Genome and Secondary Metabolites Analysis of Fusarium oxysporum BPF55 Associated with Blaps rynchopetera and Its Anti-MRSA Biofilm Potential
Abstract
1. Introduction
2. Materials and Methods
2.1. Culture of Fungi
2.2. Fungal Genomic DNA Extraction and Preparation of DNA Library
2.3. Genome Sequencing, Assembly and Gene Prediction
2.4. ANI Calculation, Annotation and Biosynthetic Gene Cluster Analysis of the Genome
2.5. Extraction of Secondary Metabolites from Fungi
2.6. Evaluation of the Anti-Biofilm Activity of Crude Extracts Against MRSA
2.7. UPLC-MS/MS Testing and Data Analysis
2.8. Molecular Docking
3. Results
3.1. The Growth Morphology of F. oxysporum BPF55 and Its Genome Sequencing, Assembly and Genomic Features
3.2. ANI Computational Analysis of the Genome
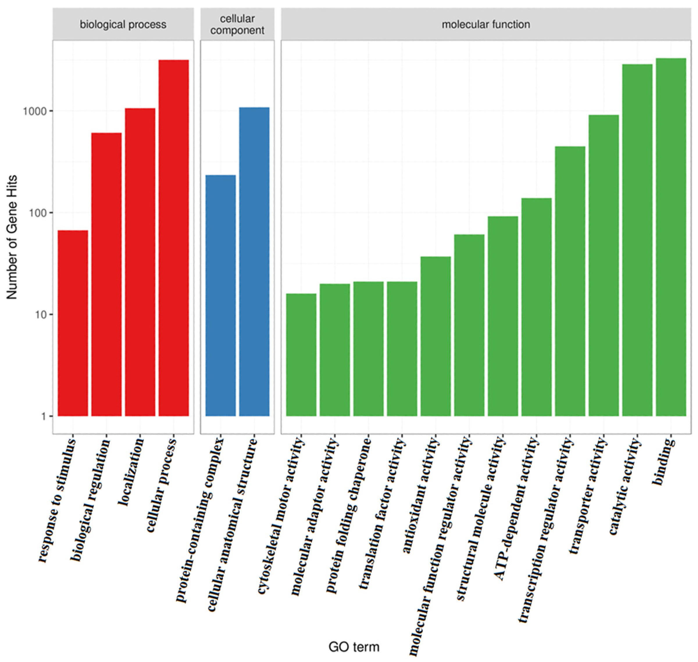
3.3. Gene Functional Annotation
3.4. Carbohydrate-Active Enzymes
3.5. Biosynthetic Potential of Secondary Metabolites
3.6. Results of the Anti-Biofilm Activity of Crude Extracts Against MRSA
3.7. UPLC-MS/MS Analysis of Secondary Metabolites
3.8. Molecular Docking and Analysis of Compounds with Core Proteins Involved in MRSA Biofilm Formation
4. Discussion
5. Conclusions
Supplementary Materials
Author Contributions
Funding
Institutional Review Board Statement
Informed Consent Statement
Data Availability Statement
Acknowledgments
Conflicts of Interest
Abbreviations
| AMR | Antimicrobial resistance |
| Agr | Accessory gene regulator |
| ANI | Average Nucleotide Identity |
| CAZy | Carbohydrate-Active Enzymes Database |
| KOG | EuKaryotic Orthologous Groups |
| GO | Gene Ontology |
| BGCs | Biosynthetic gene clusters |
| DRs | Direct repeats |
| KEGG | Kyoto Encyclopedia of Genes and Genomes |
| LTRs | Long terminal repeats |
| LINEs | Long interspersed nuclear elements |
| MRSA | Methicillin-resistant Staphylococcus aureus |
| NRPS-like | Non-ribosomal peptide synthase-like |
| NRPS | Non-ribosomal peptide synthase |
| OD | Optical density |
| PBS | Phosphate-buffered saline |
| SINEs | Short interspersed nuclear elements |
| SarA | Staphylococcus accessory gene regulator A |
| T1PKS | Type I polyketide synthase |
| T3PKS | Type III polyketide synthase |
| TIC | Total Ion Chromatogram |
| TSB | Tryptic soy broth |
| UPLC-MS/MS | Ultra-Performance Liquid Chromatography-Tandem Mass Spectrometry |
References
- Vietinghoff, S.V.; Shevchuk, O.; Dobrindt, U.; Engel, D.R.; Jorch, S.K.; Kurts, C.; Miethke, T.; Wagenlehner, F. The global burden of antimicrobial resistance—Urinary tract infections. Nephrol. Dial. Transplant. 2024, 39, 581–588. [Google Scholar] [CrossRef] [PubMed]
- Murray, C.J.L.; Ikuta, K.S.; Sharara, F.; Swetschinski, L.; Aguilar, G.R.; Gray, A.; Han, C.; Bisignano, C.; Rao, P.; Wool, E.; et al. Global burden of bacterial antimicrobial resistance in 2019: A systematic analysis. Lancet 2022, 399, 629–655. [Google Scholar] [CrossRef]
- Archer, N.K.; Mazaitis, M.J.; Costerton, J.W.; Leid, J.G.; Powers, M.E.; Shirtliff, M.E. Staphylococcus aureus biofilms: Properties, regulation, and roles in human disease. Virulence 2011, 2, 445–459. [Google Scholar] [CrossRef] [PubMed]
- Shao, Y.Q.; Chen, B.S.; Sun, C.; Ishida, K.; Hertweck, C.; Boland, W. Symbiont-derived antimicrobials contribute to the control of the lepidopteran gut microbiota. Cell Chem. Biol. 2017, 24, 66–75. [Google Scholar] [CrossRef]
- Ma, N.; Yin, D.P.; Liu, Y.; Gao, Z.Y.; Cao, Y.; Chen, T.T.; Huang, Z.Y.; Jia, Q.J.; Wang, D.K. Succession of endophytic fungi and rhizosphere soil fungi and their correlation with secondary metabolites in Fagopyrum dibotrys. Front. Microbiol. 2023, 14, 1220431. [Google Scholar] [CrossRef] [PubMed]
