You are currently viewing a new version of our website. To view the old version click .
Journal of Fungi
  • Article
  • Open Access

24 April 2024

Prevalence and Species Distribution of Candida Clinical Isolates in a Tertiary Care Hospital in Ecuador Tested from January 2019 to February 2020

,
,
,
,
and
1
Faculty of Medicine, Universidad Nacional del Nordeste, Corrientes 3400, Argentina
2
Omics Science Laboratory, Faculty of Health Science, Universidad Espíritu Santo, Samborondon 092301, Ecuador
3
Instituto Interamericano de Cooperación para la Agricultura (IICA), Representación Ecuador-Proyecto-5CN-1RBT, Quito 170518, Ecuador
4
Faculty of Health Science, Universidad Espíritu Santo, Samborondon 092301, Ecuador
This article belongs to the Special Issue New Perspectives for Candidiasis 2.0

Abstract

The incidence of candidemia in healthcare centers is associated with high morbidity and mortality. Frequency varies significantly among regions, with some species being more prevalent than others in Latin America. In this study, 191 clinical Candida isolates were collected from a major hospital in Ecuador from January 2019 to February 2020 aiming to assess their prevalence and distribution. After data processing, 168 isolates characterized by the VITEK 2 system were subsequently identified by ITS sequencing. Results showed diverse Candida species distributions, with C. albicans and C. tropicalis being the most prevalent across different clinical sources. In hospitalized individuals, C. tropicalis (38%) and C. albicans (37%) were the most prevalent, followed by, C. parapsilosis (16%), C. glabrata (5%), and other non-Candida albicans (NCA) species (6%). Conversely, C. parapsilosis (48%), C. albicans (20%), and C. glabrata (14%), associated with candidemia, were the most common in blood and CSF. Additionally, uncommon NCA species such as C. haemulonii, C. kefyr, and C. pelliculosa were identified in Ecuador for the first time. Discrepancies in species identification were observed between the VITEK 2 system and ITS sequencing, coinciding at 85%. This highlights the need for ongoing surveillance and identification efforts in Ecuador’s clinical and epidemiological settings.

1. Introduction

The impact of fungal infections caused by Candida species on human health, besides being transcendental, is sometimes not widely recognized [1]. For instance, it is assumed that 90% of HIV-positive patients who are not being treated with highly active antiretroviral therapy (HAART) will develop either oropharyngeal or esophageal candidiasis [2]. Additionally, candidemia in hospitalized patients is the leading mycosis in tertiary care hospitals worldwide [3], mainly due to the emergence and prevalence of colonization of new non-Candida albicans (NCA) species. This emergence is driven by the increased use of prophylactic antifungals [4,5]. Considering the above, it becomes imperative to monitor infections caused by Candida spp. constantly. While this monitoring is routine in the USA, Europe, and Asia, epidemiological information on fungal infections caused by Candida spp. is scarce in Latin America, except Brazil [6,7].
A report suggests that the incidence of candidemia or invasive candidiasis in Latin America is mainly caused by Candida albicans (37.6%), followed by other NCA species such as Candida parapsilosis (26.5%), Candida tropicalis (17.6%) and Nakaseomyces glabratus (formerly referred to as Candida glabrata) (6.3%) [6]. Emerging infections by other NCA species such as C. auris, C. dubliniensis, C. haemulonii, Kluyveromyces marxianus (formerly referred to as Candida kefyr), Pichia kudriavzevii (formerly referred to as Candida krusei), Clavispora lusitaniae (formerly referred to as Candida lusitaniae), Candida orthopsilosis, Wickerhamomyces anomalus (formerly referred to as Candida pelliculosa) and Diutina rugosa (formerly referred to as Candida rugosa) have the potential to rapidly spread among critical patients and become dominant opportunistic pathogens in their populations [5]. Over the last two decades, the proportion of candidemia caused by NCA species has increased from 40% to 65%, largely related to improvements in diagnostic methods, such as molecular techniques incorporated into the routine diagnosis of fungemia [8]. Amplification of internal transcribed spacers (ITSs) is considered an effective method for confirming the identity and conducting phylogenetic analysis in Candida species [9].
The most common etiological agent of candidiasis has been C. albicans. However, recent studies have shown a shift in dominance from C. albicans to NCA species such as C. tropicalis, C. parapsilosis, C. glabrata (Nakaseomyces glabratus) and C. krusei (Pichia kudriavzevii) [10,11,12,13]. In 2003, a regional study with 2139 clinical isolated cases from Colombia, Ecuador, and Venezuela found that C. albicans was the most typical isolate (62%), followed by C. parapsilosis (11%), C. tropicalis (8.5%), and C. glabrata (Nakaseomyces glabratus) (3.5%) [14]. A decade later, a study on candidemia in Latin America estimated a rate of 0.90 cases per 1000 admissions in Ecuador, with 52.2% of cases due to C. albicans, 30.4% to C. parapsilosis and 10.9% to C. tropicalis [6]. However, the demographic distribution and the sample sizes were not representative of the countries. Another study in Ecuador employed ITS banding patterns and size to analyze 170 samples collected between January 2000 and August 2007 from the strain collection of the Clinical Mycology Laboratory of the Pontificia Universidad Católica del Ecuador (PUCE). The study identified C. albicans and C. tropicalis as the most prevalent strains [15]. Altogether, these studies reflect the changing landscape of candidiasis etiology, encouraging the need for local research to better understand its epidemiological behavior in Ecuador.
The aim of this study is to present the distribution and molecular characterization of Candida spp. from clinical isolates collected between January 2019 and February 2020 in a tertiary hospital in Guayaquil, Ecuador.

2. Materials and Methods

2.1. Clinical Samples and Yeast Isolation Culture

Clinical fungal isolates were obtained according to the standard microbiological protocols of the laboratory of microbiology at a tertiary hospital (Guayaquil, Ecuador) from January 2019 to February 2020. Fresh biological samples were examined to evaluate cell morphology and Gram-stain appearance. Yeast-like colonies were purified onto Sabouraud dextrose agar (SDA-Oxoid, ThermoScientific, Waltham, MA, USA) supplemented with chloramphenicol (0.05 g/L) and incubated at 37 °C for 24/48 h. Identification was achieved through subculture on a HardyCHROM™ Candida (CRITERION®, Hardy Diagnostics, Santa Maria, CA, USA), and samples were incubated at 37 °C for 48 h. To confirm Candida species, a YS card and the VITEK 2 system (bioMérieux, Inc., Hazelwood, MO, USA) were used following the manufacturer’s instructions. In brief, the colonies that had previously grown on Sabouraud medium at 35 °C for 24 h were suspended in a sterile physiological solution. The suspensions were prepared at 1.8–2.2 McFarland scale turbidity and measured using DensiChek (bioMérieux, Inc., Hazelwood, MO, USA), and the inoculum was dispensed on the YS card. The incubation time depended on the growth rate of organisms in the control well, whereas identification was made by comparison with the database.

