Soil Redox Controls CO2, CH4 and N2O Efflux from White-Rot Fungi in Temperate Forest Ecosystems
Abstract
1. Introduction
2. Materials and Methods
2.1. Study Sites and Sampling
2.2. Analytical Procedure
2.3. Soil Sterilization
2.4. Culture Conditions and Fungal Identification
2.5. Inoculum
2.6. Microcosm Experiment and Gas Sampling
2.7. Fungal and Bacterial Contributions to Greenhouse Gas Emissions
2.8. Fungal Abundance
2.9. Measurement of Potential Denitrification
2.10. Statistical Analysis
3. Results
3.1. Soil Properties
3.2. Contribution of White-Rot Fungi to Greenhouse Gas Emissions
3.3. Soil Redox and Fungal Abundance
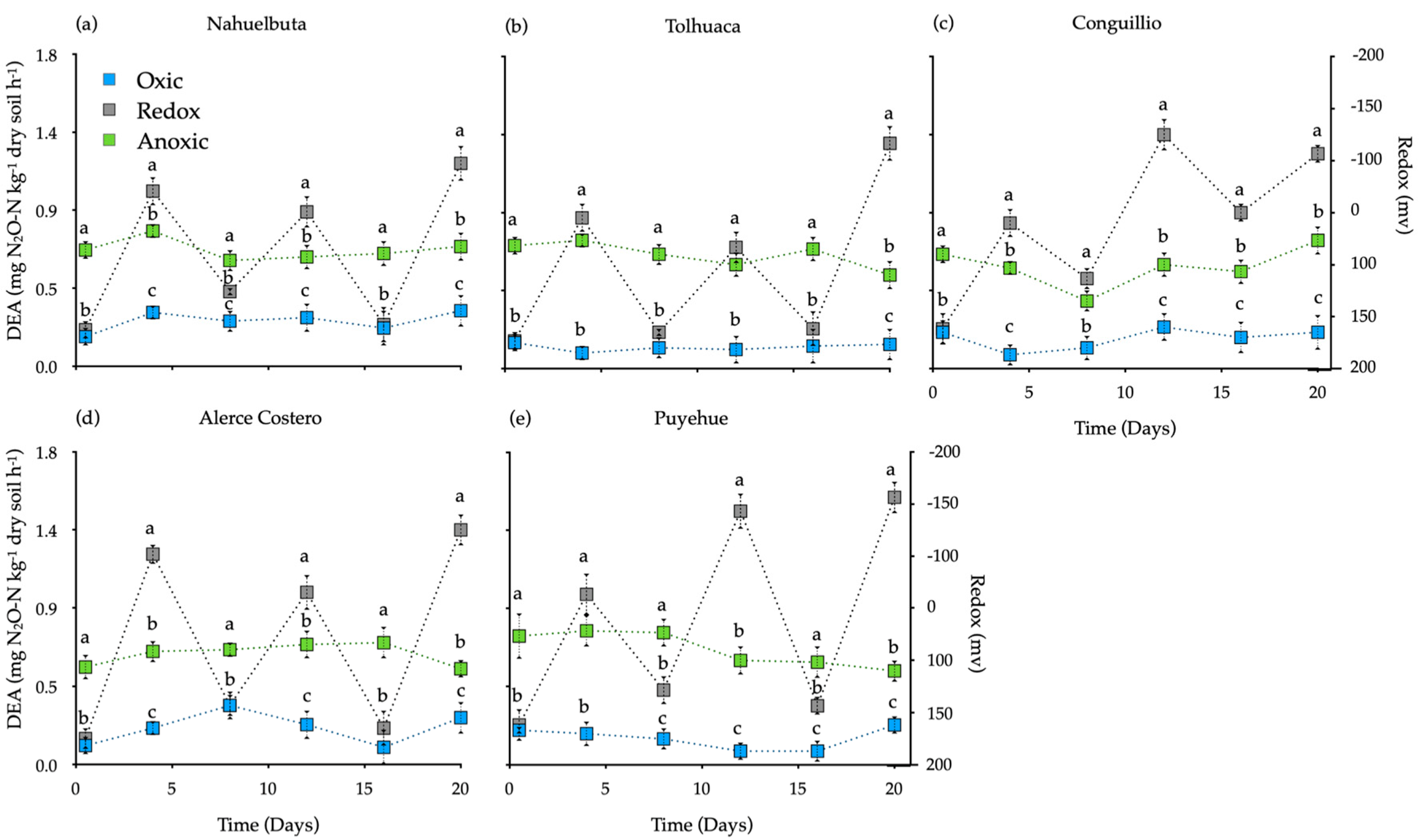
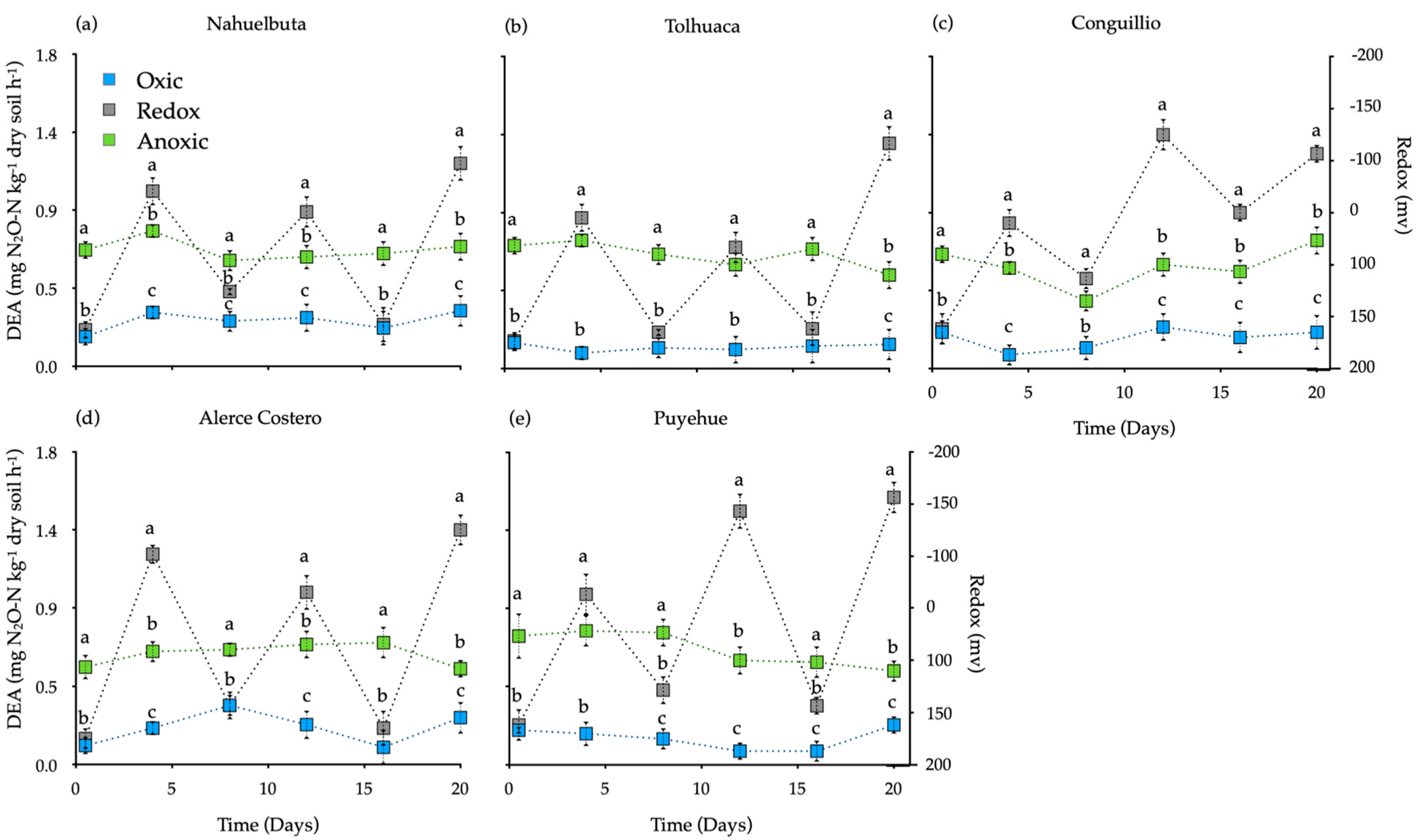
3.4. Soil Denitrification Enzyme Activity
4. Discussion
5. Conclusions
Supplementary Materials
Author Contributions
Funding
Institutional Review Board Statement
Informed Consent Statement
Acknowledgments
Conflicts of Interest
References
- Hu:, H.-W.; Chen, D.; He, J.-Z. Microbial regulation of terrestrial nitrous oxide formation: Understanding the biological pathways for prediction of emission rates. FEMS Microbiol. Rev. 2015, 39, 729–749. [Google Scholar] [CrossRef]
- Liu, Z.; Li, D.; Zhang, J.; Saleem, M.; Zhang, Y.; Ma, R.; He, Y.; Yang, J.; Xiang, H.; Wei, H. Effect of simulated acid rain on soil CO2, CH4 and N2O emissions and microbial communities in an agricultural soil. Geoderma 2020, 366, 114222. [Google Scholar] [CrossRef]
- Cheng, Y.; Zhang, J.B.; Wang, J.; Cai, Z.C.; Wang, S.Q. Soil pH is a good predictor of the dominating N2O production processes under aerobic conditions. J. Plant Nutr. Soil Sci. 2015, 178, 370–373. [Google Scholar] [CrossRef]
- Behrendt, T.; Catão, E.C.; Bunk, R.; Yi, Z.; Schweer, E.; Kolb, S.; Kesselmeier, J.; Trumbore, S. Microbial community responses determine how soil–atmosphere exchange of carbonyl sulfide, carbon monoxide, and nitric oxide responds to soil moisture. Soil 2019, 5, 121–135. [Google Scholar] [CrossRef]
- Li, Y.; Tang, K.; Zhang, L.; Zhao, Z.; Xie, X.; Chen, C.-T.A.; Wang, D.; Jiao, N.; Zhang, Y. Coupled carbon, sulfur, and nitrogen cycles mediated by microorganisms in the water column of a shallow-water hydrothermal ecosystem. Front. Microbiol. 2018, 9, 2718. [Google Scholar] [CrossRef]
- Samad, M.S.; Bakken, L.R.; Nadeem, S.; Clough, T.J.; de Klein, C.A.; Richards, K.G.; Lanigan, G.J.; Morales, S.E. High-resolution denitrification kinetics in pasture soils link N2O emissions to pH, and denitrification to C mineralization. PLoS ONE 2016, 11, e0151713. [Google Scholar] [CrossRef]
