Habitat Diversity, Environmental Conditions, and Distribution of Endangered Fungus Sarcosoma globosum (Ascomycota) in Lithuania
Abstract
1. Introduction
2. Materials and Methods
2.1. Study Area and Design
2.2. Characterisation of Habitats
2.3. Data Analysis
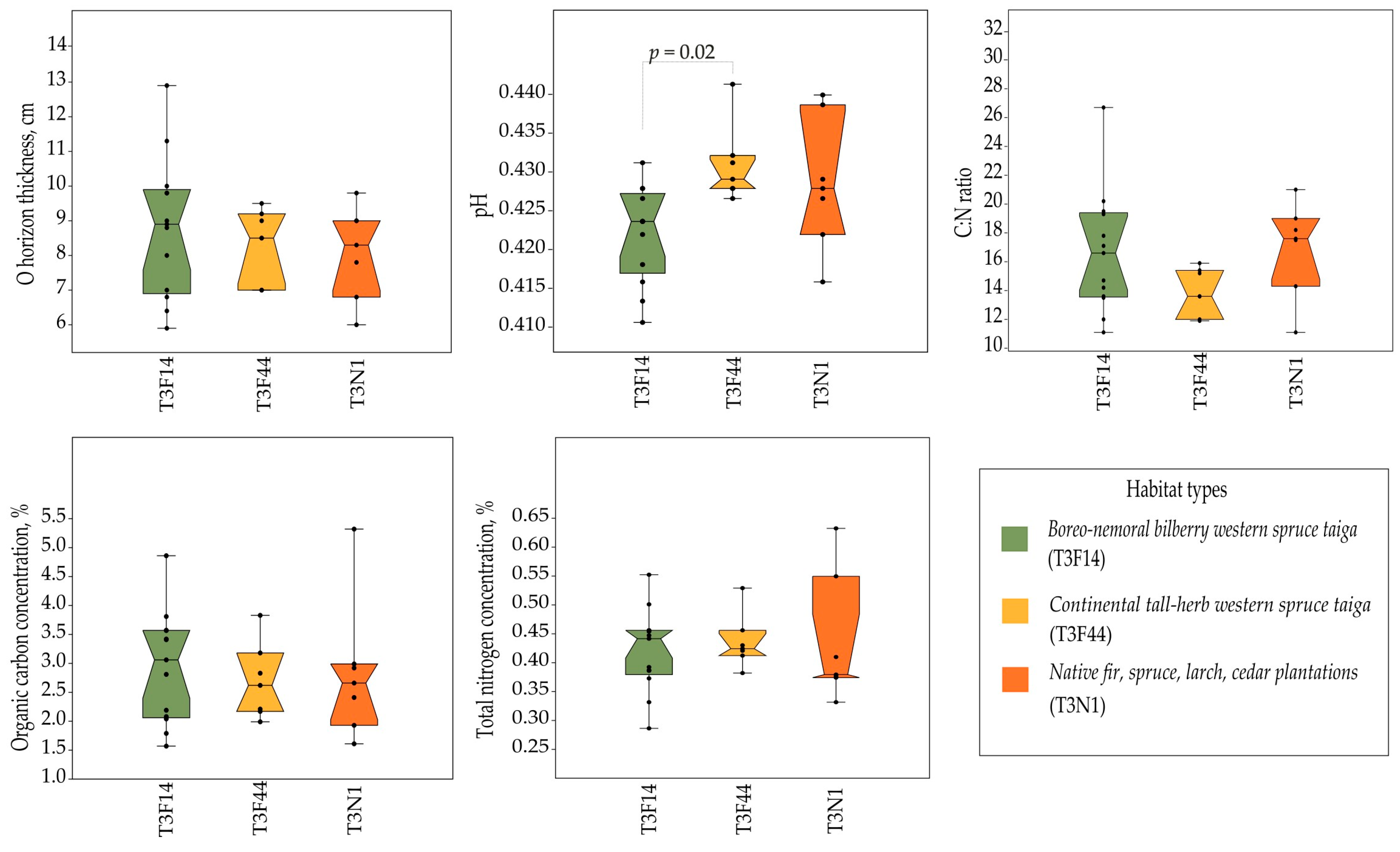
3. Results
3.1. Distribution and Habitats of Sarcosoma globosum
3.2. Threats and State of Conservation
4. Discussion
Supplementary Materials
Author Contributions
Funding
Institutional Review Board Statement
Informed Consent Statement
Data Availability Statement
Acknowledgments
Conflicts of Interest
References
- Kreisel, H. Global warming and mycoflora in the Baltic Region. Acta Mycol. 2006, 41, 79–94. [Google Scholar] [CrossRef]
- Moore, D.; Gange, A.C.; Gange, E.G.; Boddy, L. Fruit bodies: Their production and development in relation to environment. In Ecology of Saprotrophic Basidiomycetes; Boddy, L., Frankland, J.C., van West, P., Eds.; Academic Press: Amsterdam, The Netherlands, 2008; pp. 79–102. [Google Scholar]
- Boddy, L.; Buntgen, U.; Egli, S.; Gange, A.C.; Heegaard, E.; Kirk, P.M.; Mohammad, A.; Kauserud, H. Climate variation effects on fungal fruiting. Fungal Ecol. 2014, 10, 20–33. [Google Scholar] [CrossRef]
- Tomao, A.; Bonet, J.A.; Castaño, C.; de-Miguel, S. How does forest management affect fungal diversity and community composition? Current knowledge and future perspectives for the conservation of forest fungi. For. Ecol. Manag. 2020, 457, 117678. [Google Scholar] [CrossRef]
