Bioprostheses and Mechanical Prostheses for Aortic Valve Replacement in Patients Aged 50 to 65 Years Offer Similar Long-Term Survival Rates
Abstract
1. Introduction
2. Materials and Methods
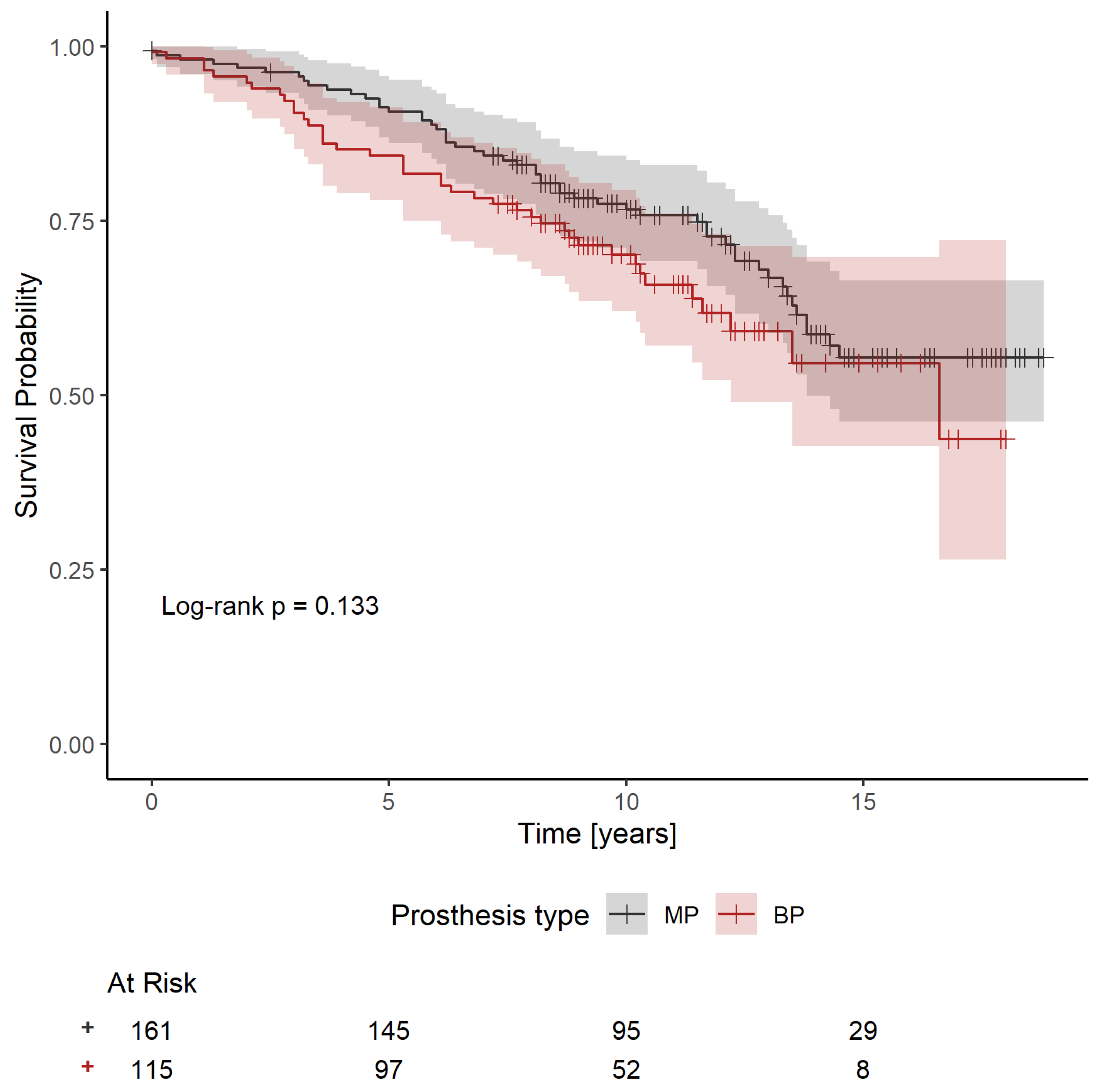
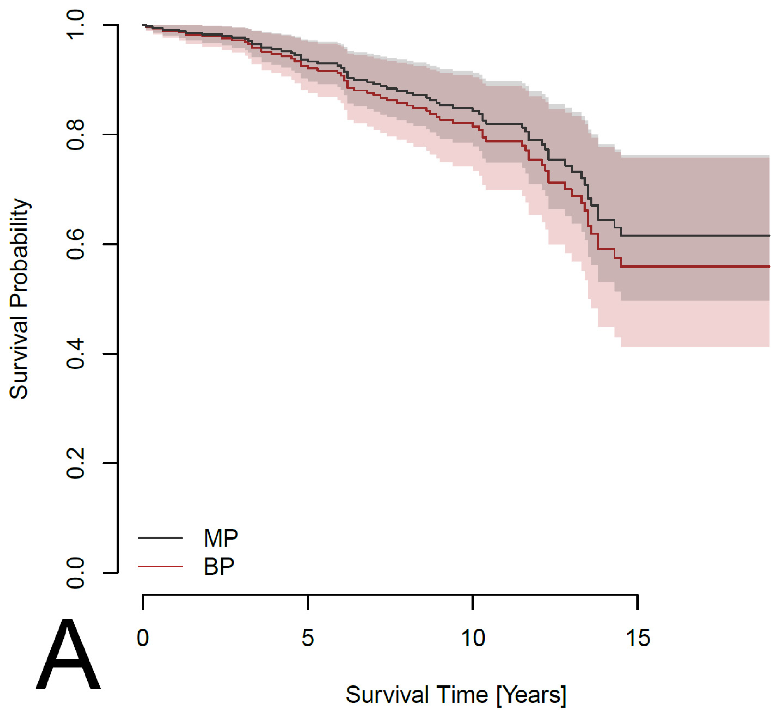
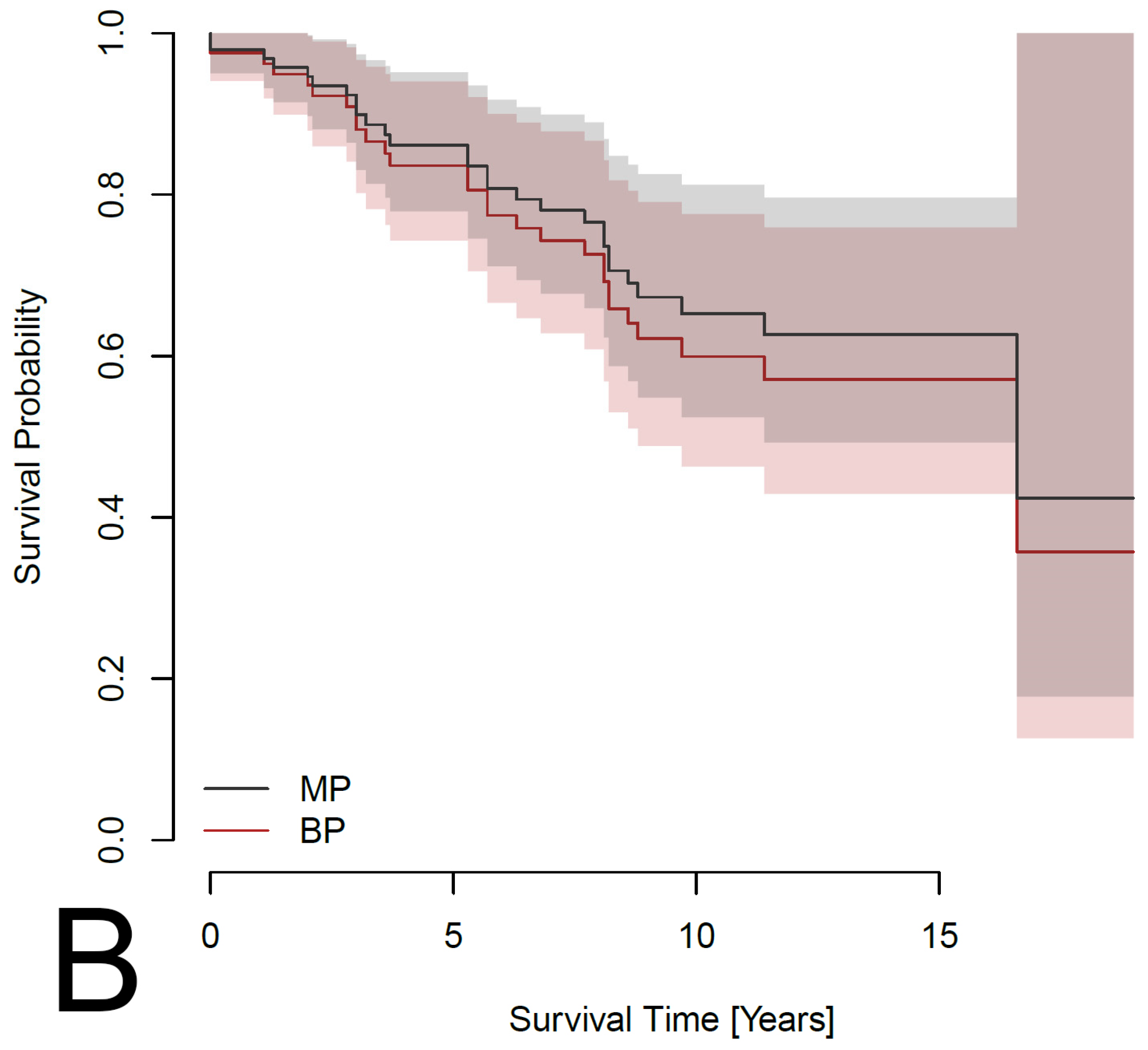
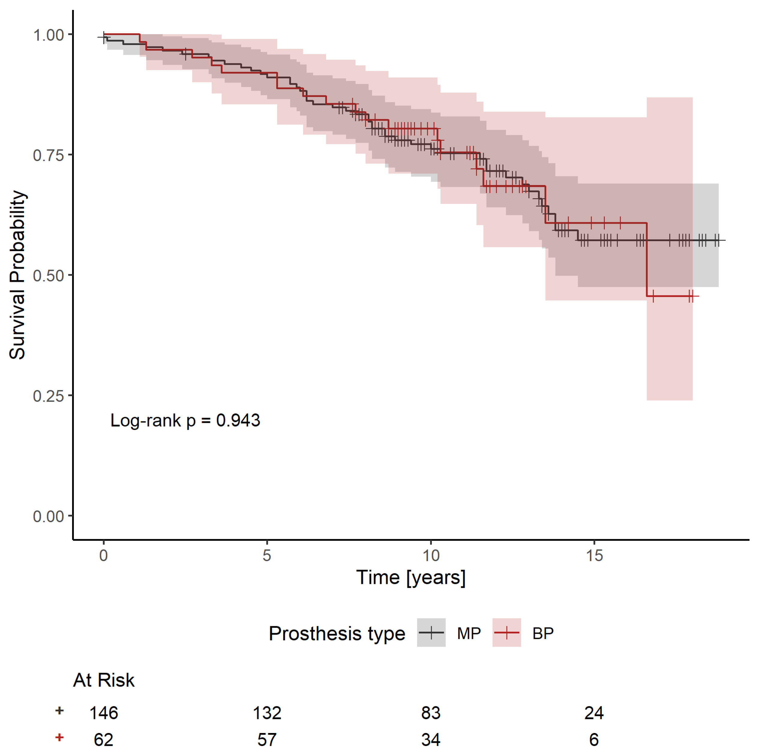
3. Results
4. Discussion
5. Limitations of the Study
6. Conclusions
Author Contributions
Funding
Institutional Review Board Statement
Informed Consent Statement
Data Availability Statement
Conflicts of Interest
Abbreviations
| AF | atrial fibrillation |
| AoS | aortic valve stenosis |
| AVR | aortic valve replacement surgery |
| BP | bioprosthesis |
| COPD | chronic obstructive pulmonary disease |
| DM | diabetes mellitus |
| iAVA | indexed aortic valve area |
| iEOA | indexed effective orifice area |
| IHD | ischemic heart disease history |
| INR | international normalized ratio |
| LA | left atrium |
| LD | liver disease |
| LVEF | left ventricle ejection fraction |
| MP | mechanical prosthesis |
| ViV | valve-in-valve |
References
- Daeter, E.J.; de Beaufort, H.W.L.; Roefs, M.M.; van Boven, W.J.P.; van Veghel, D.; van der Kaaij, N.P.; Cardiothoracic Surgery Registration Committee of the Netherlands Heart Registration. First-time surgical aortic valve replacement: Nationwide trends and outcomes from The Netherlands Heart Registration. Eur. J. Cardio-Thorac. Surg. 2024, 65, ezae177. [Google Scholar] [CrossRef] [PubMed]