- Wrage-Mönnig, N.; Horn, M.A.; Well, R.; Müller, C.; Velthof, G.; Oenema, O. The role of nitrifier denitrification in the production of nitrous oxide revisited. Soil Biol. Biochem. 2018, 123, A3–A16. [Google Scholar] [CrossRef]
- Lenhart, K.; Bunge, M.; Ratering, S.; Neu, T.R.; Schüttmann, I.; Greule, M.; Kammann, C.; Schnell, S.; Müller, C.; Zorn, H. Evidence for methane production by saprotrophic fungi. Nat. Commun. 2012, 3, 1–8. [Google Scholar] [CrossRef]
- Mukhin, V.; Voronin, P.Y. Methane emission during wood fungal decomposition. Dokl. Biol. Sci. 2007, 413, 159. [Google Scholar] [CrossRef]
- Datta, R.; Kelkar, A.; Baraniya, D.; Molaei, A.; Moulick, A.; Meena, R.S.; Formanek, P. Enzymatic degradation of lignin in soil: A review. Sustainability 2017, 9, 1163. [Google Scholar] [CrossRef]
- Reid, I.D.; Seifert, K.A. Effect of an atmosphere of oxygen on growth, respiration, and lignin degradation by white-rot fungi. Can. J. Bot. 1982, 60, 252–260. [Google Scholar] [CrossRef]
- Mattila, H.K.; Mäkinen, M.; Lundell, T. Hypoxia is regulating enzymatic wood decomposition and intracellular carbohydrate metabolism in filamentous white rot fungus. Biotechnol. Biofuels 2020, 13, 1–17. [Google Scholar] [CrossRef] [PubMed]
- Merino, C.; Kuzyakov, Y.; Godoy, K.; Cornejo, P.; Matus, F. Synergy effect of peroxidase enzymes and Fenton reactions greatly increase the anaerobic oxidation of soil organic matter. Sci. Rep. 2020, 10, 1–12. [Google Scholar] [CrossRef] [PubMed]
- Ding, N.; Liu, H.; Sun, Y.; Tang, X.; Lei, T.; Xu, F.; Zeng, X.; Lin, L. Lignin degradation in cooking with active oxygen and solid Alkali process: A mechanism study. J. Clean. Prod. 2021, 278, 123984. [Google Scholar] [CrossRef]
- Chen, D.; Yang, K.; Wei, L.; Wang, H. Microbial community and metabolism activity in a bioelectrochemical denitrification system under long-term presence of p-nitrophenol. Bioresour. Technol. 2016, 218, 189–195. [Google Scholar] [CrossRef]
- Vergara-Fernández, A.; Morales, P.; Scott, F.; Guerrero, S.; Yañez, L.; Mau, S.; Aroca, G. Methane biodegradation and enhanced methane solubilization by the filamentous fungi Fusarium solani. Chemosphere 2019, 226, 24–35. [Google Scholar] [CrossRef]
- Chen, H.; Mothapo, N.V.; Shi, W. The significant contribution of fungi to soil N2O production across diverse ecosystems. Appl. Soil Ecol. 2014, 73, 70–77. [Google Scholar] [CrossRef]
- Wei, W.; Isobe, K.; Shiratori, Y.; Nishizawa, T.; Ohte, N.; Otsuka, S.; Senoo, K. N2O emission from cropland field soil through fungal denitrification after surface applications of organic fertilizer. Soil Biol. Biochem. 2014, 69, 157–167. [Google Scholar] [CrossRef]
