Secondary Metabolites of Fomitopsis betulina: Chemical Structures, Biological Activity and Application Prospects
Abstract
1. Introduction
2. Artificial Cultivation of F. betulina
3. Bioactive Components from F. betulina
3.1. Terpenes
3.1.1. Triterpenes
3.1.2. Sesquiterpenes
3.1.3. Diterpenes
3.1.4. Monoterpenes
3.1.5. Tetraterpenes
3.2. Phenols
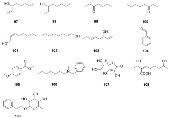
3.3. Others
4. The Biological Activities of Secondary Metabolites from F. betulina
4.1. Anti-Cancer Activity
4.2. Anti-Inflammatory Activity
4.3. Antimicrobial Activity
| Number | Compound Names | Biological Activities | Materials | References |
|---|---|---|---|---|
| Triterpenes | ||||
| 1 | polyporenic acids A | P-gp efflux pump inhibitory Anti-inflammatory | fruit body | [16,31] |
| 2 | polyporenic acids C | Anti-cancer P-gp efflux pump inhibitory Antibacterial Anti-inflammatory | fruit body | [16,17,31,45] |
| 3 | (25S)-(+)-12α-hydroxy-3α-malonyloxy-24-methyllanosta-8,24(31)-dien-26-oic acid | Anti-cancer Anti-inflammatory | fruit body | [16,31] |
| 4 | (25S,3′S)-(+)-12α-hydroxy-3α-(3′-hydroxy-3′-methylglutaryloxy)-24-methyllanosta-8,24(31)-dien-26-oic acid | Anti-inflammatory | fruit body | [16] |
| 5 | (25S,3′S)-(+)-12α-hydroxy-3α-(3′-hydroxy-4′-methoxycarbonyl-3′-methylbutyryloxy)-24-methyllanosta-8,24(31)-dien-26-oic acid | Anti-cancer Anti-inflammatory | fruit body | [16,17,21,22] |
| 6 | (+)-12α,28-dihydroxy-3α-(3′-hydroxy-3′-methylglutaryloxy)-24-methyllanosta-8,24(31)-dien-26-oic acid | Anti-inflammatory | fruit body | [16] |
| 7 | 3α-acetylpolyporenic acid A | Anti-cancer P-gp efflux pump inhibitory Anti-inflammatory | fruit body | [17,31] |
| 8 | (25S)-(+)-12α-hydroxy-3α-methylcarboxyacetate-24-methyllanosta-8,24(31)-diene-26-oic acid | P-gp efflux pump inhibitory Anti-inflammatory | fruit body | [17,31] |
| 9 | 3β-acetoxy-16 α hydroxyl-24-oxo-5α-lanosta-8- ene-21-oic acid | Antibacterial | fruit body | [18] |
| 10 | fomefficinic acid | - | fruit body | [18] |
| 11 | betulin | Anti-inflammatory | fruit body | [18,39] |
| 12 | betulinic acid | Anti-inflammatory Antiviral Anti-malarial | fruit body | [18,39,48,49] |
| 13 | ergosterol peroxide | Anti-parasitic Anti-cancer | fruit body | [18,32,33,50] |
| 14 | 9,11-dehydroergosterol peroxide | Anti-cancer | fruit body | [18,33] |
| 15 | piptolinic acids A | Anti-cancer | fruit body | [19] |
| 16 | piptolinic acids B | Anti-cancer | fruit body | [19,35] |
| 17 | piptolinic acids C | - | fruit body | [19] |
| 18 | piptolinic acids D | Anti-cancer | fruit body | [19,35] |
| 19 | piptolinic acids E | - | fruit body | [19] |
| 20 | 3-epi-(3′-hydroxy-3′-methylglutaryloxyl)-dehydrotumulosic acid | - | fruit body | [19] |
| 21 | dehydroeburiconic acid | Anti-inflammatory | fruit body | [19,40] |
| 22 | 6α-hydroxypolyporenic acid C | acetylcholine receptor inhibitors | fruit body | [19,51] |
| 23 | 3-epidehydropachymic acid | Anti-cancer | fruit body | [19,36] |
| 24 | piptolinic acid F | - | fruit body | [21] |
| 25 | piptolinic acid G | - | fruit body | [21] |
| 26 | piptolinic acid H | - | fruit body | [21] |
| 27 | piptolinic acid I | - | fruit body | [21] |
| 28 | piptolinic acid J | - | fruit body | [21] |
| 29 | dehydrotumulosic acid | Anti-inflammatory | fruit body | [21,41] |
| 30 | 3-epi-dehydrotumulosic acid | Anti-cancer | fruit body | [21,22,36] |
