A Platform Integrating Biophysical and Biochemical Stimuli to Enhance Differentiation and Maturation of Cardiomyocyte Subtypes Derived from Human Induced Pluripotent Stem Cells
Abstract
1. Introduction
2. Materials and Methods
2.1. hiPS Cell Culture and Cardiomyocyte Differentiation
2.2. Ventricular Extracellular Matrix (vECM) Extraction and Gel Casting
2.3. Bioreactor System
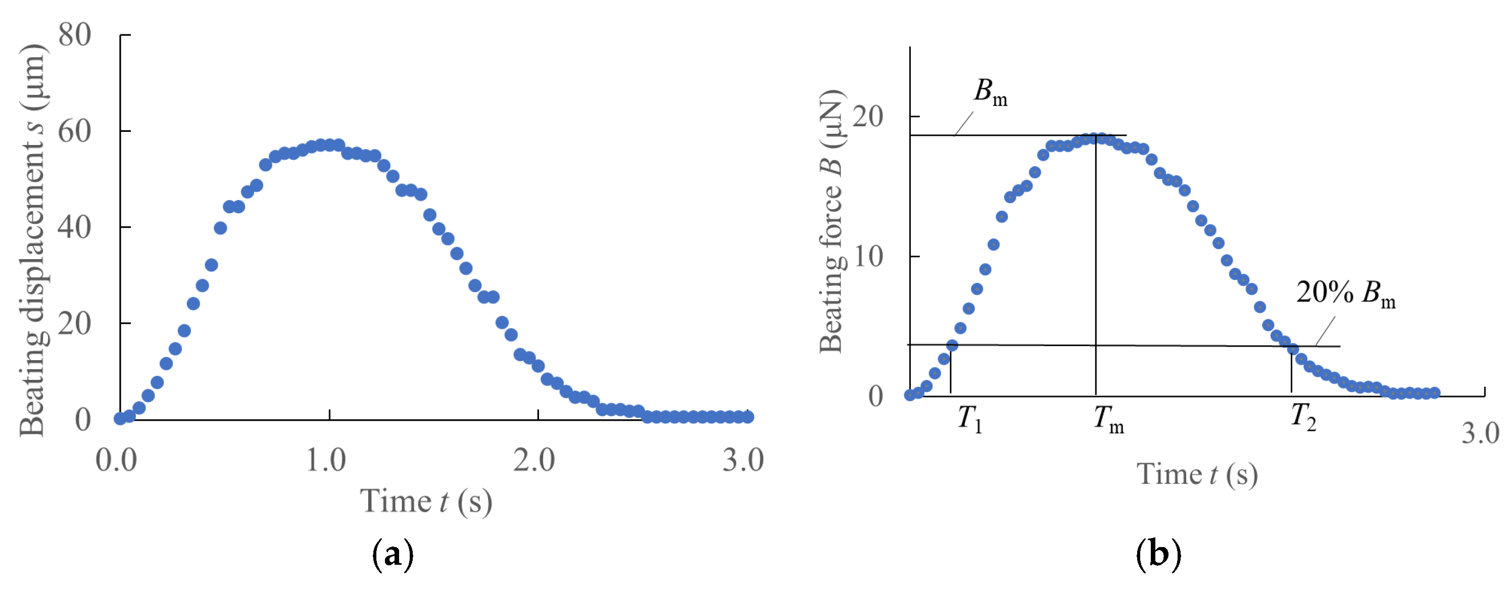
2.4. Measurement of Contractile Force Profile
2.5. Tensile Test of Electrode and PDMS Chamber Materials
2.6. Immunofluorescence Observation
2.7. Measurement of Gene Expression
2.8. Statistical Analysis
3. Results
3.1. Mechanical Compatibility Between Culture Chamber and the Embedded Electrodes
3.2. Coordination of Mechanical and Electrical Stimuli
3.3. Differentiation Status of hiPS Cells at Day 15 After the First Monolayer Differentiation Stage
3.4. Results on the 3D Culture of hiPS-CMs Populated in vECM-Collagen Gels and Stimulated at Low (1.0 Hz) and High (5.0 Hz) Frequencies
4. Discussion
Supplementary Materials
Author Contributions
Funding
Institutional Review Board Statement
Informed Consent Statement
Data Availability Statement
Conflicts of Interest
References
- Mallapaty, S. Pioneering stem-cell trials in Japan report promising results. Nature 2022, 609, 235. [Google Scholar] [CrossRef] [PubMed]
- Miyagawa, S.; Kainuma, S.; Kawamura, T.; Suzuki, K.; Ito, Y.; Iseoka, H.; Ito, E.; Takeda, M.; Sasai, M.; Mochizuki-Oda, N.; et al. Case report: Transplantation of human induced pluripotent stem cell-derived cardiomyocyte patches for ischemic cardiomyopathy. Front. Cardiovasc. Med. 2022, 9, 950829. [Google Scholar] [CrossRef] [PubMed]
- Andrysiak, K.; Stępniewski, J.; Dulak, J. Human-induced pluripotent stem cell-derived cardiomyocytes, 3D cardiac structures, and heart-on-a-chip as tools for drug research. Eur. J. Physiol. 2021, 473, 1061–1085. [Google Scholar] [CrossRef] [PubMed]
- Eder, A.; Vollert, I.; Hansen, A.; Eschenhagen, T. Human engineered heart tissue as a model system for drug testing. Adv. Drug Deliv. Rev. 2016, 96, 214–224. [Google Scholar] [CrossRef]
- Sakamoto, T.; Kelly, D.P. Cardiac maturation. J. Mol. Cell. Cardiol. 2024, 187, 38–50. [Google Scholar] [CrossRef]
- Ronaldson-Bouchard, K.; Yeager, K.; Teles, D.; Chen, T.; Ma, S.; Song, L.; Morikawa, K.; Wobma, H.; Vasciaveo, A.; Ruiz, E.; et al. Engineering of human cardiac muscle electromechanically matured to an adult-like phenotype. Nat. Protoc. 2019, 14, 2781–2817. [Google Scholar] [CrossRef]
- Machiraju, P.; Greenway, S. Current methods for the maturation of induced pluripotent stem cell-derived cardiomyocytes. World J. Stem Cells 2019, 11, 33–43. [Google Scholar] [CrossRef]