- Ma, S.; Shan, J.; Yan, X. N2O emissions dominated by fungi in an intensively managed vegetable field converted from wheat–rice rotation. Appl. Soil Ecol. 2017, 116, 23–29. [Google Scholar] [CrossRef]
- Blagodatskaya, E.V.; Anderson, T.-H. Interactive effects of pH and substrate quality on the fungal-to-bacterial ratio and qCO2 of microbial communities in forest soils. Soil Biol. Biochem. 1998, 30, 1269–1274. [Google Scholar] [CrossRef]
- Rohe, L.; Well, R.; Lewicka-Szczebak, D. Use of oxygen isotopes to differentiate between nitrous oxide produced by fungi or bacteria during denitrification. Rapid Commun. Mass Spectrom. 2017, 31, 1297–1312. [Google Scholar] [CrossRef]
- Keuschnig, C.; Gorfer, M.; Li, G.; Mania, D.; Frostegård, Å.; Bakken, L.; Larose, C. NO and N2O transformations of diverse fungi in hypoxia: Evidence for anaerobic respiration only in Fusarium strains. Environ. Microbiol. 2020, 22, 2182–2195. [Google Scholar] [CrossRef]
- Aldossari, N.; Ishii, S. Fungal Denitrification Revisited–Recent Advancements and Future Opportunities. Soil Biol. Biochem. 2021, 157, 108250. [Google Scholar] [CrossRef]
- Higgins, S.A.; Welsh, A.; Orellana, L.H.; Konstantinidis, K.T.; Chee-Sanford, J.C.; Sanford, R.A.; Schadt, C.W.; Löffler, F.E. Detection and Diversity of Fungal Nitric Oxide Reductase Genes (p450nor) in Agricultural Soils. Appl. Environ. Microbiol. 2016, 82, 2919–2928. [Google Scholar] [CrossRef]
- Mothapo, N.; Chen, H.; Cubeta, M.A.; Grossman, J.M.; Fuller, F.; Shi, W. Phylogenetic, taxonomic and functional diversity of fungal denitrifiers and associated N2O production efficacy. Soil Biol. Biochem. 2015, 83, 160–175. [Google Scholar] [CrossRef]
- Maeda, K.; Spor, A.; Edel-Hermann, V.; Heraud, C.; Breuil, M.C.; Bizouard, F.; Toyoda, S.; Yoshida, N.; Steinberg, C.; Philippot, L. N2O production, a widespread trait in fungi. Sci. Rep. 2015, 5, 9697. [Google Scholar] [CrossRef]
- Zhang, L.; Takaya, N.; Kitazume, T.; Kondo, T.; Shoun, H. Purification and cDNA cloning of nitric oxide reductase cytochrome P450nor (CYP55A4) from Trichosporon cutaneum. Eur. J. Biochem. 2001, 268, 3198–3204. [Google Scholar] [CrossRef]
- Higgins, S.A.; Schadt, C.W.; Matheny, P.B.; Löffler, F.E. Phylogenomics reveal the dynamic evolution of fungal nitric oxide reductases and their relationship to secondary metabolism. Genome Biol. Evol. 2018, 10, 2474–2489. [Google Scholar] [CrossRef]
- Qin, X.; Li, Y.; Goldberg, S.; Wan, Y.; Fan, M.; Liao, Y.; Wang, B.; Gao, Q.; Li, Y.e. Assessment of indirect N2O emission factors from agricultural river networks based on long-term study at high temporal resolution. Environ. Sci. Technol. 2019, 53, 10781–10791. [Google Scholar] [CrossRef]
