Oral Administration of Armillaria mellea Mycelia Promotes Non-Rapid Eye Movement and Rapid Eye Movement Sleep in Rats
Abstract
1. Introduction
2. Materials and Methods
2.1. Sample Preparation, Proximate Composition and Extraction
2.2. Animals, EEG Acquisition and Analysis
2.3. Pharmacological Treatment
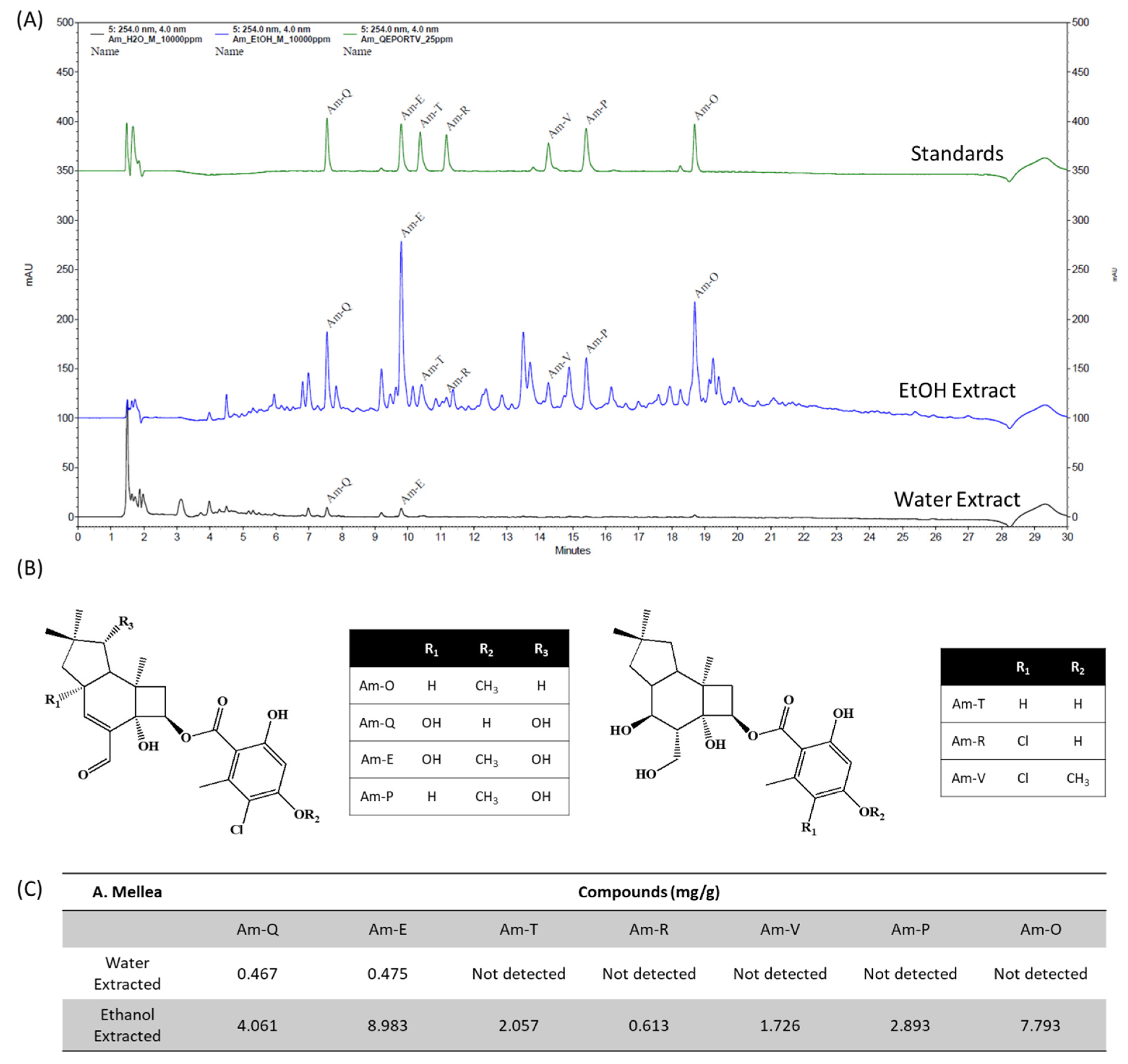
2.4. HPLC-DAD Analysis of Chemicals from the Extracts
2.5. HPLC-DAD Analysis of γ-Aminobutyric Acid (GABA) in the Extracts
2.6. Statistical Analysis
3. Results
3.1. The Effects of Water-Extracted A. Mellea on Spontaneous Sleep-Wake Activity
3.2. The Effects of Ethanol-Extracted A. Mellea on Spontaneous Sleep-Wake Activity
3.3. Characteristics of the Compounds in Water and Ethanol Extracted A. Mellea
3.4. Analysis of GABA in Water and Ethanol Extracted A. Mellea
4. Discussion
5. Conclusions
Author Contributions
Funding
Institutional Review Board Statement
Informed Consent Statement
Data Availability Statement
Conflicts of Interest
References
- Zielinski, M.R.; McKenna, J.T.; McCarley, R.W. Functions and Mechanisms of Sleep. Aims Neurosci. 2016, 3, 67–104. [Google Scholar] [CrossRef] [PubMed]
- McKenna, J.T.; Zielinski, M.R.; McCarley, R.W. Neurobiology of REM Sleep, NREM Sleep Homeostasis, and Gamma Band Oscillations. In Sleep Disorders Medicine: Basic Science, Technical Considerations and Clinical Aspects; Chokroverty, S., Ed.; Springer: New York, NY, USA, 2017; pp. 55–77. [Google Scholar] [CrossRef]
- Medic, G.; Wille, M.; Hemels, M.E. Short- and long-term health consequences of sleep disruption. Nat. Sci. Sleep 2017, 9, 151–161. [Google Scholar] [CrossRef] [PubMed]
- Liu, Y.; Croft, J.B.; Wheaton, A.G.; Perry, G.S.; Chapman, D.P.; Strine, T.W.; McKnight-Eily, L.R.; Presley-Cantrell, L. Association between perceived insufficient sleep, frequent mental distress, obesity and chronic diseases among US adults, 2009 behavioral risk factor surveillance system. Bmc Public Health 2013, 13, 84. [Google Scholar] [CrossRef]
- Hirshkowitz, M.; Whiton, K.; Albert, S.M.; Alessi, C.; Bruni, O.; DonCarlos, L.; Hazen, N.; Herman, J.; Katz, E.S.; Kheirandish-Gozal, L.; et al. National Sleep Foundation’s sleep time duration recommendations: Methodology and results summary. Sleep Health 2015, 1, 40–43. [Google Scholar] [CrossRef] [PubMed]
- Ford, E.S.; Cunningham, T.J.; Croft, J.B. Trends in Self-Reported Sleep Duration among US Adults from 1985 to 2012. Sleep 2015, 38, 829–832. [Google Scholar] [CrossRef]
