Unusual Sporotrichosis: A New Concept Proposal on the Unexpected Faces of Sporothrix spp. Infection
Abstract
1. Introduction
2. Materials and Methods
2.1. Protocol and Registry
2.2. Information Sources and Search Strategy
2.3. Study Selection
2.4. Critical Appraisal
2.5. Data Extraction
2.6. Data Analysis
3. Results
3.1. Critical Appraisal
3.2. Study Characteristics
3.3. Patient Demographics and Exposure
3.4. Clinical Forms and Sporothrix Species Distribution
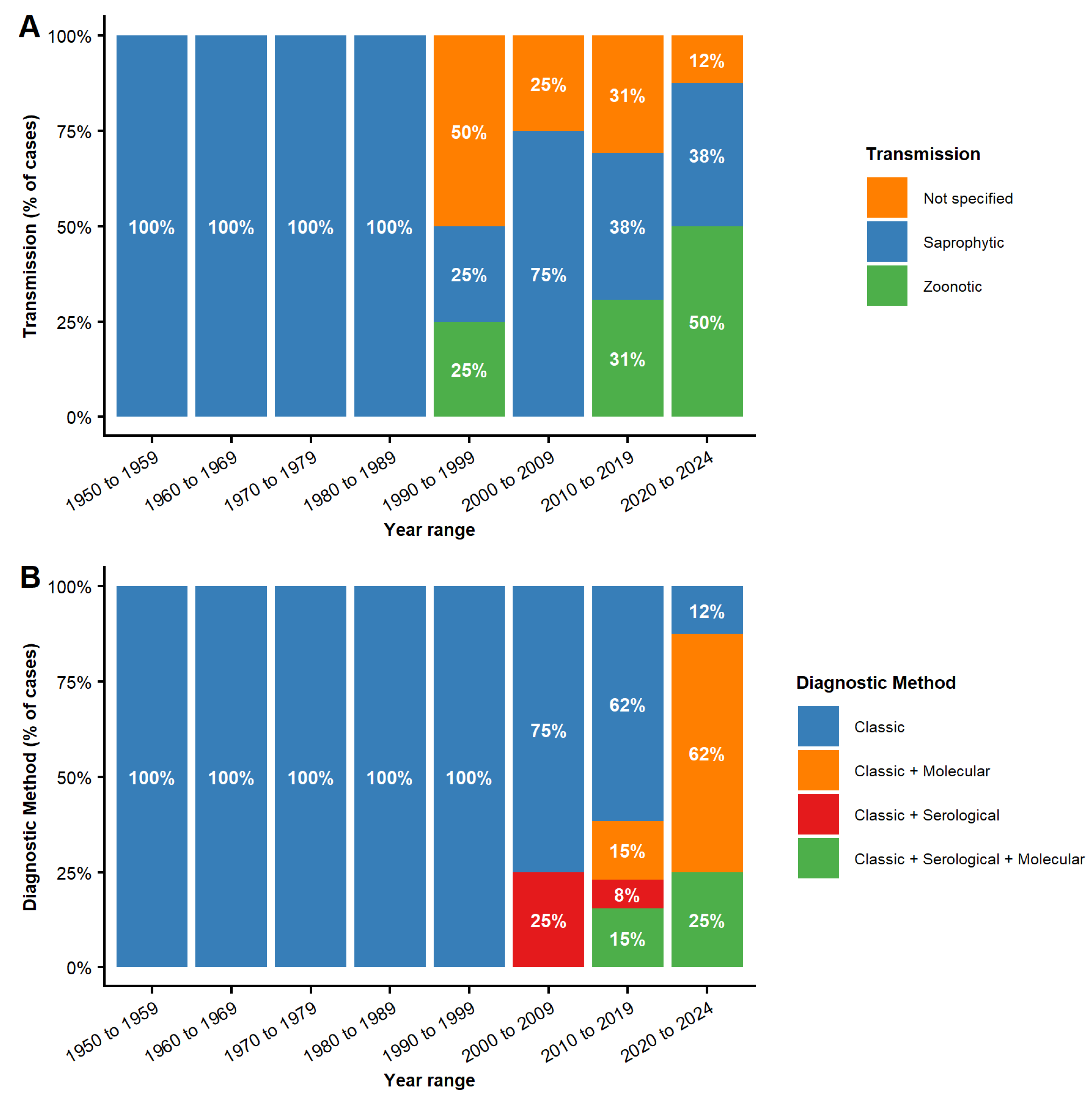
3.5. Transmission Routes and Diagnostic Approaches
3.6. Therapeutic Strategies
3.7. Outcomes
4. Discussion
5. Conclusions
Supplementary Materials
Author Contributions
Funding
Data Availability Statement
Conflicts of Interest
Abbreviations
| AIDS | Acquired Immunodeficiency Syndrome |
| BVS | Virtual Health Library (Biblioteca Virtual em Saúde) |
| HIV | Human Immunodeficiency Virus |
| JBI | Joanna Briggs Institute |
| LILACS | Latin American and Caribbean Health Sciences Literature |
| MeSH | Medical Subject Headings |
| OSF | Open Science Framework |
| PICO | Population, Intervention, Comparison, Outcome |
| PRISMA | Preferred Reporting Items for Systematic Reviews and Meta-Analyses |
| RJ | Rio de Janeiro |
| spp. | Species (plural) |
| USA | United States of America |
Appendix A
| Single Case Reports | ||
| Authors | % | Risk of Bias/Methodological Quality |
| Webster & Willander [50], 1957 | 100 | Low risk of bias/High methodological quality |
| Urabe & Nagashima [49], 1970 | 87.5 | Low risk of bias/High methodological quality |
| Michelson [45], 1977 | 93.7 | Low risk of bias/High methodological quality |
| Beardmore [44], 1979 | 100 | Low risk of bias/High methodological quality |
| Matthews et al. [42], 1982 | 100 | Low risk of bias/High methodological quality |
| Shelley & Sica [41], 1983 | 100 | Low risk of bias/High methodological quality |
| Pérez et al. [56], 1992 | 87.5 | Low risk of bias/High methodological quality |
| Neafie & Marty [38], 1993 | 93.7 | Low risk of bias/High methodological quality |
| Saaibi et al. [37], 1996 | 100 | Low risk of bias/High methodological quality |
| Clay & Anand [36],1996 | 93.7 | Low risk of bias/High methodological quality |
| Khabie et al. [35], 2003 | 100 | Low risk of bias/High methodological quality |
| Curi et al. [34], 2003 | 92.8 | Low risk of bias/High methodological quality |
| Yap [32], 2011 | 93.7 | Low risk of bias/High methodological quality |
| Romero-Cabello et al. [30], 2011 | 93.8 | Low risk of bias/High methodological quality |
| Marques De Macedo et al. [54], 2015 | 81.2 | Low risk of bias/High methodological quality |
| Ribeiro et al. [31], 2015 | 81.2 | Low risk of bias/High methodological quality |
| Sanke et al. [29], 2016 | 81.2 | Low risk of bias/High methodological quality |
| Ferreira et al. [28], 2016 | 87.6 | Low risk of bias/High methodological quality |
| Hessler et al. [17], 2016 | 87.5 | Low risk of bias/High methodological quality |
| Rueda et al. [27], 2018 | 93.8 | Low risk of bias/High methodological quality |
| Sun et al. [26], 2018 | 87.6 | Low risk of bias/High methodological quality |
| Reinprayoon et al. [23], 2020 | 100 | Low risk of bias/High methodological quality |
| Sendrasoa et al. [22], 2021 | 93.8 | Low risk of bias/High methodological quality |
| Zhuang et al. [20], 2022 | 100 | Low risk of bias/High methodological quality |
| Rakotoarisaona et al. [18], 2024 | 93.7 | Low risk of bias/High methodological quality |
| Case Series | ||
| Authors | % | Risk of Bias/Methodological Quality |
| Garrett & Robbins [51], 1960 | 50 | Moderate risk of bias |
| Lurie [53], 1963 | 72.2 | Low risk of bias/High methodological quality |
| Baum et al. [52], 1969 | 72.2 | Low risk of bias/High methodological quality |
| Winter & Pearson [48], 1972 | 66.6 | Moderate risk of bias |
| Serstock & Zinneman [47], 1975 | 77.7 | Low risk of bias/High methodological quality |
| Kluge & Hornick [46], 1976 | 77.7 | Low risk of bias/High methodological quality |
| Crout et al. [43], 1977 | 72.2 | Low risk of bias/High methodological quality |
| Friedman & Doyle [40], 1983 | 77.7 | Low risk of bias/High methodological quality |
| Appenzeller et al. [33], 2006 | 77.7 | Low risk of bias/High methodological quality |
| Mialski et al. [26], 2018 | 88.8 | Low risk of bias/High methodological quality |
| Furtado et al. [26], 2019 | 83.3 | Low risk of bias/High methodological quality |
| Martínez-Herrera et al. [21], 2021 | 82.6 | Low risk of bias/High methodological quality |
| Siqueira et al. [19], 2023 | 72.2 | Low risk of bias/High methodological quality |
Appendix B
