High Host Preferences in Epiphytic Lichens Across Diverse Phorophyte Species in the Mediterranean Region
Abstract
1. Introduction
2. Materials and Methods
2.1. Data Set
2.2. Data Analyses
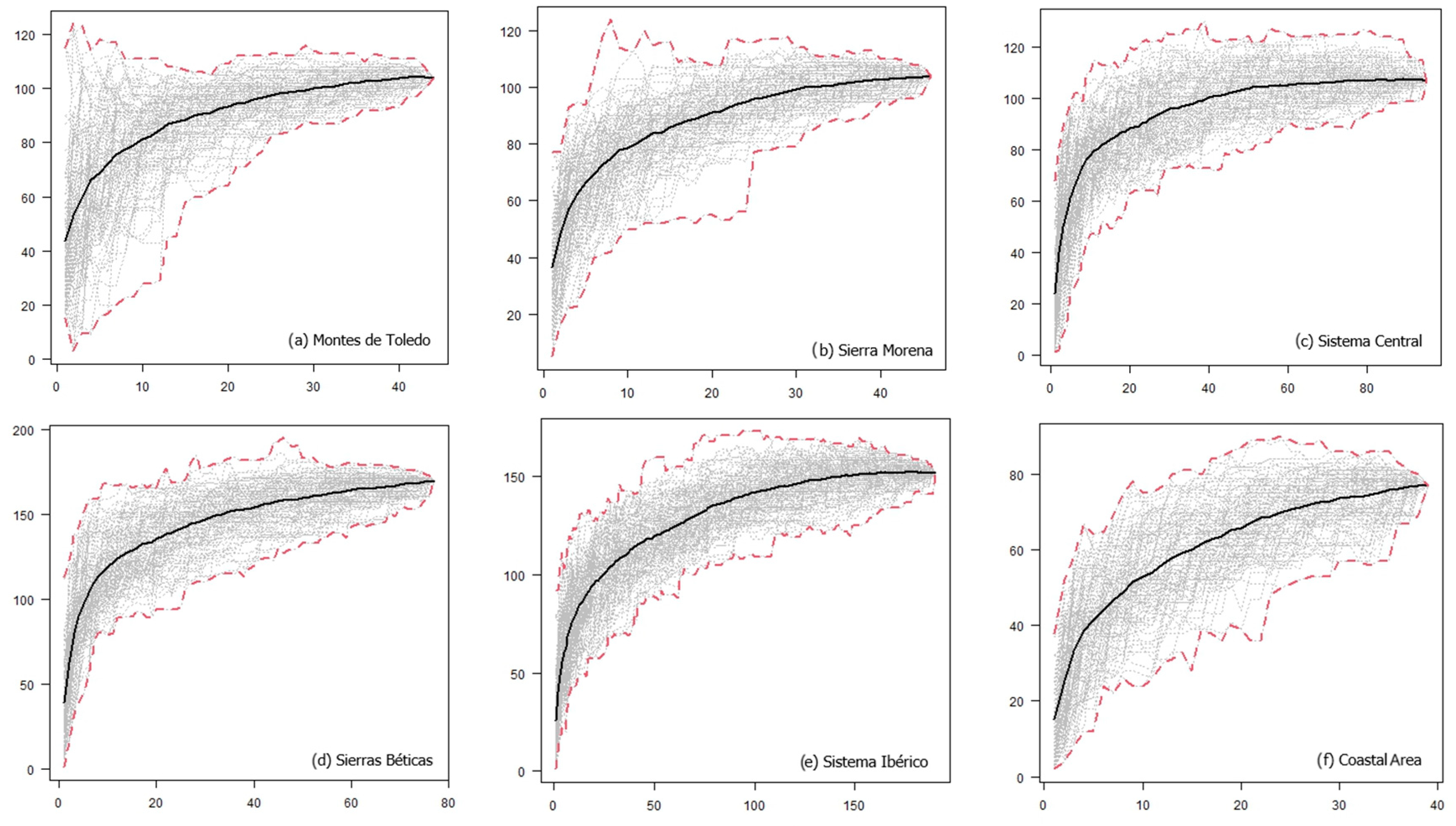
3. Results
4. Discussion
5. Conclusions
Supplementary Materials
Author Contributions
Funding
Institutional Review Board Statement
Informed Consent Statement
Data Availability Statement
Acknowledgments
Conflicts of Interest
References
- Jüriado, I.; Liira, J.; Paal, J.; Suija, A. Tree and stand level variables influencing diversity of lichens on temperate broad–leaved trees in boreo–nemoral floodplain forests. Biodivers. Conserv. 2009, 18, 105–125. [Google Scholar] [CrossRef]
- Thor, G.; Johansson, P.; Jönsson, M.T. Lichen diversity and red–listed lichen species relationships with tree species and diameter in wooded meadows. Biodivers. Conserv. 2010, 19, 2307–2328. [Google Scholar] [CrossRef]
- Király, I.; Nascimbene, J.; Tinya, F.; Ódor, P. Factors influencing epiphytic bryophyte and lichen species richness at different spatial scales in managed temperate forests. Biodivers. Conserv. 2013, 22, 209–223. [Google Scholar] [CrossRef]
- Benítez, Á.; Aragón, G.; Prieto, M. Lichen diversity on tree trunks in tropical dry forests is highly influenced by host tree traits. Biodivers. Conserv. 2019, 28, 2909–2929. [Google Scholar] [CrossRef]
- Cáceres, M.E.; Lücking, R.; Rambold, G. Phorophyte specificity and environmental parameters versus stochasticity as determinants for species composition of corticolous crustose lichen communities in the Atlantic rain forest of northeastern Brazil. Mycol. Progr. 2007, 6, 117–136. [Google Scholar] [CrossRef]
- Marmor, L.; Randlane, T.; Jüriado, I.; Saag, A. Host tree preferences of red–listed epiphytic lichens in Estonia. Balt. For. 2017, 23, 364–373. [Google Scholar]
- Brodo, I.M. Substrate ecology. In The Lichens; Ahmadjian, V., Hale, M.E., Eds.; Academic Press: Cambridge, MA, USA, 1973; pp. 401–441. [Google Scholar]
- Loppi, S.; Frati, L. Influence of tree substrate on the diversity of epiphytic lichens: Comparison between Tilia platyphyllos and Quercus ilex (Central Italy). Bryologist 2004, 107, 340–344. [Google Scholar] [CrossRef]
- Fritz, Ö.; Heilmann–Clausen, J. Rot holes create key microhabitats for epiphytic lichens and bryophytes on beech (Fagus sylvatica). Biol. Conserv. 2010, 143, 1008–1016. [Google Scholar] [CrossRef]
- Nascimbene, J.; Nimis, P.L.; Dainese, M. Epiphytic lichen conservation in the Italian Alps: The role of forest type. Fungal Ecol. 2014, 11, 164–172. [Google Scholar] [CrossRef]