| 31 | 16α-hydroxyeburiconic acid | - | fruit body | [21] |
| 32 | 3α,16α-dihydroxy-7-oxo-24-methyllanosta-8,24(31)-dien-21-oic acid | - | fruit body | [21] |
| 33 | 16α-hydroxy-3-oxo-lanosta-7,9(11),24-trien-21-oic acid | Anti-inflammatory | fruit body | [21,52] |
| 34 | polyporenic acid E | - | fruit body | [22] |
| 35 | polyporenic acid F | - | fruit body | [22] |
| 36 | polyporenic acid G | - | fruit body | [22] |
| 37 | polyporenic acid H | Strong synergistic interaction with Doxorubicin | fruit body | [31] |
| 38 | polyporenic acid I | - | fruit body | [22] |
| 39 | polyporenic acid J | - | fruit body | [22] |
| 40 | polyporenic acid K | - | fruit body | [22] |
| 41 | polyporenic acid L | - | fruit body | [22] |
| 42 | polyporenic acid M | - | fruit body | [22] |
| 43 | fomitoside L | Anti-cancer | fruit body | [22] |
| 44 | fomitoside M | - | fruit body | [22] |
| 45 | fomitoside N | Anti-cancer | fruit body | [22] |
| 46 | fomitoside O | - | fruit body | [22] |
| 47 | palustrisoic acid F | - | fruit body | [22] |
| 48 | dehydropachymic acid | Anti-cancer | fruit body | [22] |
| 49 | pachymic acid | Anti-cancer | fruit body | [22] |
| 50 | poricoic acid H | - | fruit body | [22] |
| 51 | fomitoside J | - | fruit body | [22] |
| 52 | cerevisterol | Anti-inflammatory | fruit body | [42] |
| Sesquiterpenes | ||||
| 53 | (R)-trans-nerolidol | - | fruit body | [25] |
| 54 | β-Elemene | Anti-cancer | fruit body | [34] |
| 55 | Selina-4,11-diene | - | fruit body | [25] |
| 56 | α-Chamigrene | - | fruit body | [25] |
| 57 | β-Chamigrene | - | fruit body | [25] |
| 58 | β-Bazzanene | - | fruit body | [25] |
| 59 | Isobazzanene | - | fruit body | [25] |
| 60 | α-Cuprenene | - | fruit body | [25] |
| 61 | Thujopsene | Anti-fungal | fruit body | [25,53] |
| 62 | Cadina-1(6),4-diene | - | fruit body | [25] |
| 63 | δ-Cadinene | Anti-malarial | fruit body | [25,54] |
| 64 | T-cadinol | Antibacterial | fruit body | [25,46] |
| 65 | 1-epi-cubenol | Antibacterial | fruit body | [25,47] |
| 66 | rel-(1S,4S,5R,7R,10R)-10-desmethyl-11-euduemene | - | fermentation broth | [26] |
| 67 | 10,11-epoxyguaian-13-ol | - | fermentation broth | [26] |
| 68 | (S)-(−)-Daucene | - | fruit body | [25] |
| 69 | β-Cubebene | - | fruit body | [25] |
| 70 | α-Cubebene | - | fruit body | [25] |
| 71 | cryptosphaerolide B | - | fermentation broth | [26] |
| 72 | Pentalenene | - | fruit body | [25] |
| 73 | (−)-β-Barbatene | - | fruit body | [25] |
| 74 | (+)-α-Barbatene | - | fruit body | [25] |
| 75 | Cyclobazzanene | - | fruit body | [25] |
| Diterpenes | ||||
| 76 | pipulinus A | - | fruit body | [26] |
| 77 | pipulinus B | - | fermentation broth | [26] |
| 78 | pipulinus C | - | fermentation broth | [26] |
| 79 | pipulinus D | - | fermentation broth | [26] |
| 80 | pipulinus F | - | fermentation broth | [26] |
| 81 | elaeicolasides B | - | fermentation broth | [26] |
| 82 | pipulinus E | - | fermentation broth | [26] |
| Monoterpenes | ||||
| 83 | Limonene | - | fruit body | [27] |
| 84 | Linalool | - | fruit body | [25] |
| 85 | α-Terpineol | - | fruit body | [25] |
| 86 | α-Pinene | - | fruit body | [25] |
| 87 | Δ-3-Carene | - | fruit body | [25] |
| Tetraterpenes | ||||
| 88 | β-carotene | Anti-inflammatory | fruit body | [28,55] |
| 89 | Lycopene | Antioxidant Anti-cancer Anti-inflammatory | fruit body | [28,37,55,56] |
| Phenols | ||||