| Citation | World Region/Country | Age | Sex | Exposure | Diagnostic | Species | Transmission | Clinical Form | Treatment | Outcome |
|---|---|---|---|---|---|---|---|---|---|---|
| Webster & Willander [50], 1957 | North America/USA | 30 | M | Yes | Classic | S. schenckii | Saprophytic | Osteoarticular | Potassium Iodide + Other Antifungals + Surgical | Cure |
| Garrett & Robbins [51], 1960 | North America/USA | 13 | F | Yes | Classic | S. schenckii | Saprophytic | Disseminated Cutaneous | Potassium Iodide | Cure |
| Garrett & Robbins [51], 1960 | North America/USA | 10 | F | Yes | Classic | S. schenckii | Saprophytic | Disseminated Cutaneous | Potassium Iodide | Cure |
| Lurie [53], 1963 | Africa/South Africa | 43 | M | Yes | Classic | S. schenckii | Saprophytic | Systemic | Potassium Iodide | Cure |
| Lurie [53], 1963 | Africa/South Africa | 50 | M | Yes | Classic | S. schenckii | Saprophytic | Systemic | Potassium Iodide | Cure |
| Lurie [53], 1963 | Africa/South Africa | 45 | M | Yes | Classic | S. schenckii | Saprophytic | Osteoarticular | Potassium Iodide + Other Antifungals | Cure |
| Lurie [53], 1963 | Africa/South Africa | 38 | M | Yes | Classic | S. schenckii | Saprophytic | Systemic | Antibacterials + Potassium Iodide + Other Antifungals + Adjuvants/Others | Cure |
| Baum et al. [52], 1969) | North America/USA | 34 | M | Yes | Classic | S. schenckii | Saprophytic | Pulmonary | Antibacterials + Polyenes + Surgical +Potassium Iodide. | Cure |
| Urabe & Nagashima [49], 1970 | Asia/Japan | 65 | M | Yes | Classic | S. schenckii | Saprophytic | Disseminated Cutaneous | Antibacterials + Other Antifungals + Potassium Iodide | Sequelae |
| Winter & Pearson [48], 1972 | North America/USA | 56 | M | Yes | Classic | S. schenckii | Saprophytic | Osteoarticular | Potassium Iodide | Cure |
| Winter & Pearson [48], 1972 | North America/USA | 47 | F | Yes | Classic | S. schenckii | Saprophytic | Osteoarticular | Polyenes | Clinical improvent |
| Winter & Pearson [48], 1972 | North America/USA | 51 | M | Yes | Classic | S. schenckii | Saprophytic | Osteoarticular | Polyenes | Clinical improvent |
| Winter & Pearson [48], 1972 | North America/USA | 64 | M | NI | Classic | S. schenckii | Saprophytic | Osteoarticular | Polyenes | Disease persists |
| Serstock & Zinneman [47], 1975 | North America/USA | 36 | M | Yes | Classic | S. schenckii | Saprophytic | Pulmonary | Polyenes + Surgical+ Antibacterials | Cure |
| Kluge & Hornick [46], 1976 | North America/USA | 47 | M | NI | Classic | S. schenckii | Saprophytic | Pulmonary | Antibacterials + Potassium Iodide + Polyenes | Death |
| Michelson [45], 1977 | North America/USA | 38 | M | NI | Classic | S. schenckii | Saprophytic | Pulmonary | Potassium Iodide + Surgical | Cure |
| Crout et al., [43], 1977 | North America/USA | 51 | M | Yes | Classic | S. schenckii | Saprophytic | Osteoarticular | Surgical | Death |
| Crout et al., [43], 1977 | North America/USA | 54 | M | Yes | Classic | S. schenckii | Saprophytic | Osteoarticular | Surgical + Polyenes | Sequelae |
| Crout et al., [43], 1977 | North America/USA | 25 | M | NI | Classic | S. schenckii | Saprophytic | Osteoarticular | Surgical + Polyenes | Clinical improvement |
| Beardmore [44], 1979 | Oceania/Australia | 41 | M | Yes | Classic | S. schenckii | Saprophytic | Disseminated Cutaneous | Potassium Iodide + Azoles + Other Antifungals + Polyenes | Cure |
| Matthews et al. [42], 1982 | Africa/South Africa | 56 | F | Yes | Classic | S. schenckii | Saprophytic | Systemic | Potassium Iodide + Polyenes | Cure |
| Shelley & Sica [41], 1983 | North America/USA | 39 | M | Yes | Classic | S. schenckii | Saprophytic | Systemic | Antibacterials + Potassium Iodide + Polyenes + Other Antifungals | Cure |
| Friedman & Doyle [40], 1983 | North America/USA | 71 | M | Yes | Classic | S. schenckii | Saprophytic | Mucosal | Polyenes | Clinical improvement |
| Friedman & Doyle [40], 1983 | North America/USA | 54 | M | Yes | Classic | S. schenckii | Saprophytic | Osteoarticular | Polyenes | Clinical improvement |
| Friedman & Doyle [40], 1983 | North America/USA | 25 | M | NI | Classic | S. schenckii | Saprophytic | Osteoarticular | Polyenes | Cure |
| Friedman & Doyle [40], 1983 | North America/USA | 52 | M | NI | Classic | S. schenckii | Saprophytic | Osteoarticular | Surgical | Death |
| Pérez et al. [56], 1992 | South America/Venezuela | 58 | M | Yes | Classic | S. schenckii | Zoonotic | Disseminated Cutaneous | Potassium Iodide + Azoles | Cure |
| Neafie & Marty [38], 1993 | North America/USA | 74 | M | NI | Classic | S. schenckii | Saprophytic | Disseminated Cutaneous | Surgical | Loss to follow-up |
