Comparative Transcriptome Profiles of the Response of Mycelia of the Genus Morchella to Temperature Stress: An Examination of Potential Resistance Mechanisms
Abstract
1. Introduction
2. Materials and Methods
2.1. Fungal Strain and Culture Conditions
2.2. RNA Extraction, Library Preparation, and RNA Sequencing
2.3. Data processing and Bioinformatics Analysis
2.4. Statistical Analysis
2.5. Enzyme Assay
2.6. Data Availability
3. Results
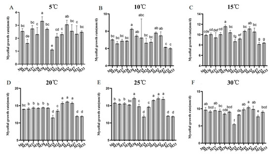
3.1. Effects of Culture Temperature on the Mycelial Growth of Morchella
3.2. Overview of the Transcriptomic Analysis
3.3. Identification of Expression Levels and Differentially Expressed Genes (DEGs)
3.4. Functional Annotation and Enrichment Analysis of DEGs
3.5. Gene Set Enrichment Analysis
3.6. Weighted Coexpression Network Construction and Identification of Module Eigengenes
3.7. Functional Enrichment Analyses of Genes in the ME Turquoise and Blue Modules
3.8. Effects of Mycelial Culture Temperature on the Gene Expression of Antioxidant Enzymes and the Ubiquitin–Proteasome System
4. Discussion
4.1. Upregulation of Purine and Tyrosine Metabolism May Improve the Temperature Tolerance of Morchella Mycelia
4.2. Changes in Oxidative Stress and Energy Metabolism in Morchella Mycelia under High-Temperature Conditions
5. Conclusions
Supplementary Materials
Author Contributions
Funding
Institutional Review Board Statement
Informed Consent Statement
Data Availability Statement
Conflicts of Interest
References
- Sunil, C.; Xu, B. Mycochemical profile and health-promoting effects of morel mushroom Morchella esculenta (L.)—A review. Food Res. Int. 2022, 159, 111571. [Google Scholar] [CrossRef] [PubMed]
- Tan, H.; Liu, T.; Yu, Y.; Tang, J.; Jiang, L.; Martin, F.M. Morel production related to soil microbial diversity and evenness. Microbiol.Spectr. 2021, 9, e0022921. [Google Scholar] [CrossRef] [PubMed]
- Tietel, Z.; Masaphy, S. True morels (Morchella)-nutritional and phytochemical composition, health benefits and flavor: A review. Crit. Rev. Food Sci. Nutr. 2018, 58, 1888–1901. [Google Scholar] [CrossRef]
- Rosa, A.; Tuberoso, C.I.; Atzeri, A.; Melis, M.P.; Bifulco, E.; Dessi, M.A. Antioxidant profile of strawberry tree honey and its marker homogentisic acid in several models of oxidative stress. Food Chem. 2011, 129, 1045–1053. [Google Scholar] [CrossRef] [PubMed]
- Nitha, B.; Meera, C.R.; Janardhanan, K.K. Anti-inflammatory and antitumour activities of cultured mycelium of morel mushroom, Morchella esculenta. Curr. Sci. India 2007, 92, 235–239. [Google Scholar]
- Heleno, S.A.; Stojković, D.; Barros, L.; Glamočlija, J.; Soković, M.; Martins, A.; Ferreira, I.C.F.R. A comparative study of chemical composition, antioxidant and antimicrobial properties of Morchella esculenta (L.)Pers. from Portugal and Serbia. Food Res. Int. 2013, 51, 236–243. [Google Scholar] [CrossRef]
- Liu, C.; Sun, Y.H.; Mao, Q.; Guo, X.L.; Li, P.; Liu, Y.; Xu, N. Characteristics and Antitumor Activity of Morchella esculenta Polysaccharide Extracted by Pulsed Electric Field. Int. J. Mol. Sci. 2016, 17, 986. [Google Scholar] [CrossRef]
- Li, S.; Gao, A.; Dong, S.; Chen, Y.; Sun, S.; Lei, Z.; Zhang, Z. Purification, antitumor and immunomodulatory activity of polysaccharides from soybean residue fermented with Morchella esculenta. Int. J. Biol. Macromol. 2017, 96, 26–34. [Google Scholar] [CrossRef]