- González–Montelongo, C.; Pérez–Vargas, I. Together Apart: Evaluating Lichen–Phorophyte Specificity in the Canarian Laurel Forest. J. Fungi 2022, 8, 1031. [Google Scholar] [CrossRef]
- Mežaka, A.; Brūmelis, G.; Piterāns, A. The distribution of epiphytic bryophyte and lichen species in relation to phorophyte characters in Latvian natural old–growth broad leaved forests. Folia Cryptog. Est. 2008, 44, 89–99. [Google Scholar]
- Käffer, M.I.; Ganade, G.; Marcelli, M.P. Lichen diversity and composition in Araucaria forests and tree monocultures in southern Brazil. Biodivers. Conserv. 2009, 18, 3543–3561. [Google Scholar] [CrossRef]
- Rosabal, D.; Burgaz, A.R.; Reyes, O.J. Substrate preferences and phorophyte specificity of corticolous lichens on five tree species of the montane rainforest of Gran Piedra, Santiago de Cuba. Bryologist 2013, 116, 113–121. [Google Scholar] [CrossRef]
- Zárate–Arias, N.; Moreno–Palacios, M.; Torres–Benítez, A. Diversidad, especificidad de forófito y preferencias microambientales de líquenes cortícolas de un bosque subandino en la región Centro de Colombia. Rev. Acad. Colomb. Cienc. Exactas 2019, 43, 737–745. [Google Scholar] [CrossRef]
- Carmer, M.B. Corticolous lichens of riparian deciduous trees in the central front range of Colorado. Bryologist 1975, 78, 44–56. [Google Scholar] [CrossRef]
- Schmitt, C.K.; Slack, N.G. Host Specificity of Epiphytic Lichens and Bryophytes: A Comparison of the Adirondack Mountains (New York) and the Southern Blue Ridge Mountains (North Carolina). Bryologist 1990, 93, 257–274. [Google Scholar] [CrossRef]
- Soto, E.; Lücking, R.; Bolaños, A. Especificidad de forófito y preferencias microambientales de los líquenes cortícolas en cinco forófitos del bosque premontano de la finca Zíngara, Cali, Colombia. Rev. Biol. Trop. 2012, 60, 843–856. [Google Scholar] [CrossRef]
- Joshi, Y.; Tripathi, M.; Jinnah, Z.; Bisht, K.; Upreti, D. Host specificity of epiphytic macrolichens: A case study of Jageshwar forest (Uttarakhand) India. Trop. Ecol. 2016, 57, 1–8. [Google Scholar]
- Simijaca, D.; Moncada, B.; Lücking, R. Bosque de roble o plantación de coníferas, ¿qué prefieren los líquenes epífitos? Colomb. Forest. 2018, 21, 123–141. [Google Scholar] [CrossRef]
- Thirgood, J.V. Man and the Mediterranean Forest: A History of Resource Depletion; Academic Press: Cambridge, MA, USA, 1981. [Google Scholar]
- Charco, J. La Regeneración Natural del Bosque Mediterráneo en la Península Ibérica: Evaluación de Problemas y Propuesta de Soluciones; Asociación para la Recuperación de los Bosques Autóctonos ARBA: Madrid, Spain, 2002. [Google Scholar]