- Liu, Y.; Wheaton, A.G.; Chapman, D.P.; Cunningham, T.J.; Lu, H.; Croft, J.B. Prevalence of Healthy Sleep Duration among Adults--United States, 2014. Morb. Mortal. Wkly. Rep. 2016, 65, 137–141. [Google Scholar] [CrossRef]
- Brandt, J.; Leong, C. Benzodiazepines and Z-Drugs: An Updated Review of Major Adverse Outcomes Reported on in Epidemiologic Research. Drugs R D 2017, 17, 493–507. [Google Scholar] [CrossRef]
- Akeju, O.; Hobbs, L.E.; Gao, L.; Burns, S.M.; Pavone, K.J.; Plummer, G.S.; Walsh, E.C.; Houle, T.T.; Kim, S.-E.; Bianchi, M.T.; et al. Dexmedetomidine promotes biomimetic non-rapid eye movement stage 3 sleep in humans: A pilot study. Clin. Neurophysiol. 2018, 129, 69–78. [Google Scholar] [CrossRef]
- Rudolph, U.; Knoflach, F. Beyond classical benzodiazepines: Novel therapeutic potential of GABAA receptor subtypes. Nat. Rev. Drug Discov. 2011, 10, 685–697. [Google Scholar] [CrossRef]
- Vinkers, C.H.; Olivier, B. Mechanisms Underlying Tolerance after Long-Term Benzodiazepine Use: A Future for Subtype-Selective GABA(A) Receptor Modulators? Adv. Pharm. Sci. 2012, 2012, 416864. [Google Scholar] [CrossRef]
- Lung, M.-Y.; Chang, Y.-C. Antioxidant Properties of the Edible Basidiomycete Armillaria mellea in Submerged Cultures. Int. J. Mol. Sci. 2011, 12, 6367–6384. [Google Scholar] [CrossRef]
- Jou, S.-B.; Tsai, C.-J.; Fang, C.-Y.; Yi, P.-L.; Chang, F.-C. Effects of N6-(4-hydroxybenzyl) adenine riboside in stress-induced insomnia in rodents. J. Sleep Res. 2020, 30, e13156. [Google Scholar] [CrossRef]
- Ojemann, L.M.; Nelson, W.L.; Shin, D.S.; Rowe, A.O.; Buchanan, R.A. Tian ma, an ancient Chinese herb, offers new options for the treatment of epilepsy and other conditions. Epilepsy Behav. 2006, 8, 376–383. [Google Scholar] [CrossRef]
- Dharmananda, S. Modernizing Chinese Medicine, the Case of Armillaria as Gastrodia Substitute. 2002. Available online: http://www.itmonline.org/arts/gastrodia.htm (accessed on 15 March 2021).
- Kohtoh, S.; Taguchi, Y.; Matsumoto, N.; Wada, M.; Huang, Z.-L.; Urade, Y. Algorithm for sleep scoring in experimental animals based on fast Fourier transform power spectrum analysis of the electroencephalogram. Sleep Biol. Rhythm. 2008, 6, 163–171. [Google Scholar] [CrossRef]