- Liu, Q.; Ma, H.; Zhang, Y.; Dong, C. Artificial cultivation of true morels: Current state, issues and perspectives. Crit. Rev. Biotechnol. 2018, 38, 259–271. [Google Scholar] [CrossRef]
- Sambyal, K.; Singh, R.V. A comprehensive review on Morchella importuna: Cultivation aspects, phytochemistry, and other significant applications. Folia Microbiol. 2021, 66, 147–157. [Google Scholar] [CrossRef]
- Sakamoto, Y. Influences of environmental factors on fruiting body induction, development and maturation in mushroom-forming fungi. Fungal Biol. Rev. 2018, 32, 236–248. [Google Scholar] [CrossRef]
- Werghemmi, M.; Fayssal, S.A.; Mazouz, H.; Hajjaj, H.; Hajji, L. Olive and green tea leaves extract in Pleurotus ostreatus var. florida culture media: Effect on mycelial linear growth rate, diameter and growth induction index. IOP Conf. Ser. Earth Environ. Sci. 2022, 1090, 012020. [Google Scholar] [CrossRef]
- Yan, Z.; Zhao, M.; Wu, X.; Zhang, J. Metabolic response of Pleurotus ostreatus to continuous heat stress. Front. Microbiol. 2020, 10, 3148. [Google Scholar] [CrossRef]
- Hou, L.D.; Zhao, M.R.; Huang, C.Y.; Wu, X.L.; Zhang, J.X. Nitric oxide improves the tolerance of Pleurotus ostreatus to heat stress by inhibiting mitochondrial aconitase. Appl. Environ. Microbiol. 2020, 86, e02303-19. [Google Scholar] [CrossRef]
- Hu, Y.; Xue, F.; Chen, Y.; Qi, Y.; Zhu, W.; Wang, F.; Wen, Q.; Shen, J. Effects and Mechanism of the Mycelial Culture Temperature on the Growth and Development of Pleurotus ostreatus (Jacq.) P. Kumm. Horticulturae 2023, 9, 95. [Google Scholar] [CrossRef]
- Hao, H.; Zhang, J.; Wu, S.; Bai, J.; Zhuo, X.; Zhang, J.; Kuai, B.; Chen, H. Transcriptomic analysis of Stropharia rugosoannulata reveals carbohydrate metabolism and cold resistance mechanisms under low-temperature stress. AMB Expr. 2022, 12, 56. [Google Scholar] [CrossRef] [PubMed]
- Abu Bakar, N.; Karsani, S.A.; Alias, S.A. Fungal survival under temperature stress: A proteomic perspective. Peer J. 2020, 8, e10423. [Google Scholar] [CrossRef] [PubMed]
- Chen, B.; Feder, M.E.; Kang, L. Evolution of heat-shock protein expression underlying adaptive responses to environmental stress. Mol. Ecol. 2018, 27, 3040–3054. [Google Scholar] [CrossRef] [PubMed]
- Hua, S.; Zhang, B.; Fu, Y.P.; Bao, Q.; Li, Y.S.; Tian, F.H.; Li, Y. Enzymatic gene expression by Pleurotus tuoliensis (Bailinggu): Differential regulation under low temperature induction conditions. World J. Microbiol. Biotechnol. 2018, 34, 160. [Google Scholar] [CrossRef] [PubMed]
- Hao, H.; Zhang, J.; Wang, H.; Wang, Q.; Chen, M.; Juan, J.; Feng, Z.; Chen, H. Comparative transcriptome analysis reveals potential fruiting body formation mechanisms in Morchella importuna. AMB Expr. 2019, 9, 103. [Google Scholar] [CrossRef] [PubMed]
- Schmidt, O. Wood and Tree Fungi. Biology, Damage, Protection, and Use; Springer: Berlin/Heidelberg, Germany; New York, NY, USA, 2006; 334p. [Google Scholar]
- Liu, W.; Cai, Y.L.; He, P.X.; Chen, L.F.; Bian, Y.B. Comparative transcriptomics reveals potential genes involved in the vegetative growth of Morchella importuna. 3 Biotech 2019, 9, 81. [Google Scholar] [CrossRef]