- Kauserud, H.; Heegaard, E.; Semenov, M.A.; Boddy, L.; Halvorsen, R.; Stige, L.C.; Sparks, T.H.; Gange, A.C.; Stenseth, N.C. Climate change and spring-fruiting fungi. Proc. R. Soc. B 2010, 277, 1169–1177. [Google Scholar] [CrossRef] [PubMed]
- Andrew, C.; Heegaard, E.; Høiland, K.; Senn-Irlet, B.; Kuyper, T.W.; Krisai-Greilhuber, I.; Kirk, P.M.; Heilmann-Clausen, J.; Gange, A.C.; Egli, S.; et al. Explaining European fungal fruiting phenology with climate variability. Ecology 2018, 99, 1306–1315. [Google Scholar] [CrossRef] [PubMed]
- Větrovský, T.; Kohout, P.; Kopecký, M.; Machac, A.; Man, M.; Bahnmann, B.D.; Brabcová, V.; Choi, J.; Meszárošová, L.; Human, Z.R.; et al. A a-analysis of global fungal distribution reveals climate-driven patterns. Nat. Commun. 2019, 10, 5142. [Google Scholar] [CrossRef] [PubMed]
- Tedersoo, L.; Mikryukov, V.; Zizka, A.; Bahram, M.; Hagh-Doust, N.; Anslan, S.; Prylutskyi, O.; Delgado-Baqueriz, M.; Maestre, F.T.; Pärn, J.; et al. Global patterns in endemicity and vulnerability of soil fungi. Glob. Chang. Biol. 2022, 28, 6696–6710. [Google Scholar] [CrossRef] [PubMed]
- Ainsworth, A.M.; Canteiro, C.; Dahlberg, A.; Douglas, B.; Furci, G.; Minter, D.; Mueller, G.M.; Scheidegger, C.; Senn-Irlet, B.; Wilkins, T.; et al. Conservation of fungi. In State of the World’s Fungi 2018; Willis, K.J., Ed.; Royal Botanic Gardens Kew: London, UK, 2018; pp. 70–77. [Google Scholar]
- The IUCN Red List of Threatened Species. Available online: https://www.iucnredlist.org (accessed on 18 November 2023).