- Xie, L.; Kang, H.; Xu, Q.; Chen, M.J.; Liao, Y.; Thiyagarajan, M.; O’Donnell, J.; Christensen, D.J.; Nicholson, C.; Iliff, J.J.; et al. Sleep drives metabolite clearance from the adult brain. Science 2013, 342, 373–377. [Google Scholar] [CrossRef]
- Grau-Rivera, O.; Operto, G.; Falcón, C.; Sánchez-Benavides, G.; Cacciaglia, R.; Brugulat-Serrat, A.; Gramunt, N.; Salvadó, G.; Suárez-Calvet, M.; Minguillon, C.; et al. Association between insomnia and cognitive performance, gray matter volume, and white matter microstructure in cognitively unimpaired adults. Alzheimer’s Res. 2020, 12, 4. [Google Scholar] [CrossRef]
- Kim, B.; Hwang, E.; Strecker, R.E.; Choi, J.H.; Kim, Y. Differential modulation of NREM sleep regulation and EEG topography by chronic sleep restriction in mice. Sci. Rep. 2020, 10, 18. [Google Scholar] [CrossRef]
- Fogel, S.; Martin, N.; Lafortune, M.; Barakat, M.; Debas, K.; Laventure, S.; Latreille, V.; Gagnon, J.-F.; Doyon, J.; Carrier, J. NREM Sleep Oscillations and Brain Plasticity in Aging. Front. Neurol. 2012, 3, 176. [Google Scholar] [CrossRef]
- Morawska, M.M.; Büchele, F.; Moreira, C.G.; Imbach, L.L.; Noain, D.; Baumann, C.R. Sleep Modulation Alleviates Axonal Damage and Cognitive Decline after Rodent Traumatic Brain Injury. J. Neurosci. 2016, 36, 3422–3429. [Google Scholar] [CrossRef]
- Ognjanovski, N.; Broussard, C.; Zochowski, M.; Aton, S.J. Hippocampal Network Oscillations Rescue Memory Consolidation Deficits Caused by Sleep Loss. Cereb. Cortex 2018, 28, 3711–3723. [Google Scholar] [CrossRef]
- Ferrarelli, F.; Kaskie, R.; Laxminarayan, S.; Ramakrishnan, S.; Reifman, J.; Germain, A.J.N. An increase in sleep slow waves predicts better working memory performance in healthy individuals. Neuroimage 2019, 191, 1–9. [Google Scholar] [CrossRef]
- Rasch, B.; Born, J. About sleep’s role in memory. Physiol. Rev. 2013, 93, 681–766. [Google Scholar] [CrossRef]
- Grosmark, A.D.; Mizuseki, K.; Pastalkova, E.; Diba, K.; Buzsáki, G. REM sleep reorganizes hippocampal excitability. Neuron 2012, 75, 1001–1007. [Google Scholar] [CrossRef]
- Gujar, N.; McDonald, S.A.; Nishida, M.; Walker, M.P. A role for REM sleep in recalibrating the sensitivity of the human brain to specific emotions. Cereb. Cortex 2011, 21, 115–123. [Google Scholar] [CrossRef]
- Leary, E.B.; Goodman, S.; Mignot, E.; Zou, J.; Epidemiology, S.U.D.o. Sleep and Death: The Relationship between REM Sleep and Mortality; Stanford University: Stanford, CA, USA, 2020. [Google Scholar]