| Saaibi et al. [37], 1996 | North America/USA | 36 | F | NI | Classic | S. schenckii | NI | Systemic | Azoles | Death |
| Clay & Anand [36],1996 | North America/USA | 0.25 | M | NI | Classic | S. schenckii | NI | Mucosal | Antibacterials + Surgery | Cure |
| Khabie et al. [35], 2003 | North America/USA | 1.58 | F | Yes | Culture +Serological | S. schenckii | Saprophytic | Mucosal | Antibacterials + Surgery + Adjuvants/Others + Polyenes | Cure |
| Curi et al. [34], 2003 | South America/Brazil | 18 | M | NI | Classic | S. schenckii | NI | Systemic | Polyenes | Cure |
| Appenzeller et al. [33], 2006 | South America/Brazil | 47 | M | Yes | Classic | S. schenckii | Saprophytic | Osteoarticular | Adjuvants/Others + Surgical + Azoles | Cure |
| Appenzeller et al. [33], 2006 | South America/Brazil | 35 | M | Yes | Classic | S. schenckii | Saprophytic | Osteoarticular | Surgical + Azoles | Cure |
| Yap [32], 2011 | Asia/Malaysia | 70 | F | Yes | Classic | S. schenckii | Saprophytic | Disseminated Cutaneous | Polyenes + Azoles | Cure |
| Romero-Cabello et al. [30], 2011 | Central America/Mexico | 36 | M | Yes | Classic | S. schenckii | Saprophytic | Systemic | Azoles + Potassium Iodide + Polyenes | Clinical improvement |
| Marques De Macedo et al. [54], 2015 | South America/Brazil | 9 | F | Yes | Classic +Serological | S. brasiliensis | Zoonotic | Mucosal | Potassium Iodide + Surgical | Cure |
| Ribeiro et al. [31], 2015 | South America/Brazil | 5 | M | Yes | Classic | S. schenckii | Zoonotic | Systemic | Polyenes + Azoles | Sequelae |
| Sanke et al. [29], 2016 | Asia/India | 54 | M | Yes | Classic | S. schenckii | Saprophytic | Disseminated Cutaneous | Antibacterials + Azoles + Potassium Iodide | Cure |
| Ferreira et al. [28], 2016 | South America/Brazil | 35 | M | Yes | Classic | S. schenckii | NI | Osteoarticular | Azoles | Sequelae |
| Hessler et al. [17], 2016 | North America/USA | 34 | M | Yes | Classical + Serological + Molecular | S. schenckii sensu stricto | Saprophytic | Systemic | Antibacterials + Azoles | Clinical improvement |
| Mialski et al. [26], 2018 | South America/Brazil | 46 | M | Yes | Classical + Serological + Molecular | S. brasiliensis | NI | Systemic | Antibacterials + Polyenes + Azoles | Sequelae |
| Mialski et al. [26], 2018 | South America/Brazil | 40 | M | Yes | Classical + Serological + Molecular | S. brasiliensis | NI | Systemic | Antibacterials + Polyenes | Sequelae |
| Rueda et al. [27], 2018 | South America/Peru | 42 | M | Yes | Classic | S. schenckii | Saprophytic | Mucosal | Not Informed | NI |
| Sun et al. [26], 2018 | Asia/Japan | 34 | F | No | Classic | S. schenckii | NI | Mucosal | Surgical + Azoles | Cure |
| Furtado et al. [26], 2019 | South America/Brazil | 50 | M | Yes | Classic | S. schenckii | Zoonotic | Mucosal | Azoles | Cure |
| Furtado et al. [26], 2019 | South America/Brazil | 46 | F | Yes | Classic | S. schenckii | Zoonotic | Mucosal | Azoles | Cure |
| Reinprayoon et al. [23], 2020 | Asia/Thailand | 42 | F | Yes | Classic + Molecular | S. schenckii sensu stricto | Zoonotic | Mucosal | Antibacterials + Adjuvants/Others | Cure |
| Sendrasoa et al. [22], 2021 | Africa/Madagascar | 34 | M | Yes | Classic + Molecular | S. schenckii sensu stricto | Saprophytic | Systemic | Azoles | Cure |
| Martínez-Herrera et al. [21], 2021 | Central America/Mexico | 21 | M | Yes | Classic + Molecular | S. schenckii sensu stricto | NI | Disseminated Cutaneous | Potassium Iodide | Cure |
| Zhuang et al. [20], 2022 | Asia/China | 47 | M | Yes | Classic + Molecular | S. globosa | Saprophytic | Disseminated Cutaneous | Antibacterials + Azoles + Potassium Iodide | Cure |
| Siqueira et al. [19], 2023 | South America/Brazil | 78 | F | Yes | Classical + Serological + Molecular | S. brasiliensis | Zoonotic | Osteoarticular | Antibacterials + Azoles + Polyenes | Sequelae |
| Siqueira et al. [19], 2023 | South America/Brazil | 37 | F | Yes | Classical + Serological + Molecular | S. brasiliensis | Zoonotic | Osteoarticular | Antibacterials + Adjuvants/Others + Azoles + Polyenes | Sequelae |
| Rakotoarisaona et al. [18], 2024 | Africa/Madagascar | 35 | M | Yes | Classical + Serological + Molecular | S. schenckii sensu stricto | Saprophytic | Disseminated Cutaneous | Azoles | Cure |
| Texeira et al. [55], 2024 | South America/Brazil | 25 | F | Yes | Classic | Sporothrix spp. | Zoonotic | Systemic | Azoles | Sequelae |
Appendix C
- Glossary
References
- World Health Organization. Sporotrichosis 2023. Available online: https://www.who.int/news-room/fact-sheets/detail/sporotrichosis (accessed on 31 August 2025).