2.2. DNA Extraction

Prior to DNA extraction, all fungi were cultured on SD agar at room temperature for 24/48 h. Each isolate was suspended in 400 μL of protoplast buffer (1.0 M sorbitol, 1% β-mercaptoethanol, 0.25 mg of lysozyme (Sigma-Aldrich, St. Louis, MO, USA) and 0.25 mg of lyticase (Sigma-Aldrich, St. Louis, MO, USA) and incubated at −80 °C overnight, followed by heat-shock incubation at 37 °C for 2 h. Fungal DNA was extracted using a PureLink® Genomic DNA Mini Kit (Invitrogen, Waltham, MA, USA) following the manufacturer’s protocol and with subsequent modifications: the previously suspended samples in protoplast buffer were mixed with 180 μL digestion buffer and proteinase K. The samples were incubated for 30 min at 65 °C and RNAse A was added. Then, the mixtures were incubated at room temperature for 10 min. The samples were subjected to centrifugation at 10,000× g for 5 min and supernatants were collected into new Eppendorf tubes. Subsequently, they were mixed with 200 μL of 100% ethanol and vortexed for 5 s. Then the solutions were transferred to a spin column and centrifuged at 10,000× g for 1 min. This was followed by washing with 500 μL of wash buffer 1 and centrifugation at 10,000 rpm for 1 min. Then, 500 μL of wash buffer 2 was added to the spin columns and centrifuged at 10,000 rpm for 3 min. The DNA was eluted by adding 100 μL of ultrapure nuclease-free water incubated at room temperature for 3 min and centrifuged at 13,000 rpm for 1 min. The genetic material was then stored at −20 °C until further use. Purity of the DNA was evaluated by spectrophotometric A260/280 ratio, while the concentration was calculated according to A260. DNA integrity was assessed by 1% agarose gel electrophoresis in 1X TAE buffer (Tris, Acetate, EDTA) supplemented with SYBR green nucleic acid stain (Invitrogen) by comparing the intensity and molecular weight band of DNA with a 100 bp ladder (Trackit-Invitrogen). Electrophoresis conditions were performed at 100 volts, 35 milliamps.

2.3. Molecular Characterization of Candida Clinical Isolates by ITS Regions

After DNA extraction, the isolates were identified by the amplification of the internal transcribed spacers of rDNA using ITS-1 (5′-TCC GTA GGT GAA CCT GCG G-3′) and ITS-4 universal primers (5′-TCC TCC GCT TAT TGA TAT GC-3′) [16]. PCR conditions were performed in a final volume of 30 μL with a final concentration of 0.25 mM dNTPs, 2.5 mM MgCl2, 2 μM primers, 2U Taq polymerase and 1X PCR buffer. The program included initial denaturation at 95 °C for 5 min, followed by 35 cycles with denaturation at 94 °C for 60 s, annealing at 51 °C for 80 s and extension at 72 °C for 60 s, with a final extension at 72 °C for 10 min. Further sample processing resulted in highly diverse representative strains. Purified amplicons were sequenced in Macrogen (Seoul, Republic of Korea) and edited in Geneious Prime 2023 software (version 2023.0.4) to obtain a consensus sequence. Taxonomic affiliation was confirmed by the BLAST alignment algorithm (https://blast.ncbi.nlm.nih.gov/Blast.cgi, accessed on 22 September 2023). ITS sequences were deposited in Bioproject PRJNA1077920 (Genbank ID: PP503965-PP504130). Figures were constructed in R version 4.2.2 for Mac using the ggplot2 package Version 3.5.0 [17].

3. Results

3.1. Origin of Candida Strains

From January 2019 to February 2020, a total of 191 Candida isolates were identified from patients admitted to different departments of the tertiary care hospital in Ecuador. C. albicans was isolated from the majority of hospital departments (53%), with the highest incidence reported in the critical care department (18%, n = 35), followed by the surgery department (14%, n = 26), general medicine department (10%, n = 18), observational medicine department (5%, n = 9), women’s health department (3%, n = 5), and the emergency department (2%, n = 4). The remaining 3% was found among the departments of urology, pediatrics and oncology. With respect to NCA species (47%), C. tropicalis and C. parapsilopsis were identified as the predominant species, accounting for 52% and 22% of the total NCA, respectively. They were mainly found in critical care, surgery and observational medicine departments. The third-commonest NCA was C. glabrata (14%), identified in the departments of general medicine (43%), emergency (21%) and critical care (21%). C. lusitanae and C. krusei represented 4% of all isolates, while the remaining five included uncommon NCA species (C. pelliculosa, C. haemulonii, C. kefyr, C. dubliniensis and C. rugosa) (Figure 1).
Figure 1. Total distribution of 191 Candida species isolated across different hospital departments from a tertiary hospital in Guayaquil, Ecuador between January 2019 and February 2020.