- Song, Y.; Blackwell, T.; Yaffe, K.; Ancoli-Israel, S.; Redline, S.; Stone, K.L. Relationships between sleep stages and changes in cognitive function in older men: The MrOS Sleep Study. Sleep 2015, 38, 411–421. [Google Scholar] [CrossRef] [PubMed]
- Smagula, S.F.; Reynolds, C.F., 3rd; Ancoli-Israel, S.; Barrett-Connor, E.; Dam, T.T.; Hughes-Austin, J.M.; Paudel, M.; Redline, S.; Stone, K.L.; Cauley, J.A.; et al. Sleep Architecture and Mental Health Among Community-Dwelling Older Men. J. Gerontol. B Psychol. Sci. Soc. Sci. 2015, 70, 673–681. [Google Scholar] [CrossRef]
- Leary, E.B.; Watson, K.T.; Ancoli-Israel, S.; Redline, S.; Yaffe, K.; Ravelo, L.A.; Peppard, P.E.; Zou, J.; Goodman, S.N.; Mignot, E.; et al. Association of Rapid Eye Movement Sleep With Mortality in Middle-aged and Older Adults. JAMA Neurol. 2020, 77, 1241–1251. [Google Scholar] [CrossRef]
- Dörfer, M.; Gressler, M.; Hoffmeister, D. Diversity and bioactivity of Armillaria sesquiterpene aryl ester natural products. Mycol. Prog. 2019, 18, 1027–1037. [Google Scholar] [CrossRef]
- Kalyoncu, F.; Oskay, M.; Sağlam, H.; Erdoğan, T.F.; Tamer, A.U. Antimicrobial and antioxidant activities of mycelia of 10 wild mushroom species. J. Med. Food 2010, 13, 415–419. [Google Scholar] [CrossRef]
- Chen, C.-C.; Kuo, Y.-H.; Cheng, J.-J.; Sung, P.-J.; Ni, C.-L.; Chen, C.-C.; Shen, C.-C. Three New Sesquiterpene Aryl Esters from the Mycelium of Armillaria mellea. Molecules 2015, 20, 9994–10003. [Google Scholar] [CrossRef]
- Zhang, T.; Du, Y.; Liu, X.; Sun, X.; Cai, E.; Zhu, H.; Zhao, Y. Study on antidepressant-like effect of protoilludane sesquiterpenoid aromatic esters from Armillaria Mellea. Nat. Prod. Res. 2019, 1–4. [Google Scholar] [CrossRef] [PubMed]
- Fang, H.; Tu, S.; Sheng, J.; Shao, A. Depression in sleep disturbance: A review on a bidirectional relationship, mechanisms and treatment. J. Cell. Mol. Med. 2019, 23, 2324–2332. [Google Scholar] [CrossRef] [PubMed]
- Siegel, J.M. The neurotransmitters of sleep. J. Clin. Psychiatry 2004, 65 (Suppl. 16), 4–7. [Google Scholar] [PubMed]
- Cho, S.-M.; Shimizu, M.; Lee, C.J.; Han, D.-S.; Jung, C.-K.; Jo, J.-H.; Kim, Y.-M. Hypnotic effects and binding studies for GABAA and 5-HT2C receptors of traditional medicinal plants used in Asia for insomnia. J. Ethnopharmacol. 2010, 132, 225–232. [Google Scholar] [CrossRef]