| 90 | (E)-2-(4-hydroxy-3-methyl-2-butenyl)-hydroquinone | metalloprotein inhibitor | fruit body | [29] |
| 91 | α-tocopherol | acetylcholinesterase inhibitors | fruit body | [28,57] |
| 92 | β-tocopherol | - | fruit body | [28] |
| 93 | γ-tocopherol | Antioxidant | fruit body | [28,58] |
| 94 | δ-tocopherol | Inhibit alpha-glucosidase Anti-cancer | fruit body | [28,38,59] |
| 95 | (3R)-5-carbomethoxymellein | - | fermentation broth | [26] |
| 96 | 4-hydroxyphenethyl alcohol | Cytokinins | fermentation broth | [26,60] |
| Others | ||||
| 97 | 1-octen-3-ol | - | fruit body | [27] |
| 98 | 3-octanol | - | fruit body | [27] |
| 99 | 3-heptanone | - | fruit body | [27] |
| 100 | 3-Octanone | - | fruit body | [25] |
| 101 | (Z)-2-octen-1-ol | - | fruit body | [25] |
| 102 | 1-Octanol | - | fruit body | [25] |
| 103 | (Z)-1,5-octadien-3-ol | - | fruit body | [25] |
| 104 | Benzaldehyde | - | fruit body | [25] |
| 105 | Methyl anisate | - | fruit body | [25] |
| 106 | piptamine | Antibacterial | fruit body | [30] |
| 107 | Ascorbic acid | Antioxidant Anti-inflammatory | fruit body | [28,61] |
| 108 | petulinus A | - | fermentation broth | [26] |
| 109 | 2-phenylethyl-O-β-rhamnopyranoside | - | fermentation broth | [26] |
5. Sesquiterpene Biosynthesis Analysis of F. betulina
6. Conclusions
Author Contributions
Funding
Institutional Review Board Statement
Informed Consent Statement
Data Availability Statement
Conflicts of Interest
References
- Du, Y.; Tian, L.; Wang, Y.; Li, Z.; Xu, Z. Chemodiversity, pharmacological activity, and biosynthesis of specialized metabolites from medicinal model fungi Ganoderma lucidum. Chin. Med. 2024, 19, 51. [Google Scholar] [CrossRef]
- Qi, J.; Wu, J.; Kang, S.; Gao, J.; Kawagishi, H.; Liu, H.; Liu, C. The chemical structures, biosynthesis, and biological activities of secondary metabolites from the culinary-medicinal mushrooms of the genus Hericium: A review. Chin. J. Nat. Med. 2024, 22, 676–698. [Google Scholar] [CrossRef]
- Zhang, L.; Yan, M.; Liu, C. A comprehensive review of secondary metabolites from the genus Agrocybe: Biological activities and pharmacological implications. Mycology 2024, 15, 162–179. [Google Scholar] [CrossRef] [PubMed]
- Duan, Y.; Qi, J.; Gao, J.M.; Liu, C. Bioactive components of Laetiporus species and their pharmacological effects. Appl. Microbiol. Biotechnol. 2022, 106, 5929–5944. [Google Scholar] [CrossRef] [PubMed]
- Lindequist, U.; Niedermeyer, T.H.; Jülich, W.D. The pharmacological potential of mushrooms. Evid. Based Complement. Altern. Med. 2005, 2, 285–299. [Google Scholar] [CrossRef]
- Yang, L.; Zi, X.; Baderihu; Wang, Q. Study on the properties of enzymes related to cellulose and hemicellulose degradation in Piptoporus betulinus. Heilongjiang Anim. Sci. Vet. Med. 2016, 23, 27–33. [Google Scholar] [CrossRef]
- Pleszczyńska, M.; Lemieszek, M.K.; Siwulski, M.; Wiater, A.; Rzeski, W.; Szczodrak, J. Fomitopsis betulina (formerly Piptoporus betulinus): The Iceman’s polypore fungus with modern biotechnological potential. World J. Microbiol. Biotechnol. 2017, 33, 83. [Google Scholar] [CrossRef] [PubMed]
- Du, Z.; Hu, Z.; Kang, X.; Li, J.; Wang, X.; Wang, X. Preliminary Exploration of Domestication and Cultivation of Wild Fomitopsis betulina. Edible Med. Mushrooms 2019, 27, 411–413. [Google Scholar]
- Capasso, L. 5300 years ago, the Ice Man used natural laxatives and antibiotics. Lancet 1998, 352, 1864. [Google Scholar] [CrossRef]