- de Beer, Z.W.; Duong, T.A.; Wingfield, M.J. The divorce of Sporothrix and Ophiostoma: Solution to a problematic relationship. Stud. Mycol. 2016, 83, 165–191. [Google Scholar] [CrossRef]
- Hektoen, L.; Perkins, C.F. Refractory Subcutaneous Abscesses Caused by Schenckii. A New Pathogenic Fungus. J. Exp. Med. 1900, 5, 77. [Google Scholar] [CrossRef]
- Rodrigues, A.M.; Gonçalves, S.S.; de Carvalho, J.A.; Borba-Santos, L.P.; Rozental, S.; de Camargo, Z.P. Current Progress on Epidemiology Diagnosis Treatment of Sporotrichosis and Their Future Trends. J. Fungi 2022, 8, 776. [Google Scholar] [CrossRef]
- Gómez-Gaviria, M.; Baruch-Martínez, D.A.; Reis, N.F.; Baptista, A.R.d.S.; Mora-Montes, H.M. Current Insights into Sporothrix schenckii: From Basic Biology to Virulence Mechanisms. J. Fungi 2025, 12, 4. [Google Scholar] [CrossRef]
- Aroonvuthiphong, V.; Bangphoomi, N. Therapeutic alternatives for sporotrichosis induced by wild-type and non-wild-type Sporothrix schenckii through in vitro and in vivo assessment of enilconazole, isavuconazole, posaconazole, and terbinafine. Sci. Rep. 2025, 15, 3230. [Google Scholar] [CrossRef] [PubMed]
- Rodrigues, A.M.; de Hoog, G.S.; de Cássia Pires, D.; Brihante, R.S.N.; da Costa Sidrim, J.J.; Gadelha, M.F.; Colombo, A.L.; de Camargo, Z.P. Genetic diversity and antifungal susceptibility profiles in causative agents of sporotrichosis. BMC Infect. Dis. 2014, 14, 219. [Google Scholar] [CrossRef] [PubMed]
- Rodrigues, A.M.; Hagen, F.; de Camargo, Z.P. A Spotlight on Sporothrix and Sporotrichosis. Mycopathologia 2022, 187, 407–411. [Google Scholar] [CrossRef]
- Ramos-e-Silva, M.; Vasconcelos, C.; Carneiro, S.; Cestari, T. Sporotrichosis. Clin. Dermatol. View PDF View Artic. View Scopus 2007, 25, 181–187. [Google Scholar] [CrossRef]
- Kothari, R.; Varghese, J.; Bhatnagar, A.; Kishore, K.; Kumar, R. Dermoscopy of Fixed Cutaneous Sporotrichosis With a Follow-Up Till Cure: A Case Report. Cureus 2024, 16, e55960. [Google Scholar] [CrossRef]
- Kutty, V.; Soundaian, B.; Jeyaraman, B.; Manisekaran, S. Lymphocutaneous Sporotrichosis. Indian J. Paediatr. Dermatol. 2023, 24, 161–163. [Google Scholar] [CrossRef]
- Ramírez-Soto, M.C. Extracutaneous sporotrichosis. Clin. Microbiol. Rev. 2025, 38, e00140–24. [Google Scholar] [CrossRef] [PubMed]
- Alvarez, C.M.; Oliveira, M.M.E.; Pires, R.H. Sporotrichosis: A Review of a Neglected Disease in the Last 50 Years in Brazil. Microorganisms 2022, 10, 2152. [Google Scholar] [CrossRef]
- Shi, J.; Zhang, W.; Liu, X.; Li, M. Updates on Current Situation of Cutaneous Sporotrichosis: A Narrative Review. Int. J. Gen. Med. 2025, 18, 4863–4871. [Google Scholar] [CrossRef]
- de Lima Barros, M.B.; de Almeida Paes, R.; Schubach, A.O. Sporothrix schenckii and sporotrichosis. Clin. Microbiol. Rev. 2011, 24, 354–633. [Google Scholar] [CrossRef]
- Fichman, V.; Mota-Damasceno, C.G.; Procópio-Azevedo, A.C.; Almeida-Silva, F.; de Macedo, P.M.; Medeiros, D.M.; Astacio, G.S.M.; Zancopé-Oliveira, R.M.; Almeida-Paes, R.; Freitas, D.F.S.; et al. Pulmonary Sporotrichosis Caused by Sporothrix brasiliensis: A 22-Year, Single-Center, Retrospective Cohort Study. J. Fungi 2022, 8, 536. [Google Scholar] [CrossRef] [PubMed]
- Hessler, C.; Kauffman, C.A.; Chow, F.C. The Upside of Bias. Neurohospitalist 2016, 7, 30–34. [Google Scholar] [CrossRef]
- Rakotoarisaona, M.F.; Andrianarison, M.; Sendrasoa, F.A.; Rasamoelina, T.; Ramarozatovo, L.S.; Rabenja, F.R. Cutaneous disseminated sporotrichosis in an immunocompetent farmer. Med. Mycol. Case Rep. 2024, 43, 100626. [Google Scholar] [CrossRef] [PubMed]
- Siqueira, A.M.; D’Angioli, W.M.; Lapera, B.; de Souza, I.G.C.; Löwenthal, N.; Rossit, J.; Salles, S.D.A.N.; Machado, R.L.D.; da Rocha, E.M.D.S.; de Souza Baptista, A.R. Case Report: Osteomyelitis Due to Sporothrix brasiliensis in Two Immunocompetent Patients Requiring Surgical Amputation. Am. J. Trop. Med. Hyg. 2023, 109, 1351–1355. [Google Scholar] [CrossRef]
- Zhuang, K.; Dai, Y.; Zhou, Y.; Ke, Y.; Ran, X.; Ran, Y. Oral treatment with 10% potassium iodide solution for refractory cutaneous-disseminated sporotrichosis in an immunocompetent adult: Case report. Front. Microbiol. 2022, 13, 994197. [Google Scholar] [CrossRef]
- Martínez-Herrera, E.; Arenas, R.; Hernández-Castro, R.; Frías-De-León, M.G.; Rodríguez-Cerdeira, C. Uncommon Clinical Presentations of Sporotrichosis: A Two-Case Report. Pathogens 2021, 10, 1249. [Google Scholar] [CrossRef]
- Sendrasoa, F.A.; Ranaivo, I.M.; Sata, M.; Razanakoto, N.H.; Andrianarison, M.; Ratovonjanahary, V.; Raharolahy, O.; Rakotoarisaona, M.; Rasamoelina, T.; Andrianarivelo, M.R.; et al. Osteoarticular sporotrichosis in an immunocompetent patient. Med. Mycol. Case Rep. 2021, 32, 50–52. [Google Scholar] [CrossRef] [PubMed]
- Reinprayoon, U.; Jermjutitham, M.; Tirakunwichcha, S.; Banlunara, W.; Tulvatana, W.; Chindamporn, A. Conjunctival sporotrichosis from cat to human: Case report. Am. J. Ophthalmol. Case Rep. 2020, 20, 100898. [Google Scholar] [CrossRef] [PubMed]
- Furtado, L.D.O.; Biancardi, A.L.; Cravo, L.M.D.S.; Anjo, R.P.P.; Moraes, H.V.D. Esporotricose ocular: Manifestações atípicas. Rev. Bras. Oftalmol. 2019, 78, 59–61. [Google Scholar] [CrossRef]
- Sun, L.; Dong, Y.; Wang, X.; Shan, B.; Zhang, M. Dacryocystitis due to sporothrix inoculated vis an unusual mode. Medicine 2018, 97, e11182. [Google Scholar] [CrossRef]