- Guo, Z.K.; Zhu, W.Y.; Zhao, L.X.; Chen, Y.C.; Li, S.J.; Cheng, P.; Ge, H.M.; Tan, R.X.; Jiao, R.H. New antibacterial depsidones from an ant-derived fungus Spiromastix sp. MY-1. Chin. J. Nat. Med. 2022, 20, 627–632. [Google Scholar] [CrossRef]
- Xiao, Y.S.; Zhang, B.; Zhang, M.; Guo, Z.K.; Deng, X.Z.; Shi, J.; Li, W.; Jiao, R.H.; Tan, R.X.; Ge, H.M. Rifamorpholines A-E, potential antibiotics from locust-associated actinobacteria Amycolatopsis sp. Hca4. Org. Biomol. Chem. 2017, 15, 3909–3916. [Google Scholar] [CrossRef]
- Chen, S.Z.; Qi, H.T.; Zhu, X.Z.; Liu, T.X.; Fan, Y.T.; Su, Q.; Gong, Q.Y.; Jia, C.Z.; Liu, T. Screening and identification of antimicrobial peptides from the gut microbiome of cockroach Blattella germanica. Microbiome 2024, 12, 272. [Google Scholar] [CrossRef]
- Um, S.; Park, S.H.; Kim, J.; Park, H.J.; Ko, K.; Bang, H.S.; Lee, S.K.; Shin, J.; Oh, D.C. Coprisamides A and B, new branched cyclic peptides from a gut bacterium of the dung beetle Copris tripartitus. Org. Lett. 2015, 17, 1272–1275. [Google Scholar] [CrossRef]
- Xu, K.H.; Liu, P.; Qin, X.Y.; Wang, X.Q.; Shi, L.Y.; Wang, P.; Wu, X.M.; Xiao, H.; Zhao, H.R.; Zhong, Y.H.; et al. Bacteriophage diversity and novelty revealed by metaviromic analysis of the gut virome in the medicinal Blaps rynchopetera. Microb. Pathog. 2025, 199, 107249. [Google Scholar] [CrossRef]
- Qian, X.L.; Meng, D.; Liu, H.; Liu, C.H.; Zhou, P.; Yang, Y.H.; Wang, J.P.; Xiao, H.; Ding, Z.T. Proliferation inhibitory activity of quinones from Blaps rynchopetera defense secretion on colorectal tumor cells. Chin. J. Integr. Med. 2023, 29, 683–690. [Google Scholar] [CrossRef]
- Li, M.H.; Wang, M.M.; Yin, P.K.; Yang, Z.Z.; Xiao, H.; Yang, D.S.; Yang, Y.H. Isolation of fungi from the guts of Blaps rynchopetera and screening of antimicrobial and antitumor activity of fungi’s secondary metabolites. Chin. J. Antibiot. 2023, 48, 885–893. [Google Scholar] [CrossRef]
- Wei, J.H.; Wu, B. Chemistry and bioactivities of secondary metabolites from the genus Fusarium. Fitoterapia 2020, 146, 104638. [Google Scholar] [CrossRef]
- Li, M.Z.; Yu, R.L.; Bai, X.L.; Wang, H.; Zhang, H.W. Fusarium: A treasure trove of bioactive secondary metabolites. Nat. Prod. Rep. 2020, 37, 1568–1588. [Google Scholar] [CrossRef]
- Poleto, L.; da Rosa, L.O.; Fontana, R.C.; Rodrigues, E.; Poletto, É.; Baldo, G.; Paesi, S.; Sales-Campos, C.; Camassola, M. Production of antimicrobial metabolites against pathogenic bacteria and yeasts by Fusarium oxysporum in submerged culture processes. Bioprocess Biosyst. Eng. 2021, 44, 1321–1332. [Google Scholar] [CrossRef]
- Ariantari, N.P.; Frank, M.; Gao, Y.; Stuhldreier, F.; Kiffe-Delf, A.L.; Hartmann, R.; Höfert, S.P.; Janiak, C.; Wesselborg, S.; Müller, W.E.G.; et al. Fusaristatins D–F and (7S,8R)-(−)-chlamydospordiol from Fusarium sp. BZCB-CA, an endophyte of Bothriospermum chinense. Tetrahedron 2021, 85, 132065. [Google Scholar] [CrossRef]
- Sundar, R.D.V.; Arunachalam, S. 2,4-Di-tert-butylphenol from endophytic fungi Fusarium oxysporum attenuates the growth of multidrug-resistant pathogens. Front. Microbiol. 2025, 16, 1575021. [Google Scholar] [CrossRef] [PubMed]
- Toghueo, R.M.K. Bioprospecting endophytic fungi from Fusarium genus as sources of bioactive metabolites. Mycology 2019, 11, 1–21. [Google Scholar] [CrossRef]
- Luca, V.D.; Salim, V.; Atsumi, S.M.; Yu, F. Mining the biodiversity of plants: A revolution in the making. Science 2012, 336, 1658–1661. [Google Scholar] [CrossRef]
- Sun, M.S.; Zhong, X.H.; Zhou, L.; Liu, W.; Song, R.; Huang, P.; Zeng, J.G. CRISPR/Cas9 revolutionizes Macleaya cordata breeding: A leap in sanguinarine biosynthesis. Hortic. Res. 2024, 11, uhae024. [Google Scholar] [CrossRef] [PubMed]