- Feng, Z.; Matsumoto, T.; Nomura, Y.; Nakamura, T. An electro-tensile bioreactor for 3-D culturing of cardiomyocytes. IEEE Eng. Med. Biol. Mag. 2005, 24, 73–79. [Google Scholar] [CrossRef]
- Jackman, C.; Carlson, A.; Bursac, N. Dynamic culture yields engineered myocardium with near-adult functional output. Biomaterials 2016, 111, 66–79. [Google Scholar] [CrossRef]
- de Lange, W.; Farrell, E.; Kreitzer, C.; Jacobs, D.; Lang, D.; Glukhov, A.; Ralphe, J. Human iPSC-engineered cardiac tissue platform faithfully models important cardiac physiology. Am. J. Physiol. Heart Circ. Physiol. 2012, 320, H1670–H1686. [Google Scholar] [CrossRef]
- Thrivikraman, G.; Boda, S.; Basu, B. Unraveling the mechanistic effects of electric field stimulation towards directing stem cell fate and function: A tissue engineering perspective. Biomaterials 2018, 150, 60–86. [Google Scholar] [CrossRef] [PubMed]
- Tandon, N.; Cannizzaro, C.; Chao, P.; Maidhof, R.; Marsano, A.; Au, H.; Radisic, M.; Vunjak-Novakovic, G. Electrical stimulation systems for cardiac tissue engineering. Nat. Protoc. 2009, 4, 155–173. [Google Scholar] [CrossRef] [PubMed]
- Zhao, Y.; Rafatian, N.; Feric, N.; Cox, B.; Aschar-Sobbi, R.; Wang, E.; Aggarwal, P.; Zhang, B.; Conant, G.; Ronaldson-Bouchard, K.; et al. A Platform for Generation of Chamber-Specific Cardiac Tissues and Disease Modeling. Cell 2019, 176, 913–927. [Google Scholar] [CrossRef] [PubMed]
- Ronaldson-Bouchard, K.; Ma, S.; Yeager, K.; Chen, T.; Song, L.; Sirabella, D.; Morikawa, K.; Teles, D.; Yazawa, M.; Vunjak-Novakovic, G. Advanced maturation of human cardiac tissue grown from pluripotent stem cells. Nature 2018, 556, 239–243. [Google Scholar] [CrossRef]
- Boland, C.; Khan, U.; Ryan, G.; Barwich, S.; Charifou, R.; Harvey, A.; Backes, C.; Li, Z.; Ferreira, M.; Möbius, M.; et al. Sensitive electromechanical sensors using viscoelastic graphene-polymer nanocomposites. Science 2016, 354, 1257–1260. [Google Scholar] [CrossRef]
- Solazzo, M.; O’Brien, F.; Nicolosi, V.; Monaghan, M. The rationale and emergence of electroconductive biomaterial scaffolds in cardiac tissue engineering. APL Bioeng. 2019, 3, 041501. [Google Scholar] [CrossRef]
- Esmaeili, H.; Patino-Guerrero, A.; Nelson, R., Jr.; Karamanova, N.; Fisher, T.; Zhu, W.; Perreault, F.; Migrino, R.; Nikkhah, M. Engineered Gold and Silica Nanoparticle-Incorporated Hydrogel Scaffolds for Human Stem Cell-Derived Cardiac Tissue Engineering. ACS Biomater. Sci. Eng. 2024, 10, 2351–2366. [Google Scholar] [CrossRef]
