Molecular Characterization and Pathogenicity of Colletotrichum falcatum Causing Red Rot on Sugarcane in Southern Florida
Abstract
1. Introduction
2. Materials and Methods
2.1. Fungal Isolation
2.2. DNA Extraction, PCR, and Sequencing
2.3. Phylogenetic Analyses
2.4. Fungal Inoculum
2.5. Sugarcane Plants
2.6. Leaf Sheath Colonization Assay
2.7. Pathogenicity Tests
2.7.1. Leaf Sheath Pathogenicity Assay
2.7.2. Whole-Seedling Spray Inoculation
2.7.3. Statistical Analysis
3. Results
3.1. Colletotrichum spp. in Southern Florida
3.2. Molecular Characterization
3.3. Leaf Sheath Development Assay
3.4. Pathogenicity Tests
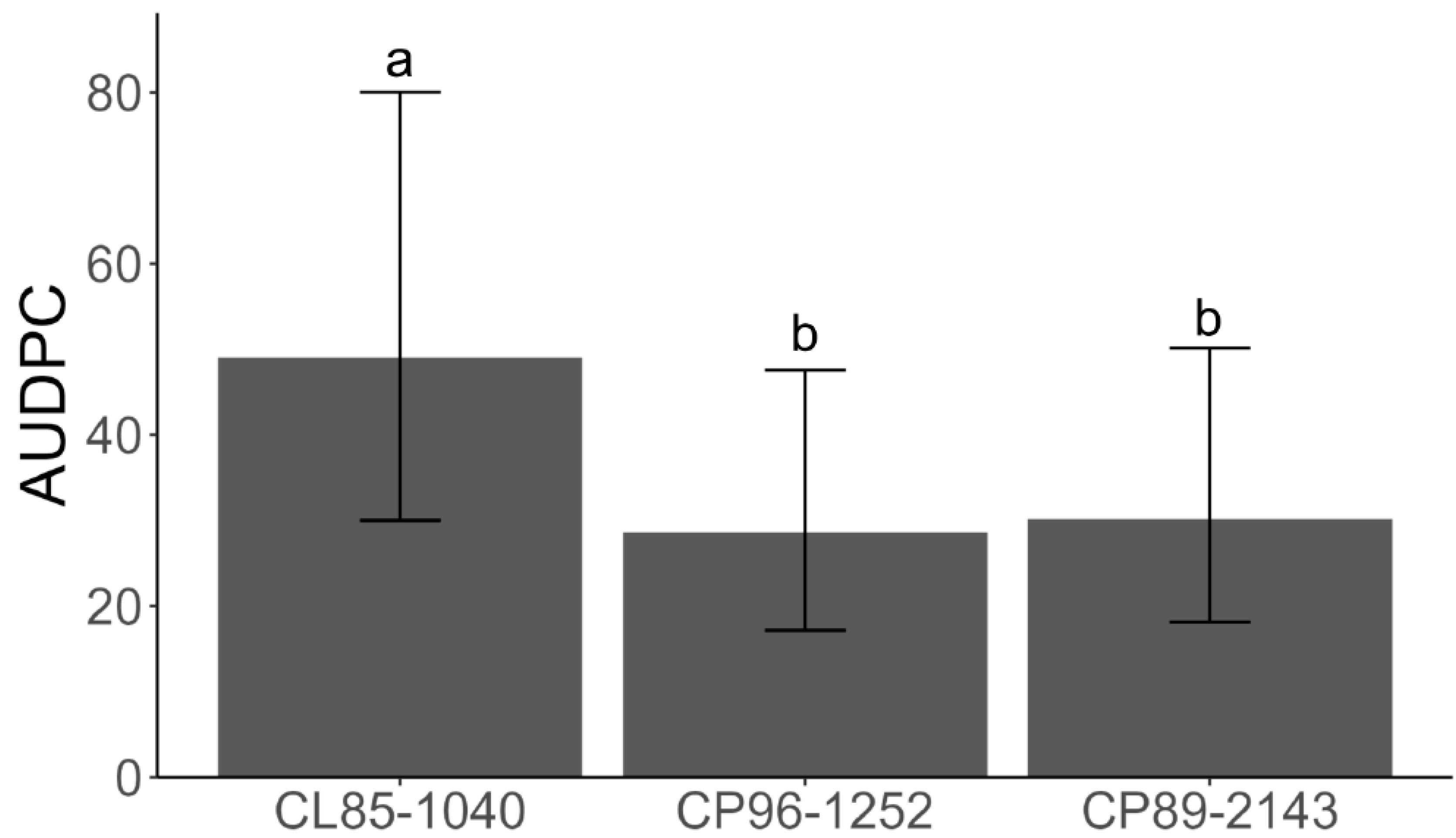
3.4.1. Leaf Sheath Pathogenicity Assay
3.4.2. Whole-Seedling Spray Inoculation
4. Discussion
Supplementary Materials
Author Contributions
Funding
Institutional Review Board Statement
Informed Consent Statement
Data Availability Statement
Acknowledgments
Conflicts of Interest
References
- FAOSTAT Food and Agriculture Organization of the United Nations Statistics Division. Crops: Sugarcane. 2021. Available online: http://www.fao.org/faostat (accessed on 9 August 2023).
