Ladder Use Ability, Behavior and Exposure by Age and Gender
Abstract
1. Introduction
2. Materials and Methods
2.1. Participants
2.2. Ladder Use, Risk-Taking and Concern about Falling
2.3. Experimental Protocol
2.3.1. Changing a Lightbulb on a Household Stepladder
2.3.2. Clearing a Simulated Roof Gutter on a Straight Ladder
2.3.3. Ladder Choice in Different Exigency Scenarios
2.4. Statistical Analysis
3. Results
3.1. Ladder Use, Risk-Taking and Concern about Falling
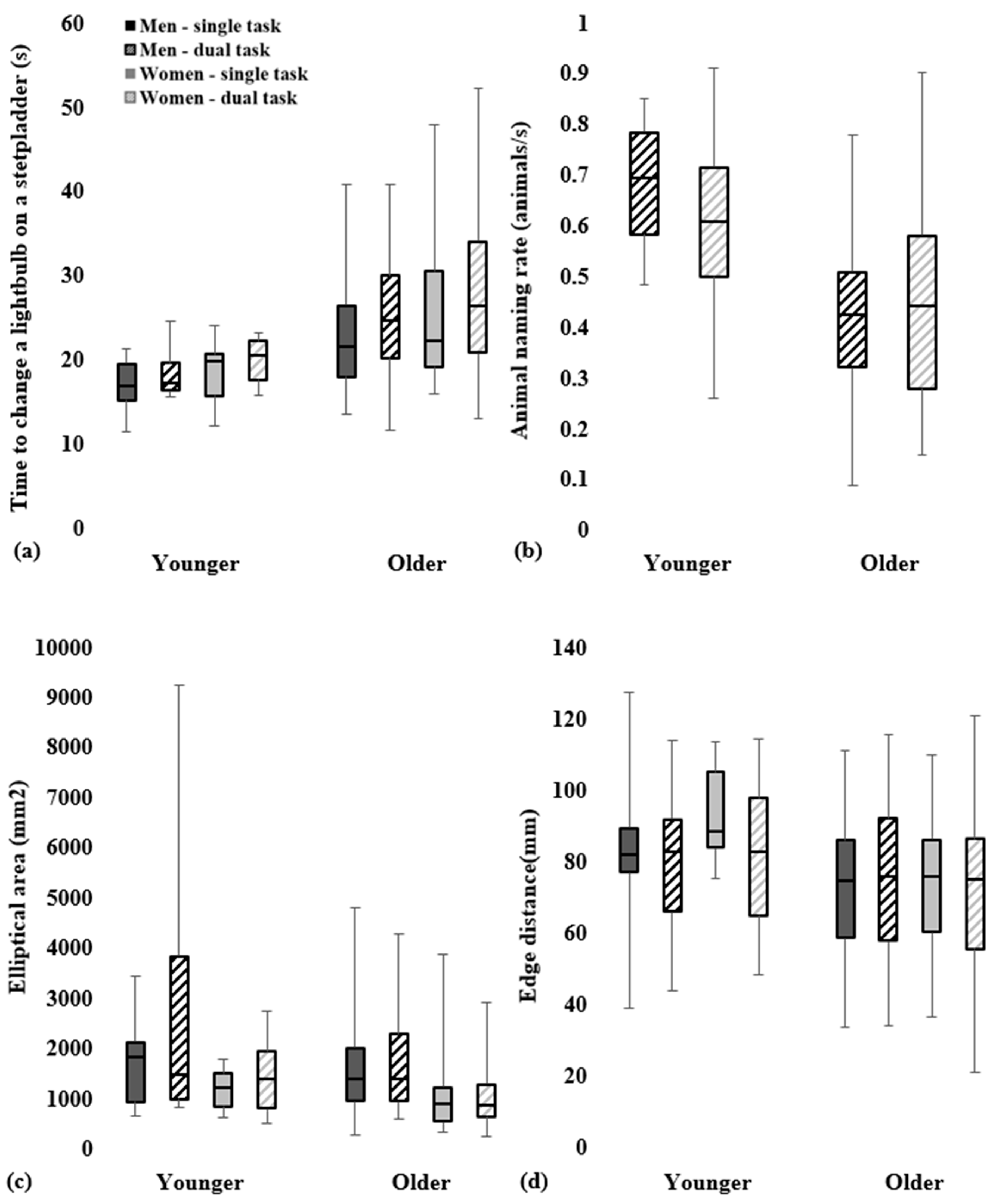
3.2. Changing a Lightbulb on a Stepladder
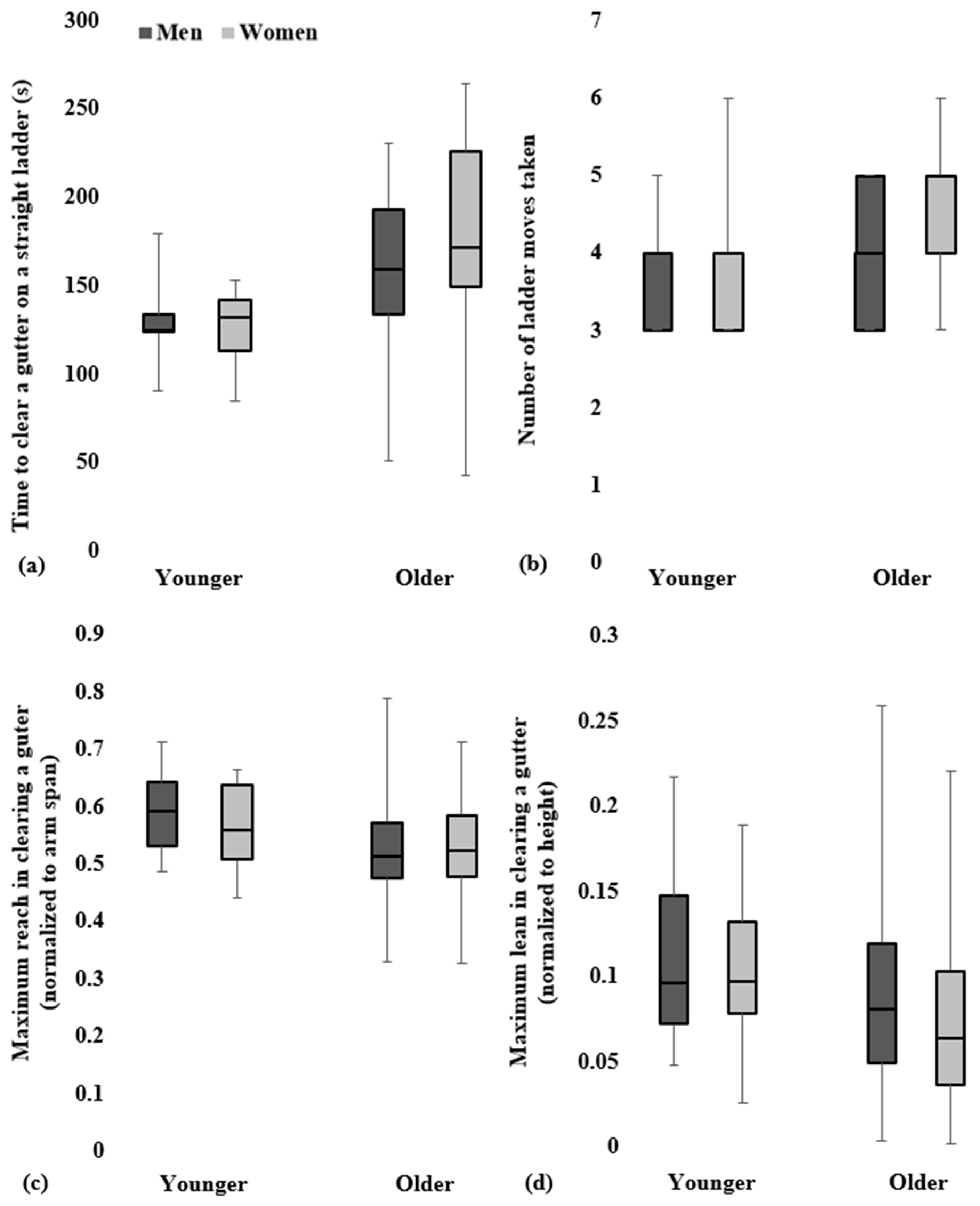
3.3. Clearing a Simulated roof Gutter on a Straight Ladder
3.4. Choosing a Ladder in Different Exigency Scenarios
4. Discussion
5. Conclusions
Supplementary Materials
Author Contributions
Funding
Institutional Review Board Statement
Informed Consent Statement
Data Availability Statement
Acknowledgments
Conflicts of Interest
Appendix A

Appendix B
References
- Faergemann, C.; Larsen, L.B. Non-occupational ladder and scaffold fall injuries. Accid. Anal. Prev. 2000, 32, 745–750. [Google Scholar] [CrossRef] [PubMed]
- Vallmuur, K.; Eley, R.; Watson, A. Falls from ladders in Australia: Comparing occupational and non-occupational injuries across age groups. Aust. N. Z. J. Public Health 2016, 40, 559–563. [Google Scholar] [CrossRef] [PubMed][Green Version]
- D’Souza, A.L.; Smith, G.A.; Trifiletti, L.B. Ladder-related injuries treated in emergency departments in the United States, 1990–2005. Am. J. Prev. Med. 2007, 32, 413–418. [Google Scholar] [CrossRef] [PubMed]
- Schaffarczyk, K.; Nathan, S.; Marjadi, B.; Hsu, J.; Poulos, R. Non-occupational falls from ladders in men 50 years and over: Contributing factors and impact. Injury 2020, 51, 1798–1804. [Google Scholar] [CrossRef] [PubMed]
- Björnstig, U.; Johnsson, J. Ladder injuries: Mechanisms, injuries and consequences. J. Saf. Res. 1992, 23, 9–18. [Google Scholar] [CrossRef]