- Peintner, U.; Pöder, R. Ethnomycological remarks on the Iceman’s fungi. In The Iceman and His Natural Environment: Palaeobotanical Results; Bortenschlager, S., Oeggl, K., Eds.; Springer: Vienna, Austria, 2000; pp. 143–150. [Google Scholar]
- Grienke, U.; Zöll, M.; Peintner, U.; Rollinger, J.M. European medicinal polypores—A modern view on traditional uses. J. Ethnopharmacol. 2014, 154, 564–583. [Google Scholar] [CrossRef]
- Cyranka, M.; Graz, M.; Kaczor, J.; Kandefer-Szerszeń, M.; Walczak, K.; Kapka-Skrzypczak, L.; Rzeski, W. Investigation of antiproliferative effect of ether and ethanol extracts of birch polypore medicinal mushroom, Piptoporus betulinus (Bull.:Fr.) P. Karst. (higher Basidiomycetes) in vitro grown mycelium. Int. J. Med. Mushrooms 2011, 13, 525–533. [Google Scholar] [CrossRef] [PubMed]
- Pleszczyńska, M.; Wiater, A.; Siwulski, M.; Lemieszek, M.K.; Kunaszewska, J.; Kaczor, J.; Rzeski, W.; Janusz, G.; Szczodrak, J. Cultivation and utility of Piptoporus betulinus fruiting bodies as a source of anticancer agents. World J. Microbiol. Biotechnol. 2016, 32, 151. [Google Scholar] [CrossRef] [PubMed]
- Gao, Y.; Wang, G.; Huang, H.; Gao, H.; Yao, X.; Hu, D. Biosynthesis of Fungal Triterpenoids and Steroids. Chin. J. Org. Chem. 2018, 38, 2335–2347. [Google Scholar] [CrossRef]
- Tao, H.; Lauterbach, L.; Bian, G.; Chen, R.; Hou, A.; Mori, T.; Cheng, S.; Hu, B.; Lu, L.; Mu, X.; et al. Discovery of non-squalene triterpenes. Nature 2022, 606, 414–419. [Google Scholar] [CrossRef] [PubMed]
- Kamo, T.; Asanoma, M.; Shibata, H.; Hirota, M. Anti-inflammatory lanostane-type triterpene acids from Piptoporus betulinus. J. Nat. Prod. 2003, 66, 1104–1106. [Google Scholar] [CrossRef] [PubMed]
- Wangun, H.V.K.; Berg, A.; Hertel, W.; Nkengfack, A.E.; Hertweck, C. Anti-inflammatory and Anti-hyaluronate Lyase Activities of Lanostanoids from Piptoporus betulinus. J. Antibiot. 2004, 57, 755–758. [Google Scholar] [CrossRef]
- Alresly, Z.; Lindequist, U.; Lalk, M.; Porzel, A.; Arnold, N.; Wessjohann, L.A. Bioactive Triterpenes from the Fungus Piptoporus betulinus. Rec. Nat. Prod. 2015, 10, 103–108. [Google Scholar]
- Tohtahon, Z.; Xue, J.; Han, J.; Liu, Y.; Hua, H.; Yuan, T. Cytotoxic lanostane triterpenoids from the fruiting bodies of Piptoporus betulinus. Phytochemistry 2017, 143, 98–103. [Google Scholar] [CrossRef]
- Ukiya, M.; Akihisa, T.; Tokuda, H.; Hirano, M.; Oshikubo, M.; Nobukuni, Y.; Kimura, Y.; Tai, T.; Kondo, S.; Nishino, H. Inhibition of tumor-promoting effects by poricoic acids G and H and other lanostane-type triterpenes and cytotoxic activity of poricoic acids A and G from Poria cocos. J. Nat. Prod. 2002, 65, 462–465. [Google Scholar] [CrossRef]
- Khalilov, Q.; Li, L.; Liu, Y.; Tohtahon, Z.; Chen, X.; Aisa, H.A.; Yuan, T. Piptolinic acids F–J, five new lanostane-type triterpenoids from Piptoporus betulinus. Nat. Prod. Res. 2018, 33, 3044–3051. [Google Scholar] [CrossRef]
- Sofrenić, I.; Anđelković, B.; Todorović, N.; Stanojković, T.; Vujisić, L.; Novaković, M.; Milosavljević, S.; Tešević, V. Cytotoxic triterpenoids and triterpene sugar esters from the medicinal mushroom Fomitopsis betulina. Phytochemistry 2021, 181, 112580. [Google Scholar] [CrossRef]