- Blondel, J.; Bodiou, J.-Y.; Boeuf, G. The Mediterranean Region: Biological Diversity in Space and Time; Oxford University Press: Oxford, UK, 2010; 376p. [Google Scholar]
- Sáinz, H.; Blanco, E.; Morla, C.; Costa, M. Los Bosques Ibéricos: Una Interpretación Geobotánica, 4th ed.; Editorial Planeta: Barcelona, Spain, 2005; 572p. [Google Scholar]
- Hurtado, P.; Aragón, G.; Vicente, M.; Dalsgaard, B.; Krasnov, B.R.; Calatayud, J. Generalism in species interactions is more the consequence than the cause of ecological success. Nat. Ecol. Evol. 2024, 8, 1602–1611. [Google Scholar] [CrossRef] [PubMed]
- Fuertes, E.; Burgaz, A.R.; Escudero, A. Pre-climax epiphyte communities of bryophytes and lichens in Mediterranean forests from the Central Plateau (Spain). Vegetatio 1996, 123, 139–151. [Google Scholar] [CrossRef]
- Aragón, G.; Martínez, I.; Izquierdo, P.; Belinchón, R.; Escudero, A. Effects of forest management on epiphytic lichen diversity in Mediterranean forests. Appl. Veg. Sci. 2010, 13, 183–194. [Google Scholar] [CrossRef]
- Burgaz, A.R.; Fuertes, E.; Escudero, A. Climax epiphytic communities in Mediterranean Spain. Bot. J. Linn. Soc. 1994, 115, 35–47. [Google Scholar] [CrossRef]
- Aragón, G.; Martínez, I.; Belinchón, R. Aportación al conocimiento de los líquenes epífitos de Pinus halepensis, P. nigra, P. pinaster y P. sylvestris en la Península Ibérica. Bot. Complut. 2006, 30, 61–70. [Google Scholar]
- Llimona, X.; Hladun, N.L. Checklist of the lichens and lichenicolous fungi of the Iberian Peninsula and Balearic Islands. Bocconea 2001, 14, 1–581. [Google Scholar]
- Burgaz, A.R. Bibliografía Botánica Ibérica, 2016. Líquenes. Bot. Complut. 2017, 41, 109–113. [Google Scholar] [CrossRef]
- Burgaz, A.R. Bibliografía botánica ibérica, 2017. Líquenes. Bot. Complut. 2018, 42, 181–185. [Google Scholar] [CrossRef]
- Colwell, R.K.; Coddington, J.A. Estimating terrestrial biodiversity through extrapolation. Philos. Trans. R. Soc. Lond. B Biol. Sci. 1994, 345, 101–118. [Google Scholar] [CrossRef] [PubMed]
- Oksanen, J.; Blanchet, F.G.; Friendly, M.; Kindt, R.; Legendre, P.; McGlinn, D.; Minchin, P.R.; O’Hara, R.B.; Simpson, G.L.; Solymos, P.; et al. Vegan: Community Ecology Package, R Package Version 2.6–8; CRAN: Wien, Austria, 2024. [CrossRef]
- R Core Team. R: A Language and Environment for Statistical Computing; R Foundation for Statistical Computing: Vienna, Austria, 2022; Available online: https://www.r-project.org/ (accessed on 12 June 2024).