- Cabilan, C.; Vallmuur, K.; Eley, R.; Judge, C.; Cochrane, S.; Reed, C.; Riordan, J.; Roberts, K.; Thom, O.; Wood, G. Impact of ladder-related falls on the emergency department and recommendations for ladder safety. Emerg. Med. Australas. 2018, 30, 95–102. [Google Scholar] [CrossRef] [PubMed]
- Ackland, H.M.; Pilcher, D.V.; Roodenburg, O.S.; McLellan, S.A.; Cameron, P.A.; Cooper, D.J. Danger at every rung: Epidemiology and outcomes of ICU-admitted ladder-related trauma. Injury 2016, 47, 1109–1117. [Google Scholar] [CrossRef] [PubMed]
- O’Sullivan, J.; Wakai, A.; O’sullivan, R.; Luke, C.; Cusack, S. Ladder fall injuries: Patterns and cost of morbidity. Injury 2004, 35, 429–431. [Google Scholar] [CrossRef]
- Con, J.; Friese, R.S.; Long, D.M.; Zangbar, B.; O’Keeffe, T.; Joseph, B.; Rhee, P.; Tang, A.L. Falls from ladders: Age matters more than height. J. Surg. Res. 2014, 191, 262–267. [Google Scholar] [CrossRef]
- Diggs, B.S.; Lenfesty, B.; Arthur, M.; Hedges, J.R.; Newgard, C.D.; Mullins, R.J. The incidence and burden of ladder, structure, and scaffolding falls. Acad. Emerg. Med. 2005, 12, 267–270. [Google Scholar] [CrossRef]
- Bedi, H.S.; Goldbloom, D. A review of nonoccupational ladder-related injuries in Victoria: As easy as falling off a ladder. J. Trauma Acute Care Surg. 2008, 64, 1608–1612. [Google Scholar] [CrossRef]
- Smith, G.S.; Timmons, R.A.; Lombardi, D.A.; Mamidi, D.K.; Matz, S.; Courtney, T.K.; Perry, M.J. Work-related ladder fall fractures: Identification and diagnosis validation using narrative text. Accid. Anal. Prev. 2006, 38, 973–980. [Google Scholar] [CrossRef] [PubMed]
- Lombardi, D.A.; Smith, G.S.; Courtney, T.K.; Brennan, M.J.; Kim, J.Y.; Perry, M.J. Work-related falls from ladders—A follow-back study of US emergency department cases. Scand. J. Work Environ. Health 2011, 37, 525–532. [Google Scholar] [CrossRef]