3.2. Molecular Characterization of Candida Strains and Source Distribution

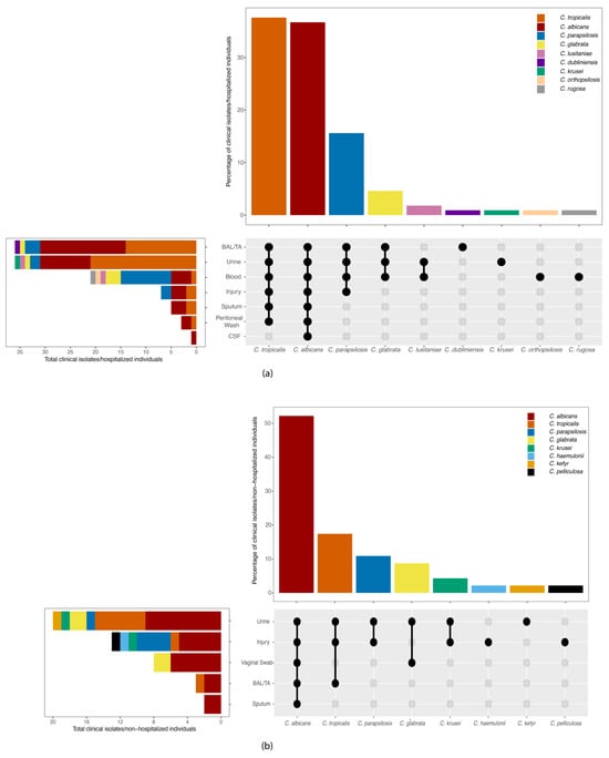
Following sequencing data processing, 168 Candida spp. that originated from diverse clinical sources among hospitalized and non-hospitalized individuals were confirmed. Cases of candidemia were detected in hospitalized individuals, particularly isolates from blood and cerebrospinal fluid (31%), while the remaining 69% were recognized as colonization cases, distributed as follows: 33% (n = 36) from bronchoalveolar lavage/tracheal aspirate (BAL/TA), 33% (n = 36) from urine, 6% (n = 7) from injury, 5% (n = 5) from sputum, and 3% (n = 3) from peritoneal wash (Figure 2a). In contrast, isolates from non-hospitalized individuals showed that 43% originated from urine (n = 20), 28% from injury (n = 13), 17% from vaginal swabs (n = 8), 7% from BAL/TA (n = 3), and 4% from sputum (n = 2) (Figure 2b).
Figure 2. UpSet plot: distribution of Candida species by clinical samples from (a) hospitalized and (b) non-hospitalized individuals collected from a tertiary hospital in Guayaquil, Ecuador between January 2019 and February 2020. BAL/TA: bronchoalveolar lavage/tracheal aspirate, CSF: cerebrospinal fluid.
The molecular characterization of Candida strains involved the sequencing of the ITS region in all clinical isolates. The results showed a diverse distribution of Candida species among both hospitalized and non-hospitalized individuals. For hospitalized individuals, the predominant Candida species were C. albicans (37%) and C. tropicalis (38%), followed by C. parapsilosis (16%), C. glabrata (5%), C. lusitaniae (2%), C. dubliniensis (2%). The remaining 4% comprised C. krusei, C. rugosa and C. orthopsilosis. Among the different specimen sources, the greatest abundance of isolates was detected in BAL/TA and urine samples. For BAL/TA (n = 36), C. albicans was the most prevalent (n = 17), followed by C. tropicalis (n = 14), C. parapsilosis (n = 3), C. glabrata (n = 1) and C. dubliniensis (n = 1). For urine specimens (n = 36), C. tropicalis was the most common species (n = 21), followed by C. albicans (n = 10), and C. parapsilosis (n = 2), with C. glabrata, C. lusitaniae, C. krusei each having one isolate. The other most representative source was blood (n = 20), from which 48% of isolates were C. parapsilosis (n = 10), followed by 19% C. albicans (n = 4), 14% C. glabrata (n = 3), and the remaining 20% equally distributed among C. lusitaniae, C. rugosa and C. orthopsilosis. Additionally, C. albicans was identified in a CSF source linked to candidemia. In injuries (n = 7), C. albicans (n = 3), C. parapsilosis (n = 2) and C. tropicalis (n = 2) were identified, while peritoneal wash and sputum sources showed C. albicans and C. tropicalis with three and five isolates, respectively (Figure 2a).
For non-hospitalized individuals, C. albicans was the most common species (52%), followed by C. tropicalis (17%), C. parapsilosis (11%), C. glabrata (9%), and C. krusei (4%), and the remaining 6% were rare NCA species, such as C. haemulonii, C. kefyr, and C. pelliculosa. Among the sources that were analyzed, urine (n = 20) emerged as the most frequent source of isolates. Within these urine samples, C. albicans was detected in nine cases, followed by C. tropicalis (n = 6), C. glabrata (n = 2) and one each of C. parapsilosis, C. krusei, and C. kefyr. In injury cases (n = 13), C. albicans and C. parapsilosis were predominant (n = 5, n = 4 respectively), with singular occurrences of C. tropicalis and C. krusei and two species identified as rare NCA, namely, C. haemulonii and C. pelliculosa. BAL/TA yielded isolates of both C. albicans and C. tropicalis. Regarding vaginal swabs, only C. albicans (n = 6) and C. glabrata (n = 2) were identified, all from non-hospitalized individuals. Finally, two sputum isolates were both identified as C. albicans (Figure 2b).
Notably, from the environmental catheter source, C. parapsilosis (n = 5) and C. albicans (n = 3) were identified. Among isolates with unreported sources (n = 5), C. tropicalis and C. orthopsilosis were detected in two and three cases, respectively.

3.3. Comparison of VITEK 2 System and ITS Sequencing

Although most of the results from VITEK 2 (bioMérieux) and ITS sequencing agreed, there were differences, particularly in identifying C. orthopsilosis. Initially, four isolates that were first recognized as C. parapsilosis by VITEK 2 were identified as C. orthopsilosis using ITS sequencing. Kappa coefficient (k), standard error and 95% confidence intervals were calculated to assess the level of agreement between phenotypic and molecular methods. Results indicated that both methods had an almost perfect level of agreement (0.859), and there seemed to be no significant standard error between them (0.033; 0.785–0.916).