- Yuan, S.J.; Zhao, Q.M.; Yu, K.; Gao, Y.; Ma, Z.B.; Li, H.Y.; Yu, Y.T. Transcriptomic screening of Alternaria oxytropis isolated from locoweed plants for genes involved in mycotoxin swaisonine production. J. Fungi 2024, 10, 88. [Google Scholar] [CrossRef] [PubMed]
- Eshboev, F.; Mamadalieva, N.; Nazarov, P.A.; Hussain, H.; Katanaev, V.; Egamberdieva, D.; Azimova, S. Antimicrobial action mechanisms of natural compounds isolated from endophytic microorganisms. Antibiotics 2024, 13, 271. [Google Scholar] [CrossRef] [PubMed]
- Davidovich, C.; Erokhina, K.; Gupta, C.L.; Zhu, Y.G.; Su, J.Q.; Djordjevic, S.P.; Wyrsch, E.R.; Blum, S.E.; Cytryn, E. Occurrence of “under-the-radar” antibiotic resistance in anthropogenically affected produce. ISME J. 2025, 19, wrae261. [Google Scholar] [CrossRef]
- Bolger, A.M.; Lohse, M.; Usadel, B. Trimmomatic: A flexible trimmer for Illumina sequence data. Bioinformatics 2014, 30, 2114–2120. [Google Scholar] [CrossRef]
- Bankevich, A.; Nurk, S.; Antipov, D.; Gurevich, A.A.; Dvorkin, M.; Kulikov, A.S.; Lesin, V.M.; Nikolenko, S.I.; Pham, S.; Prjibelski, A.D.; et al. SPAdes: A new genome assembly algorithm and its applications to single-cell sequencing. J. Comput. Biol. 2012, 19, 455–477. [Google Scholar] [CrossRef]
- Simão, F.A.; Waterhouse, R.M.; Ioannidis, P.; Kriventseva, E.V.; Zdobnov, E.M. BUSCO: Assessing genome assembly and annotation completeness with single-copy orthologs. Bioinformatics 2015, 31, 3210–3212. [Google Scholar] [CrossRef]
- Lomsadze, A.; Burns, P.D.; Borodovsky, M. Integration of mapped RNA-Seq reads into automatic training of eukaryotic gene finding algorithm. Nucleic Acids Res. 2014, 42, e119. [Google Scholar] [CrossRef]
- Lowe, T.M.; Eddy, S.R. tRNAscan-SE: A program for improved detection of transfer RNA genes in genomic sequence. Nucleic Acids Res. 1997, 25, 955–964. [Google Scholar] [CrossRef] [PubMed]
- Jain, C.; Rodriguez-R, L.M.; Phillippy, A.M.; Konstantinidis, K.T.; Aluru, S. High throughput ANI analysis of 90K prokaryotic genomes reveals clear species boundaries. Nat. Commun. 2018, 9, 5114. [Google Scholar] [CrossRef]
- Conesa, A.; Götz, S.; García-Gómez, J.M.; Terol, J.; Talón, M.; Robles, M. Blast2GO: A universal tool for annotation, visualization and analysis in functional genomics research. Bioinformatics 2005, 21, 3674–3676. [Google Scholar] [CrossRef] [PubMed]
- Kanehisa, M.; Goto, S.; Kawashima, S.; Okuno, Y.; Hattori, M. The KEGG resource for deciphering the genome. Nucleic Acids Res. 2004, 32, D277–D280. [Google Scholar] [CrossRef]
- Tatusov, R.L.; Galperin, M.Y.; Natale, D.A.; Koonin, E.V. The COG database: Atool for genome-scale analysis of protein functions and evolution. Nucleic Acids Res. 2000, 28, 33–36. [Google Scholar] [CrossRef]
- Cantarel, B.L.; Coutinho, P.M.; Rancurel, C.; Bernard, T.; Lombard, V.; Henrissat, B. The Carbohydrate-Active EnZymes database (CAZy): An expert resource for Glycogenomics. Nucleic Acids Res. 2009, 37, D233–D238. [Google Scholar] [CrossRef]
- Krzywinski, M.; Schein, J.; Birol, I.; Connors, J.; Gascoyne, R.; Horsman, D.; Jones, S.J.; Marra, M.A. Circos: An information aesthetic for comparative genomics. Genome Res. 2009, 19, 1639–1645. [Google Scholar] [CrossRef]
- Blin, K.; Shaw, S.; Vader, L.; Szenei, J.; Reitz, Z.L.; Augustijn, H.E.; Cediel-Becerra, J.D.D.; de Crécy-Lagard, V.; Koetsier, R.A.; Williams, S.E.; et al. antiSMASH 8.0: Extended gene cluster detection capabilities and analyses of chemistry, enzymology, and regulation. Nucleic Acids Res. 2025, 53, W32–W38. [Google Scholar] [CrossRef]
- Song, Z.M.; Zhang, J.L.; Zhou, K.; Yue, L.M.; Zhang, Y.; Wang, C.Y.; Wang, K.L.; Xu, Y. Anthraquinones as potential antibiofilm agents against methicillin-resistant Staphylococcus aureus. Front. Microbiol. 2021, 12, 709826. [Google Scholar] [CrossRef]