- May, T.W.; Cooper, J.A.; Dahlberg, A.; Furci, G.; Minter, D.W.; Mueller, G.M.; Pouliot, A.; Yang, Z. Recognition of the discipline of conservation mycology. Conserv. Biol. 2019, 33, 733–736. [Google Scholar] [CrossRef] [PubMed]
- Lughadha, E.N.; Bachman, S.P.; Leão, T.C.; Forest, F.; Halley, J.M.; Moat, J.; Acedo, C.; Bacon, K.L.; Brewer, R.F.; Gâteblé, G.; et al. Extinction Risk and Threats to Plants and Fungi. Plants People Planet 2020, 2, 389–408. [Google Scholar] [CrossRef]
- Lofgren, L.A.; Stajich, J.E. Fungal biodiversity and conservation mycology in light of new technology, big data, and changing attitudes. Curr. Biol. 2021, 31, R1312–R1325. [Google Scholar] [CrossRef] [PubMed]
- Mueller, G.M.; Cunha, K.M.; May, T.W.; Allen, J.L.; Westrip, J.R.S.; Canteiro, C.; Costa-Rezende, D.H.; Drechsler-Santos, E.R.; Vasco-Palacios, A.M.; Ainsworth, A.M.; et al. What Do the First 597 Global Fungal Red List Assessments Tell Us about the Threat Status of Fungi? Diversity 2022, 14, 736. [Google Scholar] [CrossRef]
- Niskanen, T.; Lücking, R.; Dahlberg, A.; Gaya, E.; Suz, L.M.; Mikryukov, V.; Liimatainen, K.; Druzhinina, I.; Westrip, J.R.S.; Mueller, G.M.; et al. Pushing the frontiers of biodiversity research: Unveiling the global diversity, distribution, and conservation of fungi. Annu. Rev. Environ. Resour. 2023, 48, 149–176. [Google Scholar] [CrossRef]
- Martinsson, K.; Nitare, J. Bombmurklan, Sarcosoma globosum, en hotad svamp. Sven. Bot. Tidskr. 1986, 80, 169–184. [Google Scholar]
- Carbone, M. Contributo alla conoscenza di Sarcosoma globosum. Boll. AMER 2009, 77–78, 32–43. [Google Scholar]
- Stearn, W.T. Botanical Latin. In History, Grammar Syntax, Terminology and Vocabulary, 3rd ed.; Newton Abbot, David & Charles: Exeter, UK, 1991. [Google Scholar]
- Carbone, M.; Agnello, C.; Alvarado, P. Phylogenetic studies in the family Sarcosomataceae (Ascomycota, Pezizales). Ascomycete.Org 2013, 5, 1–12. [Google Scholar]
- Benkert, D. Bemerkenswerte Ascomyceten der DDR. 12. Sarcoscyphaceae und Sarcosomataceae (Pezizales). Gleditschia 1991, 19, 173–201. [Google Scholar]
- Zvyagina, E.A. On the biology and ecology of Sarcosoma globosum in the middle taiga belt of West Siberia. Environ. Dyn. Glob. Clim. Chang. 2015, 6, 3–11. [Google Scholar] [CrossRef]
- Fraiture, A.; Otto, P. Distribution, ecology and status of 51 macromycetes in Europe—Results of the ECCF Mapping Programme. Scr. Bot. Belg. 2015, 53, 247. [Google Scholar]
- Nitare, J. (Ed.) Signalarter: Indikatorer på Skyddsvärd Skog; Flora Over kryptogamer: Jönköping, Sweden, 2000. [Google Scholar]
- Nitare, J. Åtgärdsprogram för Bombmurkla 2010–2014 (Sarcosoma globosum). Rapport 6333, 2009, Stockholm. Available online: https://www.naturvardsverket.se/4ac1da/globalassets/media/publikationer-pdf/6300/978-91-620-6333-7.pdf (accessed on 24 February 2024).
- Desponts, M.; Brunet, G.; Bélanger, L.; Bouchard, M. The eastern boreal old-growth balsam fir forest: A distinct ecosystem. Canad. J. Bot. 2004, 82, 830–849. [Google Scholar] [CrossRef]
- Dahlberg, A. Sarcosoma globosum. The IUCN Red List of Threatened Species 2015, e.T58515314A58515381. Available online: https://www.iucnredlist.org/species/58515314/58515381 (accessed on 26 February 2024).