- Statista Sugar Industry. Industries & Markets. 2023. Available online: https://www.statista.com/study/12810/sugar-statista-dossier/ (accessed on 28 January 2024).
- USDA Crop Values 2021 Summary; United States Department of Agriculture (USDA): Washington, DC, USA, 2022; ISSN 1949-0372.
- Rajput, M.A.; Rajput, N.A.; Syed, R.N.; Lodhi, A.M.; Que, Y. Sugarcane Smut: Current Knowledge and the Way Forward for Management. J. Fungi 2021, 7, 1095. [Google Scholar] [CrossRef] [PubMed]
- Viswanathan, R.; Padmanaban, P.; Selvakumar, R. Emergence of New Pathogenic Variants in Colletotrichum falcatum, Stalk Infecting Ascomycete in Sugarcane: Role of Host Varieties. Sugar Tech 2020, 22, 473–484. [Google Scholar] [CrossRef]
- Sharma, N.; Gandhi, G.; Pooja; Suruchi; Chauhan, V. Sugarcane Diseases: An Overview. In Emerging Trends in Agriculture Sciences; Singh, Y.V., Ed.; Integrated Publications: New Delhi, India, 2022; Volume 7, pp. 89–103. [Google Scholar] [CrossRef]
- Shailbala, A.K.; Sharma, S. Management of Red Rot of Sugarcane Caused by Colletotrichum falcatum Went: A Review. Int. J. Chem. Stud. 2019, 7, 5029–5039. [Google Scholar]
- Hossain, M.I.; Ahmad, K.; Vadamalai, G.; Siddiqui, Y.; Saad, N.; Ahmed, O.H.; Hata, E.M.; Adzmi, F.; Rashed, O.; Rahman, M.Z.; et al. Phylogenetic Analysis and Genetic Diversity of Colletotrichum falcatum Isolates Causing Sugarcane Red Rot Disease in Bangladesh. Biology 2021, 10, 862. [Google Scholar] [CrossRef]
- Marins, É.F.C.; da Silva, M.J.d.S.; da Silva, J.L.; Silva-Cabral, J.R.A.; Costa, J.F.d.O.; Feijó, F.M.; Assunção, I.P.; Lima, G.S.d.A. Colletotrichum Species Associated with Sugarcane Red Rot in Brazil. Fungal Biol. 2022, 126, 290–299. [Google Scholar] [CrossRef]
- Suman, A.; Lal, S.; Shasany, A.K.; Gaur, A.; Singh, P. Molecular Assessment of Diversity among Pathotypes of Colletotrichum falcatum Prevalent in Sub-Tropical Indian Sugarcane. World J. Microbiol. Biotechnol. 2005, 21, 1135–1140. [Google Scholar] [CrossRef]
- Duttamajumder, S.K. Red Rot of Sugarcane; Indian Institute of Sugarcane Research: Lucknow, India, 2008.
- Sharma, G.; Singh, J.; Arya, A.; Sharma, S. Biology and Management of Sugarcane Red Rot: A Review. Plant Arch. 2017, 17, 775–784. [Google Scholar]
- Gujjar, R.S.; Kumar, R.; Goswami, S.K.; Singh, A.; Baidya, A. Colletotrichum falcatum Infection Influences the Abundance of Sucrose Transporters and Disease Resistant Proteins in Sugarcane Stalk. J. Plant Biochem. Biotechnol. 2024, 33, 367–373. [Google Scholar] [CrossRef]
- Minnatullah, M.; Kamat, D.N. Losses Due to Red Rot Pathogen in Cane Juice Quality. Int. J. Curr. Microbiol. Appl. Sci. 2018, 7, 13–16. [Google Scholar] [CrossRef]
- Viswanathan, R. Plant Disease: Red Rot of Sugarcane; Anmol Publications Pvt. Ltd.: New Delhi, India, 2010. [Google Scholar]
- Costa, M.M.; Silva, B.A.A.S.; Moreira, G.M.; Pfenning, L.H. Colletotrichum falcatum and Fusarium Species Induce Symptoms of Red Rot in Sugarcane in Brazil. Plant Pathol. 2021, 70, 1807–1818. [Google Scholar] [CrossRef]
- Alfieri, S.A., Jr.; Langdon, K.R.; Wehlburg, C.; Kimbroug, J.W. Index of Plant Diseases in Florida (Revised); Florida Department of Agriculture and Consumer Services: Division of Plant Industries: Gainesville, FL, USA, 1984; Volume 11, pp. 1–389.