- Mialski, R.; de Oliveira, J.N., Jr.; da Silva, L.H.; Kono, A.; Pinheiro, R.L.; Teixeira, M.J.; Gomes, R.R.; de Queiroz-Telles, F.; Pinto, F.G.; Benard, G. Chronic Meningitis and Hydrocephalus due to Sporothrix brasiliensis in Immunocompetent Adults: A Challenging Entity. In Open Forum Infectious Diseases; Oxford University Press: New York, NY, USA, 2018; Volume 5. [Google Scholar]
- Rueda, M.; Torres, N.; Bravo, F. Disseminated cutaneous sporotrichosis: An unusual case. Dermatol. Online J. 2018, 24. [Google Scholar] [CrossRef]
- Ferreira, L.C.; Barroso, P.F.; Tonomura, E.; Akiti, T.; Rodrigues, K.M.d.P. Osteomyelitis caused by Sporothrix schenckii in an immunocompetent patient. Rev. Soc. Bras. Med. Trop. 2016, 49, 527–529. [Google Scholar] [CrossRef]
- Sanke, S.; Gandhi, N.; Chander, R.; Jain, A.; Garg, T. Atypical cutaneous sporotrichosis in an immunocompetent adult: Response to potassium iodide. Indian J. Dermatol. 2016, 61, 236. [Google Scholar] [CrossRef]
- Romero-Cabello, R.; Bonifaz, A.; Romero-Feregrino, R.; Sánchez, C.J.; Linares, Y.; Zavala, J.T.; Romero, L.C.; Romero-Feregrino, R.; Vega, J.T.S. Disseminated sporotrichosis. Case Rep. 2011, 2011, bcr1020103404. [Google Scholar] [CrossRef]
- Ribeiro, B.N.D.F.; Ribeiro, R.N.D.F.; Penna, C.R.R.; Frota, A.C. Bone involvement by Sporothrix schenckii in an immunocompetent child. Pediatr. Radiol. 2015, 45, 1427–1430. [Google Scholar] [CrossRef]
- Yap, F.B.B. Disseminated cutaneous sporotrichosis in an immunocompetent individual. Int. J. Infect. Diseases. 2011, 15, e727–e729. [Google Scholar] [CrossRef]
- Appenzeller, S.; Amaral, T.N.; Amstalden, E.M.I.; Bertolo, M.B.; Neto, J.F.M.; Samara, A.M.; Fernandes, S.R.M. Sporothrix schenckii infection presented as monoarthritis: Report of two cases and review of the literature. Clin. Rheumatol. 2006, 25, 926–928. [Google Scholar] [CrossRef]
- Curi, A.L.L.; Félix, S.; Azevedo, K.M.L.; Estrela, R.; Villar, E.G.; Saraça, G. Retinal granuloma caused by Sporothrix schenckii. Am. J. Ophthalmol. 2003, 136, 205–207. [Google Scholar] [CrossRef] [PubMed]
- Khabie, N.; Boyce, T.G.; Roberts, G.D.; Thompson, D.M. Laryngeal sporotrichosis causing stridor in a young child. Int. J. Pediatr. Otorhinolaryngol. 2003, 67, 819–823. [Google Scholar] [CrossRef]
- Clay, B.M.; Anand, V.K. Sporotrichosis: Nasal obstruction in an infant. Am. J. Otolaryngol. 1996, 17, 75–77. [Google Scholar] [CrossRef]
- Saaibi, D.L.; Zúñiga-Montes, L.R.; Charry-Barrios, M.; Peña, M.; Palma, L.F.; Rondón, F.; Restrepo, J.F.; Faizal, M. Polyarticular Sporothrix schenckii Infection In an Immunocompetent Host. J. Clin. Rheumatol. 1996, 2, 215–220. [Google Scholar] [CrossRef] [PubMed]
- Neafie, R.C.; Marty, A.M. Unusual infections in humans. Clin. Microbiol. Rev. 1993, 6, 34–56. [Google Scholar] [CrossRef]
- Kosinski, R.M.; Axelrod, P.; Rex, J.H.; Burday, M.; Sivaprasad, R.; Wreiole, A. Sporothrix schenckii fungemia without disseminated sporotrichosis. J. Clin. Microbiol. 1992, 30, 501–503. [Google Scholar] [CrossRef] [PubMed]
- Friedman, S.J.; Doyle, J.A. Extracutaneous Sporotrichosis. Int. J. Dermatol. 1983, 22, 171–176. [Google Scholar] [CrossRef]
- Shelley, W.B.; Sica, P.A. Disseminate sporotrichosis of skin and bone cured with 5-fluorocytosine: Photosensitivity as a complication. J. Am. Acad. Dermatol. 1983, 8, 229–235. [Google Scholar] [CrossRef]
- Matthews, H.J.; Joubert, J.R.; Truter, F.C.; van der Walt, J.J. Systemic sporotrichosis: Pulmonary complications of a well-known cutaneous fungal disease. A case report. S. Afr. Med. J. 1982, 62, 451–453. [Google Scholar]
- Crout, J.E.; Brewer, N.S.; Tompkins, R.B. Sporotrichosis Arthritis. Ann. Intern. Med. 1977, 86, 294. [Google Scholar] [CrossRef]
- Beardmore, G.L. Recalcitrant Sporotrichosis: A Report of a Patient Treated with Various Therapies Including Oral Miconazole And 5-Fluokocytosine. Australas. J. Dermatol. 1979, 20, 10–13. [Google Scholar] [CrossRef]
- Michelson, E. Primary Pulmonary Sporotrichosis. Ann. Thorac. Surg. 1977, 24, 83–86. [Google Scholar] [CrossRef] [PubMed]
- Kluge, R.M.; Hornick, R.B. Sporotrichosis. South. Med. J. 1976, 69, 855–857. [Google Scholar] [CrossRef]
- Serstock, D.S.; Zinneman, H.H. Pulmonary and Articular Sporotrichosis. JAMA 1975, 233, 1291. [Google Scholar] [CrossRef]
- Winter, T.C.; Pearson, K.S. Systemic Sporothrixosis. Radiology 1972, 104, 579–583. [Google Scholar] [CrossRef]
- Urabe, H.; Nagashima, T. Gummatous Sporotrichosis. Int. J. Dermatol. 1970, 9, 301–303. [Google Scholar] [CrossRef]
- Webster, F.S.; Willander, D. Chronic sporotrichal synovitis of the knee. J. Bone Jt. Surg. Am. 1957, 39, 207–215. [Google Scholar] [CrossRef]
- Garrett, H.D.; Robbins, J.B. An Unusual Occurrence of Sporotrichosis. Arch. Dermatol. 1960, 82, 570. [Google Scholar] [CrossRef] [PubMed]
- Baum, G.L.; Donnerberg, R.L.; Stewart, D.; Mulligan, W.J.; Putnam, L.R. Pulmonary Sporotrichosis. N. Engl. J. Med. 1969, 280, 410–413. [Google Scholar] [CrossRef] [PubMed]
- Lurie, H.I. Five unusual cases of sporotrichosis from South Africa showing lesions in muscles, bones, and viscera. Br. J. Surg. 1963, 50, 585–591. [Google Scholar] [CrossRef] [PubMed]
- Marques de Macedo, P.; Sztajnbok, D.C.N.; Camargo, Z.P.; Rodrigues, A.M.; Lopes-Bezerra, L.M.; Bernardes-Engemann, A.R.; Orofino-Costa, R. Dacryocystitis due to Sporothrix brasiliensis: A case report of a successful clinical and serological outcome with low-dose potassium iodide treatment and oculoplastic surgery. Br. J. Dermatol. 2015, 172, 1116–1119. [Google Scholar] [CrossRef] [PubMed]