4. Discussion

Candidiasis and candidemia are major healthcare-associated fungal infectious diseases. The epidemiology and prevalence of Candida infectious diseases are influenced by factors such as hospital treatment approaches, patient-specific risk factors, antifungal resistance, and geographic location [6,18,19,20,21]. This is the first report on the epidemiological situation in Ecuador to analyze the distribution of Candida clinical isolates for a year, whereby the species were characterized through ITS sequencing. We identified a wide variety of species, including the most abundant species: C. albicans, C. tropicalis, C. parapsilosis and C. glabrata. However, other emerging and rare NCA species were also detected, of which some are reported for the first time in the country and even in Latin America.
In our study, C. albicans was the most prevalent species (53% of total isolates). These results align with the species distribution observed in healthcare centers across different countries, including Shanghai, China; Beirut, Lebanon; Apulia, Italy; and southern Brazil [22,23,24,25]. In these studies, C. albicans was the most frequently isolated species within medical departments, followed by C. tropicalis and C. parapsilosis. The results indicate that C. albicans is the foremost Candida species. Nevertheless, there is a potential for NCA to surpass it in prevalence. It is important to approach these findings with caution. The observed prevalence rates of Candida species may be influenced by the frequency and scope of the conducted microbiological analyses across different departments, as well as the biological sources.
Diverse regional variations in the prevalence of Candida species have been extensively discussed in the literature, in which C. albicans (18–76%), C. tropicalis (10–39%), C. parapsilosis (5–49%) and C. glabrata (15–25%) are predominant [26,27,28,29,30,31,32,33,34,35,36]. Our study showed a high shared predominance of isolates from hospitalized and non-hospitalized individuals between C. albicans (40% vs. 52%) and C. tropicalis (35% vs. 17%), followed by C. parapsilosis (14% vs. 11%), C. glabrata (5% vs. 9%) and emerging NCA species (7% vs. 10%). By contrast, a decade ago, distinctive distribution in Ecuador was indicated, with 52.2% of invasive candidiasis attributed to C. albicans, C. parapsilosis (30.4%), C. tropicalis (10.9%), C. glabrata (4.3%), and C. guilliermondii (2.2%) [6]. Discrepancies with our study were not only in the distribution and prevalence of Candida species but also in the identification of new Candida species.
Recent decades have witnessed a decline in C. albicans prevalence, dropping to as low as 44% in some countries [27,36,37,38,39]. Emerging NCA species have increasingly taken precedence, especially in intensive care unit (ICU) hospitalizations, and both hospital and community-acquired infections have become more prevalent [40]. In our study, C. tropicalis emerged as a predominant NCA identified mainly in urine and BAL/TA samples, whereas C. parapsilosis was the second-commonest NCA species identified, particularly isolated from blood. Similar prevalence of both C. tropicalis and C. parapsilosis was observed in a longitudinal study conducted in Colombia in tertiary health institutions, in which these species were also identified in respiratory samples and blood [41].
The prevalence patterns of C. glabrata and C. krusei are of special importance in public health due to their increasing reported resistance to commonly used antifungal agents [42,43,44,45,46] and their rapid dissemination, particularly in immunocompromised patients [27,47,48]. Our study found a prevalence of 5% of C. glabrata in hospitalized individuals, of which three isolates originated from blood samples. Among non-hospitalized individuals, C. glabrata was identified in urine and vaginal swabs, with a prevalence of 9%. These findings differ from the annual proportion of C. glabrata bloodstream isolates among all Candida reported by Won et al., who observed an increase in infection caused by C. glabrata from 11.7% to 23.9% (mean 18.6%) [49]. Another study reported C. glabrata as the most relevant etiologic agent among NCA species in vulvovaginal and urinary tract infections [50,51,52]. Concerning C. krusei, although it was not detected in blood isolates, we identified four isolates that originated from urine and wound samples. These findings align with the epidemiology of candidemia in Latin America, which show a prevalence of 2.7 to 3.3% [6,53]. This contrasts with reports from Asian and African regions where the prevalence of C. krusei increased from 10% to 33%, particularly in bloodstream isolates [48,54,55]. These findings underscore the critical public health significance of monitoring prevalence and treatment strategies, especially regarding Candida species with increasing resistance and rapid spread in clinical settings.
Conventional diagnostic methods pose significant challenges to the accurate identification of Candida species, primarily due to their low sensitivity and prolonged processing time. For instance, C. auris is often misidentified with closely related species such as C. haemulonii when employing these methods [56]. To address these limitations, targeted genome sequencing has emerged as a promising approach for the development of rapid and accurate diagnostic assays [57]. In this study, the ITS region sequencing allowed the identification of emerging NCA species, including C. dubliniensis, C. haemulonii, C. kefyr, C. krusei, C. lusitaniae, C. orthopsilosis, C. pelliculosa, and C. rugosa. Moreover, the identity of C. haemulonii was confirmed through whole-genome sequencing. Notably, we found no evidence of Candida auris presence in this hospital, contrasting with reports in other Latin American countries. Thus far, C. auris has not been documented in hospital environments or the resistance antimicrobial monitoring (RAM) system overseen by the Ecuadorian government.
Our findings not only contribute to expanding our knowledge of the fungal diversity of Ecuador but also highlight the importance of implementing molecular epidemiology schemes. These schemes would enable us to track rare NCA species occurrence and to study other important factors such as multidrug resistance (MDR) and virulence gene profiles associated with possible outbreaks [58,59,60,61]. Given the scarcity and insufficiency of epidemiological data on circulating Candida species within the country, it becomes imperative to conduct regional characterization to delineate typical distribution patterns and resistance rates. This is essential for establishing appropriate measures for infection control, managing outbreaks, implementing routine diagnostics, and conducting surveillance of patients at risk of invasive candidiasis.
Although the statistical agreement between VITEK 2 and ITS sequencing methods reached 85%, it is crucial to recognize the potential consequences of misidentification, as highlighted in some studies [62,63,64]. Misclassification of isolates raises significant concern, given the potential association with increased antimicrobial resistance and even more so when the gold standard diagnostic method in Ecuador is the VITEK 2 system test. Ensuring accurate identification of pathological agents is imperative to facilitate the implementation of appropriate control measures and treatments prescribed.
The global distribution of Candida spp. plays a significant role in the epidemiology of these fungal infections, commonly associated with a notable prevalence of C. albicans, C. glabrata, C. tropicalis, C. parapsilosis, and C. krusei [36,40]. Our research findings are consistent with this global distribution, as observed in the distribution trends of these species around the time of data collection, highlighting the dominance of C. albicans, C. tropicalis and C. parapsilosis and the emergence of non-typical Candida species throughout the year.
Recently, the World Health Organization Fungal Priority Pathogens List (WHO FPPL) categorized C. albicans as a critical priority group and included C. tropicalis, C. parapsilosis and C. glabrata in the high-priority group of fungal pathogens [65]. This classification aims to generate standard guidelines focused on specific preventive measures to strengthen laboratory capacities, surveillance, sustainable investments in research, development, innovation, and public health interventions. There is a growing need to adopt molecular techniques as part of diagnostic new strategies and genomic surveillance, such as real-time PCR diagnostics and next-generation sequencing (NGS) identification-based clinical tests for fungal species to decrease mortality and reduce misuse of antifungals [66,67,68,69,70]. However, molecular approach implementation such as fungal whole-genome-sequencing (WGS) in clinical microbiology is a real challenge in Ecuador. The primary areas of global response to fungal infections and antifungal resistance in the country are not considered within public policies.
Our study has several limitations. Firstly, there is a lack of information regarding clinical history underlying patients’ medical conditions and comprehensive healthcare records detailing treatments received. Secondly, the antifungal susceptibility profile of Candida isolates was incomplete, hindering a thorough analysis of the virulence characteristics of these clinical isolates. This information is crucial for implementing effective strategies to control outbreaks of resistant Candida species.

5. Conclusions

C. albicans was the most frequently isolated species, particularly predominant in critical care and hospitalized individuals between January 2019 and February 2020 in a tertiary hospital of Ecuador. NCA species made up 46% of the isolates, with a high prevalence of C. tropicalis, C. parapsilosis and C. glabrata. During this research period, species considered rare NCA were reported (C. dubliniensis, C. krusei, C. lusitaniae, and C. rugosa). In addition, the presence of C. haemulonii, C. kefyr and C. pelliculosa species are reported for the first time in the country. We recognize the inherent limitations of the research, such as the absence of comprehensive clinical, epidemiological, and antifungal susceptibility data. These highlight the immediate necessity of implementing public health policies focused on priority pathogenic fungi. These challenges are particular to Ecuador, where there is a notable shortfall in infrastructure, equipment, and an established fungal surveillance program. Despite these limitations, this study provides valuable insight into the current state of Candida species within the healthcare system of Ecuador’s most populous city.