- Shao, Y.-Z.; Li, Y.-T.; Gong, T.; Zhu, P.; Yu, S.-S. Research advances in methods of cyclezation mechanism of sesquiterpenes. Zhongguo Zhong Zhi 2021, 46, 3797–3805. [Google Scholar] [CrossRef]
- Klapschinski, T.A.; Rabe, P.; Dickschat, J.S. Pristinol, a Sesquiterpene Alcohol with an Unusual Skeleton from Streptomyces pristinaespiralis. Angew. Chem. (Int. Ed.) 2016, 55, 10141–10144. [Google Scholar] [CrossRef]
- Rösecke, J.; Pietsch, M.; König, W.A. Volatile constituents of wood-rotting basidiomycetes. Phytochemistry 2000, 54, 747–750. [Google Scholar] [CrossRef] [PubMed]
- Sun, C. Studies on Chemical Constituents of Four Higher Fungi. Master’s Thesis, Anhui University of Chinese Medicine, Hefei, China, 2015. [Google Scholar]
- Rapior, S.; Cavalié, S.; Andary, C.; Pélissier, Y.; Marion, C.; Bessière, J.-M. Investigation of Some Volatile Components of Seven Fresh Wild Mushrooms (Basidiomycetes). J. Essent. Oil Res. 1996, 8, 199–201. [Google Scholar] [CrossRef]
- Reis, F.S.; Pereira, E.; Barros, L.; Sousa, M.J.; Martins, A.; Ferreira, I.C. Biomolecule Profiles in Inedible Wild Mushrooms with Antioxidant Value. Molecules 2011, 16, 4328–4338. [Google Scholar] [CrossRef]
- Kawagishi, H.; Hamajima, K.; Inoue, Y. Novel hydroquinone as a matrix metallo-proteinase inhibitor from the mushroom, Piptoporus betulinus. Biosci. Biotechnol. Biochem. 2002, 66, 2748–2750. [Google Scholar] [CrossRef] [PubMed]
- Schlegel, B.; Luhmann, U.; Härtl, A.; Gräfe, U. Piptamine, a new antibiotic produced by Piptoporus betulinus Lu 9-1. J. Antibiot. 2000, 53, 973–974. [Google Scholar] [CrossRef]
- Felegyi, K.; Garadi, Z.; Racz, B.; Toth, G.; Papp, V.; Boldizsar, I.; Dancso, A.; Spengler, G.; Beni, S.; Vanyolos, A. Polyporenic Acids from the Mushroom Buglossoporus quercinus Possess Chemosensitizing and Efflux Pump Inhibitory Activities on Colo 320 Adenocarcinoma Cells. J. Fungi 2023, 9, 923. [Google Scholar] [CrossRef]
- Han, J.; Sohn, E.J.; Kim, B.; Kim, S.; Won, G.; Yoon, S.; Lee, J.; Kim, M.J.; Lee, H.; Chung, K.; et al. Upregulation of death receptor 5 and activation of caspase 8/3 play a critical role in ergosterol peroxide induced apoptosis in DU 145 prostate cancer cells. Cancer Cell Int. 2014, 14, 117. [Google Scholar] [CrossRef]
- Chen, Y.K.; Kuo, Y.H.; Chiang, B.H.; Lo, J.M.; Sheen, L.Y. Cytotoxic activities of 9,11-dehydroergosterol peroxide and ergosterol peroxide from the fermentation mycelia of Ganoderma lucidum cultivated in the medium containing leguminous plants on Hep 3B cells. J. Agric. Food Chem. 2009, 57, 5713–5719. [Google Scholar] [CrossRef]
- Zheng, S.; Yang, H.; Zhang, S.; Wang, X.; Yu, L.; Lu, J.; Li, J. Initial study on naturally occurring products from traditional Chinese herbs and vegetables for chemoprevention. J. Cell Biochem. 1997, 27, 106–112. [Google Scholar] [CrossRef]
- Grienke, U.; Kaserer, T.; Kirchweger, B.; Lambrinidis, G.; Kandel, R.T.; Foster, P.A.; Schuster, D.; Mikros, E.; Rollinger, J.M. Steroid sulfatase inhibiting lanostane triterpenes—Structure activity relationship and in silico insights. Bioorg. Chem. 2020, 95, 103495. [Google Scholar] [CrossRef] [PubMed]
- Zhou, L.; Zhang, Y.; Gapter, L.A.; Ling, H.; Agarwal, R.; Ng, K.Y. Cytotoxic and anti-oxidant activities of lanostane-type triterpenes isolated from Poria cocos. Chem. Pharm. Bull. 2008, 56, 1459–1462. [Google Scholar] [CrossRef] [PubMed]
- Ataseven, D.; Öztürk, A.; Özkaraca, M.; Joha, Z. Anticancer activity of lycopene in HT-29 colon cancer cell line. Med. Oncol. 2023, 40, 127. [Google Scholar] [CrossRef] [PubMed]