- Traxler, D.; Krotka, P.; Laggner, M.; Mildner, M.; Graf, A.; Reichardt, B.; Wendt, R.; Auer, J.; Moser, B.; Mascherbauer, J.; et al. Mechanical aortic valve prostheses offer a survival benefit in 50–65 year olds: AUTHEARTVISIT study. Eur. J. Clin. Investig. 2022, 52, e13736. [Google Scholar] [CrossRef]
- Vahanian, A.; Beyersdorf, F.; Praz, F.; Milojevic, M.; Baldus, S.; Bauersachs, J.; Capodanno, D.; Conradi, L.; De Bonis, M.; De Paulis, R.; et al. 2021 ESC/EACTS Guidelines for the management of valvular heart disease. Eur. Heart J. 2022, 43, 561–632. [Google Scholar] [CrossRef] [PubMed]
- Otto, C.M.; Nishimura, R.A.; Bonow, R.O.; Carabello, B.A.; Erwin, J.P., 3rd; Gentile, F.; Jneid, H.; Krieger, E.V.; Mack, M.; McLeod, C.; et al. 2020 ACC/AHA Guideline for the Management of Patients With Valvular Heart Disease: Executive Summary: A Report of the American College of Cardiology/American Heart Association Joint Committee on Clinical Practice Guidelines. Circulation 2021, 143, e35–e71. [Google Scholar] [CrossRef] [PubMed]
- Rodriguez-Caulo, E.A.; Blanco-Herrera, O.R.; Berastegui, E.; Arias-Dachary, J.; Souaf-Khalafi, S.; Parody-Cuerda, G.; Laguna, G.; Group, S.S. Biological versus mechanical prostheses for aortic valve replacement. J. Thorac. Cardiovasc. Surg. 2023, 165, 609–617.e7. [Google Scholar] [CrossRef] [PubMed]