Author Contributions

Conceptualization, Writing—original draft, Y.A.-M., J.C.T., R.A.-G., J.C.F.-C. and D.A.-M.; Data curation, Y.A.-M. and J.C.T.; Investigation, Y.A.-M., J.C.T., R.A.-G. and D.A.-M.; Methodology, Y.A.-M., J.C.F.-C. and D.A.-M.; Writing—review & editing, Y.A.-M., J.C.T., R.A.-G., M.J.C.-V., J.C.F.-C. and D.A.-M.; Formal analysis, J.C.T. and M.J.C.-V.; Visualization, J.C.T., M.J.C.-V. and D.A.-M.; Validation, R.A.-G. and J.C.F.-C.; Project administration, J.C.F.-C.; Supervision, J.C.F.-C. and D.A.-M.; Funding acquisition, D.A.-M. All authors have read and agreed to the published version of the manuscript.

Funding

This research was funded by Centro de Investigaciones—CIN, Universidad Espíritu Santo.

Institutional Review Board Statement

The study was conducted in accordance with the Declaration of Helsinki and approved by the Ethics Committee of Universidad Espíritu Santo (CEISH-UEES, project 2022-001A). Anonymity and protection of personal data were preserved.

Data Availability Statement

The original contributions presented in the study are included in the article, further inquiries can be directed to the corresponding author.

Conflicts of Interest

The authors declare no conflicts of interest.

