Dynamics and Insights into the Unique Ecological Guild of Fungi in Bacteria-Bioaugmented Anaerobic Digesters
Abstract
1. Introduction
2. Materials and Methods
2.1. Sampling
2.2. Genomic DNA Extraction from Different Bioaugmented Treatments
2.2.1. Preparation of Internal Transcribed Spacer (ITS) Gene Library and Analysis
2.2.2. Bioinformatics Analyses for Fungal Community in Anaerobic Digesters
2.2.3. Data Availability
2.3. Statistical Analysis
3. Results
3.1. Batch Culture Analysis for Methane Production
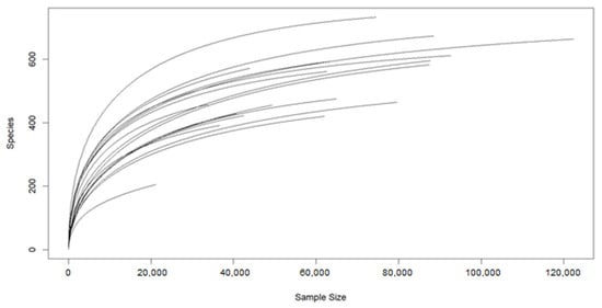
3.2. High-Throughput Metabarcoding of ITS Genes from Different Bioaugmented Treatments
4. Discussion
5. Conclusions
Author Contributions
Funding
Data Availability Statement
Acknowledgments
Conflicts of Interest
Appendix A

Appendix B

Appendix C

Appendix D

Appendix E

Appendix F

References
- Suman, A. Role of renewable energy technologies in climate change adaptation and mitigation: A brief review from Nepal. Renew. Sustain. Energy Rev. 2021, 151, 111524. [Google Scholar] [CrossRef]
- Langer, S.G.; Gabris, C.; Einfalt, D.; Wemheuer, B.; Kazda, M.; Bengelsdorf, F.R. Different response of bacteria, archaea and fungi to process parameters in nine full-scale anaerobic digesters. Microb. Biotechnol. 2019, 12, 1210–1225. [Google Scholar] [CrossRef] [PubMed]
- Young, D.; Dollhofer, V.; Callaghan, T.M.; Reitberger, S.; Lebuhn, M.; Benz, J.P. Isolation, identification and characterization of lignocellulolytic aerobic and anaerobic fungi in one- and two-phase biogas plants. Bioresour. Technol. 2018, 268, 470–479. [Google Scholar] [CrossRef] [PubMed]
- Yang, X.; Zhang, Z.; Li, S.; He, Q.; Peng, X.; Du, X.; Feng, K.; Wang, S.; Deng, Y. Fungal dynamics and potential functions during anaerobic digestion of food waste. Environ. Res. 2022, 212, 113298. [Google Scholar] [CrossRef]
- Seppälä, S.; Wilken, S.E.; Knop, D.; Solomon, K.V.; O’malley, M.A. The importance of sourcing enzymes from non-conventional fungi for metabolic engineering and biomass breakdown. Metab. Eng. 2017, 44, 45–59. [Google Scholar] [CrossRef]
- Caruso, M.C.; Braghieri, A.; Capece, A.; Napolitano, F.; Romano, P.; Galgano, F.; Altieri, G.; Genovese, F. Recent updates on the use of agro-food waste for biogas production. Appl. Sci. 2019, 9, 1217. [Google Scholar] [CrossRef]
- Ren, Y.; Yu, M.; Wu, C.; Wang, Q.; Gao, M.; Huang, Q.; Liu, Y. A comprehensive review on food waste anaerobic digestion: Research updates and tendencies. Bioresour. Technol. 2018, 247, 1069–1076. [Google Scholar] [CrossRef]
- Tian, H.; Yan, M.; Treu, L.; Angelidaki, I.; Fotidis, I.A. Hydrogenotrophic methanogens are the key for a successful bioaugmentation to alleviate ammonia inhibition in thermophilic anaerobic digesters. Bioresour. Technol. 2019, 293, 122070. [Google Scholar] [CrossRef]
- Gállego-Bravo, A.K.; García-Mena, J.; Piña-Escobedo, A.; López-Jiménez, G.; Gutiérrez-Castillo, M.E.; Tovar-Gálvez, L.R. Monitoring of a microbial community during bioaugmentation with hydrogenotrophic methanogens to improve methane yield of an anaerobic digestion process. Biotechnol. Lett. 2023, 45, 1339–1353. [Google Scholar] [CrossRef] [PubMed]