- Malathi, P.R.; Viswanathan, R.; Ramesh Sundar, A.; Padmanaban, P.; Prakasam, N.; Mohanraj, D.; Jothi, R. Phylogenetic Analysis of Colletotrichum falcatum Isolates Causing Red Rot in Sugarcane. J. Sugarcane Res. 2011, 1, 69–74. [Google Scholar]
- Prittesh, P.; Amaresan, N.; Rushabh, S.; Krishnamurthy, R.; Bhasker, V.V. Isolation and Pathogenic Variability of Colletotrichum falcatum Causing Red Rot in Sugarcane. J. Plant Dis. Prot. 2016, 123, 273–277. [Google Scholar] [CrossRef]
- Edgerton, C.W. Colletotrichum falcatum in the United States. Science 1910, 31, 717–718. [Google Scholar] [CrossRef] [PubMed]
- Carvajal, F. The Perfect Stage of Colletotrichum falcatum. Ph.D. Thesis, LSU Historical Dissertations and Theses, Louisiana State University, Baton Rouge, LA, USA, 1943. [Google Scholar] [CrossRef]
- Hossain, M.I.; Ahmad, K.; Siddiqui, Y.; Saad, N.; Rahman, Z.; Haruna, A.O.; Bejo, S.K. Current and Prospective Strategies on Detecting and Managing Colletotrichum falcatum Causing Red Rot of Sugarcane. Agronomy 2020, 10, 1253. [Google Scholar] [CrossRef]
- Phoulivong, S.; Cai, L.; Chen, H.; McKenzie, E.H.C.; Abdelsalam, K.; Chukeatirote, E.; Hyde, K.D. Colletotrichum gloeosporioides Is Not a Common Pathogen on Tropical Fruits. Fungal Divers. 2010, 44, 33–43. [Google Scholar] [CrossRef]
- Crouch, J.A.; Clarke, B.B.; White, J.F., Jr.; Hillman, B.I. Systematic Analysis of the Falcate-Spored Graminicolous Colletotrichum and a Description of Six New Species from Warm-Season Grasses. Mycologia 2009, 101, 717–732. [Google Scholar] [CrossRef]
- Viswanathan, R. Pathogen Virulence in Sugarcane Red Rot Pathogen Versus Varieties in Cultivation: Classical Case of Loss in Virulence in the Pathotype CF06 (Cf671). Sugar Tech 2017, 19, 293–299. [Google Scholar] [CrossRef]
- Viswanathan, R.; Selvakumar, R. Varietal Breakdown to Red Rot in Sugarcane Revealed by Comparing Two Colletotrichum falcatum Inoculation Methods. Sugar Tech 2020, 22, 1063–1075. [Google Scholar] [CrossRef]
- Viswanathan, R. Sustainable Sugarcane Cultivation in India Through Threats of Red Rot by Varietal Management. Sugar Tech 2021, 23, 239–253. [Google Scholar] [CrossRef]
- Viswanathan, R. Red Rot of Sugarcane (Colletotrichum falcatum Went). CABI Rev. 2021, 16, 57. [Google Scholar] [CrossRef]
- Verma, B.K.; Akhtar, O.; Singh, B. Status of Red Rot Disease: A Cancer of Sugarcane in Uttar Pradesh. Int. Res. J. Mod. Eng. Technol. Sci. 2024, 6, 2582–5208. [Google Scholar] [CrossRef]
- Viswanathan, R. Severe Red Rot Epidemics in Sugarcane in Sub-Tropical India: Role of Aerial Spread of the Pathogen. Sugar Tech 2023, 25, 1275–1277. [Google Scholar] [CrossRef]
- Prasanth, C.N.; Viswanathan, R.; Malathi, P.; Sundar, A.R. Comparative Transcriptome Analysis of Candidate Secretory Effector Proteins from Colletotrichum falcatum Infecting Sugarcane. Agri Gene 2019, 13, 100089. [Google Scholar] [CrossRef]
- Crouch, J.; O’Connell, R.; Gan, P.; Buiate, E.; Torres, M.F.; Beirn, L.; Shirasu, K.; Vaillancourt, L. The Genomics of Colletotrichum. In Genomics of Plant-Associated Fungi: Monocot Pathogens; Dean, R.A., Lichens-Park, A., Kole, C., Eds.; Springer: Berlin/Heidelberg, Germany, 2014; pp. 69–102. ISBN 9783662440568. [Google Scholar]
- Xavier, K.V.; Mizubuti, E.S.G.; Queiroz, M.V.; Chopra, S.; Vaillancourt, L. Genotypic and Pathogenic Diversity of Colletotrichum sublineola Isolates from Sorghum (Sorghum bicolor) and Johnsongrass (S. halepense) in the Southeastern United States. Plant Dis. 2018, 102, 2341–2351. [Google Scholar] [CrossRef]