- Shan, J.; Yang, P.; Shang, X.; Rahman, M.M.; Yan, X. Anaerobic ammonium oxidation and denitrification in a paddy soil as affected by temperature, pH, organic carbon, and substrates. Biol. Fertil. Soils 2018, 54, 341–348. [Google Scholar] [CrossRef]
- Shoun, H.; Tanimoto, T. Denitrification by the fungus Fusarium oxysporum and involvement of cytochrome P-450 in the respiratory nitrite reduction. J. Biol. Chem. 1991, 266, 11078–11082. [Google Scholar] [CrossRef]
- Zhou, Z.; Takaya, N.; Sakairi, M.A.C.; Shoun, H. Oxygen requirement for denitrification by the fungus Fusarium oxysporum. Arch. Microbiol. 2001, 175, 19–25. [Google Scholar] [CrossRef]
- Shoun, H.; Fushinobu, S.; Jiang, L.; Kim, S.-W.; Wakagi, T. Fungal denitrification and nitric oxide reductase cytochrome P450nor. Philos. Trans. R. Soc. B Biol. Sci. 2012, 367, 1186–1194. [Google Scholar] [CrossRef]
- Phillips, R.L.; Song, B.; McMillan, A.M.; Grelet, G.; Weir, B.S.; Palmada, T.; Tobias, C. Chemical formation of hybrid di-nitrogen calls fungal codenitrification into question. Sci. Rep. 2016, 6, 1–8. [Google Scholar] [CrossRef]
- Soil Survey Staff. Keys to Soil Taxonomy, 12th ed.; NRCS-USDA: Washington, DC, USA, 2014. [Google Scholar]
- Bernhard, N.; Moskwa, L.-M.; Schmidt, K.; Oeser, R.A.; Aburto, F.; Bader, M.Y.; Baumann, K.; von Blanckenburg, F.; Boy, J.; van den Brink, L. Pedogenic and microbial interrelations to regional climate and local topography: New insights from a climate gradient (arid to humid) along the Coastal Cordillera of Chile. Catena 2018, 170, 335–355. [Google Scholar] [CrossRef]
- Pollmann, W. Caracterización florística y posición sintaxonómica de los bosques caducifolios de Nothofagus alpina (Poepp. et Endl.) Oerst. en el centro-sur de Chile. Phytocoenologia 2001, 31, 353–400. [Google Scholar] [CrossRef]
- Lillo, A.; Ramírez, H.; Reyes, F.; Ojeda, N.; Alvear, M. Actividad biológica del suelo de bosque templado en un transecto altitudinal, Parque Nacional Conguillío (38° S), Chile. Bosque 2011, 32, 46–56. [Google Scholar] [CrossRef]
- Luzio, W.; Sadzawka, A.; Besoain, E.; Lara, P. Influence of volcanic materials on red clay soil genesis. Revista Chilena de Ciencia del Suelo y Nutrición Vegetal 2003, 3, 37–52. [Google Scholar]
- Neculman, R.; Rumpel, C.; Matus, F.; Godoy, R.; Steffens, M.; de la Luz Mora, M. Organic matter stabilization in two Andisols of contrasting age under temperate rain forest. Biol. Fertil. Soils 2013, 49, 681–689. [Google Scholar] [CrossRef]