- Bernardi, A.V.; de Gouvêa, P.F.; Gerolamo, L.E.; Yonamine, D.K.; Balico, L.d.L.d.L.; Uyemura, S.A.; Dinamarco, T.M. Functional characterization of GH7 endo-1,4-β-glucanase from Aspergillus fumigatus and its potential industrial application. Protein Expr. Purif. 2018, 150, 1–11. [Google Scholar] [CrossRef] [PubMed]
- Greening, C.; Geier, R.; Wang, C.; Woods, L.C.; E Morales, S.; McDonald, M.J.; Rushton-Green, R.; Morgan, X.C.; Koike, S.; Leahy, S.C.; et al. Diverse hydrogen production and consumption pathways influence methane production in ruminants. ISME J. 2019, 13, 2617–2632. [Google Scholar] [CrossRef]
- Vinzelj, J.; Joshi, A.; Insam, H.; Podmirseg, S.M. Employing anaerobic fungi in biogas production: Challenges & opportunities. Bioresour. Technol. 2020, 300, 122687. [Google Scholar] [CrossRef]
- Sundberg, C.; Al-Soud, W.A.; Larsson, M.; Alm, E.; Yekta, S.S.; Svensson, B.H.; Sørensen, S.J.; Karlsson, A. 454 pyrosequencing analyses of bacterial and archaeal richness in 21 full-scale biogas digesters. FEMS Microbiol. Ecol. 2013, 85, 612–626. [Google Scholar] [CrossRef] [PubMed]
- Abendroth, C.; Vilanova, C.; Günther, T.; Luschnig, O.; Porcar, M. Eubacteria and archaea communities in seven mesophile anaerobic digester plants in Germany. Biotechnol. Biofuels 2015, 8, 87. [Google Scholar] [CrossRef] [PubMed]
- Langer, S.G.; Ahmed, S.; Einfalt, D.; Bengelsdorf, F.R.; Kazda, M. Functionally redundant but dissimilar microbial com-munities within biogas reactors treating maize silage in co-fermentation with sugar beet silage. Microb. Biotechnol. 2015, 8, 828–836. [Google Scholar] [CrossRef] [PubMed]
- Westerholm, M.; Isaksson, S.; Karlsson Lindsjö, O.K.; Schnürer, A. Microbial community adaptability to altered temperature conditions determines the potential for process optimisation in biogas production. Appl. Energy 2018, 226, 838–848. [Google Scholar] [CrossRef]
- Yang, S.; Li, L.; Peng, X.; Zhang, R.; Song, L. Eukaryotic community composition and dynamics during solid waste decomposition. Appl. Microbiol. Biotechnol. 2022, 106, 3307–3317. [Google Scholar] [CrossRef]
- Tsapekos, P.; Kougias, P.; Vasileiou, S.; Treu, L.; Campanaro, S.; Lyberatos, G.; Angelidaki, I. Bioaugmentation with hydrolytic microbes to improve the anaerobic biodegradability of lignocellulosic agricultural residues. Bioresour. Technol. 2017, 234, 350–359. [Google Scholar] [CrossRef]
- Obi, L.U.; Tekere, M.; Roopnarain, A.; Sanko, T.; Maguvu, T.E.; Bezuidenhout, C.C.; Adeleke, R.A. Whole genome sequence of Serratia marcescens 39_H1, a potential hydrolytic and acidogenic strain. Biotechnol. Rep. 2020, 28, e00542. [Google Scholar] [CrossRef] [PubMed]
- Obi, L.U.; Tekere, M.; Roopnarain, A.; Adeleke, R.A. Bioaugmentation Strategies to Enhance Methane Production From Lignocellulosic Substrates: Dynamics Of The Prokaryotic Community Structure. In Proceedings of the 30th European Biomass Conference and Exhibition, Online, 9–12 May 2022. [Google Scholar]
- Al Makishah, N.H.; Elfarash, A.E. Molecular characterization of cellulase genes in Pseudomonas stutzeri. Electron. J. Biotechnol. 2022, 59, 55–61. [Google Scholar] [CrossRef]