- Wang, H.; Yang, X.; Liu, A.; Wang, G.; Bosland, M.C.; Yang, C.S. δ-Tocopherol inhibits the development of prostate adenocarcinoma in prostate specific Pten−/− mice. Carcinogenesis 2018, 39, 158–169. [Google Scholar] [CrossRef]
- Laavola, M.; Haavikko, R.; Hamalainen, M.; Leppanen, T.; Nieminen, R.; Alakurtti, S.; Moreira, V.M.; Yli-Kauhaluoma, J.; Moilanen, E. Betulin Derivatives Effectively Suppress Inflammation in Vitro and in Vivo. J. Nat. Prod. 2016, 79, 274–280. [Google Scholar] [CrossRef]
- Kaminaga, T.; Yasukawa, K.; Takido, M.; Tai, T.; Nunoura, Y. Inhibitory Effect of Poria cocos on 12-O-Tetradecanoylphorbol-13-Acetate-Induced Ear Oedema and Tumour Promotion in Mouse Skin. Phytother. Res. 1996, 10, 581–584. [Google Scholar] [CrossRef]
- Giner, E.M.; Máñez, S.; Recio, M.C.; Giner, R.M.; Cerdá-Nicolás, M.; Ríos, J.L. In vivo studies on the anti-inflammatory activity of pachymic and dehydrotumulosic acids. Planta Med. 2000, 66, 221–227. [Google Scholar] [CrossRef]
- Alam, M.B.; Chowdhury, N.S.; Sohrab, M.H.; Rana, M.S.; Hasan, C.M.; Lee, S.-H. Cerevisterol Alleviates Inflammation via Suppression of MAPK/NF-κB/AP-1 and Activation of the Nrf2/HO-1 Signaling Cascade. Biomolecules 2020, 10, 199. [Google Scholar] [CrossRef]
- García-Bailo, B.; Roke, K.; Mutch, D.M.; El-Sohemy, A.; Badawi, A. Association between circulating ascorbic acid, α-tocopherol, 25-hydroxyvitamin D, and plasma cytokine concentrations in young adults: A cross-sectional study. Nutr. Metab. 2012, 9, 102. [Google Scholar] [CrossRef]
- De Oliveira, B.F.; Veloso, C.A.; Nogueira-Machado, J.A.; de Moraes, E.N.; dos Santos, R.R.; Cintra, M.T.; Chaves, M.M. Ascorbic acid, alpha-tocopherol, and beta-carotene reduce oxidative stress and proinflammatory cytokines in mononuclear cells of Alzheimer’s disease patients. Nutr. Neurosci. 2012, 15, 244–251. [Google Scholar] [CrossRef] [PubMed]
- Marcus, S. Antibacterial activity of the triterpenoid acid (polyporenic acid C) and of ungulinic acid, metabolic products of Polyporus benzoinus (Wahl.) Fr. Biochem. J. 1952, 50, 516–517. [Google Scholar] [CrossRef]
- Claeson, P.; Rådström, P.; Sköld, O.; Nilsson, Å.; Höglund, S. Bactericidal effect of the sesquiterpene T-cadinol on Staphylococcus aureus. Phytother. Res. 2006, 6, 94–98. [Google Scholar] [CrossRef]
- Saroj, A.; Pragadheesh, V.S.; Palanivelu; Yadav, A.; Singh, S.C.; Samad, A.; Negi, A.S.; Chanotiya, C.S. Anti-phytopathogenic activity of Syzygium cumini essential oil, hydrocarbon fractions and its novel constituents. Ind. Crop. Prod. 2015, 74, 327–335. [Google Scholar] [CrossRef]
- Sun, I.C.; Wang, H.K.; Kashiwada, Y.; Shen, J.K.; Cosentino, L.M.; Chen, C.H.; Yang, L.M.; Lee, K.H. Anti-AIDS agents. 34. Synthesis and structure-activity relationships of betulin derivatives as anti-HIV agents. J. Med. Chem. 1998, 41, 4648–4657. [Google Scholar] [CrossRef]
- Duker-Eshun, G.; Jaroszewski, J.W.; Asomaning, W.A.; Oppong-Boachie, F.; Christensen, S.B. Antiplasmodial constituents of Cajanus cajan. Phytother. Res. 2004, 18, 128–130. [Google Scholar] [CrossRef]
- Meza-Menchaca, T.; Ramos-Ligonio, A.; López-Monteon, A.; Vidal Limón, A.; Kaluzhskiy, L.A.; Shkel, T.V.; Strushkevich, N.V.; Jiménez-García, L.F.; Moreno, L.T.A.; Gallegos-García, V.; et al. Insights into Ergosterol Peroxide’s Trypanocidal Activity. Biomolecules 2019, 9, 484. [Google Scholar] [CrossRef] [PubMed]