- GARDES, M.; BRUNS, T. ITS Primers with Enhanced Specificity for Basidiomycetes—Application to the Identification of Mycorrhizae and Rusts. Mol. Ecol. 1993, 2, 113–118. [Google Scholar] [CrossRef]
- White, T.J.; Bruns, T.; Lee, S.; Taylor, J. Amplification and Direct Sequencing of Fungal Ribosomal RNA Genes for Phylogenetics. In PCR Protocols: A Guide to Methods and Applications; Innis, M.A., Gelfand, D., Sninsky, J.J., White, T.J., Eds.; Academic Press: Cambridge, MA, USA, 1990; pp. 315–322. [Google Scholar]
- Carbone, I.; Kohn, L.M. A Method for Designing Primer Sets for Speciation Studies in Filamentous Ascomycetes. Mycologia 1999, 91, 553–556. [Google Scholar] [CrossRef]
- Wang, R.-Y.; Gao, B.; Li, X.-H.; Ma, J.; Chen, S.-L. First Report of Fusarium Solani Causing Fusarium Root Rot and Stem Canker on Storage Roots of Sweet Potato in China. Plant Dis. 2014, 98, 160. [Google Scholar] [CrossRef]
- Templeton, M.D.; Rikkerink, E.H.A.; Solon, S.L.; Crowhurst, R.N. Cloning and molecular characterization of the glyceraldehyde-3-phosphate dehydrogenase-encoding gene and cDNA from the plant pathogenic fungus Glomerella cingulata. Gene 1992, 122, 225–230. [Google Scholar] [CrossRef]
- Katoh, K.; Standley, D.M. MAFFT Multiple Sequence Alignment Software Version 7: Improvements in Performance and Usability. Mol. Biol. Evol. 2013, 30, 772–780. [Google Scholar] [CrossRef]
- Lemoine, F.; Correia, D.; Lefort, V.; Doppelt-Azeroual, O.; Mareuil, F.; Cohen-Boulakia, S.; Gascuel, O. NGPhylogeny.Fr: New Generation Phylogenetic Services for Non-Specialists. Nucleic Acids Res. 2019, 47, W260–W265. [Google Scholar] [CrossRef]
- Talavera, G.; Castresana, J. Improvement of Phylogenies after Removing Divergent and Ambiguously Aligned Blocks from Protein Sequence Alignments. Syst. Biol. 2007, 56, 564–577. [Google Scholar] [CrossRef] [PubMed]
- Tamura, K.; Stecher, G.; Kumar, S. MEGA11: Molecular Evolutionary Genetics Analysis Version 11. Mol. Biol. Evol. 2021, 38, 3022–3027. [Google Scholar] [CrossRef] [PubMed]
- Nei, M.; Kumar, S. Molecular Evolution and Phylogenetics; Oxford University Press: New York, NY, USA, 2000; ISBN 9780195135848. [Google Scholar]
- Huelsenbeck, J.P.; Ronquist, F. MRBAYES: Bayesian Inference of Phylogenetic Trees. Bioinform. Apl. Note 2001, 17, 754–755. [Google Scholar] [CrossRef] [PubMed]
- Jiang, C.; Xu, Y.; Wei, Y.; Khan, M.T.; Wu, Y.; Li, H.; Chen, J.; Zhang, C.; Zeng, L.; Zhang, M. Occurrence and Field Evaluation of Promising Sugarcane Genotypes for Resistance to Midrib Red Rot Disease in China. Plant Pathol. 2024, 73, 1469–1479. [Google Scholar] [CrossRef]
- Prihastuti, H.; Cai, L.; Crouch, J.A.; Phoulivong, S.; Moslem, M.A.; McKenzie, E.H.C.; Hyde, K.D. Neotypification of Colletotrichum falcatum, the Causative Agent of Red-Rot Disease in Sugarcane. Sydowia 2010, 62, 283–293. [Google Scholar]
- Du, M.; Schardl, C.L.; Nuckles, E.M.; Vaillancourt, L.J. Using Mating-Type Gene Sequences for Improved Phylogenetic Resolution of Collectotrichum Species Complexes. Mycologia 2005, 97, 641–658. [Google Scholar] [CrossRef]
- O’Connell, R.J.; Thon, M.R.; Hacquard, S.; Amyotte, S.G.; Kleemann, J.; Torres, M.F.; Damm, U.; Buiate, E.A.; Epstein, L.; Alkan, N.; et al. Lifestyle Transitions in Plant Pathogenic Colletotrichum Fungi Deciphered by Genome and Transcriptome Analyses. Nat. Genet. 2012, 44, 1060–1065. [Google Scholar] [CrossRef]