- Zelena, E.; Dunn, W.B.; Broadhurst, D.; Francis-McIntyre, S.; Carroll, K.M.; Begley, P.; O’Hagan, S.; Knowles, J.D.; Halsall, A.; Wilson, I.D.; et al. Development of a robust and repeatable UPLC-MS method for the long-term metabolomic study of human serum. Anal. Chem. 2009, 81, 1357–1364. [Google Scholar] [CrossRef] [PubMed]
- Want, E.J.; Masson, P.; Michopoulos, F.; Wilson, I.D.; Theodoridis, G.; Plumb, R.S.; Shockcor, J.; Loftus, N.; Holmes, E.; Nicholson, J.K. Global metabolic profiling of animal and human tissues via UPLC-MS. Nat. Protoc. 2013, 8, 17–32. [Google Scholar] [CrossRef] [PubMed]
- Rasmussen, J.A.; Villumsen, K.R.; Ernst, M.; Hansen, M.; Forberg, T.; Gopalakrishnan, S.; Gilbert, M.T.P.; Bojesen, A.M.; Kristiansen, K.; Limborg, M.T. A multi-omics approach unravels metagenomic and metabolic alterations of a probiotic and synbiotic additive in rainbow trout (Oncorhynchus mykiss). Microbiome 2022, 10, 21. [Google Scholar] [CrossRef] [PubMed]
- Navarro-Reig, M.; Jaumot, J.; García-Reiriz, A.; Tauler, R. Evaluation of changes induced in rice metabolome by Cd and Cu exposure using LC-MS with XCMS and MCR-ALS data analysis strategies. Anal. Bioanal. Chem. 2015, 407, 8835–8847. [Google Scholar] [CrossRef]
- Wishart, D.S.; Tzur, D.; Knox, C.; Eisner, R.; Guo, A.C.; Young, N.; Cheng, D.; Jewell, K.; Arndt, D.; Sawhney, S.; et al. HMDB: The Human Metabolome Database. Nucleic Acids Res. 2007, 35, D521–D526. [Google Scholar] [CrossRef]
- Horai, H.; Arita, M.; Kanaya, S.; Nihei, Y.; Ikeda, T.; Suwa, K.; Ojima, Y.; Tanaka, K.; Tanaka, S.; Aoshima, K.; et al. MassBank: A public repository for sharing mass spectral data for life sciences. J. Mass Spectrom. 2010, 45, 703–714. [Google Scholar] [CrossRef]
- Sud, M.; Fahy, E.; Cotter, D.; Brown, A.; Dennis, E.A.; Glass, C.K.; Merrill, A.H., Jr.; Murphy, R.C.; Raetz, C.R.; Russell, D.W.; et al. LMSD: LIPID MAPS structure database. Nucleic Acids Res. 2007, 35, D527–D532. [Google Scholar] [CrossRef] [PubMed]
- Abdelrazig, S.; Safo, L.; Rance, G.A.; Fay, M.W.; Theodosiou, E.; Topham, P.D.; Kim, D.H.; Fernández-Castané, A. Metabolic characterisation of Magnetospirillum gryphiswaldense MSR-1 using LC-MS-based metabolite profiling. RSC Adv. 2020, 10, 32548–32560. [Google Scholar] [CrossRef]
- Ogata, H.; Goto, S.; Sato, K.; Fujibuchi, W.; Bono, H.; Kanehisa, M. KEGG: Kyoto Encyclopedia of Genes and Genomes. Nucleic Acids Res. 1999, 27, 29–34. [Google Scholar] [CrossRef]
- Morris, G.M.; Huey, R.; Lindstrom, W.; Sanner, M.F.; Belew, R.K.; Goodsell, D.S.; Olson, A.J. AutoDock4 and AutoDockTools4: Automated docking with selective receptor flexibility. J. Comput. Chem. 2009, 30, 2785–2791. [Google Scholar] [CrossRef] [PubMed]
- Liu, M.L.; Shu, F.; Zhang, Y.N.; Fang, W.; Shi, L.Q.; Wang, K.M.; Wu, Z.Y. The study of bioactivity of metabolites from a fungus SF-49356. Hubei Agric. Sci. 2022, 61, 57–61. [Google Scholar] [CrossRef]
- Olleik, H.; Nicoletti, C.; Lafond, M.; Courvoisier-Dezord, E.; Xue, P.; Hijazi, A.; Baydoun, E.; Perrier, J.; Maresca, M. Comparative structure-activity analysis of the antimicrobial activity, cytotoxicity, and mechanism of action of the fungal cyclohexadepsipeptides enniatins and beauvericin. Toxins 2019, 11, 514. [Google Scholar] [CrossRef] [PubMed]
- Marchese, S.; Polo, A.; Ariano, A.; Velotto, S.; Costantini, S.; Severino, L. Aflatoxin B1 and M1: Biological properties and their Involvement in cancer development. Toxins 2018, 10, 214. [Google Scholar] [CrossRef]
- Aljazzar, A.; El-Ghareeb, W.R.; Darwish, W.S.; Abdel-Raheem, S.M.; Ibrahim, A.M.; Hegazy, E.E.; Mohamed, E.A. Effects of aflatoxin B1 on human breast cancer (MCF-7) cells: Cytotoxicity, oxidative damage, metabolic, and immune-modulatory transcriptomic changes. Environ. Sci. Pollut. Res. Int. 2023, 30, 13132–13140. [Google Scholar] [CrossRef]