- Fan, T.; Ren, R.; Tang, S.; Zhou, Y.; Cai, M.; Zhao, W.; He, Y.; Xu, J. Transcriptomics combined with metabolomics unveiled the key genes and metabolites of mycelium growth in Morchella importuna. Front. Microbiol. 2023, 14, 1079353. [Google Scholar] [CrossRef]
- Zhao, Y.; Cai, H.; Chen, W. Rational understanding of morels industry development of many problems. Edible Med. Mushr. 2018, 26, 121–127. [Google Scholar] [CrossRef]
- Yang, C.; Jiang, X.; Ma, L.; Xiao, D.; Liu, X.; Ying, Z.; Li, Y.; Lin, Y. Transcriptomic and metabolomic profiles provide insights into the red-stipe symptom of morel fruiting bodies. J. Fungi 2023, 9, 373. [Google Scholar] [CrossRef] [PubMed]
- Liu, M.Y.; Sun, L.X.; Qian, H.; Zhang, Y.R.; Zhu, X.M.; Li, L.; Liang, S.; Lu, J.P.; Lin, F.C.; Liu, X.H. De novo purine nucleotide biosynthesis pathway is required for development and pathogenicity in Magnaporthe oryzae. J. Fungi 2022, 8, 915. [Google Scholar] [CrossRef]
- Pareek, V.; Pedley, A.M.; Benkovic, S.J. Human de novo purine biosynthesis. Crit. Rev. Biochem. Mol. Biol. 2021, 56, 1–16. [Google Scholar] [CrossRef] [PubMed]
- Ljungdahl, P.O.; Daignan-Fornier, B. Regulation of amino acid, nucleotide, and phosphate metabolism in Saccharomyces cerevisiae. Genetics 2012, 190, 885–929. [Google Scholar] [CrossRef] [PubMed]
- Sun, M.L.; Bian, Z.Y.; Luan, Q.Q.; Chen, Y.T.; Wang, W.; Dong, Y.R.; Chen, L.F.; Hao, C.F.; Xu, J.R.; Liu, H.Q. Stage-specific regulation of purine metabolism during infectious growth and sexual reproduction in Fusarium graminearum. New Phytol. 2021, 230, 757–773. [Google Scholar] [CrossRef]
- Hyle, J.W.; Shaw, R.J.; Reines, D. Functional distinctions between IMP dehydrogenase genes in providing mycophenolate resistance and guanine prototrophy to yeast. J. Biol. Chem. 2003, 278, 28470–28478. [Google Scholar] [CrossRef]
- Morrow, C.A.; Valkov, E.; Stamp, A.; Chow, E.W.L.; Lee, I.R.; Wronski, A.; Williams, S.J.; Hill, J.M.; Djordjevic, J.T.; Kappler, U.; et al. De novo GTP biosynthesis is critical for virulence of the fungal pathogen Cryptococcus neoformans. PLoS Pathog. 2012, 8, e1002957. [Google Scholar] [CrossRef]
- Tan, S.; Chen, Y.; Zhou, G.; Liu, J. Transcriptome Analysis of Colletotrichum fructicola infecting camellia oleifera indicates that two distinct geographical fungi groups have different destructive proliferation capacities related to purine metabolism. Plants 2021, 10, 2672. [Google Scholar] [CrossRef]
- Yang, Y.; Yang, J.; Wang, H.; Jin, Y.; Liu, J.; Jia, R.; Wang, Z.; Kang, Z. Analysis of primary metabolites of Morchella fruit bodies and mycelium based on widely targeted metabolomics. Arch. Microbiol. 2021, 204, 98. [Google Scholar] [CrossRef] [PubMed]
- Fu, Y.; Tan, H.; Wang, B.; Peng, W.; Sun, Q.; Yu, Y. Integrated multi-omic analyses on yellow Flammulina filiformis cultivar reveal postharvest oxidative damage responses. Postharvest Biol. Technol. 2023, 195, 112111. [Google Scholar] [CrossRef]
- Taborda, C.P.; da Silva, M.B.; Nosanchuk, J.D.; Travassos, L.R. Melanin as a virulence factor of Paracoccidioides brasiliensis and other dimorphic pathogenic fungi: A minireview. Mycopathologia 2008, 165, 331–339. [Google Scholar] [CrossRef] [PubMed]