- Rodriguez-Caulo, E.A.; Macias, D.; Adsuar, A.; Ferreiro, A.; Arias-Dachary, J.; Parody, G.; Fernandez, F.; Daroca, T.; Rodriguez-Mora, F.; Garrido, J.M.; et al. Biological or mechanical prostheses for isolated aortic valve replacement in patients aged 50–65 years: The ANDALVALVE study. Eur. J. Cardio-Thorac. Surg. 2019, 55, 1160–1167. [Google Scholar] [CrossRef]
- Caus, T.; Chabry, Y.; Nader, J.; Fusellier, J.F.; De Brux, J.L.; EpiCard Investigators. Trends in SAVR with biological vs. mechanical valves in middle-aged patients: Results from a French large multi-centric survey. Front. Cardiovasc. Med. 2023, 10, 1205770. [Google Scholar] [CrossRef] [PubMed]
- Malvindi, P.G.; Luthra, S.; Olevano, C.; Salem, H.; Kowalewski, M.; Ohri, S. Aortic valve replacement with biological prosthesis in patients aged 50–69 years. Eur. J. Cardio-Thorac. Surg. 2021, 59, 1077–1086. [Google Scholar] [CrossRef] [PubMed]
- Filip, G.; Litwinowicz, R.; Kapelak, B.; Sadowski, J.; Tobota, Z.; Maruszewski, B.; Bartus, K. Trends in isolated aortic valve replacement in middle-aged patients over the last 10 years: Epidemiology, risk factors, valve pathology, valve types, and outcomes. Kardiol. Pol. 2019, 77, 688–695. [Google Scholar] [CrossRef] [PubMed]