- Nash, T.H. III. Lichen Biology; Cambridge University Press: Cambridge, UK, 2008. [Google Scholar] [CrossRef]
- Wagner, K.; Mendieta–Leiva, G.; Zotz, G. Host specificity in vascular epiphytes: A review of methodology, empirical evidence and potential mechanisms. AoB Plants 2015, 7, plu092. [Google Scholar] [CrossRef] [PubMed]
- Barkman, J.J. Phytosociology and Ecology of Criptogamic Epiphytes; Van Gorcum: Assen, The Netherlands, 1958. [Google Scholar]
- Patiño, J.; González–Mancebo, J.M. Exploring the effect of host tree identity on epiphyte bryophyte communities in different Canarian subtropical cloud forests. Plant Ecol. 2011, 212, 433–449. [Google Scholar] [CrossRef]
- Fos, S. Líquenes epífitos de los alcornocales ibéricos. Correlaciones bioclimáticas, anatómicas y densimétricas con el corcho de reproducción. Guineana 1998, 4, 1–507. [Google Scholar]
- Johansson, D. Ecology of vascular epiphytes in West African rain forest. Acta Phytogeogr. Suec. 1974, 59, 1–136. [Google Scholar]
- Mehltreter, K.; Flores-Palacios, A.; García-Franco, J.G. Host preferences of low-trunk vascular epiphytes in a cloud forest of Veracruz, Mexico. J. Trop. Ecol. 2005, 21, 651–660. [Google Scholar] [CrossRef]
- Löbel, S.; Snäll, T.; Rydin, H. Metapopulation processes in epiphytes inferred from patterns of regional distribution and local abundance in fragmented forest landscapes. J. Ecol. 2006, 94, 856–868. [Google Scholar] [CrossRef]
- Martinez, I.; Aragon, G.; Sarrión, F.J.; Escudero, A.; Burgaz, A.R.; Coppins, B.J. Threatened lichens in central Spain (saxicolous species excluded). Cryptogam. Mycol. 2003, 24, 73–97. [Google Scholar]
- Sáiz, H.; Dainese, M.; Chiarucci, A.; Nascimbene, J. Networks of epiphytic lichens and host trees along elevation gradients: Climate change implications in mountain ranges. J. Ecol. 2021, 109, 1122–1132. [Google Scholar] [CrossRef]




| Geographic Area | No. UTM | No. ps | No. tls | rsps (%) |
|---|---|---|---|---|
| Local scale (geographic area) | ||||
| Montes de Toledo | 44 | 13 | 283 | 36.40 |
| Sierra Morena | 45 | 19 | 296 | 35.14 |
| Sistema Central | 92 | 29 | 327 | 32.11 |
| Sierras Béticas | 75 | 36 | 456 | 37.28 |
| Sistema Ibérico | 188 | 38 | 473 | 32.14 |
| Coastal Area | 38 | 14 | 145 | 50.34 |
| Regional scale | ||||
| Total | 486 | 72 | 709 | 25.90 |
| Regional | No. UTM | No. tls | No. rsps | rsps (%) |
|---|---|---|---|---|
| Quercus suber | 50 | 337 | 40 | 8.9 |
| Quercus ilex | 202 | 342 | 21 | 6.1 |
| Juniperus thurifera | 48 | 154 | 13 | 7.4 |
| Fagus sylvatica | 19 | 193 | 11 | 5.7 |
| Juniperus oxycedrus | 30 | 152 | 10 | 6.5 |
| Quercus pyreniaca | 109 | 295 | 9 | 3.1 |
| Pinus pinaster | 39 | 169 | 8 | 4.7 |
| Olea europea | 28 | 151 | 8 | 5.3 |
| Erica australis | 6 | 88 | 7 | 7.9 |
| Quercus faginea | 109 | 250 | 7 | 2.8 |
| Abies pinsapo | 6 | 119 | 5 | 4.2 |
Disclaimer/Publisher’s Note: The statements, opinions and data contained in all publications are solely those of the individual author(s) and contributor(s) and not of MDPI and/or the editor(s). MDPI and/or the editor(s) disclaim responsibility for any injury to people or property resulting from any ideas, methods, instructions or products referred to in the content. |
© 2025 by the authors. Licensee MDPI, Basel, Switzerland. This article is an open access article distributed under the terms and conditions of the Creative Commons Attribution (CC BY) license (https://creativecommons.org/licenses/by/4.0/).
Share and Cite
Aragón, G.; Martínez, I.; de la Cruz, M.; Hurtado, P. High Host Preferences in Epiphytic Lichens Across Diverse Phorophyte Species in the Mediterranean Region. J. Fungi 2025, 11, 104. https://doi.org/10.3390/jof11020104
Aragón G, Martínez I, de la Cruz M, Hurtado P. High Host Preferences in Epiphytic Lichens Across Diverse Phorophyte Species in the Mediterranean Region. Journal of Fungi. 2025; 11(2):104. https://doi.org/10.3390/jof11020104
Chicago/Turabian StyleAragón, Gregorio, Isabel Martínez, Marcelino de la Cruz, and Pilar Hurtado. 2025. "High Host Preferences in Epiphytic Lichens Across Diverse Phorophyte Species in the Mediterranean Region" Journal of Fungi 11, no. 2: 104. https://doi.org/10.3390/jof11020104
APA StyleAragón, G., Martínez, I., de la Cruz, M., & Hurtado, P. (2025). High Host Preferences in Epiphytic Lichens Across Diverse Phorophyte Species in the Mediterranean Region. Journal of Fungi, 11(2), 104. https://doi.org/10.3390/jof11020104