- Liu, J.; Zhang, X.; Liu, Y.; Rodrigo, M.; Loftus, P.; Aparicio-Valenzuela, J.; Zheng, J.; Pong, T.; Cyr, K.; Babakhanian, M.; et al. Intrinsically stretchable electrode array enabled in vivo electrophysiological mapping of atrial fibrillation at cellular resolution. Proc. Natl. Acad. Sci. USA 2020, 117, 14769–14778. [Google Scholar] [CrossRef]
- Campostrini, G.; Windt, L.; van Meer, B.; Bellin, M.; Mummery, C. Cardiac Tissues From Stem Cells New Routes to Maturation and Cardiac Regeneration. Circ. Res. 2021, 128, 775–801. [Google Scholar] [CrossRef]
- Traverse, J.; Henry, T.; Dib, N.; Patel, A.; Pepine, C.; Schaer, G.; DeQuach, J.; Kinsey, A.; Chamberlin, P.; Christman, K. First-in-Man Study of a Cardiac Extracellular Matrix Hydrogel in Early and Late Myocardial Infarction Patients. JACC Basic Transl. Sci. 2019, 11, 659–669. [Google Scholar] [CrossRef]
- Fetterman, K.; Blancard, M.; Lyra-Leite, D.; Vanoye, C.; Fonoudi, H.; Jouni, M.; DeKeyser, J.; Lenny, B.; Sapkota, Y.; George, A., Jr.; et al. Independent compartmentalization of functional, metabolic, and transcriptional maturation of hiPSC-derived cardiomyocytes. Cell Rep. 2024, 43, 114160. [Google Scholar] [CrossRef] [PubMed]
- Mulvany, E.; McMahan, S.; Xu, J.; Yazdani, N.; Willits, R.; Liao, J.; Zhang, G.; Hong, Y. In vitro comparison of harvesting site effects on cardiac extracellular matrix hydrogels. J. Biomed. Mater. Res. 2021, 109, 1922–1930. [Google Scholar] [CrossRef] [PubMed]
- Tapscott, S. The circuitry of a master switch: Myod and the regulation of skeletal muscle gene transcription. Development 2005, 132, 2685–2695. [Google Scholar] [CrossRef] [PubMed]
- Srivastava, D.; Olson, E. A genetic blueprint for cardiac development. Nature 2000, 407, 221–226. [Google Scholar] [CrossRef]
- Nakamura, T.; Feng, Z.; Honda, T.; Nomura, Y.; Kitajima, T.; Umezu, M. Comparison of mRNA expression of transcriptional factors and intercalated disk constituent proteins between in vivo and cultured cardiomyocytes. J. Artif. Organs. 2008, 11, 134–140. [Google Scholar] [CrossRef]
- Yano, M.; Hiroi, K.; Yuasa, T.; Inoue, K.; Yamamoto, O.; Nakamura, T.; Sato, D.; Feng, Z. Effects of docosahexaenoic acid or arachidonic acid supplementation on the behavior of cardiomyocytes derived from human pluripotent stem cells. Biocell 2023, 47, 1095–1106. [Google Scholar] [CrossRef]
- Lian, X.; Zhang, J.; Azarin, S.; Zhu, K.; Hazeltine, L.; Bao, X.; Hsiao, C.; Kamp, T.; Palecek, S. Directed cardiomyocyte differentiation from human pluripotent stem cells by modulating Wnt/b-catenin signaling under fully defined conditions. Nat. Protoc. 2013, 8, 162–175. [Google Scholar] [CrossRef]