- Ronikier, A. Sarcosoma globosum (Schmidel: Fr.) Casp. In Atlas of the Geographical Distribution of Fungi in Poland; Wojewoda, W., Ed.; Polish Academy of Sciences, W Szafer Institute of Botany: Kraków, Poland, 2005; Volume 3, pp. 95–98. [Google Scholar]
- Ronikier, A. Dzbankówka kulista Sarcosoma globosum (Schmidel). Casp. In Grzyby chronione Polski. Rozmieszczenie, Zagrożenia, Rekomendacje Ochronne; Kujawa, A., Ruszkiewicz-Michalska, M., Kałucka, I.L., Eds.; Instytut Środowiska Rolniczego i Leśnego Polskiej Akademii Nauk: Poznań, Poland, 2020. [Google Scholar]
- Holec, J.; Beran, M. Červenýseznam hub (makromycetů) Českérepubliky [Red List of Fungi (macromycetes) of the Czech Republic]; Příroda: Praha, Czech Republic, 2006; Volume 24, pp. 1–282. [Google Scholar]
- Gramberg, E. Seltnere Pilze Östpreussens. Österr. Z. Pilzk. 1923, 2, 132–136. [Google Scholar]
- Ing, B. Towards a Red List of endangered European macrofungi. In Fungi of Europe: Investigation, Recording and Conservation; Pegler, D.N., Ed.; Royal Botanic Gardens, Kew: London, UK, 1993; pp. 231–237. [Google Scholar]
- Dahlberg, A.; Croneborg, H. 33 threatened fungi in Europe. Complementary and Revised Information on Candidates for Listing in Appendix I of the Bern Convention, Strasbourg. 2003. Available online: http://www.coe.int/t/dg4/cultureheritage/conventions/bern/T-PVS/sc27_tpvs13_en.pdf (accessed on 24 February 2024).
- Dahlberg, A.; Croneborg, H. 33 threatened fungi in Europe. Nat. Environ. 2006, 136, 1–131. [Google Scholar]
- Kullman, B. Limatünnik Eestis [Sarcosoma globosum in Estonia]. In Eesti Looduseuurijate Seltsi Aastaraamat Haruldused Eesti Looduses; Kull, T., Liira, J., Sammul, M., Eds.; 2011; Volume 86, pp. 9–17. Available online: https://www.researchgate.net/publication/313854026_LIMATUNNIK_EESTIS_Sarcosoma_globosum_in_Estonia (accessed on 24 February 2024).
- Ohenoja, E.; Kaukonen, M.; Ruotsalainen, A. Sarcosoma globosum—An indicator of climate change? Acta Mycol. 2013, 48, 81–88. [Google Scholar] [CrossRef]
- Kutorga, E. Paprastasis taukius. Sarcosoma globosum (Schmidel) Casp. In Red Data Book of Lithuania. Animals, Plants, Fungi; Rašomavičius, V., Ed.; Lututė Press: Vilnius, Lithuania, 2021; p. 554. [Google Scholar]
- Ruotsalainen, A.L.; Kekki, T.; Ohenoja, E.; von Bonsdorff, T. Increase in Sarcosoma globosum observations reveals new fungal observation culture. Fungal Ecol. 2023, 65, 101282. [Google Scholar] [CrossRef]
- Mazelaitis, J.; Minkevičius, A. Valgomieji ir Nuodingieji Grybai; Valst. Polit. ir Moksl. lit. Press: Vilnius, Lithuania, 1957. [Google Scholar]
- Mazelaitis, J. Untersuchungen über die Schlauchpilzflora (Ascomycetes) der Litauischen SSR. In Proceedings of the Third Symposium of the Investigations of the Baltic Republics Myco-Lichen Flora; P. Stucka Latvian State University Scientific Works, 74, Botany, 2nd ser.; “Zvaigzne” Publishing House: Riga, Latvia, 1966; pp. 77–83. [Google Scholar]
- Mazelaitis, J.; Urbonas, V. Lietuvos grybai; Mokslas: Vilnius, Lithuania, 1980. [Google Scholar]
- Kutorga, E. Lietuvos Grybai (Mycota Lithuaniae), 3(5). Ausūniečiai (Pezizales); Institute of Botany, Vilnius University: Vilnius, Lithuania, 2000. [Google Scholar]
- Kutorga, E. Paprastasis taukius. Sarcosoma globosum (Schmiedel) Casp. In Lietuvos Griežtai Saugomos Rūšys; Vaitonis, G., Ed.; UAB Petro ofsetas: Vilnius, Lithuania, 2015; pp. 97–99. [Google Scholar]
- Dahlberg, A.; Genney, D.R.; Heilmann-Clausen, J. Developing a comprehensive strategy for fungal conservation in Europe: Current status and future needs. Fungal Ecol. 2010, 3, 50–64. [Google Scholar] [CrossRef]
- Molina, R.; Horton, T.R.; Trappe, J.M.; Marcot, B.G. Addressing uncertainty: How to conserve and manage rare or little-known fungi. Fungal Ecol. 2011, 4, 134–146. [Google Scholar] [CrossRef]
- Halme, P.; Heilmann-Clausen, J.; Rämä, T.; Kosonen, T.; Kunttu, P. Monitoring fungal biodiversity—Towards an integrated approach. Fungal Ecol. 2012, 5, 750–758. [Google Scholar] [CrossRef]
- Heilmann-Clausen, J.; Barron, E.S.; Boddy, L.; Dahlberg, A.; Griffith, G.W.; Norden, J.; Ovaskainen, O.; Perini, C.; Senn-Irlet, B.; Halme, P. A fungal perspective on conservation biology. Conserv. Biol. 2014, 29, 61–68. [Google Scholar] [CrossRef] [PubMed]
- Bengtsson, J.; Nilsson, S.G.; Franc, A.; Menozzi, P. Biodiversity, disturbances, ecosystem function and management of European forests. For. Ecol. Manag. 2000, 132, 39–50. [Google Scholar] [CrossRef]
- Lithuanian Hydrometeorological Service. Available online: https://www.meteo.lt/klimatas/lietuvos-klimatas/skn/ (accessed on 8 February 2024).