- Baltaci, M.O.; Omeroglu, M.A.; Albayrak, S.; Adiguzel, G.; Adiguzel, A. Production of Endoglucanase by Exiguobacterium mexicanum OB24 Using Waste Melon Peels as Substrate. An. Acad. Bras. Cienc. 2022, 94, e20220151. [Google Scholar] [CrossRef]
- Liao, Y.; Wu, S.; Zhou, G.; Mei, S.; Yang, Z.; Li, S.; Jin, Z.; Deng, Y.; Wen, M.; Yang, Y. Cellulolytic Bacillus cereus produces a variety of short-chain fatty acids and has potential as a probiotic. Microbiol. Spectr. 2024, 12, e0326723. [Google Scholar] [CrossRef]
- Biswas, S.; Paul, D.; Bhattacharjee, A. Cellulolytic Potential of Lysinibacillus fusiformis Strain WGI4 Isolated From White Grub Beetle Phyllophaga sp. (Coleoptera: Scarabaeidae) Larvae Gut. Proc. Zool. Soc. 2024, 77, 116–125. [Google Scholar] [CrossRef]
- Kumar, H.N.; Mohana, N.C.; Rakshith, D.; Abhilash, M.; Satish, S. Multicomponent assessment and optimization of the cellulase activity by Serratia marcescens inhabiting decomposed leaf litter soil. Sustain. Chem. Pharm. 2023, 31, 100951. [Google Scholar] [CrossRef]
- Hu, X.; Yu, J.; Wang, C.; Chen, H. Cellulolytic bacteria associated with the gut of Dendroctonus armandi larvae (Coleoptera: Curculionidae: Scolytinae). Forests 2014, 5, 455–465. [Google Scholar] [CrossRef]
- Dollhofer, V.; Dandikas, V.; Dorn-In, S.; Bauer, C.; Lebuhn, M.; Bauer, J. Accelerated biogas production from lignocellulosic biomass after pre-treatment with Neocallimastix frontalis. Bioresour. Technol. 2018, 264, 219–227. [Google Scholar] [CrossRef] [PubMed]
- Stoyancheva, G.; Kabaivanova, L.; Hubenov, V.; Chorukova, E. Metagenomic Analysis of Bacterial, Archaeal and Fungal Diversity in Two-Stage Anaerobic Biodegradation for Production of Hydrogen and Methane from Corn Steep Liquor. Microorganisms 2023, 11, 1263. [Google Scholar] [CrossRef]
- Mutungwazi, A.; Ijoma, G.N.; Matambo, T.S. The significance of microbial community functions and symbiosis in enhancing methane production during anaerobic digestion: A review. Symbiosis 2021, 83, 1–24. [Google Scholar] [CrossRef]
- Miranda, F.M.; Azevedo, V.C.; Ramos, R.J.; Renard, B.Y.; Piro, V.C. Hitac: A hierarchical taxonomic classifier for fungal ITS sequences compatible with QIIME2. BMC Bioinform. 2024, 25, 228. [Google Scholar] [CrossRef]
- Sneha, M.J.X.; Thangavel, M.; Mani, I.; Rajapriya, P.; Ponnuraj, N.; Pandi, M. Endophytic Fungal Diversity in Hardwickia binata: Bridging the Gap between Traditional and Modern Techniques. Microbiol. Res. 2024, 15, 823–840. [Google Scholar] [CrossRef]
- Viotti, C.; Chalot, M.; Kennedy, P.G.; Maillard, F.; Santoni, S.; Blaudez, D.; Bertheau, C. Primer pairs, PCR conditions, and peptide nucleic acid clamps affect fungal diversity assessment from plant root tissues. Mycology 2024, 15, 255–271. [Google Scholar] [CrossRef] [PubMed]
- Mukhuba, M.; Roopnarain, A.; Adeleke, R.; Moeletsi, M.; Makofane, R. Comparative assessment of bio-fertiliser quality of cow dung and anaerobic digestion effluent. Cogent Food Agric. 2018, 4, 1435019. [Google Scholar] [CrossRef]