- D’Antonio-Chronowska, A.; D’Antonio, M.; Frazer, K. In vitro Differentiation of Human iPSC-derived Cardiovascular Progenitor Cells (iPSC-CVPCs). Bio-Protoc. 2020, 10, e3755. [Google Scholar] [CrossRef]
- Fujita, K.; Feng, Z.; Sato, D.; Kosawada, T.; Nakamura, T.; Shiraishi, Y.; Umezu, M. Modulation of the mechanical properties of ventricular extracellular matrix hydrogels with a carbodiimide crosslinker and investigation of their cellular compatibility. AIMS Mater. Sci. 2018, 5, 54–74. [Google Scholar] [CrossRef]
- Feng, Z.; Yamato, M.; Akutsu, T.; Nakamura, T.; Okano, T.; Umezu, M. Investigation on the mechanical properties of contracted collagen gels as a scaffold for tissue engineering. Artif. Organs. 2003, 27, 84–91. [Google Scholar] [CrossRef]
- Feng, Z.; Seya, D.; Kitajima, T.; Kosawada, T.; Nakamura, T.; Umezu, M. Viscoelastic characteristics of contracted collagen gels populated with rat fibroblasts or cardiomyocytes. J. Artif. Organs. 2010, 13, 139–144. [Google Scholar] [CrossRef] [PubMed]
- Wang, Y.; Zhu, C.; Pfattner, R.; Yan, H.; Jin, L.; Chen, S.; Molina-Lopez, F.; Lissel, F.; Liu, J.; Rabiah, N.; et al. A highly stretchable, transparent, and conductive polymer. Sci. Adv. 2017, 3, e1602076. [Google Scholar] [CrossRef] [PubMed]
- Leonard, M. Fundamentals of Vibrations: Chapter 8 Distributed-Parameter Systems Exact Solutions; McGraw-Hill: New York, NY, USA, 2001. [Google Scholar]
- Julia, K.; Alexandra, L.; Marc, D.L.; Torsten, C.; Katharina, S.; Christian, M.; Stefan, B.; Tanja, Z.; Thomas, E.; Justus, S. Rat atrial engineered heart tissue: A new in vitro model to study atrial biology. Basic Res. Cardiol. 2018, 113, 41. [Google Scholar] [CrossRef]
- Kikuchi, M.; Feng, Z.; Kosawada, T.; Sato, D.; Nakamura, T.; Umezu, M. Stress relaxation and stress-strain characteristics of porcine amniotic membrane. Bio-Med. Mater. Eng. 2016, 27, 603–611. [Google Scholar] [CrossRef] [PubMed]
- Newman, J.; Thomas-Alyea, K. Electrochemical Systems, 3rd ed.; John Wiley & Sons Inc.: Hoboken, NJ, USA, 2004. [Google Scholar]
- Guo, Y.; Pu, W. Cardiomyocyte Maturation: New Phase in Development. Circ. Res. 2020, 126, 1086–1106. [Google Scholar] [CrossRef]
- Jara-Avaca, M.; Kempf, H.; Ruckert, M.; Robles-Diaz, D.; Franke, A.; de la Roche, J.; Fischer, M.; Malan, D.; Sasse, P.; Solodenko, W.; et al. EBIO Does Not Induce Cardiomyogenesis in Human Pluripotent Stem Cells but Modulates Cardiac Subtype Enrichment by Lineage-Selective Survival. Stem Cell Rep. 2017, 8, 305–317. [Google Scholar] [CrossRef]
- Ahmed, R.E.; Anzai, T.; Chanthra, N.; Uosaki, H. A Brief Review of Current Maturation Methods for Human Induced Pluripotent Stem Cells-Derived Cardiomyocytes. Front. Cell Dev. Biol. 2020, 8, 178. [Google Scholar] [CrossRef]