- Bovdisova, I.; Zbynovska, K.; Kalafova, A.; Capcarova, M. Toxicological properties of mycotoxin citrinin. J. Microbiol. Biotechnol. Food Sci. 2016, 5, 10–13. [Google Scholar] [CrossRef]
- Ji, H.R.; Zhao, L.; Lv, K.W.; Zhang, Y.Z.; Gao, H.B.; Gong, Q.H.; Yu, W.G. Citrinin is a potential quorum sensing inhibitor against Pseudomonas aeruginosa. Mar. Drugs 2023, 21, 296. [Google Scholar] [CrossRef] [PubMed]
- Revathy, M.; Mohan, A.S.; Kesavan, D.; Dhaneesha, M.; Santhini, P.; Vanuopadath, M.; Nair, B.G.; Poulin, R.X.; Sajeevan, T.; Philip, R. Citrinin (CIT), a polyketide mycotoxin from a mangrove endophytic fungus Penicillium rubens EF 363 and its bioactive potential. Vegetos 2025, 38, 1–10. [Google Scholar] [CrossRef]
- Elsayed, H.E.; Kamel, R.A.; Ibrahim, R.R.; Abdel-Razek, A.S.; Shaaban, M.A.; Frese, M.; Sewald, N.; Ebrahim, H.Y.; Moharram, F.A. Cytotoxicity, antimicrobial, and in silico studies of secondary metabolites from Aspergillus sp. isolated from Tecoma stans (L.) Juss. Ex Kunth leaves. Front. Chem. 2021, 9, 760083. [Google Scholar] [CrossRef]
- Lösgen, S.; Magull, J.; Schulz, B.; Draeger, S.; Zeeck, A. Isofusidienols: Novel chromone-3-oxepines produced by the endophytic fungus Chalara sp. Eur. J. Org. Chem. 2008, 2008, 698–703. [Google Scholar] [CrossRef]
- Al-Ayoubi, C.; Alonso-Jauregui, M.; Azqueta, A.; Vignard, J.; Mirey, G.; Rocher, O.; Puel, O.; Oswald, I.P.; Vettorazzi, A.; Soler, L. Mutagenicity and genotoxicity assessment of the emerging mycotoxin versicolorin A, an aflatoxin B1 precursor. Environ. Pollut. 2023, 335, 122276. [Google Scholar] [CrossRef]
- Hu, J.S.; Li, Z.; Gao, J.; He, H.; Dai, H.; Xia, X.; Liu, C.; Zhang, L.X.; Song, F.H. New diketopiperazines from a marine-derived fungus strain Aspergillus versicolor MF180151. Mar. Drugs 2019, 17, 262. [Google Scholar] [CrossRef]
- Wang, Q.X.; Li, S.F.; Zhao, F.; Dai, H.Q.; Bao, L.; Ding, R.; Gao, H.; Zhang, L.X.; Wen, H.A.; Liu, H.W. Chemical constituents from endophytic fungus Fusarium oxysporum. Fitoterapia 2011, 82, 777–781. [Google Scholar] [CrossRef]
- Gao, Z.C.; Luo, K.X.; Zhu, Q.X.; Peng, J.H.; Liu, C.; Wang, X.Y.; Li, S.J.; Zhang, H.Y. The natural occurrence, toxicity mechanisms and management strategies of fumonisin B1: A review. Environ. Pollut. 2023, 320, 121065. [Google Scholar] [CrossRef]
- Kumar, T.K.; Siva, B.; Kiranmai, B.; Alli, V.J.; Jadav, S.S.; Reddy, A.M.; Boustie, J.; Le Devehat, F.; Tiwari, A.K.; Suresh Babu, K. Salazinic acid and norlobaridone from the lichen Hypotrachyna cirrhata: Antioxidant activity, α-Glucosidase inhibitory and molecular docking studies. Molecules 2023, 28, 7840. [Google Scholar] [CrossRef]
- Dieu, A.; Millot, M.; Champavier, Y.; Mambu, L.; Chaleix, V.; Sol, V.; Gloaguen, V. Uncommon chlorinated xanthone and other antibacterial compounds from the lichen Cladonia incrassata. Planta Med. 2014, 80, 931–935. [Google Scholar] [CrossRef] [PubMed]
- Mishra, R.; Panda, A.K.; Mandal, S.D.; Shakeel, M.; Bisht, S.S.; Khan, J. Natural anti-biofilm agents: Strategies to control biofilm-forming pathogens. Front. Microbiol. 2020, 11, 566325. [Google Scholar] [CrossRef] [PubMed]
- Rabin, N.; Zheng, Y.; Opoku-Temeng, C.; Du, Y.; Bonsu, E.; Sintim, H.O. Agents that inhibit bacterial biofilm formation. Future Med. Chem. 2015, 7, 647–671. [Google Scholar] [CrossRef] [PubMed]
- Limón, M.C.; Rodríguez-Ortiz, R.; Avalos, J. Bikaverin production and applications. Appl. Microbiol. Biotechnol. 2010, 87, 21–29. [Google Scholar] [CrossRef]
- Oikawa, T.; Onozawa, C.; Inose, M.; Sasaki, M. Depudecin, a microbial metabolite containing two epoxide groups, exhibits anti-angiogenic activity in vivo. Biol. Pharm. Bull. 1995, 18, 1305–1307. [Google Scholar] [CrossRef]