- White, T.J.; Bruns, T.; Lee, S.; Taylor, J. Amplification and direct sequencing of fungal ribosomal RNA genes for phylogenetics. In PCR Protocols: A Guide to Methods and Applications; Innis, M.A., Gelfand, D.H., Sninsky, J.J., White, T.J., Eds.; Academic Press: New York, NY, USA, 1990; Volume 18, pp. 315–322. [Google Scholar]
- Tedersoo, L.; Bahram, M.; Põlme, S.; Kõljalg, U.; Yorou, N.S.; Wijesundera, R.; Ruiz, L.V.; Vasco-Palacios, A.M.; Thu, P.Q.; Suija, A.; et al. Global diversity and geography of soil fungi. Science 2014, 346, 1256688. [Google Scholar] [CrossRef]
- Ezeokoli, O.T.; Mashigo, S.K.; Paterson, D.G.; Bezuidenhout, C.C.; Adeleke, R.A. Microbial community structure and relationship with physicochemical properties of soil stockpiles in selected South African opencast coal mines. Soil Sci. Plant Nutr. 2019, 65, 332–341. [Google Scholar] [CrossRef]
- Gweon, H.S.; Oliver, A.; Taylor, J.; Booth, T.; Gibbs, M.; Read, D.S.; Griffiths, R.I.; Schonrogge, K. PIPITS: An automated pipeline for analyses of fungal internal transcribed spacer sequences from the Illumina sequencing platform. Methods Ecol. Evol. 2015, 6, 973–980. [Google Scholar] [CrossRef]
- Zhang, M.; Sun, H.; Fei, Z.; Zhan, F.; Gong, X.; Gao, S. Fastq_clean: An optimized pipeline to clean the Illumina sequencing data with quality control. In Proceedings of the 2014 IEEE International Conference on Bioinformatics and Biomedicine (BIBM), Belfast, UK, 2–5 November 2014; pp. 44–48. [Google Scholar] [CrossRef]
- Gordon, A.; Hannon, G. Fastx-Toolkit, FASTQ/A Short-Reads Preprocessing Tools. FASTX-Toolkit. [Computer software]. Available online: https://github.com/agordon/fastx_toolkit (accessed on 1 March 2020).
- Bengtsson-Palme, J.; Ryberg, M.; Hartmann, M.; Branco, S.; Wang, Z.; Godhe, A.; De Wit, P.; Sánchez-García, M.; Ebersberger, I.; de Sousa, F.; et al. Improved software detection and extraction of ITS1 and ITS2 from ribosomal ITS sequences of fungi and other eukaryotes for analysis of environmental sequencing data. Methods Ecol. Evol. 2013, 4, 914–919. [Google Scholar] [CrossRef]
- Rognes, T.; Flouri, T.; Nichols, B.; Quince, C.; Mahé, F. VSEARCH: A versatile open source tool for metagenomics. PeerJ 2016, 2016, e2584. [Google Scholar] [CrossRef]
- Wang, Q.; Garrity, G.M.; Tiedje, J.M.; Cole, J.R. Naïve Bayesian Classifier for Rapid Assignment of rRNA Sequences into the New Bacterial Taxonomy. Appl. Environ. Microbiol. 2007, 73, 5261–5267. [Google Scholar] [CrossRef] [PubMed]
- Kõljalg, U.; Nilsson, R.H.; Abarenkov, K.; Tedersoo, L.; Taylor, A.F.S.; Bahram, M.; Bates, S.T.; Bruns, T.D.; Bengtsson-Palme, J.; Callaghan, T.M.; et al. Towards a unified paradigm for sequence-based identification of fungi. Mol. Ecol. 2013, 22, 5271–5277. [Google Scholar] [CrossRef] [PubMed]
- Nilsson, R.H.; Tedersoo, L.; Ryberg, M.; Kristiansson, E.; Hartmann, M.; Unterseher, M.; Porter, T.M.; Bengtsson-Palme, J.; Walker, D.M.; de Sousa, F.; et al. A comprehensive, automatically updated fungal ITS sequence dataset for reference-based chimera control in environmental sequencing efforts. Microbes Environ. 2015, 30, 145–150. [Google Scholar] [CrossRef]
- Sha, S.P.; Suryavanshi, M.V.; Tamang, J.P. Mycobiome diversity in traditionally prepared starters for alcoholic beverages in India by high-throughput sequencing method. Front. Microbiol. 2019, 10, 348. [Google Scholar] [CrossRef] [PubMed]