- Sadzawka, A.; Carrasco, M.; Grez, R.; Mora, M.; Flores, H.; Neaman, A. Métodos de Análisis de Suelos Recomendados para los Suelos de Chile. Revision 2006; Instituto de Investigaciones Agropecuarias: Santiago, Chile, 2006. [Google Scholar]
- Van Reeuwijk, L. Procedures for Soil Analysis; ISRIC: Wageningen, The Netherlands, 2002. [Google Scholar]
- Trevors, J. Sterilization and inhibition of microbial activity in soil. J. Microbiol. Methods 1996, 26, 53–59. [Google Scholar] [CrossRef]
- Berns, A.; Philipp, H.; Narres, H.D.; Burauel, P.; Vereecken, H.; Tappe, W. Effect of gamma-sterilization and autoclaving on soil organic matter structure as studied by solid state NMR, UV and fluorescence spectroscopy. Eur. J. Soil Sci. 2008, 59, 540–550. [Google Scholar] [CrossRef]
- Bank, T.L.; Kukkadapu, R.K.; Madden, A.S.; Ginder-Vogel, M.; Baldwin, M.; Jardine, P. Effects of gamma-sterilization on the physico-chemical properties of natural sediments. Chem. Geol. 2008, 251, 1–7. [Google Scholar] [CrossRef]
- Blankinship, J.; Becerra, C.; Schaeffer, S.; Schimel, J. Separating cellular metabolism from exoenzyme activity in soil organic matter decomposition. Soil Biol. Biochem. 2014, 71, 68–75. [Google Scholar] [CrossRef]
- White, T.J.; Bruns, T.; Lee, S.; Taylor, J. Amplification and direct sequencing of fungal ribosomal RNA genes for phylogenetics. PCR Protoc. A Guide Methods Appl. 1990, 18, 315–322. [Google Scholar]
- Rubilar, O.; Tortella, G.; Cea, M.; Acevedo, F.; Bustamante, M.; Gianfreda, L.; Diez, M. Bioremediation of a Chilean Andisol contaminated with pentachlorophenol (PCP) by solid substrate cultures of white-rot fungi. Biodegradation 2011, 22, 31–41. [Google Scholar] [CrossRef]
- Pett-Ridge, J.; Silver, W.L.; Firestone, M.K. Redox fluctuations frame microbial community impacts on N-cycling rates in a humid tropical forest soil. Biogeochemistry 2006, 81, 95–110. [Google Scholar] [CrossRef]
- Anderson, J.; Domsch, K.H. Quantification of bacterial and fungal contributions to soil respiration. Archiv für Mikrobiologie 1973, 93, 113–127. [Google Scholar] [CrossRef]
- Rousk, J.; Demoling, L.A.; Bahr, A.; Bååth, E. Examining the fungal and bacterial niche overlap using selective inhibitors in soil. FEMS Microbiol. Ecol. 2008, 63, 350–358. [Google Scholar] [CrossRef] [PubMed]
- Ladan, S.; Jacinthe, P.-A. Evaluation of antibacterial and antifungal compounds for selective inhibition of denitrification in soils. Environ. Sci. Process. Impacts 2016, 18, 1519–1529. [Google Scholar] [CrossRef] [PubMed]
- Mille-Lindblom, C.; Wachenfeldt, E.; Tranvik, L. Ergosterol as a measure of living fungal biomass: Persistence in environmental samples after fungal death. J. Microbiol. Methods 2004, 59, 253–262. [Google Scholar] [CrossRef]