- Yang, X.; Pabon, L.; Murry, C.E. Engineering adolescence: Maturation of human pluripotent stem cell-derived cardiomyocytes. Circ. Res. 2014, 114, 511–523. [Google Scholar] [CrossRef]
- Cheng, S.; Brenière-Letuffe1, D.; Ahola, V.; Wong, A.; Keung, H.; Gurung, B.; Zheng, Z.; Costa, K.; Lieu, D.; Keung, W.; et al. Single-cell RNA sequencing reveals maturation trajectory in human pluripotent stem cell-derived cardiomyocytes in engineered tissues. iScience 2023, 26, 106302. [Google Scholar] [CrossRef]
- Visone, R.; Talò, G.; Occhetta, P.; Cruz-Moreira, D.; Lopa, S.; Pappalardo, O.; Redaelli, A.; Moretti, M.; Rasponi, M. A microscale biomimetic platform for generation and electro-mechanical stimulation of 3D cardiac microtissues. APL Bioeng. 2018, 2, 046102. [Google Scholar] [CrossRef]
- Pillekamp, F.; Reppel, M.; Rubenchyk, O.; Pfannkuche, K.; Matzkies, M.; Bloch, W.; Sreeram, N.; Brockmeier, K.; Hescheler, J. Force Measurements of Human Embryonic Stem Cell-Derived Cardiomyocytes in an In Vitro Transplantation Model. Stem Cells 2007, 25, 174–180. [Google Scholar] [CrossRef] [PubMed]
- Zajdel, T.; Shim, G.; Wang, L.; Rossello-Martinez, A.; Cohen, D. SCHEEPDOG: Programming Electric Cues to Dynamically Herd Large-Scale Cell Migration. Cell Syst. 2020, 10, 506–514. [Google Scholar] [CrossRef] [PubMed]
- Mierke, C. Mechanical cues affect migration and invasion of cells from three different directions. Front. Cell Dev. Biol. 2020, 17, 583226. [Google Scholar] [CrossRef] [PubMed]
- Skamrahl, M.; Schünemann, J.; Mukenhirn, M.; Pang, H.; Gottwald, J.; Jipp, M.; Ferle, M.; Rübeling, A.; Oswald, T.; Honigmann, A.; et al. Cellular segregation in cocultures is driven by differential adhesion and contractility on distinct timescales. Proc. Natl. Acad. Sci. USA 2023, 120, e2213186120. [Google Scholar] [CrossRef]










| mRNA | Primers | Product Length (bp) | Indication of Expression |
|---|---|---|---|
| GAPDH | Sense: 5′-GTGGACCTGACCTGCCGTCT-3′ Antisense: 5′-GGAGGAGTGGGTGTCGCTGT-3′ | 153 | Housekeeping |
| cTnT | Sense: 5′-AGCGGAAAAGTGGGAAGAGG-3′ Antisense: 5′-GGTCGAACTTCTCTGCCTCC-3′ | 165 | Overall cardiac cells |
| HCN4 | Sense: 5′-AGCATGGTCAGGTCCCAGTA-3′ Antisense: 5′-CCCTGTGCCAATCTCCACAT-3′ | 192 | pacemaker |
| Mlc2a | Sense: 5′-CCGTCTTCCTCACGCTCTT-3′ Antisense: 5′-TGAACTCATCCTTGTTCACCAC-3′ | 120 | atrial cell |
| Mlc2v | Sense: 5′-TACGTTCGGGAAATGCTGAC-3′ Antisense: 5′-TTCTCCGTGGGTGATGATG-3′ | 138 | Ventricular cell |
| Parameters (Unit) | Symbols | Variable Range | Values in the Experiment |
|---|---|---|---|
| Rotation speed of the motor (rotation per second) | γ | 0.5~10 | 1.0 and 5.0 |