- Teixeira, C.R.L.; de Souza, I.A.B.; Marquetotti, D.A.; Sampaio, G.N.; Alves, L.N.; Jeronimo, M.K.; Vilela, R.V.R.; Rocha, R.D.R.; Ferreira, R.A. Esporotricose zoonótica ocupacional de evolução atípica e refratária ao tratamento com itraconazol. Rev. Médica Minas Gerais 2024, 34, 1–10. [Google Scholar]
- Pérez, R.H.; Torres Borregales, E.; Mendez MGDe Sauerteig, E.; Salfelder, K. Symmetrical deforming cutaneous sporotrichosis of long duration Symmetrische, deformierende, langdauernde Sporotrichose der Haut. Mycoses 1992, 35, 43–45. [Google Scholar] [CrossRef]
- Page, M.J.; McKenzie, J.E.; Bossuyt, P.M.; Boutron, I.; Hoffmann, T.C.; Mulrow, C.D.; Shamseer, L.; Tetzlaff, J.M.; Akl, E.A.; Brennan, S.E.; et al. The PRISMA 2020 statement: An updated guideline for reporting systematic reviews. BMJ 2021, 372, n71. [Google Scholar] [CrossRef]
- Moola, S.; Munn, Z.; Tufanaru, C.; Aromataris, E.; Sears, K.; Sfetcu, R.; Currie, M.; Qureshi, R.; Mattis, P.; Lisy, K.M.P.F.; et al. Chapter 7: Systematic reviews of etiology and risk. In JBI Reviewer’s Manual; JBI: Sydney, Australia, 2019. [Google Scholar]
- Munn, Z.; Barker, T.H.; Moola, S.; Tufanaru, C.; Stern, C.; McArthur, A.; Stephenson, M.; Aromataris, E. Methodological quality of case series studies: An introduction to the JBI critical appraisal tool. JBI Evid. Synth. 2020, 18, 2127–2133. [Google Scholar] [CrossRef]
- Queiroz-Telles, F.; Buccheri, R.; Benard, G. Sporotrichosis in immunocompromised hosts. J. Fungi 2019, 5, 8. [Google Scholar] [CrossRef]
- Hernández-Castro, R.; Pinto-Almazán, R.; Arenas, R.; Sánchez-Cárdenas, C.D.; Espinosa-Hernández, V.M.; Sierra-Maeda, K.Y.; Conde-Cuevas, E.; Juárez-Durán, E.R.; Xicohtencatl-Cortes, J.; Carrillo-Casas, E.M.; et al. Epidemiology of Clinical Sporotrichosis in the Americas in the Last Ten Years. J. Fungi 2022, 8, 588. [Google Scholar] [CrossRef]
- Morgado, D.S.; Castro, R.; Ribeiro-Alves, M.; Corrêa-Moreira, D.; Silva, J.C.A.D.L.E.; Menezes, R.C.; Oliveira, M.M.E. Systematic review of literature to evaluate global distribution of species of the Sporothrix genus stored in culture collections. Front. Cell Infect. Microbiol. 2024, 14, 1382508. [Google Scholar] [CrossRef]
- Fuchs, T.; Visagie, C.M.; Wingfield, B.D.; Wingfield, M.J. Sporothrix and Sporotrichosis: A South African Perspective on a Growing Global Health Threat. Mycoses 2024, 67, e13806. [Google Scholar] [CrossRef] [PubMed]
- Della Terra, P.P.; Rodrigues, A.M.; Fernandes, G.F.; Nishikaku, A.S.; Burger, E.; de Camargo, Z.P. Exploring virulence and immunogenicity in the emerging pathogen Sporothrix brasiliensis. PLoS Negl. Trop. Dis. 2017, 11, e0005903. [Google Scholar] [CrossRef]
- Marimon, R.; Cano, J.; Gené, J.; Sutton, D.A.; Kawasaki, M.; Guarro, J. Sporothrix brasiliensis, S. globosa, and S. mexicana, Three New Sporothrix Species of Clinical Interest. J. Clin. Microbiol. 2007, 45, 3198–3206. [Google Scholar] [CrossRef] [PubMed]
- Poester, V.R.; Xavier, M.O.; Munhoz, L.S.; Basso, R.P.; Zancopé-Oliveira, R.M.; Freitas, D.F.S.; Pasqualotto, A.C. Sporothrix brasiliensis Causing Atypical Sporotrichosis in Brazil: A Systematic Review. J. Fungi 2024, 10, 287. [Google Scholar] [CrossRef]
- Oliveira, M.; Paes, R.; Muniz, M.; Galhardo, M.C.; Zancope-Oliveira, R. Phenotypic and Molecular Identification of Sporothrix Isolates from an Epidemic Area of Sporotrichosis in Brazil. Mycopathologia 2011, 172, 257–267. [Google Scholar] [CrossRef]
- Matute, D.R.; de Melo Teixeira, M. Sporothrix is neglected among the neglected. PLoS Pathog. 2025, 21, e1012898. [Google Scholar] [CrossRef]
- Schubach, A.; Maria, T.; Schubach, P.; Bastos De Lima Barros, M.; Wanke, B. Cat-transmitted Sporotrichosis, Rio de Janeiro, Brazil. Emerg. Infect. Dis. 2005, 11, 1952. [Google Scholar] [CrossRef]
- Barros, M.D.L.; Schubach, A.D.O.; Schubach, T.M.; Wanke, B.; Lambert-Passos, S.R. An epidemic of sporotrichosis in Rio de Janeiro, Brazil: Epidemiological aspects of a series of cases. Epidemiol. Infect. 2008, 136, 1192–1196. [Google Scholar] [CrossRef]
- Macêdo-Sales, P.A.; Souto, S.R.; Destefani, C.A.; Lucena, R.P.; Machado, R.L.D.; Pinto, M.R.; Rodrigues, A.M.; Lopes-Bezerra, L.M.; Rocha, E.M.; Baptista, A.R.S. Domestic feline contribution in the transmission of Sporothrix in Rio de Janeiro State, Brazil: A comparison between infected and non-infected populations. BMC Vet. Res. 2018, 14, 19. [Google Scholar] [CrossRef]
- Dos Santos, A.R.; Misas, E.; Min, B.; Le, N.; Bagal, U.R.; Parnell, L.A.; Sexton, D.J.; Lockhart, S.R.; Melhem, M.D.S.C.; Takahashi, J.P.F.; et al. Emergence of zoonotic sporotrichosis in Brazil: A genomic epidemiology study. Lancet Microbe 2024, 5, e282–e290. [Google Scholar] [CrossRef] [PubMed]
- Chieosilapatham, P.; Chuamanochan, M.; Chiewchavit, S.; Saikruatep, R.; Amornrungsun, E.; Preechasuth, K. Sporothrix schenckii sensu stricto related to zoonotic transmission in Thailand. Med. Mycol. Case Rep. 2023, 41, 44–47. [Google Scholar] [CrossRef] [PubMed]
- Brasil. Ministério da Saúde. Portaria GM/MS no 6.734, de 18 de Março de 2025. Brasília. 2025. Available online: https://bvsms.saude.gov.br/bvs/saudelegis/gm/2025/prt6734_31_03_2025.html (accessed on 11 December 2025).