- Alizadeh, A.; Javan-Nikkhah, M.; Nourmohammadi Nazarian, R.; Liu, F.; Zare, R.; Fotouhifar, K.B.; Stukenbrock, E.H.; Damm, U. New Species of Colletotrichum from Wild Poaceae and Cyperaceae Plants in Iran. Mycologia 2022, 114, 89–113. [Google Scholar] [CrossRef]
- Crouch, J.A.; Beirn, L.A.; Cortese, L.M.; Bonos, S.A.; Clarke, B.B. Anthracnose Disease of Switchgrass Caused by the Novel Fungal Species Colletotrichum navitas. Mycol. Res. 2009, 113, 1411–1421. [Google Scholar] [CrossRef]
- Crouch, J.A.; Tredway, L.P.; Clarke, B.B.; Hillman, B.I. Phylogenetic and Population Genetic Divergence Correspond with Habitat for the Pathogen Colletotrichum cereale and Allied Taxa across Diverse Grass Communities. Mol. Ecol. 2009, 18, 123–135. [Google Scholar] [CrossRef]
- Cannon, P.F.; Damm, U.; Johnston, P.R.; Weir, B.S. Colletotrichum—Current Status and Future Directions. Stud. Mycol. 2012, 73, 181–213. [Google Scholar] [CrossRef] [PubMed]
- Xu, L.; Xu, Z.; Liu, J.; Cui, H.; Long, J.; Xue, L.; Li, C. Identification, Pathogenicity, and Fungicide Sensitivity of Colletotrichum Species Associated with Anthracnose on Italian Ryegrass in Southwestern China. Plant Dis. 2024. [Google Scholar] [CrossRef] [PubMed]
- Weir, B.S.; Johnston, P.R.; Damm, U. The Colletotrichum gloeosporioides Species Complex. Stud. Mycol. 2012, 73, 115–180. [Google Scholar] [CrossRef] [PubMed]
- Damm, U.; Cannon, P.F.; Woudenberg, J.H.C.; Johnston, P.R.; Weir, B.S.; Tan, Y.P.; Shivas, R.G.; Crous, P.W. The Colletotrichum boninense Species Complex. Stud. Mycol. 2012, 73, 1–36. [Google Scholar] [CrossRef]
- Xavier, K.V.; Pfeiffer, T.; Parreira, D.F.; Chopra, S.; Vaillancourt, L. Aggressiveness of Colletotrichum sublineola Strains from Sorghum Bicolor and S. halepense to Sweet Sorghum Variety Sugar Drip, and Their Impact on Yield. Plant Dis. 2017, 101, 1578–1587. [Google Scholar] [CrossRef]
- Belisário, R.; Torres, M.F.; Buiate, E.A.S.; Xavier, K.V.; Nuckles, E.M.; Vaillancourt, L.J. Detached Maize Sheaths for Live-Cell Imaging of Infection by Fungal Foliar Maize Pathogens. J. Vis. Exp. 2023, 2023, e65755. [Google Scholar] [CrossRef]
- R Core Team R: A Language and Environment for Statistical Computing (4.3.2) [X86_64, Linux-Gnu]. R Foundation for Statistical Computing. 2023. Available online: https://www.R-project.org/ (accessed on 23 June 2024).
- Christensen R Ordinal—Regression Models for Ordinal Data. R Package Version 2023. Available online: https://CRAN.R-project.org/package=ordinal (accessed on 24 June 2024).
- Liddell, T.M.; Kruschke, J.K. Analyzing Ordinal Data with Metric Models: What Could Possibly Go Wrong? J. Exp. Soc. Psychol. 2018, 79, 328–348. [Google Scholar] [CrossRef]
- Taylor, J.E.; Rousselet, G.A.; Scheepers, C.; Sereno, S.C. Rating Norms Should Be Calculated from Cumulative Link Mixed Effects Models. Behav. Res. Methods 2023, 55, 2175–2196. [Google Scholar] [CrossRef]
- Lenth, R.V.; Bolker, B.; Buerkner, P.; Giné-Vázquez, I.; Herve, M.; Jung, M.; Love, J.; Miguez, F.; Piaskowski, J.; Riebl, H.; et al. Emmeans: Estimated Marginal Means, Aka Least-Squares Means. R Package Version 1.10.2. 2024. Available online: https://cran.r-project.org/web/packages/emmeans/index.html (accessed on 23 June 2024).