- Socias, C.M.; Menéndez, C.K.C.; Collins, J.W.; Simeonov, P. Occupational ladder fall injuries—United States, 2011. MMWR. Morb. Mortal. Wkly. Rep. 2014, 63, 341. [Google Scholar] [PubMed]
- Faergemann, C.; Larsen, L.B. The mechanism and severity of nonoccupational ladder fall injuries. J. Saf. Res. 2001, 32, 333–343. [Google Scholar] [CrossRef]
- Pliner, E.M.; Campbell-Kyureghyan, N.H.; Beschorner, K.E. Effects of foot placement, hand positioning, age and climbing biodynamics on ladder slip outcomes. Ergonomics 2014, 57, 1739–1749. [Google Scholar] [CrossRef]
- Pliner, E.M.; Seo, N.J.; Ramakrishnan, V.; Beschorner, K.E. Effects of upper body strength, hand placement and foot placement on ladder fall severity. Gait Posture 2019, 68, 23–29. [Google Scholar] [CrossRef]
- Hur, P.; Motawar, B.; Seo, N.J. Hand breakaway strength model—Effects of glove use and handle shapes on a person’s hand strength to hold onto handles to prevent fall from elevation. J. Biomech. 2012, 45, 958–964. [Google Scholar] [CrossRef] [PubMed]
- Young, J.G.; Woolley, C.; Armstrong, T.J.; Ashton-Miller, J.A. Hand-handhold coupling: Effect of handle shape, orientation, and friction on breakaway strength. Hum. Factors 2009, 51, 705–717. [Google Scholar] [CrossRef]
- Young, J.G.; Woolley, C.B.; Ashton-Miller, J.A.; Armstrong, T.J. The effect of handhold orientation, size, and wearing gloves on hand-handhold breakaway strength. Hum. Factors 2012, 54, 316–333. [Google Scholar] [CrossRef]
- Pliner, E.M.; Sturnieks, D.L.; Lord, S.R. Individual factors that influence task performance on a straight ladder in older people. Exp. Gerontol. 2020, 142, 111127. [Google Scholar] [CrossRef]
- Pliner, E.M.; Sturnieks, D.L.; Beschorner, K.E.; Redfern, M.S.; Lord, S.R. Individual factors that influence task performance on a stepladder in older people. Saf. Sci. 2021, 136, 105152. [Google Scholar] [CrossRef]