- Eom, S.; Kim, Y.S.; Lee, S.B.; Noh, S.; Yeom, H.D.; Bae, H.; Lee, J.H. Molecular Determinants of α3β4 Nicotinic Acetylcholine Receptors Inhibition by Triterpenoids. Biol. Pharm. Bull. 2018, 41, 65–72. [Google Scholar] [CrossRef]
- Liu, Y.; Liu, W.; Li, M.; Yuan, T. Lanostane triterpenoids from the fruiting bodies of Fomitopsis pinicola and their anti-inflammatory activities. Phytochemistry 2022, 193, 112985. [Google Scholar] [CrossRef]
- Mukai, A.; Takahashi, K.; Kofujita, H.; Ashitani, T. Antitermite and antifungal activities of thujopsene natural autoxidation products. Eur. J. Wood Wood Prod. 2019, 77, 311–317. [Google Scholar] [CrossRef]
- Govindarajan, M.; Rajeswary, M.; Benelli, G. δ-Cadinene, Calarene and δ-4-Carene from Kadsura heteroclita Essential Oil as Novel Larvicides against Malaria, Dengue and Filariasis Mosquitoes. Comb. Chem. High Throughput Screen. 2016, 19, 565–571. [Google Scholar] [CrossRef] [PubMed]
- Kawata, A.; Murakami, Y.; Suzuki, S.; Fujisawa, S. Anti-inflammatory Activity of β-Carotene, Lycopene and Tri-n-butylborane, a Scavenger of Reactive Oxygen Species. In Vivo 2018, 32, 255–264. [Google Scholar] [CrossRef]
- Kulawik, A.; Cielecka-Piontek, J.; Zalewski, P. The Importance of Antioxidant Activity for the Health-Promoting Effect of Lycopene. Nutrients 2023, 15, 3821. [Google Scholar] [CrossRef] [PubMed]
- Zueva, I.; Lushchekina, S.; Shulnikova, P.; Lenina, O.; Petrov, K.; Molochkina, E.; Masson, P. α-tocopherol, a slow-binding inhibitor of acetylcholinesterase. Chem. Biol. Interact. 2021, 348, 109646. [Google Scholar] [CrossRef] [PubMed]
- Li, Y.; Zhang, L.; Wang, Z.; Bi, Y.; Peng, D. High efficiency preparation of standard grade γ-tocopherol and its antioxidant activity. J. Am. Oil Chem. Soc. 2022, 99, 331–340. [Google Scholar] [CrossRef]
- Van Do, T.N.; Le, T.H.; Nguyen, H.X.; Vo, T.N.T.; Dang, P.H.; Nguyen, N.T.; Nguyen, M.T.T. δ-Tocopherol derivatives from the leaves of Muntingia calabura L. Nat. Prod. Res. 2022, 36, 5524–5529. [Google Scholar] [CrossRef]
- Serdyuk, O.P.; Smolygina, L.D.; Muzafarov, E.N.; Adanin, V.M.; Arinbasarov, M.U. 4-Hydroxyphenethyl alcohol—A new cytokinin-like substance from the phototrophic purple bacterium Rhodospirillum rubrum 1R. FEBS Lett. 1995, 365, 10–12. [Google Scholar] [CrossRef]
- Gęgotek, A.; Skrzydlewska, E. Antioxidative and Anti-Inflammatory Activity of Ascorbic Acid. Antioxidants 2022, 11, 1993. [Google Scholar] [CrossRef]
- Han, H.; Zhang, P.; Xie, Z.; Qi, J.; Wang, P.; Li, C.; Xue, Z.; Wu, R.; Liu, C. Functional Characterization of Sesquiterpene Synthases and P450 Enzymes in Flammulina velutipes for Biosynthesis of Spiro [4.5] Decane Terpene. J. Agric. Food Chem. 2024, 72, 9227–9235. [Google Scholar] [CrossRef]
- Liu, C.; Minami, A.; Ozaki, T.; Wu, J.; Kawagishi, H.; Maruyama, J.I.; Oikawa, H. Efficient Reconstitution of Basidiomycota Diterpene Erinacine Gene Cluster in Ascomycota Host Aspergillus oryzae Based on Genomic DNA Sequences. J. Am. Chem. Soc. 2019, 141, 15519–15523. [Google Scholar] [CrossRef] [PubMed]
- Duan, Y.; Han, H.; Qi, J.; Gao, J.-M.; Xu, Z.; Wang, P.; Zhang, J.; Liu, C. Genome sequencing of Inonotus obliquus reveals insights into candidate genes involved in secondary metabolite biosynthesis. BMC Genom. 2022, 23, 314. [Google Scholar] [CrossRef] [PubMed]