- Medvedev, A.E. Toll-Like Receptor Polymorphisms, Inflammatory and Infectious Diseases, Allergies, and Cancer. J. Interferon Cytokine Res. 2013, 33, 467–484. [Google Scholar] [CrossRef]
- Carvalho, A.; Pasqualotto, A.C.; Pitzurra, L.; Romani, L.; Denning, D.W.; Rodrigues, F. Polymorphisms in Toll-Like Receptor Genes and Susceptibility to Pulmonary Aspergillosis. J. Infect. Dis. 2008, 197, 618–621. [Google Scholar] [CrossRef]
- Nava-Pérez, N.; Neri-García, L.G.; Romero-González, O.E.; García-Carnero, L.C.; Mora-Montes, H.M.; Terrones-Cruz, J.A. Biological and Clinical Attributes of Sporothrix globosa, a Causative Agent of Sporotrichosis. Infect. Drug Resist. 2022, 15, 2067–2090. [Google Scholar] [CrossRef] [PubMed]
- Cheng, S.; Zheng, S.; Zhong, M.; Gyawali, K.R.; Pan, W.; Xu, M.; Huang, H.; Huang, X. Current situation of sporotrichosis in China. Future Microbiol. 2024, 19, 1097–1106. [Google Scholar] [CrossRef] [PubMed]
- De Carvalho, J.A.; Beale, M.A.; Hagen, F.; Fisher, M.C.; Kano, R.; Bonifaz, A.; Toriello, C.; Negroni, R.; Rego, R.D.M.; Gremião, I.D.F.; et al. Trends in the molecular epidemiology and population genetics of emerging Sporothrix species. Stud. Mycol. 2021, 100, 100129. [Google Scholar] [CrossRef]
- Rodrigues, A.M.; de Hoog, G.S.; de Camargo, Z.P. Molecular Diagnosis of Pathogenic Sporothrix Species. PLoS Negl. Trop. Dis. 2015, 9, e0004190. [Google Scholar] [CrossRef]
- Orofino-Costa, R.; de Macedo, P.M.; Rodrigues, A.M.; Bernardes-Engemann, A.R. Sporotrichosis: An update on epidemiology, etiopathogenesis, laboratory and clinical therapeutics. An. Bras. Dermatol. 2017, 92, 606–620. [Google Scholar] [CrossRef] [PubMed]
- Siqueira, A.M. Avaliação Clínico-Epidemiológica E Molecular Da Esporotricose Humana No Leste Fluminense Do Estado Do Rio Niterói. 2017. Available online: https://app.uff.br/riuff/handle/1/6172 (accessed on 12 October 2025).
- Welch, E.; Yeon, J. GD05: Clinical interventions for cutaneous sporotrichosis. Br. J. Dermatol. 2022, 187, 178. [Google Scholar] [CrossRef]
- Vuong, N.N.; Kontoyiannis, D.P. Can We Have Guidelines or Just Guidance for Rare Fungal Infections? J. Fungi 2025, 11, 666. [Google Scholar] [CrossRef]
- Freitas, D.F.; Lima, M.A.; de Almeida-Paes, R.; Lamas, C.C.; do Valle, A.C.; Oliveira, M.M.; Zancopé-Oliveira, R.M.; Gutierrez-Galhardo, M.C. Sporotrichosis in the Central Nervous System Caused by Sporothrix brasiliensis. Clin. Infect. Dis. 2015, 61, 663–664. [Google Scholar] [CrossRef]
- de Sousa, B.I.C.; Ferreira, L.C.F.; de Lima, M.M.R.; Netto, J.D.S.B.; Astacio, G.S.M.; Bernardes-Engemann, A.R.; de Macedo, P.M.; Gutierrez-Galhardo, M.C.; Freitas, D.F.S. Osteoarticular Sporotrichosis of the Knee Caused by Sporothrix brasiliensis: Two Similar Cases with Different Outcomes. J. Fungi 2023, 9, 956. [Google Scholar] [CrossRef]
- Ramos, V.; Astacio, G.S.M.; do Valle, A.C.F.; de Macedo, P.M.; Lyra, M.R.; Almeida-Paes, R.; Oliveira, M.M.E.; Zancopé-Oliveira, R.M.; Brandão, L.G.P.; Quintana, M.S.B.; et al. Bone sporotrichosis: 41 cases from a reference hospital in Rio de Janeiro, Brazil. PLOS Neglected Trop. Dis. 2021, 15, e0009250. [Google Scholar] [CrossRef] [PubMed]




| Citation | World Region/Country | Study Design | Cases in the Article | Unusual Cases | Age (Year) And Sex | Laboral/Recreation Exposure |
|---|---|---|---|---|---|---|
| Webster & Willander [50], 1957 | North America/USA | Case report | 1 | 1 | 30 (M) | YES |
| Garrett & Robbins [51], 1960 | North America/USA | Series of Cases | 8 | 2 | 13 (F) 10(F) | YES (2) |
| Lurie [53], 1963 | Africa/South Africa | Series of Cases | 5 | 4 | 43 (M)/50 (M)/45 (M)/38 (M) | YES (4) |
| Baum et al. [52], 1969 | North America/USA | Series of Cases | 4 | 1 | 34 (M) | YES |
| Urabe & Nagashima [49], 1970 | Asia/Japan | Case report | 1 | 1 | 65 (M) | YES |
| Winter & Pearson [48], 1972 | North America/USA | Series of Cases | 5 | 4 | 56 (M), 47 (F), 51 (M), 64 (M) | YES (3) + NI (1) |
| Serstock & Zinneman [47], 1975 | North America/USA | Series of Cases | 2 | 1 | 36 (M) | YES |
| Kluge &Hornick [46], 1976 | North America/USA | Series of Cases | 2 | 1 | 47 (M) | NI |
| Michelson [45], 1977 | North America/USA | Case report | 1 | 1 | 38 (M) | NI |
| Crout et al. [43], 1977 | North America/USA | Series of Cases | 7 | 3 | 51 (M)/54 (M)/25 (M) | YES (2) NI (1) |
| Beardmore [44], 1979 | Oceania/Australia | Case report | 1 | 1 | 41 (M) | YES |
| Matthews et al. [42], 1982 | Africa/South Africa | Case report | 1 | 1 | 56 (F) | YES |