- Nguyen, N.H.; Song, Z.; Bates, S.T.; Branco, S.; Tedersoo, L.; Menke, J.; Schilling, J.S.; Kennedy, P.G. FUNGuild: An open annotation tool for parsing fungal community datasets by ecological guild. Fungal Ecol. 2016, 20, 241–248. [Google Scholar] [CrossRef]
- Henske, J.K.; Gilmore, S.P.; Knop, D.; Cunningham, F.J.; Sexton, J.A.; Smallwood, C.R.; Shutthanandan, V.; Evans, J.E.; Theodorou, M.K.; O’malley, M.A. Transcriptomic characterization of Caecomyces churrovis: A novel, non-rhizoid-forming lignocellulolytic anaerobic fungus. Biotechnol. Biofuels 2017, 10, 305. [Google Scholar] [CrossRef]
- Sun, W.; Yu, G.; Louie, T.; Liu, T.; Zhu, C.; Xue, G.; Gao, P. From mesophilic to thermophilic digestion: The transitions of anaerobic bacterial, archaeal, and fungal community structures in sludge and manure samples. Appl. Microbiol. Biotechnol. 2015, 99, 10271–10282. [Google Scholar] [CrossRef] [PubMed]
- Dollhofer, V.; Callaghan, T.M.; Griffith, G.W.; Lebuhn, M.; Bauer, J. Presence and transcriptional activity of anaerobic fungi in agricultural biogas plants. Bioresour. Technol. 2017, 235, 131–139. [Google Scholar] [CrossRef]
- Wilken, S.E.; Saxena, M.; Petzold, L.R.; O’malley, M.A. In silico identification of microbial partners to form consortia with anaerobic fungi. Processes 2018, 6, 7. [Google Scholar] [CrossRef]
- Drake, H.; Ivarsson, M. The role of anaerobic fungi in fundamental biogeochemical cycles in the deep biosphere. Fungal Biol. Rev. 2018, 32, 20–25. [Google Scholar] [CrossRef]
- Zhang, J.; Shi, H.; Wang, Y.; Li, S.; Cao, Z.; Ji, S.; He, Y.; Zhang, H. Effect of dietary forage to concentrate ratios on dynamic profile changes and interactions of ruminal microbiota and metabolites in holstein heifers. Front. Microbiol. 2017, 8, 2206. [Google Scholar] [CrossRef] [PubMed]
- Thongbunrod, N.; Chaiprasert, P. Potential of enriched and stabilized anaerobic lignocellulolytic fungi coexisting with bacteria and methanogens for enhanced methane production from rice straw. Biomass-Convers. Biorefinery 2024, 14, 8229–8250. [Google Scholar] [CrossRef]
- Alanbagi, R.A.; Alshuwaili, F.E.; Stephenson, S.L. Fungi associated with forest floor litter in northwest Arkansas. Curr. Res. Environ. Appl. Mycol. 2019, 9, 25–35. [Google Scholar] [CrossRef]
- Srikanth, M.; Sandeep, T.S.R.S.; Sucharitha, K.; Godi, S. Biodegradation of plastic polymers by fungi: A brief review. Bioresour. Bioprocess. 2022, 9, 1–10. [Google Scholar] [CrossRef] [PubMed]
- Taubitz, A.; Bauer, B.; Heesemann, J.; Ebel, F. Role of respiration in the germination process of the pathogenic mold Aspergillus fumigatus. Curr. Microbiol. 2007, 54, 354–360. [Google Scholar] [CrossRef]
- Kumar, M.; Kumar, H.; Topno, R.K.; Kumar, J. Analysis of impact of anaerobic condition on the aflatoxin production in Aspergillus parasiticus Speare. Agric. Sci. Dig. A Res. J. 2019, 39, 75–78. [Google Scholar] [CrossRef]
- Liu, X.; Jiang, Z.; Ma, S.; Yan, Q.; Chen, Z.; Liu, H. High-level production and characterization of a novel β-1,3-1,4-glucanase from Aspergillus awamori and its potential application in the brewing industry. Process. Biochem. 2020, 92, 252–260. [Google Scholar] [CrossRef]