- Ūselytė, J.; Bukantis, A. Mesoclimatic analysis of non-precipitation periods in Lithuania. J. Environ. Eng. Landsc. Manag. 2023, 31, 142–156. [Google Scholar] [CrossRef]
- European Environment Agency. Biogeographical Regions in Europe. 2017. Available online: https://www.eea.europa.eu/data-and-maps/figures/biogeographical-regions-in-europe-2 (accessed on 21 February 2024).
- Metzger, M.J.; Shkaruba, A.D.; Jongman, R.H.G.; Bunce, R.G.H. Descriptions of the European Environmental Zones and Strata. Wageningen, Alterra 2012; Alterra Report 2281. Available online: https://inspire.ec.europa.eu/document/EEZS (accessed on 24 February 2024).
- Læssøe, T.; Petersen, J.H. Fungi of Temperate Europe; Princeton University Press: Princeton, NY, USA, 2019; Volume 2. [Google Scholar]
- ISO 10390:2021; Soil Quality—Determination of pH. International Organization for Standardization: Geneva, Switzerland, 2021.
- ISO 10694:1995; Soil Quality—Determination of Organic and Total Carbon after Dry Combustion. International Organization for Standardization: Geneva, Switzerland, 1995.
- ISO 11261:1995; Soil Quality—Determination of Total Nitrogen—Modified Kjeldahl Method. International Organization for Standardization: Geneva, Switzerland, 1995.
- Food and Agriculture Organization of the United Nations. World Reference Base for Soil Resources 2014, International Soil Classification System for Naming Soils and Creating Legends for Soil Maps, Update 2015, World Soil Resources Reports No. 106. Rome, 2015. Available online: https://www.fao.org/3/i3794en/I3794en.pdf (accessed on 24 February 2024).
- Juodis, J.; Lukšienė, L. Map of The National Atlas of Lithuania—Soil Cover According to FAO Classification. Available online: https://www.geoportal.lt/map/ (accessed on 19 June 2023).
- European Environmental Agency. The EUNIS Habitat Classification. Available online: https://www.eea.europa.eu/en/datahub/datahubitem-view/123d0c9a-a6fa-4f2d-b887-5d8e5468faed (accessed on 17 June 2023).
- Burkhart, H.E.; Avery, T.E.; Bullock, B.P. Forest Measurements; Waveland Press: Long Grove, IL, USA, 2018. [Google Scholar]
- Petrauskas, E.; Kuliešis, A.; Tebėra, A. Medienos Tūrio Lentelės; Naujasis Lankas: Kaunas, Lithuania, 2010. [Google Scholar]
- Díaz-Yáñez, O.; Mola-Yudego, B.; Eriksen, R.; González-Olabarria, J.R. Assessment of the main natural disturbances on Norwegian forest based on 20 years of national inventory. PLoS ONE 2016, 11, e0161361. [Google Scholar] [CrossRef] [PubMed]
- Rašomavičius, V. (Ed.) EB Svarbos Natūralių Buveinių Inventorizavimo Vadovas; Gamtos Tyrimų Centro Leidykla: Vilnius, Lithuania, 2012. [Google Scholar]
- Dudley, N. (Ed.) Guidelines for Applying Protected Area Management Categories; IUCN: Gland, Switzerland, 2008; pp. x, 1–86. [Google Scholar]
- Hammer, Ø.; Harper, D.A.T.; Ryan, P.D. PAST: Paleontological Statistics Software Package for Education and Data Analysis. Palaeontologia Electronica. 2001. Available online: http://palaeo-electronica.org/2001_1/past/issue1_01.htm (accessed on 17 October 2023).