| Frequency of mechanical stretch (Hz) | fm | =γ | 1.0 and 5.0 |
| Period of stimulus interval (s) | Ps | =1/γ | 1.0 and 0.2 |
| Width of the mechanical stretch (s) | τ | ≈0.5 Ps | 0.5 and 0.1 |
| Maximum stretch strain (-) | εm | 0.01~0.10 | 0.05 |
| Electrical pulse amplitude (mV) | Em | 10~10,000 | 100 |
| Period of electrical pulse (s) | Pe | =Ps | 1.0 and 0.2 |
| Frequency of the electrical pulse (Hz) | fe | =fm | 1.0 and 5.0 |
| Width of the electrical pulse (ms) | υ | 0~Pe | 1.0 |
| Phase between the two stimuli (ms) | δ | 0~Ps | 0 |
Disclaimer/Publisher’s Note: The statements, opinions and data contained in all publications are solely those of the individual author(s) and contributor(s) and not of MDPI and/or the editor(s). MDPI and/or the editor(s) disclaim responsibility for any injury to people or property resulting from any ideas, methods, instructions or products referred to in the content. |
© 2025 by the authors. Licensee MDPI, Basel, Switzerland. This article is an open access article distributed under the terms and conditions of the Creative Commons Attribution (CC BY) license (https://creativecommons.org/licenses/by/4.0/).
Share and Cite
Feng, Z.; Sawada, K.; Ando, I.; Yoshinari, R.; Sato, D.; Kosawada, T. A Platform Integrating Biophysical and Biochemical Stimuli to Enhance Differentiation and Maturation of Cardiomyocyte Subtypes Derived from Human Induced Pluripotent Stem Cells. J. Cardiovasc. Dev. Dis. 2025, 12, 56. https://doi.org/10.3390/jcdd12020056
Feng Z, Sawada K, Ando I, Yoshinari R, Sato D, Kosawada T. A Platform Integrating Biophysical and Biochemical Stimuli to Enhance Differentiation and Maturation of Cardiomyocyte Subtypes Derived from Human Induced Pluripotent Stem Cells. Journal of Cardiovascular Development and Disease. 2025; 12(2):56. https://doi.org/10.3390/jcdd12020056
Chicago/Turabian StyleFeng, Zhonggang, Kota Sawada, Iori Ando, Riku Yoshinari, Daisuke Sato, and Tadashi Kosawada. 2025. "A Platform Integrating Biophysical and Biochemical Stimuli to Enhance Differentiation and Maturation of Cardiomyocyte Subtypes Derived from Human Induced Pluripotent Stem Cells" Journal of Cardiovascular Development and Disease 12, no. 2: 56. https://doi.org/10.3390/jcdd12020056
APA StyleFeng, Z., Sawada, K., Ando, I., Yoshinari, R., Sato, D., & Kosawada, T. (2025). A Platform Integrating Biophysical and Biochemical Stimuli to Enhance Differentiation and Maturation of Cardiomyocyte Subtypes Derived from Human Induced Pluripotent Stem Cells. Journal of Cardiovascular Development and Disease, 12(2), 56. https://doi.org/10.3390/jcdd12020056