- Godio, R.P.; Fouces, R.; Martín, J.F. A squalene epoxidase is involved in biosynthesis of both the antitumor compound clavaric acid and sterols in the basidiomycete H. sublateritium. Chem. Biol. 2007, 14, 1334–1346. [Google Scholar] [CrossRef]
- Takeuchi, M.; Nakajima, M.; Ogita, T.; Inukai, M.; Kodama, K.; Furuya, K.; Nagaki, H.; Haneishi, T. Fosfonochlorin, a new antibiotic with spheroplast forming activity. J. Antibiot. 1989, 42, 198–205. [Google Scholar] [CrossRef]
- Drapisa, H.J.C.; Llames, L.C.; Abellanosa, E.A.; Vidar, W.S.; Macabeo, A.P.G. Differential induction of fusaric acid in the endophytic fungus, Fusarium sp. (UST-UVG10) by three different media results to enhanced, variable anti-staphylococcal and antimycobacterial activity. Stud. Fungi 2024, 9, e007. [Google Scholar] [CrossRef]
- Chen, S.; Liu, D.; Zhang, Q.; Guo, P.; Ding, S.Y.; Shen, J.Z.; Zhu, K.; Lin, W.H. A marine antibiotic kills multidrug-resistant bacteria without detectable high-level resistance. ACS Infect. Dis. 2021, 7, 884–893. [Google Scholar] [CrossRef]
- Larson, E.C.; Lim, A.L.; Pond, C.D.; Craft, M.; Čavužić, M.; Waldrop, G.L.; Schmidt, E.W.; Barrows, L.R. Pyrrolocin C and equisetin inhibit bacterial acetyl-CoA carboxylase. PLoS ONE 2020, 15, e0233485. [Google Scholar] [CrossRef]
- Xing, J.W.; Zhou, C.C.; Yang, M.; Liao, W.; Wang, G.X.; Wu, H.L.; Guo, P.; Zhao, Q.L. Transdermal GelMA microneedle platform for enhanced delivery of equisetin: A novel approach for MRSA-targeted antimicrobial therapy. Chem. Eng. J. 2025, 522, 167039. [Google Scholar] [CrossRef]
- Bonilla, J.N.V.; Florido, E.B.; Partida, A.H.; Alquicira, E.P.; Loera, O. Interaction of beauvericin in combination with antibiotics against methicillin-resistant Staphylococcus aureus and Salmonella typhimurium. Toxicon 2024, 243, 107713. [Google Scholar] [CrossRef] [PubMed]
- Prosperini, A.; Berrada, H.; Ruiz, M.J.; Caloni, F.; Coccini, T.; Spicer, L.J.; Perego, M.C.; Lafranconi, A. A review of the mycotoxin enniatin B. Front. Public Health 2017, 5, 304. [Google Scholar] [CrossRef]
- Yabe, K.; Matsushima, K.; Koyama, T.; Hamasaki, T. Purification and characterization of O-methyltransferase I involved in conversion of demethylsterigmatocystin to sterigmatocystin and of dihydrodemethylsterigmatocystin to dihydrosterigmatocystin during aflatoxin biosynthesis. Appl. Environ. Microbiol. 1998, 64, 166–171. [Google Scholar] [CrossRef]
- Jakšić, D.; Puel, O.; Canlet, C.; Kopjar, N.; Kosalec, I.; Klarić, M.Š. Cytotoxicity and genotoxicity of versicolorins and 5-methoxysterigmatocystin in A549 cells. Arch. Toxicol. 2012, 86, 1583–1591. [Google Scholar] [CrossRef]
- Goel, N.; Fatima, S.W.; Kumar, S.; Sinha, R.; Khare, S.K. Antimicrobial resistance in biofilms: Exploring marine actinobacteria as a potential source of antibiotics and biofilm inhibitors. Biotechnol. Rep. 2021, 30, e00613. [Google Scholar] [CrossRef]
- Abdelghafar, A.; Yousef, N.; Askoura, M. Combating Staphylococcus aureus biofilm with antibiofilm agents as an efficient strategy to control bacterial infection. Res. J. Pharm. Technol. 2020, 13, 5601–5606. [Google Scholar] [CrossRef]
- Zhang, W.Y.; Zhong, Y.; Yu, Y.; Shi, D.F.; Huang, H.Y.; Tang, X.L.; Wang, Y.H.; Chen, G.D.; Zhang, H.P.; Liu, C.L.; et al. 4-Hydroxy pyridones from heterologous expression and cultivation of the native host. J. Nat. Prod. 2020, 83, 3338–3346. [Google Scholar] [CrossRef]
- Kumar, V.; Ahluwalia, V.; Saran, S.; Kumar, J.; Patel, A.K.; Singhania, R.R. Recent developments on solid-state fermentation for production of microbial secondary metabolites: Challenges and solutions. Bioresour. Technol. 2021, 323, 124566. [Google Scholar] [CrossRef]