- Schmidel, C.C. Icones Plantarum et Analyses Partium Aeri Incisae Atque Vivis Coloribus Insignitae, 2nd ed., Erlangea, 1793. Available online: https://gallica.bnf.fr/ark:/12148/bpt6k97382h (accessed on 28 February 2024).
- Paden, J.W.; Tylutki, E.E. Idaho discomycetes. II. Mycologia 1969, 61, 683–693. [Google Scholar] [CrossRef]
- Bessette, A.E.; Bessette, A.R.; Fischer, D.W. Mushrooms of Northeastern North America; Syracuse University Press: Syracuse, NY, USA, 1997. [Google Scholar]
- Discovery of Rare Mushroom in Northern B.C. A Biology Mystery. CBC News. 24 May 2021. Available online: https://www.cbc.ca/news/canada/british-columbia/rare-mushroom-discovered-b-c-1.6036959 (accessed on 24 March 2024).
- Filippova, N.; Ageev, D.; Bolshakov, S.; Vayshlya, O.; Vlasenko, A.; Vlasenko, V.; Gashkov, S.; Gorbunova, I.; Davydov, E.; Zvyagina, E.; et al. The Fungal Literature-Based Occurrence Database for the Southern West Siberia (Russia). Version 1.19. Yugra State University Biological Collection (YSU BC). Occurrence Dataset, 2024. Available online: https://www.gbif.org/dataset/dd7d031f-b18f-4631-929a-049fcf00ac8f (accessed on 24 March 2024).
- Filippova, N.; Arefyev, S.; Bulyonkova, T.; Zvyagina, E.; Kapitonov, V.; Makarova, T.; Mukhin, V.; Stavishenko, I.; Tavshanzhi, E.; Shiryaev, A.; et al. Fungal Literature Records Database of the Northern West Siberia (Russia). Version 1.20. Yugra State University Biological Collection (YSU BC). Occurrence Dataset, 2024. Available online: https://www.gbif.org/dataset/29e78377-34c3-4c91-8062-550069a92b70 (accessed on 24 March 2024).
- Popov, E. Sarcosoma sharovidnaya–Sarcosoma globosum (Schmidel) Rehm. In Krasnaya Kniga Rossiyskoy Federatsii (Rasteniya i Griby); Tovarishchestvo Nauchnykh Izdaniy KMK: Moskow, Russia, 2008; pp. 755–756. [Google Scholar]
- Gorbunova, L.A. Rare species of larger fungi in the south of western and central Siberia. In Proceedings of the Third International Congress of Fungal Conservation. GökovaBay, Muğla, Turkey, 11–15 November 2013; Programme& Abstracts. p. 38. [Google Scholar]
- Nanagulyan, S.G. Red Book of Plants and Fungi in Armenia. In European Council for the Conservation of Fungi; Newsletter 15. 2010, pp. 4–5. Available online: http://www.eccf.eu/newsletter15.pdf (accessed on 24 March 2024).
- Egoshina, T.L.; Kirillov, D.V. Sarcosoma globosum in the Kirov region: Distribution and ecological-coenotic peculiarities. In Voprosi ekologii i Prirodopolzovaniya v Agrarnomsektore: Materiali Vserossiyskoy Nauchno-Prakticheskoy Konferentsii; Moskow, Russia. 2003, pp. 133–140. Available online: https://www.researchgate.net/publication/268768713_Egoshina_TL_Kirillov_DV_Sarcosoma_globosum_in_the_Kirov_region_distribution_and_ecological-coenotic_peculiarities_Voprosi_ekologii_I_prirodopolzovaniya_v_agrarnom_sektore_Materiali_Vserossiyskoy_nauch (accessed on 24 March 2024).