- Diaz, R.; Hernandez-Vaquero, D.; Alvarez-Cabo, R.; Avanzas, P.; Silva, J.; Moris, C.; Pascual, I. Long-term outcomes of mechanical versus biological aortic valve prosthesis: Systematic review and meta-analysis. J. Thorac. Cardiovasc. Surg. 2019, 158, 706–714.e18. [Google Scholar] [CrossRef] [PubMed]
- Chi, K.Y.; Chiang, M.H.; Kang, Y.N.; Li, S.J.; Chan, Y.T.; Chen, Y.C.; Wang, S.T. Mechanical or biological heart valve for dialysis-dependent patients? A meta-analysis. J. Thorac. Cardiovasc. Surg. 2022, 163, 2057–2071.e12. [Google Scholar] [CrossRef] [PubMed]
- Tasoudis, P.T.; Varvoglis, D.N.; Vitkos, E.; Mylonas, K.S.; Sa, M.P.; Ikonomidis, J.S.; Caranasos, T.G.; Athanasiou, T. Mechanical versus bioprosthetic valve for aortic valve replacement: Systematic review and meta-analysis of reconstructed individual participant data. Eur. J. Cardio-Thorac. Surg. 2022, 62, ezac268. [Google Scholar] [CrossRef] [PubMed]
- Sun, D.; Schaff, H.V.; Greason, K.L.; Huang, Y.; Bagameri, G.; Pochettino, A.; DeValeria, P.A.; Dearani, J.A.; Daly, R.C.; Landolfo, K.P.; et al. Mechanical or biological prosthesis for aortic valve replacement in patients aged 45 to 74 years. J. Thorac. Cardiovasc. Surg. 2024, in press. [CrossRef]