- Yamatsu, A.; Yamashita, Y.; Maru, I.; Yang, J.; Tatsuzaki, J.; Kim, M. The Improvement of Sleep by Oral Intake of GABA and Apocynum venetum Leaf Extract. J. Nutr. Sci. Vitaminol. 2015, 61, 182–187. [Google Scholar] [CrossRef]
- Yamatsu, A.; Yamashita, Y.; Pandharipande, T.; Maru, I.; Kim, M. Effect of oral γ-aminobutyric acid (GABA) administration on sleep and its absorption in humans. Food Sci. Biotechnol. 2016, 25, 547–551. [Google Scholar] [CrossRef]
- Shyamaladevi, N.; Jayakumar, A.R.; Sujatha, R.; Paul, V.; Subramanian, E.H. Evidence that nitric oxide production increases γ-amino butyric acid permeability of blood-brain barrier. Brain Res. Bull. 2002, 57, 231–236. [Google Scholar] [CrossRef]
- Boonstra, E.; de Kleijn, R.; Colzato, L.S.; Alkemade, A.; Forstmann, B.U.; Nieuwenhuis, S. Neurotransmitters as food supplements: The effects of GABA on brain and behavior. Front. Psychol. 2015, 6, 1520. [Google Scholar] [CrossRef]




Publisher’s Note: MDPI stays neutral with regard to jurisdictional claims in published maps and institutional affiliations. |
© 2021 by the authors. Licensee MDPI, Basel, Switzerland. This article is an open access article distributed under the terms and conditions of the Creative Commons Attribution (CC BY) license (https://creativecommons.org/licenses/by/4.0/).
Share and Cite
Li, I.-C.; Lin, T.-W.; Lee, T.-Y.; Lo, Y.; Jiang, Y.-M.; Kuo, Y.-H.; Chen, C.-C.; Chang, F.-C. Oral Administration of Armillaria mellea Mycelia Promotes Non-Rapid Eye Movement and Rapid Eye Movement Sleep in Rats. J. Fungi 2021, 7, 371. https://doi.org/10.3390/jof7050371
Li I-C, Lin T-W, Lee T-Y, Lo Y, Jiang Y-M, Kuo Y-H, Chen C-C, Chang F-C. Oral Administration of Armillaria mellea Mycelia Promotes Non-Rapid Eye Movement and Rapid Eye Movement Sleep in Rats. Journal of Fungi. 2021; 7(5):371. https://doi.org/10.3390/jof7050371
Chicago/Turabian StyleLi, I-Chen, Ting-Wei Lin, Tung-Yen Lee, Yun Lo, Yih-Min Jiang, Yu-Hsuan Kuo, Chin-Chu Chen, and Fang-Chia Chang. 2021. "Oral Administration of Armillaria mellea Mycelia Promotes Non-Rapid Eye Movement and Rapid Eye Movement Sleep in Rats" Journal of Fungi 7, no. 5: 371. https://doi.org/10.3390/jof7050371
APA StyleLi, I.-C., Lin, T.-W., Lee, T.-Y., Lo, Y., Jiang, Y.-M., Kuo, Y.-H., Chen, C.-C., & Chang, F.-C. (2021). Oral Administration of Armillaria mellea Mycelia Promotes Non-Rapid Eye Movement and Rapid Eye Movement Sleep in Rats. Journal of Fungi, 7(5), 371. https://doi.org/10.3390/jof7050371