- Huxhold, O.; Li, S.-C.; Schmiedek, F.; Lindenberger, U. Dual-tasking postural control: Aging and the effects of cognitive demand in conjunction with focus of attention. Brain Res. Bull. 2006, 69, 294–305. [Google Scholar] [CrossRef]
- Brown, L.A.; Shumway-Cook, A.; Woollacott, M.H. Attentional demands and postural recovery: The effects of aging. J. Gerontol. Ser. A Biomed. Sci. Med. Sci. 1999, 54, M165–M171. [Google Scholar] [CrossRef] [PubMed]
- Miller, A.E.J.; MacDougall, J.; Tarnopolsky, M.; Sale, D. Gender differences in strength and muscle fiber characteristics. Eur. J. Appl. Physiol. Occup. Physiol. 1993, 66, 254–262. [Google Scholar] [CrossRef]
- Vereeck, L.; Wuyts, F.; Truijen, S.; Van de Heyning, P. Clinical assessment of balance: Normative data, and gender and age effects. Int. J. Audiol. 2008, 47, 67–75. [Google Scholar] [CrossRef] [PubMed]
- Byrnes, J.P.; Miller, D.C.; Schafer, W.D. Gender differences in risk taking: A meta-analysis. Psychol. Bull. 1999, 125, 367. [Google Scholar] [CrossRef]
- Chang, C.-C.; Chang, W.-R.; Matz, S. The effects of straight ladder setup and usage on ground reaction forces and friction requirements during ascending and descending. Saf. Sci. 2005, 43, 469–483. [Google Scholar] [CrossRef]
- Chang, W.-R.; Chang, C.-C.; Matz, S. Friction requirements for different climbing conditions in straight ladder ascending. Saf. Sci. 2004, 42, 791–805. [Google Scholar] [CrossRef]
- Deschler, C.L.; Pliner, E.M.; Sturnieks, D.L.; Lord, S.R.; Beschorner, K.E. Correlations between reach, lean and ladder tipping risk. J. Biomech. 2023, 150, 111508. [Google Scholar] [CrossRef]
- Pliner, E.M.; Seo, N.J.; Beschorner, K.E. Factors affecting fall severity from a ladder: Impact of climbing direction, gloves, gender and adaptation. Appl. Ergon. 2017, 60, 163–170. [Google Scholar] [CrossRef] [PubMed]
- Williams, D.D.; Beschorner, K.E.; Sturnieks, D.L.; Lord, S.R.; Pliner, E.M. Situational factors that influence overreaching on a ladder during a gutter clearing task among older adults. Appl. Ergon. 2022, 104, 103794. [Google Scholar] [CrossRef] [PubMed]