- Schilcher, K.; Horswill, A.R. Staphylococcal biofilm development: Structure, regulation, and treatment strategies. Microbiol. Mol. Biol. Rev. 2020, 84, e00026–00019. [Google Scholar] [CrossRef] [PubMed]
- Leonard, P.G.; Bezar, I.F.; Sidote, D.J.; Stock, A.M. Identification of a hydrophobic cleft in the LytTR domain of AgrA as a locus for small molecule interactions that inhibit DNA binding. Biochemistry 2012, 51, 10035–10043. [Google Scholar] [CrossRef]
- Chien, Y.; Cheung, A.L. Molecular interactions between two global regulators, sar and agr, in Staphylococcus aureus. J. Biol. Chem. 1998, 273, 2645–2652. [Google Scholar] [CrossRef]
- Cheung, A.L.; Nishina, K.; Manna, A.C. Sara of Staphylococcus aureus binds to the SarA promoter to regulate gene expression. J. Bacteriol. 2008, 190, 2239–2243. [Google Scholar] [CrossRef] [PubMed]
- Liu, Y.F.; Manna, A.C.; Pan, C.H.; Kriksunov, I.A.; Thiel, D.J.; Cheung, A.L.; Zhang, G.Y. Structural and function analyses of the global regulatory protein SarA from Staphylococcus aureus. Proc. Natl. Acad. Sci. USA 2006, 103, 2392–2397. [Google Scholar] [CrossRef] [PubMed]
- Jenul, C.; Horswill, A.R. Regulation of Staphylococcus aureus virulence. Microbiol. Spectr. 2019, 7, 1–21. [Google Scholar] [CrossRef]
- Idrees, M.; Sawant, S.; Karodia, N.; Rahman, A. Staphylococcus aureus biofilm: Morphology, genetics, pathogenesis and treatment strategies. Int. J. Environ. Res. Public Health 2021, 18, 7602. [Google Scholar] [CrossRef] [PubMed]
- Selvaraj, A.; Valliammai, A.; Muthuramalingam, P.; Priya, A.; Suba, M.; Ramesh, M.; Pandian, S.K. Carvacrol targets SarA and CrtM of methicillin-resistant Staphylococcus aureus to mitigate biofilm formation and staphyloxanthin synthesis: An in vitro and in vivo approach. ACS Omega 2020, 5, 31100−31114. [Google Scholar] [CrossRef]










| General Features | |
|---|---|
| contigs | 712 |
| Largest contig | 1,600,307 bp |
| Total length | 50,097,681 bp |
| GC (%) | 47.36% |
| N50 | 502,217 bp |
| N75 | 188,023 bp |
| L50 | 31 bp |
| L75 | 68 bp |
| Number of predicted genes | 16,507 bp |
| Total length of predicted genes | 23,884,490 bp |
| Average length of predicted genes | 1446.93 bp |
| GC percent (%) | 51.46 |
| Integrity | 16,065 |
| Repetitive Sequence | Number | Length Occupied | Percentage of Sequence (%) |
|---|---|---|---|
| SINEs | 23 | 1240 | 0.00 |
| LINEs | 163 | 10,773 | 0.02 |
| LTRs elements | 2 | 95 | 0.00 |
| DNA elements | 37 | 2408 | 0.00 |
| Unclassified | 1 | 73 | 0.00 |
| Total interspersed repeats | 14,589 | 0.03 |
| Query ID | Reference ID | ANI | Mapped_Fragment | Query_Fragment | Taxon |
|---|---|---|---|---|---|
| BPF55 | GCA 013085055.1 | 96.7617 | 2851 | 3103 | Fusarium oxysporum Fo47 chromosome |
| Putative Metabolite | Formula | m/z | Rt | Precursor Type | Class | Function |
|---|---|---|---|---|---|---|
| Enniatin D | C34H59N3O9 | 654.4278 | 442.9 | [M + H]+ | cyclic peptide | antibacterial activity [47] |
| Enniatin B | C33H57N3O9 | 640.4102 | 424 | [M + H]+ | cyclic peptide | antibacterial activity [48] |
| Enniatin A | C36H63N3O9 | 682.4592 | 449.5 | [M + H]+ | cyclic peptide | antibacterial activity [48] |
| Enniatin I | C35H61N3O9 | 1335.8953 | 449.5 | [2M + H]+ | cyclic peptide | — |
| Aflatoxin B1 | C17H12O6 | 311.0549 | 383.9 | [M − H]− | polyketide | acute toxicity, immunosuppression, teratogenicity, mutagenicity, and carcinogenicity [49], cytotoxic activity [50] |
| Citrinin | C13H14O5 | 249.0766 | 252.7 | [M − H]− | polyketide | reproductive toxicity and teratogenic, nephrotoxic, hepatotoxic and embryotoxic effects [51], quorum sensingquorum-sensing system inhibitors [52], antimicrobial, anticancer, antioxidant activities, neuroprotective effects [53] |
| Dihydrosterigmatocystin | C18H14O6 | 344.1115 | 216.2 | [M + NH4]+ | polyketide | antibacterial activity [54] |