- Vimba, E.; Raitviir, A. A list of Pezizales and Thelebolales of Latvia. Folia Cryptog. Est. 2006, 42, 91–101. [Google Scholar]
- Heluta, V.P. Sarcosomakulyasta. Sarcosoma globosum (Schmidel) Rehm. In Red Data Book of Ukraine. Plants and Fungi, 3rd ed.; Didukh, Y.P., Ed.; Globalkonsalting Press: Kiev, Ukraine, 2009; p. 784. [Google Scholar]
- Rehm, H. Ascomyceten: Hysteriaceen und Discomyceten. In Dr. L. Rabenhorst’s Kryptogamen-Flora von Deutschlands, Oesterrreichs und Schweiz, 1(3). Leipzig, Germany, 1887–1896. Available online: https://www.biodiversitylibrary.org/bibliography/1356 (accessed on 24 March 2024).
- Vesslén, G. Inventering av Bombmurkla (Sarcosoma globosum) i Gävleborgslän 2009–2017. 2019. Available online: http://naturvardsverket.diva-portal.org/smash/record.jsf?pid=diva2%3A1343107&dswid=1111 (accessed on 24 February 2024).
- Aronsson, G.; Inventering av Bombmurkla, Sarcosoma globosum, i Uppsala län 2007. Uppsala. 2007. Available online: http://naturvardsverket.diva-portal.org/smash/record.jsf?pid=diva2%3A861643&dswid=-1975 (accessed on 24 February 2024).
- Bethere, L.; Sennikovs, J.; Bethers, U. Climate indices for the Baltic states from principal component analysis. Earth Syst. Dyn. 2017, 8, 951–962. [Google Scholar] [CrossRef]
- Ozolinčius, R.; Lekevičius, E.; Stakėnas, V.; Galvonaitė, A.; Samas, A.; Valiukas, D. Lithuanian forests and climate change: Possible effects on tree species composition. Eur. J. For. Res. 2014, 133, 51–60. [Google Scholar] [CrossRef]
- Caudullo, G.; Tinner, W.; de Rigo, D. Picea abies in Europe: Distribution, habitat, usage and threats. In European Atlas of Forest Tree Species; San-Miguel-Ayanz, J., de Rigo, D., Caudullo, G., Houston Durrant, T., Mauri, A., Eds.; Publications Office of the European Union: Luxembourg, 2016; pp. 114–116. [Google Scholar]
- Psurtseva, N.V.; Kiyashko, A.A.; Senik, S.V.; Shakhova, N.V.; Belova, N.V. The Conservation and Study of Macromycetes in the Komarov Botanical Institute Basidiomycetes Culture Collection—Their Taxonomical Diversity and Biotechnological Prospects. J. Fungi 2023, 9, 1196. [Google Scholar] [CrossRef] [PubMed]







Disclaimer/Publisher’s Note: The statements, opinions and data contained in all publications are solely those of the individual author(s) and contributor(s) and not of MDPI and/or the editor(s). MDPI and/or the editor(s) disclaim responsibility for any injury to people or property resulting from any ideas, methods, instructions or products referred to in the content. |
© 2024 by the authors. Licensee MDPI, Basel, Switzerland. This article is an open access article distributed under the terms and conditions of the Creative Commons Attribution (CC BY) license (https://creativecommons.org/licenses/by/4.0/).
Share and Cite
Vabuolė, E.; Juzėnas, S.; Kutorga, E. Habitat Diversity, Environmental Conditions, and Distribution of Endangered Fungus Sarcosoma globosum (Ascomycota) in Lithuania. J. Fungi 2024, 10, 263. https://doi.org/10.3390/jof10040263
Vabuolė E, Juzėnas S, Kutorga E. Habitat Diversity, Environmental Conditions, and Distribution of Endangered Fungus Sarcosoma globosum (Ascomycota) in Lithuania. Journal of Fungi. 2024; 10(4):263. https://doi.org/10.3390/jof10040263
Chicago/Turabian StyleVabuolė, Eglė, Sigitas Juzėnas, and Ernestas Kutorga. 2024. "Habitat Diversity, Environmental Conditions, and Distribution of Endangered Fungus Sarcosoma globosum (Ascomycota) in Lithuania" Journal of Fungi 10, no. 4: 263. https://doi.org/10.3390/jof10040263
APA StyleVabuolė, E., Juzėnas, S., & Kutorga, E. (2024). Habitat Diversity, Environmental Conditions, and Distribution of Endangered Fungus Sarcosoma globosum (Ascomycota) in Lithuania. Journal of Fungi, 10(4), 263. https://doi.org/10.3390/jof10040263