| Treatment ID Before AD | Treatment ID After AD | Inoculated Bacteria with GenBank Accession Numbers | Treatment Make-Up |
|---|---|---|---|
| 3H1 | 3H2 | Pseudomonas stutzeri (MK104459) | WH + CD + 109 cfu/mL of 3H |
| 3M1 | 3M2 | Exiguobacterium mexicanum (MK104464) | WH + CD + 109 cfu/mL of 3M |
| 4F1 | 4F2 | Bacillus cereus (MK104469) | WH + CD + 109 cfu/mL of 4F |
| 7B1 | 7B2 | Lysinibacillus fusiformis (MK104485) | WH + CD + 109 cfu/mL of 7B |
| 11H1 | 11H2 | Serratia marcescens (MK104517) | WH + CD + 109 cfu/mL of 11H |
| 12H1 | 12H2 | Brevundimonas vesicularis (MK104523) | WH + CD + 109 cfu/mL of 12H |
| D31B1 | D31B2 | Acinetobacter iwoffi (MK104525) | WH + CD + 109 cfu/mL of D31B |
| D31D1 | D31D2 | Planococcus maritimus (MK104526) | WH + CD + 109 cfu/mL of D31D |
| CONS1 | CONS2 | Pseudomonas stutzeri (MK104459), Exiguobacterium mexicanum (MK104464), Bacillus cereus (MK104469) Lysinibacillus fusiformis (MK104485), Serratia marcescens (MK104517), Brevundimonas vesicularis (MK104523), Acinetobacter iwoffi (MK104525), and Planococcus maritmus (MK104526) | WH + CD + 109 cfu/mL of 3H + 109 cfu/mL of 3M + 109 cfu/mL of 4F + 109 cfu/mL of 7B + 109 cfu/mL of 11H + 109 cfu/mL of 12H + 109 cfu/mL of D31B + 108 cfu/mL of D31D |
| CONT1 | CONT2 | No inoculated bacteria | WH + CD |
Disclaimer/Publisher’s Note: The statements, opinions and data contained in all publications are solely those of the individual author(s) and contributor(s) and not of MDPI and/or the editor(s). MDPI and/or the editor(s) disclaim responsibility for any injury to people or property resulting from any ideas, methods, instructions or products referred to in the content. |
© 2025 by the authors. Licensee MDPI, Basel, Switzerland. This article is an open access article distributed under the terms and conditions of the Creative Commons Attribution (CC BY) license (https://creativecommons.org/licenses/by/4.0/).
Share and Cite
Obi, L.U.; Roopnarain, A.; Tekere, M.; Zhou, J.; Li, H.; Wang, Y.; Zhang, Y.; Adeleke, R.A. Dynamics and Insights into the Unique Ecological Guild of Fungi in Bacteria-Bioaugmented Anaerobic Digesters. J. Fungi 2025, 11, 56. https://doi.org/10.3390/jof11010056
Obi LU, Roopnarain A, Tekere M, Zhou J, Li H, Wang Y, Zhang Y, Adeleke RA. Dynamics and Insights into the Unique Ecological Guild of Fungi in Bacteria-Bioaugmented Anaerobic Digesters. Journal of Fungi. 2025; 11(1):56. https://doi.org/10.3390/jof11010056
Chicago/Turabian StyleObi, Linda U., Ashira Roopnarain, Memory Tekere, Jun Zhou, Heng Li, Yuanpeng Wang, Yanlong Zhang, and Rasheed A. Adeleke. 2025. "Dynamics and Insights into the Unique Ecological Guild of Fungi in Bacteria-Bioaugmented Anaerobic Digesters" Journal of Fungi 11, no. 1: 56. https://doi.org/10.3390/jof11010056
APA StyleObi, L. U., Roopnarain, A., Tekere, M., Zhou, J., Li, H., Wang, Y., Zhang, Y., & Adeleke, R. A. (2025). Dynamics and Insights into the Unique Ecological Guild of Fungi in Bacteria-Bioaugmented Anaerobic Digesters. Journal of Fungi, 11(1), 56. https://doi.org/10.3390/jof11010056