| Isofusidienol C | C16H14O6 | 284.049 | 216.8 | [M − NH3 − H]− | polyketide | antibacterial activity [55] |
| Versicolorin A | C18H10O7 | 397.0554 | 287.9 | [M + CH3CO2]− | polyketide | mycotoxins, carcinogenicity [56] |
| Versicolorin B | C18H12O7 | 399.0718 | 281.1 | [M + CH3CO2]− | polyketide | antibacterial activity [57] |
| (−)-4,6′-anhydrooxysporidinone | C28H41NO5 | 472.3055 | 406.4 | [M + H]+ | Polyketide, nitrogen-containing heterocyclic compound | antibacterial activity [58] |
| Fumonisin B1 | C34H59NO15 | 678.399 | 397 | [M − CO2 + H]+ | polyketide | toxicity and carcinogenicity [59] |
| Lichesterinic acid | C19H32O4 | 325.2367 | 346.2 | [M + H]+ | fatty acid derivatives | radical scavenging activity [60] |
| Didymic acid | C22H26O5 | 369.1731 | 330.9 | [M − H]− | Fatty acids, macrolides | antibacterial activity [61] |
| Schizopeltic acid | C19H18O7 | 357.0981 | 253.8 | [M − H]− | polyketide | — |
| Compounds | Targets | |
|---|---|---|
| SarA | AgrA | |
| Enniatin D | −6.4 | −6.6 |
| Enniatin B | −5.5 | −6.1 |
| Enniatin A | −7.3 | −5.9 |
| Enniatin I | −6.7 | −5.8 |
| Aflatoxin B1 | −8.1 | −8.9 |
| Citrinin | −6.4 | −7.6 |
| Dihydrosterigmatocystin | −7.0 | −8.1 |
| Isofusidienol C | −7.3 | −7.7 |
| Versicolorin A | −8.3 | −9.7 |
| Versicolorin B | −8.1 | −9.2 |
| (−)-4,6′-anhydrooxysporidinone | −8.6 | −8.9 |
| Fumonisin B1 | −5.9 | −7.1 |
| Lichesterinic acid | −5.1 | −5.9 |
| Didymic acid | −6.0 | −7.3 |
| Schizopeltic acid | −7.3 | −7.7 |
| Receptor | Ligand | Key Residue /π Anion | π−π Tshape | Binding Energy (kcal/mol) |
|---|---|---|---|---|
| SarA | Isofusidienol C | SER A:114; ILE B:103; LEU A:224 | TYRA:118 | −7.3 |
| (−)-4,6′-anhydrooxysporidinone | LEU B: 224 | — | −8.6 | |
| Lichesterinic acid | SER B:114 | — | −5.1 | |
| Didymic acid | LEU A:224; SER A:114; GLU A:223; LYS B:105 | — | −6.0 | |
| AgrA | Isofusidienol C | ASP B:176; ASP B:158; HIS A:227 | TYRA:229 | −7.7 |
| (−)-4,6′-anhydrooxysporidinone | HIS A: 200 | — | −8.9 | |
| Lichesterinic acid | HIS A:227 | — | −5.9 | |
| Didymic acid | THR A:166; LYS A:167; ASP B:158 | — | −7.3 |
Disclaimer/Publisher’s Note: The statements, opinions and data contained in all publications are solely those of the individual author(s) and contributor(s) and not of MDPI and/or the editor(s). MDPI and/or the editor(s) disclaim responsibility for any injury to people or property resulting from any ideas, methods, instructions or products referred to in the content. |
© 2026 by the authors. Licensee MDPI, Basel, Switzerland. This article is an open access article distributed under the terms and conditions of the Creative Commons Attribution (CC BY) license.
Share and Cite
Zhu, X.; Yin, H.; Yang, D.; Yang, Y. Genome and Secondary Metabolites Analysis of Fusarium oxysporum BPF55 Associated with Blaps rynchopetera and Its Anti-MRSA Biofilm Potential. J. Fungi 2026, 12, 236. https://doi.org/10.3390/jof12040236
Zhu X, Yin H, Yang D, Yang Y. Genome and Secondary Metabolites Analysis of Fusarium oxysporum BPF55 Associated with Blaps rynchopetera and Its Anti-MRSA Biofilm Potential. Journal of Fungi. 2026; 12(4):236. https://doi.org/10.3390/jof12040236
Chicago/Turabian StyleZhu, Xiaolu, Haorong Yin, Dasong Yang, and Yinhe Yang. 2026. "Genome and Secondary Metabolites Analysis of Fusarium oxysporum BPF55 Associated with Blaps rynchopetera and Its Anti-MRSA Biofilm Potential" Journal of Fungi 12, no. 4: 236. https://doi.org/10.3390/jof12040236
APA StyleZhu, X., Yin, H., Yang, D., & Yang, Y. (2026). Genome and Secondary Metabolites Analysis of Fusarium oxysporum BPF55 Associated with Blaps rynchopetera and Its Anti-MRSA Biofilm Potential. Journal of Fungi, 12(4), 236. https://doi.org/10.3390/jof12040236