- Vogt, F.; Santarpino, G.; Fujita, B.; Frerker, C.; Bauer, T.; Beckmann, A.; Bekeredjian, R.; Bleiziffer, S.; Mollmann, H.; Walther, T.; et al. Surgical aortic valve replacement in patients aged 50–69 years-insights from the German Aortic Valve Registry (GARY). Eur. J. Cardio-Thorac. Surg. 2022, 62, ezac286. [Google Scholar] [CrossRef] [PubMed]
- Stocco, F.; Fabozzo, A.; Bagozzi, L.; Cavalli, C.; Tarzia, V.; D’Onofrio, A.; Lorenzoni, G.; Chiminazzo, V.; Gregori, D.; Gerosa, G. Biological versus mechanical aortic valve replacement in non-elderly patients: A single-centre analysis of clinical outcomes and quality of life. Interact. Cardiovasc. Thorac. Surg. 2021, 32, 515–521. [Google Scholar] [CrossRef] [PubMed]
- Milewski, R.K.; Habertheuer, A.; Bavaria, J.E.; Fuller, S.; Desai, N.D.; Szeto, W.Y.; Korutla, V.; Vallabhajosyula, P. Selection of prosthetic aortic valve and root replacement in patients younger than age 30 years. J. Thorac. Cardiovasc. Surg. 2019, 157, 714–725. [Google Scholar] [CrossRef] [PubMed]
- Eghbalzadeh, K.; Kuhn, E.W.; Gerfer, S.; Djordjevic, I.; Rahmanian, P.; Mader, N.; Wahlers, T.C.W. Ten-Year Long-Term Analysis of Mechanical and Biological Aortic Valve Replacement. Thorac. Cardiovasc. Surg. 2022, 72, 167–172. [Google Scholar] [CrossRef] [PubMed]
- R Core Team. R: A Language and Environment for Statistical Computing; R Foundation for Statistical Computing: Vienna, Austria, 2024; Available online: https://www.R-project.org/ (accessed on 14 January 2025).