- Hothorn, T.; Bretz, F.; Westfall, P. Simultaneous Inference in General Parametric Models. Biom. J. 2008, 50, 346–363. [Google Scholar] [CrossRef]
- Wickham, H.; Averick, M.; Bryan, J.; Chang, W.; McGowan, L.; François, R.; Grolemund, G.; Hayes, A.; Henry, L.; Hester, J.; et al. Welcome to the Tidyverse. J. Open Source Softw. 2019, 4, 1686. [Google Scholar] [CrossRef]
- Wickham H Ggplot2: Elegant Graphics for Data Analysis; Springer: New York, NY, USA, 2016; Available online: https://ggplot2.tidyverse.org (accessed on 24 June 2024).
- Brooks, M.E.; Kristensen, K.; Van Benthem, K.J.; Magnusson, A.; Berg, C.W.; Nielsen, A.; Skaug, H.J.; Mächler, M.; Bolker, B.M. GlmmTMB Balances Speed and Flexibility Among Packages for Zero-Inflated Generalized Linear Mixed Modeling. R J. 2017, 9/2, 378–400. [Google Scholar] [CrossRef]
- Hartig, F. DHARMa: Residual Diagnostics for Hierarchical (Multi-Level/Mixed) Regression Models. R Package Version 0.4.6. 2021. Available online: http://florianhartig.github.io/DHARMa/ (accessed on 23 June 2024).
- Silva, T.C.; Moreira, S.I.; Felizardo, L.M.; Martins, R.M.; Suzuki, A.N.; Faria, G.A.; Montanari, R.; Ceresini, P.C. Dry Rot Caused by the Complex Colletotrichum falcatum and Thielaviopsis paradoxa Emerges as a Key Stalk Disorder in Newly Expanded Sugarcane Plantations from Northwestern São Paulo, Brazil. Agronomy 2023, 13, 2729. [Google Scholar] [CrossRef]
- dos Santos Vieira, W.A.; Bezerra, P.A.; da Silva, A.C.; Veloso, J.S.; Câmara, M.P.S.; Doyle, V.P. Optimal Markers for the Identification of Colletotrichum Species. Mol. Phylogenet. Evol. 2020, 143, 106694. [Google Scholar] [CrossRef]
- Liu, F.; Ma, Z.Y.; Hou, L.W.; Diao, Y.Z.; Wu, W.P.; Damm, U.; Song, S.; Cai, L. Updating Species Diversity of Colletotrichum, with a Phylogenomic Overview. Stud. Mycol. 2022, 101, 1–56. [Google Scholar] [CrossRef]
- Ahmad, Z.; Farooq, M.A.; Fatima, A.; Nisa, S.G.; Tabassum, S.; Ismat, B.; Waseem, S.; Iqbal, U.; Akbar, A.; Haroon, U.; et al. Molecular Diagnosis of Red Rot of Sugarcane in Pakistan and in vitro Control of Isolated Pathogen Using Rhizobacteria. Plant Prot. Sci. 2023, 59, 124–133. [Google Scholar] [CrossRef]
- Perfect, S.E.; Green, J.R. Infection Structures of Biotrophic and Hemibiotrophic Fungal Plant Pathogens. Mol. Plant Pathol. 2001, 2, 101–108. [Google Scholar] [CrossRef]
- Sharmar, N.; Gautam, A.K. Early Pathogenicity Events in Plant Pathogenic Fungi: A Comprehensive Review. Biol. Forum 2019, 11, 24–34. [Google Scholar]
- Nandakumar, M.; Malathi, P.; Sundar, A.R.; Viswanathan, R. Use of Green Fluorescent Protein Expressing Colletotrichum falcatum, the Red Rot Pathogen for Precise Host–Pathogen Interaction Studies in Sugarcane. Sugar Tech 2020, 22, 112–121. [Google Scholar] [CrossRef]
- Viswanathan, R. Degeneration in Sugarcane Varieties: Does the Sugar Industry Realize It? Sugar Tech 2024. [Google Scholar] [CrossRef]
- Prasanth, C.N.; Viswanathan, R.; Malathi, P.; Sundar, A.R. Carbohydrate Active Enzymes (CAZy) Regulate Cellulolytic and Pectinolytic Enzymes in Colletotrichum falcatum Causing Red Rot in Sugarcane. 3 Biotech 2022, 12, 48. [Google Scholar] [CrossRef]
- Viswanathan, R. Changing Scenario of Sugarcane Diseases in India Since Introduction of Hybrid Cane Varieties: Path Travelled for a Century. J. Sugarcane Res. 2018, 8, 1–35. [Google Scholar]








| Locus 1 | Primer | Sequence (5′-3′) | Ta (°C) 2 | PS 3 | References |
|---|---|---|---|---|---|
| ITS | ITS1F | CTTGGTCATTTAGAGGAAGTAA | 49.7 | 429 bp | [34] |
| ITS4 | TCCTCCGCTTATTATATGC | 52.1 | [35] | ||
| ACT | ACT-512 | ATGTGCAAGGCCGGTTTCGC | 61.7 | 252 bp | [36] |
