system isolated from the marine sponge-derived fungus Trichoderma harzianum. Mar. Drugs 2019, 17, 480. [Google Scholar] [CrossRef] [PubMed]




















Publisher’s Note: MDPI stays neutral with regard to jurisdictional claims in published maps and institutional affiliations. |
© 2022 by the authors. Licensee MDPI, Basel, Switzerland. This article is an open access article distributed under the terms and conditions of the Creative Commons Attribution (CC BY) license (https://creativecommons.org/licenses/by/4.0/).
Share and Cite
Zhang, F.-L.; Feng, T. Diterpenes Specially Produced by Fungi: Structures, Biological Activities, and Biosynthesis (2010–2020). J. Fungi 2022, 8, 244. https://doi.org/10.3390/jof8030244
Zhang F-L, Feng T. Diterpenes Specially Produced by Fungi: Structures, Biological Activities, and Biosynthesis (2010–2020). Journal of Fungi. 2022; 8(3):244. https://doi.org/10.3390/jof8030244
Chicago/Turabian StyleZhang, Fa-Lei, and Tao Feng. 2022. "Diterpenes Specially Produced by Fungi: Structures, Biological Activities, and Biosynthesis (2010–2020)" Journal of Fungi 8, no. 3: 244. https://doi.org/10.3390/jof8030244
APA StyleZhang, F.-L., & Feng, T. (2022). Diterpenes Specially Produced by Fungi: Structures, Biological Activities, and Biosynthesis (2010–2020). Journal of Fungi, 8(3), 244. https://doi.org/10.3390/jof8030244