| Shelley & Sica [41], 1983 | North America/USA | Case report | 1 | 1 | 39 (M) | YES |
| Friedman & Doyle [40], 1983 | North America/USA | Series of Cases | 11 | 4 | 71 (M)/54 (M)/25 (M)/ 52 (M) | YES (2) NI (2) |
| Pérez et al. [56], 1992 | South America/ Venezuela | Case report | 1 | 1 | 58 (M) | YES |
| Neafie & Marty [38], 1993 | North America/USA | Case report | 1 | 1 | 74 (M) | NI |
| Saaibi et al. [37], 1996 | North America/USA | Case report | 1 | 1 | 36 (F) | NI |
| Clay & Anand [36],1996 | North America/USA | Case report | 1 | 1 | 3 months (M) | NI |
| Khabie et al. [35], 2003 | North America/USA | Case report | 1 | 1 | 19 months (F) | YES |
| Curi et al. [34], 2003 | South America/Brazil | Case report | 1 | 1 | 18 (M) | NI |
| Appenzeller et al. [33], 2006 | South America/Brazil | Series of Cases | 2 | 2 | 47 (M)/35 (M) | YES (2) |
| Yap [32], 2011 | Asia/Malaysia | Case report | 1 | 1 | 70 (F) | YES |
| Romero-Cabello et al. [30], 2011 | North America/Mexico | Case report | 1 | 1 | 36 (M) | YES |
| Marques De Macedo et al. [54], 2015 | South America/Brazil | Case report | 1 | 1 | 9 (F) | YES |
| Ribeiro et al. [31], 2015 | South America/Brazil | Case report | 1 | 1 | 5 (M) | YES |
| Sanke et al. [29], 2016 | Asia/India | Case report | 1 | 1 | 54 (M) | YES |
| Ferreira et al. [28], 2016 | South America/Brazil | Case report | 1 | 1 | 35 (M) | YES |
| Hessler et al. [17], 2016 | North America/USA | Case report | 1 | 1 | 34 (M) | YES |
| Mialski et al. [26], 2018 | South America/Brazil | Series of Cases | 2 | 2 | 46 (M)/40 (M) | YES (2) |
| Rueda et al. [27], 2018 | South America /Peru | Case report | 1 | 1 | 42 (M) | YES |
| Sun et al. [26], 2018 | Asia/Japan | Case report | 1 | 1 | 34 (F) | NO |
| Furtado et al. [26], 2019 | South America /Brazil | Series of Cases | 2 | 2 | 50 (M), 46 (F) | YES (2) |
| Reinprayoon et al. [23], 2020 | Asia/Thailand | Case report | 1 | 1 | 42 (F) | YES |
| Sendrasoa et al. [22], 2021 | Africa/Madagascar | Case report | 1 | 1 | 34 (M) | YES |
| Martínez-Herrera et al. [21], 2021 | North America/Mexico | Series of Cases | 2 | 1 | 21 (M) | YES |
| Zhuang et al. [20], 2022 | Asia/China | Case report | 1 | 1 | 47 (M) | YES |
| Siqueira et al. [19], 2023 | South America/Brazil | Series of Cases | 2 | 2 | 78 (F), 37 (F) | YES (2) |
| Rakotoarisaona et al. [18], 2024 | Africa/Madagascar | Case report | 1 | 1 | 35 (M) | YES |
| Texeira et al. [55], 2024 | South America/Brazil | Case report | 1 | 1 | 25 (F) | YES |
Disclaimer/Publisher’s Note: The statements, opinions and data contained in all publications are solely those of the individual author(s) and contributor(s) and not of MDPI and/or the editor(s). MDPI and/or the editor(s) disclaim responsibility for any injury to people or property resulting from any ideas, methods, instructions or products referred to in the content. |
© 2026 by the authors. Licensee MDPI, Basel, Switzerland. This article is an open access article distributed under the terms and conditions of the Creative Commons Attribution (CC BY) license.
Share and Cite
da Silva, J.A.; Santos, A.L.d.; Rodrigues, J.A.d.C.; Pires, M.d.P.; Cerilo-Filho, M.; Benard, G.; Silva, J.R.S.; Machado, R.L.D.; da Silva, J.D.; Mora-Montes, H.M.; et al. Unusual Sporotrichosis: A New Concept Proposal on the Unexpected Faces of Sporothrix spp. Infection. J. Fungi 2026, 12, 155. https://doi.org/10.3390/jof12020155
da Silva JA, Santos ALd, Rodrigues JAdC, Pires MdP, Cerilo-Filho M, Benard G, Silva JRS, Machado RLD, da Silva JD, Mora-Montes HM, et al. Unusual Sporotrichosis: A New Concept Proposal on the Unexpected Faces of Sporothrix spp. Infection. Journal of Fungi. 2026; 12(2):155. https://doi.org/10.3390/jof12020155
Chicago/Turabian Styleda Silva, Jayne Araújo, Adriany Lucas dos Santos, Júlia Andrade de Castro Rodrigues, Mariana de Paula Pires, Marcelo Cerilo-Filho, Gil Benard, José Rodrigo Santos Silva, Ricardo Luiz Dantas Machado, Jéssica Dornelas da Silva, Héctor Manuel Mora-Montes, and et al. 2026. "Unusual Sporotrichosis: A New Concept Proposal on the Unexpected Faces of Sporothrix spp. Infection" Journal of Fungi 12, no. 2: 155. https://doi.org/10.3390/jof12020155
APA Styleda Silva, J. A., Santos, A. L. d., Rodrigues, J. A. d. C., Pires, M. d. P., Cerilo-Filho, M., Benard, G., Silva, J. R. S., Machado, R. L. D., da Silva, J. D., Mora-Montes, H. M., Alves, G. G., & Baptista, A. R. d. S. (2026). Unusual Sporotrichosis: A New Concept Proposal on the Unexpected Faces of Sporothrix spp. Infection. Journal of Fungi, 12(2), 155. https://doi.org/10.3390/jof12020155