| ACT-783R | TACGAGTCCTTCTGGCCCAT | 57.9 | [36] | ||
| TUB2 | Bt1 | AACATGCGTGAGATTGTAAGT | 52.3 | 750 bp | [37] |
| Bt2 | ACCCTCAGTGTAGT GACCCTTGGC | 62.5 | [37] | ||
| GAPDH | GDF1 | GCCGTCAACGACCCCTTCATTGA | 61.7 | 150 bp | [38] |
| GDR1 | GGGTGGAGTCGTACTTGAGCATGT | 60.6 | [38] | ||
| CHS-1 | CHS79F | TGGGGCAAGGATGCTTGGAAGAAG | 61.7 | 300 bp | [36] |
| CHS354R | TGGAAGAACCATCTGTGAGAGTTG | 56.6 | [36] |
| GenBank Accession Numbers | ||||||||||
|---|---|---|---|---|---|---|---|---|---|---|
| Strain 1 | Species | Host/Substrate | Collection Date 2 | Country | ITS | ACT | TUB2 | GAPDH | CHS-1 | References |
| CML 3855 | C. falcatum | Sarccharum officinarum sp. | N/A | Brazil | MW471107 | MW455488 | [16] | |||
| CML 4075 | C. falcatum | Sarccharum officinarum sp. | N/A | Brazil | MW471109 | MW455490 | [16] | |||
| Cf2 | C. falcatum | Sarccharum officinarum sp. | August-2022 | China | PP217423 | OR542861 | OR542897 | [45] | ||
| LC885 | C. falcatum | Sarccharum officinarum sp. | N/A | China | HM171677 | HM171665 | HM171680 | HM171671 | [46] | |
| Cf64-8 | C. falcatum | Sarccharum officinarum sp. | N/A | India | FJ002093 | FJ008099 | FJ002020 | [8] | ||
| CBS 147945 * | C. falcatum | Sarccharum officinarum sp. | N/A | Indonesia | JQ005772 | JQ005835 | JQ005856 | JQ005793 | [46] | |
| CBS 130836 * | C. gaminicola | Zea mays | N/A | USA | DQ003110 | JQ005830 | JQ005851 | MW740221 | JQ005788 | [47,48,49] |
| CBS 125086 * | C. navitas | Panicum virgatum | N/A | USA | GQ919067 | JQ005832 | JQ005853 | JQ005790 | [48,50] | |
| MAFF 511115 * | C. nicholsonii | Paspalum dilatatum | N/A | Japan | EU554126 | JQ005833 | JQ005854 | MW740226 | JQ005791 | [48,49,51] https://www.tandfonline.com/doi/full/10.1080/00275514.2021.2008765 accessed on 9 August 2023 |
| CBS 131301 * | C. sublineola | Sorghum bicolor | N/A | Burkina Faso | DQ003114 | JQ005834 | JQ005855 | MW740232 | JQ005792 | [32,47,49] |
| MAFF 305403 * | C. paspali | Paspalum notatum | N/A | Japan | EU554100 | JX519235 | JX519244 | MW740210 | JX519227 | [49,51,52] |
| CBS 129661 * | C. eremochloae | Eremochloa ophiuroides | N/A | USA | JQ478447 | JX519236 | JX519245 | JX519228 | [52] | |
| MAFF 510857 * | C. miscanthi | Miscanthus sinensis | N/A | Japan | EU554121 | JX519237 | JX519246 | MW740225 | JX519229 | [49,51,52] |
| MAFF 511155 * | C. eleusines | Eleusine indica | N/A | Japan | EU554131 | JX519234 | JX519243 | MW740217 | JX519226 | [49,51,52] |
| GZC46 | C. cereale | Lolium multiflorum | June-2022 | China | OR976053 | OR995786 | OR995792 | OR995768 | OR995774 | [53] |
| MAFF 305460 * | C. jacksonii | Echinochloa esculenta | N/A | Japan | EU554108 | JX519233 | JX519241 | MW740224 | JX519224 | [49,51,52] |
| CBS 124945 * | C. theobromicola | Theobroma cacao | N/A | Panama | JX010294 | JX009444 | JX010447 | JX010006 | JX009869.1 | [54] |
| CBS 123755 * | C. boninense | Crinum asiaticum var. | N/A | Japan | JQ005153 | JQ005501 | JQ005588 | JQ005240 | JQ005327 | [55] |
| KX144 | C. falcatum | Sarccharum officinarum sp./CL85-1040 | August-2022 | Florida, USA | PP782093 | PP855401 | PQ349366 | PQ349380 | PQ349352 | First report in this study |
| KX652 | C. falcatum | Sarccharum officinarum sp./CL85-1040 | July-2023 | Florida, USA | PP782096 | PP855404 | PQ349369 | PQ349383 | PQ349355 | First report in this study |
| KX653 | C. falcatum | Sarccharum officinarum sp./CL85-1040 | July-2023 | Florida, USA | PP782097 | PP855405 | PQ349370 | PQ349384 | PQ349356 | First report in this study |