- Djajakirana, G.; Joergensen, R.; Meyer, B. Ergosterol and microbial biomass relationship in soil. Biol. Fertil. Soils 1996, 22, 299–304. [Google Scholar] [CrossRef]
- Bhople, P.; Djukic, I.; Keiblinger, K.; Zehetner, F.; Liu, D.; Bierbaumer, M.; Zechmeister-Boltenstern, S.; Joergensen, R.G.; Murugan, R. Variations in soil and microbial biomass C, N and fungal biomass ergosterol along elevation and depth gradients in Alpine ecosystems. Geoderma 2019, 345, 93–103. [Google Scholar] [CrossRef]
- Barnard, R.; Leadley, P.W.; Hungate, B.A. Global change, nitrification, and denitrification: A review. Glob. Biogeochem. Cycles 2005, 19, GB1007. [Google Scholar] [CrossRef]
- Bengtsson, G.; Bergwall, C. Fate of 15N labelled nitrate and ammonium in a fertilized forest soil. Soil Biol. Biochem. 2000, 32, 545–557. [Google Scholar] [CrossRef]
- Matus, F.; Rumpel, C.; Neculman, R.; Panichini, M.; Mora, M. Soil carbon storage and stabilisation in andic soils: A review. Catena 2014, 120, 102–110. [Google Scholar] [CrossRef]
- Bouwman, A. Nitrogen oxides and tropical agriculture. Nature 1998, 392, 866–867. [Google Scholar] [CrossRef]
- Davidson, E.A. Fluxes of nitrous oxide and nitric oxide from terrestrial ecosystems. Microb. Prod. Consum. Greenh. Gases Methane Nitrogen Oxides Halomethanes 1991, 1, 219–235. [Google Scholar]
- Cavigelli, M.; Robertson, G. Role of denitrifier diversity in rates of nitrous oxide consumption in a terrestrial ecosystem. Soil Biol. Biochem. 2001, 33, 297–310. [Google Scholar] [CrossRef]
- Pérez, T.; Trumbore, S.E.; Tyler, S.; Davidson, E.A.; Keller, M.; De Camargo, P. Isotopic variability of N2O emissions from tropical forest soils. Glob. Biogeochem. Cycles 2000, 14, 525–535. [Google Scholar] [CrossRef]
- Corre, M.D.; Sueta, J.P.; Veldkamp, E. Nitrogen-oxide emissions from tropical forest soils exposed to elevated nitrogen input strongly interact with rainfall quantity and seasonality. Biogeochemistry 2014, 118, 103–120. [Google Scholar] [CrossRef]
- Takaya, N.; Catalan-Sakairi, M.A.B.; Sakaguchi, Y.; Kato, I.; Zhou, Z.; Shoun, H. Aerobic denitrifying bacteria that produce low levels of nitrous oxide. Appl. Environ. Microbiol. 2003, 69, 3152–3157. [Google Scholar] [CrossRef] [PubMed]
- Laughlin, R.; Stevens, R.; Müller, C.; Watson, C. Evidence that fungi can oxidize NH4+ to NO3− in a grassland soil. Eur. J. Soil Sci. 2008, 59, 285–291. [Google Scholar] [CrossRef]