- Zhang, R.Q.; Feng, X.L.; Wang, Z.X.; Xie, T.C.; Duan, Y.; Liu, C.; Gao, J.M.; Qi, J. Genomic and Metabolomic Analyses of the Medicinal Fungus Inonotus hispidus for Its Metabolite’s Biosynthesis and Medicinal Application. J. Fungi 2022, 8, 1245. [Google Scholar] [CrossRef]
- Hage, H.; Miyauchi, S.; Virágh, M.; Drula, E.; Min, B.; Chaduli, D.; Navarro, D.; Favel, A.; Norest, M.; Lesage-Meessen, L.; et al. Gene family expansions and transcriptome signatures uncover fungal adaptations to wood decay. Environ. Microbiol. 2021, 23, 5716–5732. [Google Scholar] [CrossRef]
- Wawrzyn, G.T.; Quin, M.B.; Choudhary, S.; López-Gallego, F.; Schmidt-Dannert, C. Draft Genome of Omphalotus olearius Provides a Predictive Framework for Sesquiterpenoid Natural Product Biosynthesis in Basidiomycota. Chem. Biol. 2012, 19, 772–783. [Google Scholar] [CrossRef] [PubMed]
- Nagamine, S.; Liu, C.; Nishishita, J.; Kozaki, T.; Sogahata, K.; Sato, Y.; Minami, A.; Ozaki, T.; Schmidt-Dannert, C.; Maruyama, J.-I.; et al. Ascomycete Aspergillus oryzae Is an Efficient Expression Host for Production of Basidiomycete Terpenes by Using Genomic DNA Sequences. Appl. Environ. Microbiol. 2019, 85, e00409-19. [Google Scholar] [CrossRef]
- Agger, S.; Lopez-Gallego, F.; Schmidt-Dannert, C. Diversity of sesquiterpene synthases in the basidiomycete Coprinus cinereus. Mol. Microbiol. 2009, 72, 1181–1195. [Google Scholar] [CrossRef]
- Wu, J.; Yang, X.; Duan, Y.; Wang, P.; Qi, J.; Gao, J.M.; Liu, C. Biosynthesis of Sesquiterpenes in Basidiomycetes: A Review. J. Fungi 2022, 8, 913. [Google Scholar] [CrossRef]
- Yang, H.; Song, C.; Liu, C.; Wang, P. Synthetic Biology Tools for Engineering Aspergillus oryzae. J. Fungi 2024, 10, 34. [Google Scholar] [CrossRef]









Disclaimer/Publisher’s Note: The statements, opinions and data contained in all publications are solely those of the individual author(s) and contributor(s) and not of MDPI and/or the editor(s). MDPI and/or the editor(s) disclaim responsibility for any injury to people or property resulting from any ideas, methods, instructions or products referred to in the content. |
© 2024 by the authors. Licensee MDPI, Basel, Switzerland. This article is an open access article distributed under the terms and conditions of the Creative Commons Attribution (CC BY) license (https://creativecommons.org/licenses/by/4.0/).
Share and Cite
Li, J.; Li, Z.; Duan, Y.; Liu, C.; Yan, M. Secondary Metabolites of Fomitopsis betulina: Chemical Structures, Biological Activity and Application Prospects. J. Fungi 2024, 10, 616. https://doi.org/10.3390/jof10090616
Li J, Li Z, Duan Y, Liu C, Yan M. Secondary Metabolites of Fomitopsis betulina: Chemical Structures, Biological Activity and Application Prospects. Journal of Fungi. 2024; 10(9):616. https://doi.org/10.3390/jof10090616
Chicago/Turabian StyleLi, Jianghao, Ziheng Li, Yingce Duan, Chengwei Liu, and Meixia Yan. 2024. "Secondary Metabolites of Fomitopsis betulina: Chemical Structures, Biological Activity and Application Prospects" Journal of Fungi 10, no. 9: 616. https://doi.org/10.3390/jof10090616
APA StyleLi, J., Li, Z., Duan, Y., Liu, C., & Yan, M. (2024). Secondary Metabolites of Fomitopsis betulina: Chemical Structures, Biological Activity and Application Prospects. Journal of Fungi, 10(9), 616. https://doi.org/10.3390/jof10090616