- Swalwell, H.; Latimer, J.; Haywood, R.M.; Birch-Machin, M.A. Investigating the role of melanin in UVA/UVB-and hydrogen peroxide-induced cellular and mitochondrial ROS production and mitochondrial DNA damage in human melanoma cells. Free Radic. Biol. Med. 2012, 52, 626–634. [Google Scholar] [CrossRef] [PubMed]
- Meitha, K.; Pramesti, Y.; Suhandono, S. Reactive oxygen species and antioxidants in postharvest vegetables and fruits. Int. J. Food Sci. 2020, 2020, 8817778. [Google Scholar] [CrossRef] [PubMed]
- Almeselmani, M.; Deshmukh, P.S.; Sairam, R.K.; Kushwaha, S.R. Protective role of antioxidant enzymes under high temperature stress. Plant Sci. 2006, 171, 382–388. [Google Scholar] [CrossRef] [PubMed]
- Sun, P.P.; Mao, Y.X.; Li, G.Y.; Cao, M.; Kong, F.; Wang, L.; Bi, G. Comparative transcriptome profiling of Pyropia yezoensis (Ueda) M.S. Hwang & H.G. Choi in response to temperature stresses. BMC Genom. 2015, 16, 463. [Google Scholar] [CrossRef]
- Tan, X.; Sun, J.; Ning, H. De novo transcriptome sequencing and comprehensive analysis of the heat stress response genes in the basidiomycetes fungus, Ganoderma lucidum. Gene 2018, 661, 139–151. [Google Scholar] [CrossRef]
- Wang, J.Y.; Li, L.; Chai, R.Y.; Qiu, H.P.; Zhang, Z.; Wang, Y.L.; Liu, X.H.; Lin, F.C.; Sun, G.C. Pex13 and Pex14, the key components of the peroxisomal docking complex, are required for peroxisome formation, host infection and pathogenicity-related morphogenesis in Magnaporthe oryzae. Virulence 2019, 10, 292–314. [Google Scholar] [CrossRef]
- Hu, Y.R.; Wang, Y.; Chen, Y.J.; Chai, Q.Q.; Dong, H.Z.; Shen, J.W.; Qi, Y.C.; Wang, F.Q.; Wen, Q. Salicylic Acid Enhances Heat Stress Resistance of Pleurotus ostreatus (Jacq.) P. Kumm through Metabolic Rearrangement. Antioxidants 2022, 11, 968. [Google Scholar] [CrossRef]
- Wang, L.; Ma, K.B.; Lu, Z.G.; Ren, S.X.; Jiang, H.R.; Cui, J.W.; Chen, G.; Teng, N.J.; Lam, H.M.; Jin, B. Differential physiological, transcriptomic and metabolomic responses of Arabidopsis leaves under prolonged warming and heat shock. BMC Plant Biol. 2020, 20, 86. [Google Scholar] [CrossRef]
- Lingner, U.; Münch, S.; Deising, H.B.; Sauer, N. Hexose transporters of a hemibiotrophic plant pathogen: Functional variations and regulatory differences at different stages of infection. J. Biol. Chem. 2011, 286, 20913–20922. [Google Scholar] [CrossRef] [PubMed]
- Krishnan, A.; Convey, P.; Gonzalez, M.; Smykla, J.; Alias, S.A. Effects of temperature on extracellular hydrolase enzymes from soil microfungi. Polar Biol. 2017, 41, 537–551. [Google Scholar] [CrossRef]
- Vander Heiden, M.G.; Cantley, L.C.; Thompson, C.B. Understanding the Warburg effect: The metabolic requirements of cell proliferation. Science 2009, 324, 1029–1033. [Google Scholar] [CrossRef] [PubMed]
- Hu, Y.R.; Xu, W.Z.; Hu, S.S.; Lian, L.D.; Zhu, J.; Shi, L.; Zhao, M.W. Glsnf1-mediated metabolic rearrangement participates in coping with heat stress and influencing secondary metabolism in Ganoderma lucidum. Free Radic. Biol. Med. 2020, 147, 220–230. [Google Scholar] [CrossRef]







| Sample | Name | Size | Normalizing Enrichment Score | p Value | Leading Edge |
|---|---|---|---|---|---|
| 5 °C vs. 20 °C | GO_0006518-peptide metabolic process | 279 | 4.83 | 0 | tags = 66%, list = 17%, signal = 75% |