- Takasaki, K.; Shoun, H.; Nakamura, A.; Hoshino, T.; Takaya, N. Unusual transcription regulation of the niaD gene under anaerobic conditions supporting fungal ammonia fermentation. Biosci. Biotechnol. Biochem. 2004, 68, 978–980. [Google Scholar] [CrossRef] [PubMed][Green Version]
- Geng, H.; Pan, B.; Huang, B.; Cao, B.; Gao, H. The spatial distribution of precipitation and topography in the Qilian Shan Mountains, northeastern Tibetan Plateau. Geomorphology 2017, 297, 43–54. [Google Scholar] [CrossRef]
- Wheeler, K.A.; Hurdman, B.F.; Pitt, J. Influence of pH on the growth of some toxigenic species of Aspergillus, Penicillium and Fusarium. Int. J. Food Microbiol. 1991, 12, 141–149. [Google Scholar] [CrossRef]
- Frostegård, Å.; Bååth, E.; Tunlio, A. Shifts in the structure of soil microbial communities in limed forests as revealed by phospholipid fatty acid analysis. Soil Biol. Biochem. 1993, 25, 723–730. [Google Scholar] [CrossRef]
- Rousk, J.; Bååth, E.; Brookes, P.C.; Lauber, C.L.; Lozupone, C.; Caporaso, J.G.; Knight, R.; Fierer, N. Soil bacterial and fungal communities across a pH gradient in an arable soil. The ISME J. 2010, 4, 1340–1351. [Google Scholar] [CrossRef]
- Fierer, N.; Jackson, R.B. The diversity and biogeography of soil bacterial communities. Proc. Natl. Acad. Sci. 2006, 103, 626–631. [Google Scholar] [CrossRef]
- Rousk, J.; Brookes, P.C.; Bååth, E. Contrasting soil pH effects on fungal and bacterial growth suggest functional redundancy in carbon mineralization. Appl. Environ. Microbiol. 2009, 75, 1589–1596. [Google Scholar] [CrossRef] [PubMed]
- Bååth, E.; Anderson, T.-H. Comparison of soil fungal/bacterial ratios in a pH gradient using physiological and PLFA-based techniques. Soil Biol. Biochem. 2003, 35, 955–963. [Google Scholar] [CrossRef]
- Khalil, M.; Richards, K. Denitrification enzyme activity and potential of subsoils under grazed grasslands assayed by membrane inlet mass spectrometer. Soil Biol. Biochem. 2011, 43, 1787–1797. [Google Scholar] [CrossRef]
- Marusenko, Y.; Huber, D.P.; Hall, S.J. Fungi mediate nitrous oxide production but not ammonia oxidation in aridland soils of the southwestern US. Soil Biol. Biochem. 2013, 63, 24–36. [Google Scholar] [CrossRef]
- Seo, D.C.; DeLaune, R. Fungal and bacterial mediated denitrification in wetlands: Influence of sediment redox condition. Water Res. 2010, 44, 2441–2450. [Google Scholar] [CrossRef]





| Analysis | Units | Nahuelbuta | Tolhuaca | Conguíllio | Alerce Costero | Puyehue |
|---|---|---|---|---|---|---|
| Coordinates | 37°47′ S–72°59′ W | 38°12′ S–71°48′ W | 38°40′ S–71°39′ W | 40°12′ S–73°26′ W | 40°47′ S–72°12′ W | |
| Parent materilas | Granitic | Basaltic-Andesitic | Basaltic-Andesitic | Metamorphic, mica-schits | Basaltic-Andesitic-scoria | |