References

  1. Brown, G.D.; Denning, D.W.; Gow, N.A.R.; Levitz, S.M.; Netea, M.G.; White, T.C. Hidden Killers: Human Fungal Infections. Sci. Transl. Med. 2012, 4, 165rv13. [Google Scholar] [CrossRef] [PubMed]
  2. Vazquez, J.A. Therapeutic Options for the Management of Oropharyngeal and Esophageal Candidiasis in HIV/AIDS Patients. HIV Clin. Trials 2000, 1, 47–59. [Google Scholar] [CrossRef]
  3. Sandven, P.; Bevanger, L.; Digranes, A.; Haukland, H.H.; Mannsåker, T.; Gaustad, P.; the Norwegian Yeast Study Group. Candidemia in Norway (1991 to 2003): Results from a Nationwide Study. J. Clin. Microbiol. 2006, 44, 1977–1981. [Google Scholar] [CrossRef] [PubMed]
  4. Deorukhkar, S.C.; Saini, S.; Mathew, S. Non- Albicans Candida Infection: An Emerging Threat. Interdiscip. Perspect. Infect. Dis. 2014, 2014, 1–7. [Google Scholar] [CrossRef] [PubMed]
  5. Jeffery-Smith, A.; Taori, S.K.; Schelenz, S.; Jeffery, K.; Johnson, E.M.; Borman, A.; Candida auris Incident Management Team; Manuel, R.; Brown, C.S. Candida Auris: A Review of the Literature. Clin. Microbiol. Rev. 2018, 31, e00029-17. [Google Scholar] [CrossRef] [PubMed]
  6. Nucci, M.; Queiroz-Telles, F.; Alvarado-Matute, T.; Tiraboschi, I.N.; Cortes, J.; Zurita, J.; Guzman-Blanco, M.; Santolaya, M.E.; Thompson, L.; Sifuentes-Osornio, J.; et al. Epidemiology of Candidemia in Latin America: A Laboratory-Based Survey. PLoS ONE 2013, 8, e59373. [Google Scholar] [CrossRef]
  7. Colombo, A.L.; Nucci, M.; Park, B.J.; Nouér, S.A.; Arthington-Skaggs, B.; Da Matta, D.A.; Warnock, D.; Morgan, J. Epidemiology of Candidemia in Brazil: A Nationwide Sentinel Surveillance of Candidemia in Eleven Medical Centers. J. Clin. Microbiol. 2006, 44, 2816–2823. [Google Scholar] [CrossRef]
  8. Sadeghi, G.; Ebrahimi-Rad, M.; Mousavi, S.F.; Shams-Ghahfarokhi, M.; Razzaghi-Abyaneh, M. Emergence of Non-Candida Albicans Species: Epidemiology, Phylogeny and Fluconazole Susceptibility Profile. J. Mycol. Méd. 2018, 28, 51–58. [Google Scholar] [CrossRef]
  9. Silva, S.; Negri, M.; Henriques, M.; Oliveira, R.; Williams, D.W.; Azeredo, J. Candida Glabrata, Candida Parapsilosis and Candida Tropicalis: Biology, Epidemiology, Pathogenicity and Antifungal Resistance. FEMS Microbiol. Rev. 2012, 36, 288–305. [Google Scholar] [CrossRef]
  10. Snydman, D.R. Shifting Patterns in the Epidemiology of Nosocomial Candida Infections*. Chest 2003, 123 (Suppl. S5), 500S–503S. [Google Scholar] [CrossRef]
  11. Sobel, J.D. The Emergence of Non-Albicans Candida Species as Causes of Invasive Candidiasis and Candidemia. Curr. Infect. Dis. Rep. 2006, 8, 427–433. [Google Scholar] [CrossRef] [PubMed]
  12. Seyoum, E.; Bitew, A.; Mihret, A. Distribution of Candida Albicans and Non-Albicans Candida Species Isolated in Different Clinical Samples and Their in Vitro Antifungal Susceptibility Profile in Ethiopia. BMC Infect. Dis. 2020, 20, 231. [Google Scholar] [CrossRef] [PubMed]
  13. Boonsilp, S.; Homkaew, A.; Phumisantiphong, U.; Nutalai, D.; Wongsuk, T. Species Distribution, Antifungal Susceptibility, and Molecular Epidemiology of Candida Species Causing Candidemia in a Tertiary Care Hospital in Bangkok, Thailand. J. Fungi 2021, 7, 577. [Google Scholar] [CrossRef] [PubMed]
  14. Bedout, C.D.; Tabares, A.M.; Restrepo, Á.; Arango, M.; Zuluaga, Á. Especies de Candida aisladas de lesiones ungueales y su sensibilidad in vitro al fluconazol (1999–2001). Rev. Asoc. Colomb. Dermatol. Cirugía Dermatol. 2003, 11, 325–331. [Google Scholar]
  15. Yánez Domínguez, D.D. Caracterización Molecular de las Especies de Candida Almacenadas en el Laboratorio de Micología Clínica de la Carrera de Bioquímica Clínica, Facultad de Medicina de la Pontificia Universidad Católica del Ecuador en la Ciudad de Quito Correspondientes al Período de Enero 2000 a Agosto 2007. Bachelor Thesis, PUCE—Quito. 2020. Available online: http://repositorio.puce.edu.ec:80/handle/22000/17478 (accessed on 19 January 2024).
  16. White, T.J.; Bruns, T.; Lee, S.J.W.T.; Taylor, J. Amplification and direct sequencing of fungal ribosomal RNA genes for phylogenetics. In PCR Protocols: A Guide to Methods and Applications; Academic Press: Cambridge, MA, USA, 1990; pp. 315–322. [Google Scholar]
  17. Wickham, H. Ggplot2: Elegant Graphics for Data Analysis. 2016. Available online: https://ggplot2.tidyverse.org/ (accessed on 25 March 2024).
  18. Conde-Rosa, A.; Amador, R.; Perez-Torres, D.; Colón, E.; Sánchez-Rivera, C.; Nieves-Plaza, M.; González-Ramos, M.; Bertrán-Pasarell, J. Candidemia Distribution, Associated Risk Factors, and Attributed Mortality at a University-Based Medical Center. P. R. Health Sci. J. 2010, 29, 26–29. [Google Scholar] [PubMed]
  19. Ortíz Ruiz, G.; Osorio, J.; Valderrama, S.; Álvarez, D.; Elías Díaz, R.; Calderón, J.; Ballesteros, D.; Franco, A. Risk Factors for Candidemia in Non-Neutropenic Critical Patients in Colombia. Med. Intensiv. 2016, 40, 139–144. [Google Scholar] [CrossRef] [PubMed]
  20. Doi, A.M.; Pignatari, A.C.C.; Edmond, M.B.; Marra, A.R.; Camargo, L.F.A.; Siqueira, R.A.; da Mota, V.P.; Colombo, A.L. Epidemiology and Microbiologic Characterization of Nosocomial Candidemia from a Brazilian National Surveillance Program. PLoS ONE 2016, 11, e0146909. [Google Scholar] [CrossRef] [PubMed]
  21. Rodero, L.; Davel, G.; Soria, M.; Vivot, W.; Córdoba, S.; Canteros, C.E.; Saporiti, A.; EMIFN. Multicenter study of fungemia due to yeasts in Argentina. Rev. Argent. Microbiol. 2005, 37, 189–195. [Google Scholar] [PubMed]
  22. Yang, Z.-T.; Wu, L.; Liu, X.-Y.; Zhou, M.; Li, J.; Wu, J.-Y.; Cai, Y.; Mao, E.-Q.; Chen, E.-Z.; Lortholary, O. Epidemiology, Species Distribution and Outcome of Nosocomial Candida Spp.Bloodstream Infection in Shanghai. BMC Infect. Dis. 2014, 14, 241. [Google Scholar] [CrossRef]
  23. Awad, L.; Tamim, H.; Abdallah, D.; Salameh, M.; Mugharbil, A.; Jisr, T.; Zahran, K.; Droubi, N.; Ibrahim, A.; Moghnieh, R. Correlation between Antifungal Consumption and the Distribution of Candida Species in Different Hospital Departments of a Lebanese Medical Centre. BMC Infect. Dis. 2018, 18, 589. [Google Scholar] [CrossRef]
  24. Caggiano, G.; Coretti, C.; Bartolomeo, N.; Lovero, G.; De Giglio, O.; Montagna, M.T. Candida Bloodstream Infections in Italy: Changing Epidemiology during 16 Years of Surveillance. BioMed Res. Int. 2015, 2015, e256580. [Google Scholar] [CrossRef]