- Spiliopoulos, K.; Magouliotis, D.; Xanthopoulos, A.; Athanasiou, T.; Skoularigis, J. Surgical aortic valve replacement in patients aged <50 years and the choice of the prosthesis used: Revisiting of the established practice based on convincing evidence or upon ’comparing apples to oranges’? Eur. J. Cardio-Thorac. Surg. 2024, 65, ezae067. [Google Scholar] [CrossRef]
- Geuens, L.; Van Hoof, L.; Van De Bruaene, A.; Rega, F.; Meuris, B.; Verbrugghe, P. Aortic valve replacement in non-elderly: The gap between reality, guidelines and evidence. Eur. J. Cardio-Thorac. Surg. 2023, 64, ezad318. [Google Scholar] [CrossRef] [PubMed]
- Matkovic, M.; Aleksic, N.; Bilbija, I.; Antic, A.; Lazovic, J.M.; Cubrilo, M.; Milojevic, A.; Zivkovic, I.; Putnik, S. Clinical Impact of Patient-Prosthesis Mismatch After Aortic Valve Replacement With a Mechanical or Biological Prosthesis. Tex. Heart Inst. J. 2023, 50, 1–11. [Google Scholar] [CrossRef] [PubMed]









| Continuous Variable | Levels | n | Min | Med | Max | IQR | #NA |
|---|---|---|---|---|---|---|---|
| Follow-up | MP | 161 | 0.0 | 10.7 | 18.8 | 8.2–13.9 | 0 |
| BP | 115 | 0.0 | 9.5 | 18 | 7.7–11.6 | 0 | |
| p = 0.0025 | all | 276 | 0.0 | 10.3 | 18.8 | 8.0–13 | 0 |
| Age | MP | 161 | 49.8 | 58.3 | 64.9 | 55–60.7 | 0 |
| BP | 115 | 54.6 | 62.6 | 65 | 61.1–64.2 | 0 | |
| p < 0.0001 | all | 276 | 49.8 | 60.5 | 65 | 57.2–62.9 | 0 |
| iEOA | MP | 153 | 0.6 | 1 | 1.4 | 0.9–1.1 | 8 |
| BP | 112 | 0.5 | 0.8 | 1.3 | 0.7–0.9 | 3 | |
| p < 0.0001 | all | 265 | 0.5 | 0.9 | 1.4 | 0.8–1 | 11 |
| LA diam | MP | 122 | 27 | 42 | 62 | 38–45.8 | 39 |
| BP | 92 | 26 | 44 | 58 | 39.8–48 | 23 | |
| p = 0.07 | all | 214 | 26 | 43 | 62 | 38.2–47 | 62 |
| LVEF | MP | 143 | 15 | 55 | 70 | 50–60 | 18 |
| BP | 110 | 20 | 55 | 70 | 50–60 | 5 | |
| p = 0.84 | all | 253 | 15 | 55 | 70 | 50–60 | 23 |
| iAVA | MP | 136 | 0.1 | 0.3 | 0.7 | 0.3–0.4 | 25 |
| BP | 106 | 0.1 | 0.3 | 0.7 | 0.2–0.4 | 9 | |
| p = 0.69 | all | 242 | 0.1 | 0.3 | 0.7 | 0.3–0.4 | 3 |
| Nominal Variable | Levels | nMP | %MP | nBP | %BP | nall | %all |
| Sex | M | 103 | 64 | 63 | 54.8 | 166 | 60.1 |
| F | 58 | 36 | 52 | 45.2 | 110 | 39.9 | |
| p = 0.14 | all | 161 | 100 | 115 | 100 | 276 | 100 |
| IHD | no | 132 | 82 | 79 | 68.7 | 211 | 76.5 |
| yes | 29 | 18 | 36 | 21.3 | 65 | 23.6 | |
| p = 0.01 | all | 161 | 100 | 115 | 100 | 276 | 100 |
| Pacemaker | no | 159 | 98.8 | 12 | 97.4 | 271 | 98.2 |
| yes | 2 | 1.2 | 3 | 2.6 | 5 | 1.8 | |
| p = 0.65 | all | 161 | 100 | 115 | 100 | 276 | 100 |
| AF | no | 258 | 98.1 | 112 | 97.4 | 270 | 97.8 |
| yes | 3 | 1.9 | 3 | 2.6 | 6 | 2.2 | |
| p = 0.7 | all | 161 | 100 | 115 | 100 | 276 | 100 |