| KX145 | C. falcatum | Sarccharum officinarum sp./CP96-1252 | September-2022 | Florida, USA | PP782094 | PP855402 | PQ349367 | PQ349381 | PQ349353 | First report in this study |
| KX657 | C. falcatum | Sarccharum officinarum sp./CP96-1252 | July-2023 | Florida, USA | PP782101 | PP855408 | PQ349374 | PQ349388 | PQ349360 | First report in this study |
| KX658 | C. falcatum | Sarccharum officinarum sp./CP96-1252 | July-2023 | Florida, USA | PP782102 | PP855409 | PQ349375 | PQ349389 | PQ349361 | First report in this study |
| KX659 | C. falcatum | Sarccharum officinarum sp./CP96-1252 | July-2023 | Florida, USA | PP782103 | PP855410 | PQ349376 | PQ349390 | PQ349362 | First report in this study |
| KX661 | C. falcatum | Sarccharum officinarum sp./CP96-1252 | July-2023 | Florida, USA | PP782104 | PP855411 | PQ349377 | PQ349391 | PQ349363 | First report in this study |
| KX662 | C. falcatum | Sarccharum officinarum sp./CP96-1252 | July-2023 | Florida, USA | PP782105 | PP855412 | PQ349378 | PQ349392 | PQ349364 | First report in this study |
| KX146 | C. falcatum | Sarccharum officinarum sp./CP89-2143 | September-2022 | Florida, USA | PP782095 | PP855403 | PQ349368 | PQ349382 | PQ349354 | First report in this study |
| KX654 | C. falcatum | Sarccharum officinarum sp./CP89-2143 | July-2023 | Florida, USA | PP782098 | PP855406 | PQ349371 | PQ349385 | PQ349357 | First report in this study |
| KX655 | C. falcatum | Sarccharum officinarum sp./CP89-2143 | July-2023 | Florida, USA | PP782099 | PP855407 | PQ349372 | PQ349386 | PQ349358 | First report in this study |
| KX656 | C. falcatum | Sarccharum officinarum sp./CP89-2143 | July-2023 | Florida, USA | PP782100 | PP855413 | PQ349373 | PQ349387 | PQ349359 | First report in this study |
| KX164 | C. theobromicola | Apium graveolens | December-2022 | Florida, USA | PP782092 | PP855414 | PQ349379 | PQ349393 | PQ349365 | First report in this study |
Disclaimer/Publisher’s Note: The statements, opinions and data contained in all publications are solely those of the individual author(s) and contributor(s) and not of MDPI and/or the editor(s). MDPI and/or the editor(s) disclaim responsibility for any injury to people or property resulting from any ideas, methods, instructions or products referred to in the content. |
© 2024 by the authors. Licensee MDPI, Basel, Switzerland. This article is an open access article distributed under the terms and conditions of the Creative Commons Attribution (CC BY) license (https://creativecommons.org/licenses/by/4.0/).
Share and Cite
Silva, F.R.; Resende, M.L.V.d.; Ferreira, L.C.; Adesina, O.; Xavier, K.V. Molecular Characterization and Pathogenicity of Colletotrichum falcatum Causing Red Rot on Sugarcane in Southern Florida. J. Fungi 2024, 10, 742. https://doi.org/10.3390/jof10110742
Silva FR, Resende MLVd, Ferreira LC, Adesina O, Xavier KV. Molecular Characterization and Pathogenicity of Colletotrichum falcatum Causing Red Rot on Sugarcane in Southern Florida. Journal of Fungi. 2024; 10(11):742. https://doi.org/10.3390/jof10110742
Chicago/Turabian StyleSilva, Fernanda Rodrigues, Mário Lúcio V. de Resende, Larissa Carvalho Ferreira, Olamide Adesina, and Katia V. Xavier. 2024. "Molecular Characterization and Pathogenicity of Colletotrichum falcatum Causing Red Rot on Sugarcane in Southern Florida" Journal of Fungi 10, no. 11: 742. https://doi.org/10.3390/jof10110742
APA StyleSilva, F. R., Resende, M. L. V. d., Ferreira, L. C., Adesina, O., & Xavier, K. V. (2024). Molecular Characterization and Pathogenicity of Colletotrichum falcatum Causing Red Rot on Sugarcane in Southern Florida. Journal of Fungi, 10(11), 742. https://doi.org/10.3390/jof10110742