  25. da Costa, V.G.; Quesada, R.M.B.; Abe, A.T.S.; Furlaneto-Maia, L.; Furlaneto, M.C. Nosocomial Bloodstream Candida Infections in a Tertiary-Care Hospital in South Brazil: A 4-Year Survey. Mycopathologia 2014, 178, 243–250. [Google Scholar] [CrossRef]
  26. Bedout, C.; Gómez, B. Candida and Candidiasis: The Challenge Continues for an Early Diagnosis. Infectio 2010, 14, s159–s171. [Google Scholar] [CrossRef]
  27. Da Matta, D.A.; Souza, A.C.R.; Colombo, A.L. Revisiting Species Distribution and Antifungal Susceptibility of Candida Bloodstream Isolates from Latin American Medical Centers. J. Fungi 2017, 3, 24. [Google Scholar] [CrossRef]
  28. Sampaio Camargo, T.Z.; Marra, A.R.; Silva, C.V.; Cardoso, M.F.S.; Martino, M.D.V.; Camargo, L.F.A.; Correa, L. Secular Trends of Candidemia in a Tertiary Care Hospital. Am. J. Infect. Control 2010, 38, 546–551. [Google Scholar] [CrossRef] [PubMed]
  29. González, G.M.; Elizondo, M.; Ayala, J. Trends in Species Distribution and Susceptibility of Bloodstream Isolates of Candida Collected in Monterrey, Mexico, to Seven Antifungal Agents: Results of a 3-Year (2004 to 2007) Surveillance Study. J. Clin. Microbiol. 2008, 46, 2902–2905. [Google Scholar] [CrossRef] [PubMed]
  30. Corzo-Leon, D.E.; Alvarado-Matute, T.; Colombo, A.L.; Cornejo-Juarez, P.; Cortes, J.; Echevarria, J.I.; Guzman-Blanco, M.; Macias, A.E.; Nucci, M.; Ostrosky-Zeichner, L.; et al. Surveillance of Candida Spp Bloodstream Infections: Epidemiological Trends and Risk Factors of Death in Two Mexican Tertiary Care Hospitals. PLoS ONE 2014, 9, e97325. [Google Scholar] [CrossRef]
  31. Bustamante, B.; Martins, M.A.; Bonfietti, L.X.; Szeszs, M.W.; Jacobs, J.; Garcia, C.; Melhem, M.S.C. Species Distribution and Antifungal Susceptibility Profile of Candida Isolates from Bloodstream Infections in Lima, Peru. J. Med. Microbiol. 2014, 63, 855–860. [Google Scholar] [CrossRef] [PubMed]
  32. Riera, F.; Medeot, M.; Sartori, L.; Bergallo, C.; Minoli, J.; Vilchez, V.; Sánchez, P.; Abiega, C.; Pincheira, C.; Correa, S.; et al. Candidemia epidemiology in Córdoba Argentina. Surveillance study of five institutions. Rev. Fac. Cien. Med. Univ. Nac. Cordoba 2014, 71, 89–93. [Google Scholar]
  33. Martí-Carrizosa, M.; Sánchez-Reus, F.; March, F.; Coll, P. Fungemia in a Spanish Hospital: The Role of Candida Parapsilosis over a 15-Year Period. Scand. J. Infect. Dis. 2014, 46, 454–461. [Google Scholar] [CrossRef]
  34. Girão, E.; Levin, A.S.; Basso, M.; Gobara, S.; Gomes, L.B.; Medeiros, E.A.S.; Costa, S.F. Seven-Year Trend Analysis of Nosocomial Candidemia and Antifungal (Fluconazole and Caspofungin) Use in Intensive Care Units at a Brazilian University Hospital. Med. Mycol. 2008, 46, 581–588. [Google Scholar] [CrossRef] [PubMed]
  35. Asmundsdottir, L.R.; Erlendsdottir, H.; Gottfredsson, M. Nationwide Study of Candidemia, Antifungal Use, and Antifungal Drug Resistance in Iceland, 2000 to 2011. J. Clin. Microbiol. 2020, 51, 841–848. [Google Scholar] [CrossRef] [PubMed]
  36. Guinea, J. Global Trends in the Distribution of Candida Species Causing Candidemia. Clin. Microbiol. Infect. 2014, 20, 5–10. [Google Scholar] [CrossRef]
  37. Nishikaku, A.S.; Melo, A.S.A.; Colombo, A.L. Geographic Trends in Invasive Candidiasis. Curr. Fungal Infect. Rep. 2010, 4, 210–218. [Google Scholar] [CrossRef]
  38. Pfaller, M.A.; Diekema, D.J. Epidemiology of Invasive Candidiasis: A Persistent Public Health Problem. Clin. Microbiol. Rev. 2007, 20, 133–163. [Google Scholar] [CrossRef]
  39. Papadimitriou-Olivgeris, M.; Spiliopoulou, A.; Kolonitsiou, F.; Bartzavali, C.; Lambropoulou, A.; Xaplanteri, P.; Anastassiou, E.D.; Marangos, M.; Spiliopoulou, I.; Christofidou, M. Increasing Incidence of Candidaemia and Shifting Epidemiology in Favor of Candida Non-Albicans in a 9-Year Period (2009–2017) in a University Greek Hospital. Infection 2019, 47, 209–216. [Google Scholar] [CrossRef] [PubMed]
  40. Yapar, N. Epidemiology and Risk Factors for Invasive Candidiasis. TCRM 2014, 10, 95–105. [Google Scholar] [CrossRef] [PubMed]
  41. Motoa, G.; Muñoz, J.S.; Oñate, J.; Pallares, C.J.; Hernández, C.; Villegas, M.V. Epidemiology of Candida isolates from Intensive Care Units in Colombia from 2010 to 2013. Rev. Iberoam. Micol. 2017, 34, 17–22. [Google Scholar] [CrossRef] [PubMed]
  42. Ben-Ami, R.; Olshtain-Pops, K.; Krieger, M.; Oren, I.; Bishara, J.; Dan, M.; Wiener-Well, Y.; Weinberger, M.; Zimhony, O.; Chowers, M.; et al. Antibiotic Exposure as a Risk Factor for Fluconazole-Resistant Candida Bloodstream Infection. Antimicrob. Agents Chemother. 2012, 56, 2518–2523. [Google Scholar] [CrossRef]
  43. Lortholary, O.; Renaudat, C.; Sitbon, K.; Madec, Y.; Denoeud-Ndam, L.; Wolff, M.; Fontanet, A.; Bretagne, S.; Dromer, F.; French Mycosis Study Group. Worrisome Trends in Incidence and Mortality of Candidemia in Intensive Care Units (Paris Area, 2002–2010). Intensive Care Med. 2014, 40, 1303–1312. [Google Scholar] [CrossRef]
  44. Colombo, A.L.; Garnica, M.; Aranha Camargo, L.F.; Da Cunha, C.A.; Bandeira, A.C.; Borghi, D.; Campos, T.; Senna, A.L.; Valias Didier, M.E.; Dias, V.C.; et al. Candida Glabrata: An Emerging Pathogen in Brazilian Tertiary Care Hospitals. Med. Mycol. 2013, 51, 38–44. [Google Scholar] [CrossRef] [PubMed][Green Version]
  45. Hinrichsen, S.L.; Falcão, E.; Vilella, T.A.S.; Colombo, A.L.; Nucci, M.; Moura, L.; Rêgo, L.; Lira, C.; Almeida, L. Candidemia in a tertiary hospital in northeastern Brazil. Rev. Soc. Bras. Med. Trop. 2008, 41, 394–398. [Google Scholar] [CrossRef] [PubMed][Green Version]
  46. Santolaya, M.E.; Thompson, L.; Benadof, D.; Tapia, C.; Legarraga, P.; Cortés, C.; Rabello, M.; Valenzuela, R.; Rojas, P.; Rabagliati, R. A Prospective, Multi-Center Study of Candida Bloodstream Infections in Chile. PLoS ONE 2019, 14, e0212924. [Google Scholar] [CrossRef] [PubMed]
  47. Tortorano, A.M.; Prigitano, A.; Morroni, G.; Brescini, L.; Barchiesi, F. Candidemia: Evolution of Drug Resistance and Novel Therapeutic Approaches. IDR 2021, 14, 5543–5553. [Google Scholar] [CrossRef] [PubMed]
  48. Ngouana, T.K.; Toghueo, R.M.K.; Kenfack, I.F.; Lachaud, L.; Nana, A.K.; Tadjou, L.; Kouanfack, C.; Boyom, F.F.; Bertout, S. Epidemiology and Antifungal Susceptibility Testing of Non-Albicans Candida Species Colonizing Mucosae of HIV-Infected Patients in Yaoundé (Cameroon). J. Mycol. Méd. 2019, 29, 233–238. [Google Scholar] [CrossRef] [PubMed]