| DM | no | 131 | 81.4 | 89 | 77.4 | 220 | 79.7 |
| yes | 30 | 18.6 | 26 | 22.6 | 56 | 20.3 | |
| p = 0.45 | all | 161 | 100 | 115 | 100 | 276 | 100 |
| LD | no | 148 | 91.9 | 105 | 91.3 | 252 | 91.7 |
| yes | 13 | 8.1 | 10 | 8.7 | 23 | 8.3 | |
| p = 1 | all | 161 | 100 | 115 | 100 | 276 | 100 |
| Stroke | no | 153 | 95 | 109 | 94.8 | 262 | 94.9 |
| yes | 8 | 5 | 6 | 5.2 | 14 | 5.1 | |
| p = 1 | all | 161 | 100 | 115 | 100 | 276 | 100 |
| COPD | no | 145 | 90.1 | 103 | 89.6 | 248 | 89.9 |
| yes | 16 | 9.9 | 12 | 10.4 | 28 | 10.1 | |
| p = 1 | all | 161 | 100 | 115 | 100 | 276 | 100 |
Disclaimer/Publisher’s Note: The statements, opinions and data contained in all publications are solely those of the individual author(s) and contributor(s) and not of MDPI and/or the editor(s). MDPI and/or the editor(s) disclaim responsibility for any injury to people or property resulting from any ideas, methods, instructions or products referred to in the content. |
© 2025 by the authors. Licensee MDPI, Basel, Switzerland. This article is an open access article distributed under the terms and conditions of the Creative Commons Attribution (CC BY) license (https://creativecommons.org/licenses/by/4.0/).
Share and Cite
Toporcer, T.; Lukačín, Š.; Kraus, A.; Homola, M.; Bereš, A.; Trebišovský, M.; Radótzy, D.; Rohn, V.; Kolesár, A. Bioprostheses and Mechanical Prostheses for Aortic Valve Replacement in Patients Aged 50 to 65 Years Offer Similar Long-Term Survival Rates. J. Cardiovasc. Dev. Dis. 2025, 12, 44. https://doi.org/10.3390/jcdd12020044
Toporcer T, Lukačín Š, Kraus A, Homola M, Bereš A, Trebišovský M, Radótzy D, Rohn V, Kolesár A. Bioprostheses and Mechanical Prostheses for Aortic Valve Replacement in Patients Aged 50 to 65 Years Offer Similar Long-Term Survival Rates. Journal of Cardiovascular Development and Disease. 2025; 12(2):44. https://doi.org/10.3390/jcdd12020044
Chicago/Turabian StyleToporcer, Tomáš, Štefan Lukačín, Andrea Kraus, Marián Homola, Anton Bereš, Michal Trebišovský, Denis Radótzy, Vilém Rohn, and Adrián Kolesár. 2025. "Bioprostheses and Mechanical Prostheses for Aortic Valve Replacement in Patients Aged 50 to 65 Years Offer Similar Long-Term Survival Rates" Journal of Cardiovascular Development and Disease 12, no. 2: 44. https://doi.org/10.3390/jcdd12020044
APA StyleToporcer, T., Lukačín, Š., Kraus, A., Homola, M., Bereš, A., Trebišovský, M., Radótzy, D., Rohn, V., & Kolesár, A. (2025). Bioprostheses and Mechanical Prostheses for Aortic Valve Replacement in Patients Aged 50 to 65 Years Offer Similar Long-Term Survival Rates. Journal of Cardiovascular Development and Disease, 12(2), 44. https://doi.org/10.3390/jcdd12020044