| Soil Order 1 | Inceptisol | Andisol | Andisol | Ultisol | Andisol | |
| MAT 2 | °C | 13.3 | 8.6 | 10.5 | 9.5 | 9.2 |
| MAP 3 | mm a−1 | 1491 | 3173 | 2500 | 4000 | 5000 |
| Elevation | m a.s.l. | 1000 | 2.806 | 1400 | 1048 | 800 |
| Vegetation 4 | AA, NP | AA, ND, AP | AA, ND | DW, LP; NN, NP, PN, SC | NB | |
| SOC 5 | % | 10.4 ± 0.02 | 9.2 ± 0.4 | 5.9 ± 0.2 | 9.7 ± 0.2 | 11.4 ± 0.3 |
| N total | % | 0.47 ± 0.01 | 0.3 ± 0.02 | 0.37 ± 0.01 | 0.4 ± 0.00 | 0.6 ± 0.03 |
| C:N ratio | Unitless | 24.3 | 23 | 15.9 | 23.8 | 19.1 |
| pH wáter | Unitless | 3.6 ± 0.2 | 5.5 ± 0.2 | 5.8 ± 0.3 | 4.5 ± 0.2 | 5.1 ± 0.1 |
| NO3− | mg kg−1 | 2.0 ± 0.2 | 2.8 ± 0.3 | 1.8 ± 0.2 | 2.6 ± 0.4 | 3.1 ± 0.1 |
| NH4+ | mg kg−1 | 2.2 ± 0.1 | 3.3 ± 0.1 | 2.6 ± 0.4 | 3.1 ± 0.2 | 4.2 ± 0.2 |
| Alp 6 | g kg−1 | 0.7 ± 0.1 | 3.3 ± 0.5 | 1.8 ± 0.9 | 5.7 ± 0.1 | 11.2 ± 0.2 |
| Fep 6 | g kg−1 | 7.0 ± 0.2 | 3.5 ± 0.7 | 3.1 ± 0.09 | 9.0± 0.4 | 7.8 ± 0.3 |
| Alo 7 | g kg−1 | 7 ± 0.02 | 9.0 ± 1.5 | 7.5 ± 1.5 | 5.7 ± 0.02 | 11.0 ± 1.5 |
| Feo 7 | g kg−1 | 6.1 ± 0.2 | 8.1 ± 0.3 | 6.8 ± 0.2 | 2.3 ± 0.3 | 14.0 ± 0.1 |
| Sio 7 | g kg−1 | 2.2 ± 0.4 | 2.8 ± 0.2 | 1.2 ± 0.1 | 1.4 ± 0.1 | 3.1 ± 0.1 |
| Al saturation | % | 80 | 61.2 | 94.1 | 93.5 | 22.4 |
| Clay type 8 | K | Allophane | Allophane | Q, I, K | Allophane | |
| Texture 9 | L | SL | SL | CL | SCL |
Publisher’s Note: MDPI stays neutral with regard to jurisdictional claims in published maps and institutional affiliations. |
© 2021 by the authors. Licensee MDPI, Basel, Switzerland. This article is an open access article distributed under the terms and conditions of the Creative Commons Attribution (CC BY) license (https://creativecommons.org/licenses/by/4.0/).
Share and Cite
Merino, C.; Jofré, I.; Matus, F. Soil Redox Controls CO2, CH4 and N2O Efflux from White-Rot Fungi in Temperate Forest Ecosystems. J. Fungi 2021, 7, 621. https://doi.org/10.3390/jof7080621
Merino C, Jofré I, Matus F. Soil Redox Controls CO2, CH4 and N2O Efflux from White-Rot Fungi in Temperate Forest Ecosystems. Journal of Fungi. 2021; 7(8):621. https://doi.org/10.3390/jof7080621
Chicago/Turabian StyleMerino, Carolina, Ignacio Jofré, and Francisco Matus. 2021. "Soil Redox Controls CO2, CH4 and N2O Efflux from White-Rot Fungi in Temperate Forest Ecosystems" Journal of Fungi 7, no. 8: 621. https://doi.org/10.3390/jof7080621
APA StyleMerino, C., Jofré, I., & Matus, F. (2021). Soil Redox Controls CO2, CH4 and N2O Efflux from White-Rot Fungi in Temperate Forest Ecosystems. Journal of Fungi, 7(8), 621. https://doi.org/10.3390/jof7080621