  49. Won, E.J.; Choi, M.J.; Kim, M.-N.; Yong, D.; Lee, W.G.; Uh, Y.; Kim, T.S.; Byeon, S.A.; Lee, S.Y.; Kim, S.H.; et al. Fluconazole-Resistant Candida Glabrata Bloodstream Isolates, South Korea, 2008–2018. Emerg. Infect. Dis. 2021, 27, 779–788. [Google Scholar] [CrossRef] [PubMed]
  50. Maraki, S.; Mavromanolaki, V.E.; Stafylaki, D.; Nioti, E.; Hamilos, G.; Kasimati, A. Epidemiology and Antifungal Susceptibility Patterns of Candida Isolates from Greek Women with Vulvovaginal Candidiasis. Mycoses 2019, 62, 692–697. [Google Scholar] [CrossRef] [PubMed]
  51. Dunaiski, C.M.; Kock, M.M.; Chan, W.Y.; Ismail, A.; Peters, R.P.H. Molecular Epidemiology and Antimicrobial Resistance of Vaginal Candida Glabrata Isolates in Namibia. Med. Mycol. 2024, 62, myae009. [Google Scholar] [CrossRef] [PubMed]
  52. Chesdachai, S.; Yetmar, Z.A.; Ranganath, N.; Everson, J.J.; Wengenack, N.L.; Abu Saleh, O.M. Antifungal Susceptibility Pattern of Candida Glabrata from a Referral Center and Reference Laboratory: 2012–2022. J. Fungi 2023, 9, 821. [Google Scholar] [CrossRef]
  53. De Oliveira, C.S.; Colombo, A.L.; Francisco, E.C.; de Lima, B.; Gandra, R.F.; de Carvalho, M.C.P.; de Carrilho, C.M.D.M.; Petinelli, R.; Pelison, M.; Helbel, C.; et al. Clinical and Epidemiological Aspects of Candidemia in Eight Medical Centers in the State of Parana, Brazil: Parana Candidemia Network. Braz. J. Infect. Dis. 2021, 25, 101041. [Google Scholar] [CrossRef]
  54. Kaur, H.; Shankarnarayana, S.A.; Hallur, V.; Muralidharan, J.; Biswal, M.; Ghosh, A.K.; Ray, P.; Chakrabarti, A.; Rudramurthy, S.M. Prolonged Outbreak of Candida Krusei Candidemia in Paediatric Ward of Tertiary Care Hospital. Mycopathologia 2020, 185, 257–268. [Google Scholar] [CrossRef] [PubMed]
  55. Kothalawala, M.; Jayaweera, J.A.A.S.; Arunan, S.; Jayathilake, A. The Emergence of Non-Albicans Candidemia and Evaluation of HiChrome Candida Differential Agar and VITEK2 YST® Platform for Differentiation of Candida Bloodstream Isolates in Teaching Hospital Kandy, Sri Lanka. BMC Microbiol. 2019, 19, 136. [Google Scholar] [CrossRef] [PubMed]
  56. Sanyaolu, A.; Okorie, C.; Marinkovic, A.; Abbasi, A.F.; Prakash, S.; Mangat, J.; Hosein, Z.; Haider, N.; Chan, J. Candida Auris: An Overview of the Emerging Drug-Resistant Fungal Infection. Infect. Chemother. 2022, 54, 236–246. [Google Scholar] [CrossRef] [PubMed]
  57. Peterson, S.W.; Kurtzman, C.P. Ribosomal RNA Sequence Divergence Among Sibling Species of Yeasts. Syst. Appl. Microbiol. 1991, 14, 124–129. [Google Scholar] [CrossRef]
  58. Alonso-Vargas, R.; Elorduy, L.; Eraso, E.; Cano, F.J.; Guarro, J.; Pontón, J.; Quindós, G. Isolation of Candida Africana, Probable Atypical Strains of Candida Albicans, from a Patient with Vaginitis. Med. Mycol. 2008, 46, 167–170. [Google Scholar] [CrossRef] [PubMed]
  59. Criseo, G.; Scordino, F.; Romeo, O. Current Methods for Identifying Clinically Important Cryptic Candida Species. J. Microbiol. Methods 2015, 111, 50–56. [Google Scholar] [CrossRef] [PubMed]
  60. Rodríguez-Leguizamón, G.; Fiori, A.; López, L.F.; Gómez, B.L.; Parra-Giraldo, C.M.; Gómez-López, A.; Suárez, C.F.; Ceballos, A.; Van Dijck, P.; Patarroyo, M.A. Characterizing Atypical Candida Albicans Clinical Isolates from Six Third-Level Hospitals in Bogotá, Colombia. BMC Microbiol. 2015, 15, 199. [Google Scholar] [CrossRef] [PubMed]
  61. Muñoz, J.F.; Gade, L.; Chow, N.A.; Loparev, V.N.; Juieng, P.; Berkow, E.L.; Farrer, R.A.; Litvintseva, A.P.; Cuomo, C.A. Genomic Insights into Multidrug-Resistance, Mating and Virulence in Candida Auris and Related Emerging Species. Nat. Commun. 2018, 9, 5346. [Google Scholar] [CrossRef] [PubMed]
  62. Petti, C.A.; Bosshard, P.P.; Brandt, M.E.; Clarridge, J.E.; Feldblyum, T.V.; Foxall, P.; Furtado, M.R.; Pace, N.; Procop, G. Interpretive Criteria for Identification of Bacteria and Fungi by DNA Target Sequencing; Approved Guideline. Clin. Lab. Stand. Inst. (CLSI) Doc. 2008, 28, 19087-1898. [Google Scholar]
  63. Bosco-Borgeat, M.E.; Taverna, C.G.; Cordoba, S.; Isla, M.G.; Murisengo, O.A.; Szusz, W.; Vivot, W.; Davel, G. Prevalence of Candida Dubliniensis Fungemia in Argentina: Identification by a Novel Multiplex PCR and Comparison of Different Phenotypic Methods. Mycopathologia 2011, 172, 407–414. [Google Scholar] [CrossRef]
  64. Caceres, D.H.; Forsberg, K.; Welsh, R.M.; Sexton, D.J.; Lockhart, S.R.; Jackson, B.R.; Chiller, T. Candida Auris: A Review of Recommendations for Detection and Control in Healthcare Settings. J. Fungi 2019, 5, 111. [Google Scholar] [CrossRef] [PubMed]
  65. Who Fungal Priority Pathogens List To Guide Research, Development And Public Health Action, World Health Organization. 2022. Available online: https://www.who.int/publications-detail-redirect/9789240060241 (accessed on 26 January 2024).
  66. Colombo, A.L.; Cortes, J.A.; Zurita, J.; Guzman-Blanco, M.; Alvarado Matute, T.; De Queiroz Telles, F.; Santolaya, M.E.; Tiraboschi, I.N.; Echevarría, J.; Sifuentes, J.; et al. Recommendations for the Diagnosis of Candidemia in Latin America. Rev. Iberoam. Micol. 2013, 30, 150–157. [Google Scholar] [CrossRef] [PubMed]
  67. Arvanitis, M.; Anagnostou, T.; Fuchs, B.B.; Caliendo, A.M.; Mylonakis, E. Molecular and Nonmolecular Diagnostic Methods for Invasive Fungal Infections. Clin. Microbiol. Rev. 2014, 27, 490–526. [Google Scholar] [CrossRef] [PubMed]
  68. Cortés, J.A.; Ruiz, J.F.; Melgarejo-Moreno, L.N.; Lemos, E.V. Candidemia En Colombia. Biomedica 2020, 40, 195–207. [Google Scholar] [CrossRef] [PubMed][Green Version]
  69. Camp, I.; Spettel, K.; Willinger, B. Molecular Methods for the Diagnosis of Invasive Candidiasis. J. Fungi 2020, 6, 101. [Google Scholar] [CrossRef]
  70. Salem-Bango:, Z.; Price, T.K.; Chan, J.L.; Chandrasekaran, S.; Garner, O.B.; Yang, S. Fungal Whole-Genome Sequencing for Species Identification: From Test Development to Clinical Utilization. J. Fungi 2023, 9, 183. [Google Scholar] [CrossRef]
Disclaimer/Publisher’s Note: The statements, opinions and data contained in all publications are solely those of the individual author(s) and contributor(s) and not of MDPI and/or the editor(s). MDPI and/or the editor(s) disclaim responsibility for any injury to people or property resulting from any ideas, methods, instructions or products referred to in the content.

Article Metrics

Citations

Article Access Statistics

Multiple requests from the same IP address are counted as one view.