| GO_0043604-amide biosynthetic process | 304 | 4.77 | 0 | tags = 64%, list = 16%, signal = 73% | |
| GO_0044391-ribosomal subunit | 140 | 4.72 | 0 | tags = 75%, list = 13%, signal = 85% | |
| 10 °C vs. 20 °C | GO_0006412-translation | 248 | 4.03 | 0 | tags = 69%, list = 18%, signal = 81% |
| GO_0005840-ribosome | 162 | 3.96 | 0 | tags = 79%, list = 18%, signal = 94% | |
| GO_0002181-cytoplasmic translation | 163 | 3.94 | 0 | tags = 74%, list = 18%, signal = 87% | |
| 15 °C vs. 20 °C | GO_0006412-translation | 248 | 3.37 | 0 | tags = 65%, list = 22%, signal = 80% |
| GO_0002181-cytoplasmic translation | 163 | 3.35 | 0 | tags = 72%, list = 23%, signal = 91% | |
| GO_0005840- ribosome | 162 | 3.25 | 0 | tags = 68%, list = 22%, signal = 85% | |
| 25 °C vs. 20 °C | GO_0000422-autophagy of mitochondrion | 18 | 1.95 | 0 | tags = 67%, list = 24%, signal = 88% |
| GO_0022604-regulation of cell morphogenesis | 57 | 1.92 | 0 | tags = 42%, list = 18%, signal = 51% | |
| GO_0034727-piecemeal microautophagy of the nucleus | 26 | 1.86 | 0 | tags = 62%, list = 28%, signal = 85% | |
| 30 °C vs. 20 °C | GO_0005996-monosaccharide metabolic process | 44 | 2.11 | 0 | tags = 57%, list = 18%, signal = 69% |
| GO_0016052-carbohydrate catabolic process | 67 | 2.08 | 0 | tags = 49%, list = 18%, signal = 60% | |
| GO_0019318-hexose metabolic process | 31 | 2.04 | 0 | tags = 58%, list = 18%, signal = 71% |
Disclaimer/Publisher’s Note: The statements, opinions and data contained in all publications are solely those of the individual author(s) and contributor(s) and not of MDPI and/or the editor(s). MDPI and/or the editor(s) disclaim responsibility for any injury to people or property resulting from any ideas, methods, instructions or products referred to in the content. |
© 2024 by the authors. Licensee MDPI, Basel, Switzerland. This article is an open access article distributed under the terms and conditions of the Creative Commons Attribution (CC BY) license (https://creativecommons.org/licenses/by/4.0/).
Share and Cite
Yue, Y.; Hao, H.; Wang, Q.; Xiao, T.; Zhang, Y.; Chen, H.; Zhang, J. Comparative Transcriptome Profiles of the Response of Mycelia of the Genus Morchella to Temperature Stress: An Examination of Potential Resistance Mechanisms. J. Fungi 2024, 10, 178. https://doi.org/10.3390/jof10030178
Yue Y, Hao H, Wang Q, Xiao T, Zhang Y, Chen H, Zhang J. Comparative Transcriptome Profiles of the Response of Mycelia of the Genus Morchella to Temperature Stress: An Examination of Potential Resistance Mechanisms. Journal of Fungi. 2024; 10(3):178. https://doi.org/10.3390/jof10030178
Chicago/Turabian StyleYue, Yihong, Haibo Hao, Qian Wang, Tingting Xiao, Yuchen Zhang, Hui Chen, and Jinjing Zhang. 2024. "Comparative Transcriptome Profiles of the Response of Mycelia of the Genus Morchella to Temperature Stress: An Examination of Potential Resistance Mechanisms" Journal of Fungi 10, no. 3: 178. https://doi.org/10.3390/jof10030178
APA StyleYue, Y., Hao, H., Wang, Q., Xiao, T., Zhang, Y., Chen, H., & Zhang, J. (2024). Comparative Transcriptome Profiles of the Response of Mycelia of the Genus Morchella to Temperature Stress: An Examination of Potential Resistance Mechanisms. Journal of Fungi, 10(3), 178. https://doi.org/10.3390/jof10030178