- Armstrong, T.; Young, J.; Woolley, C.; Ashton-Miller, J.; Kim, H. Biomechanical aspects of fixed ladder climbing: Style, ladder tilt and carrying. In Proceedings of the Human Factors and Ergonomics Society Annual Meeting, Thousand Oaks, CA, USA, 1 October 2009; pp. 935–939. [Google Scholar]
- Barron, P.; Burgess, K.; Cooper, K.; Stewart, A. The effect of pitched and vertical ladder ergometer climbing on cardiorespiratory and psychophysical variables. Appl. Ergon. 2018, 66, 172–176. [Google Scholar] [CrossRef] [PubMed]
- Campbell, A.O.; Pagano, C.C. The effect of instructions on potential slide-out failures during portable extension ladder angular positioning. Accid. Anal. Prev. 2014, 67, 30–39. [Google Scholar] [CrossRef] [PubMed]
- DiDomenico, A.T.; Lesch, M.F.; Blair, M.F.; Huang, Y.-H. Reaching on ladders: Do motivation & acclimation affect risk taking? Prof. Saf. 2013, 58, 50–53. [Google Scholar]
- Simeonov, P.; Hsiao, H.; Armstrong, T.; Fu, Q.; Woolley, C.; Kau, T.-Y. Effects of aerial ladder rung spacing on firefighter climbing biomechanics. Appl. Ergon. 2020, 82, 102911. [Google Scholar] [CrossRef] [PubMed]
- Simeonov, P.; Hsiao, H.; Powers, J.; Ammons, D.; Kau, T.; Cantis, D.; Zwiener, J.; Weaver, D. Evaluation of a “walk-through” ladder top design during ladder-roof transitioning tasks. Appl. Ergon. 2017, 59, 460–469. [Google Scholar] [CrossRef] [PubMed]
- Hicks, C.; Pliner, E.M.; Lord, S.R.; Sturnieks, D.L. Ladder use in older people: Type, frequency, tasks and predictors of risk behaviours. Int. J. Environ. Res. Public Health 2021, 18, 9799. [Google Scholar] [CrossRef] [PubMed]
- Delbaere, K.; Smith, S.T.; Lord, S.R. Development and initial validation of the iconographical falls efficacy scale. J. Gerontol. Ser. A Biomed. Sci. Med. Sci. 2011, 66, 674–680. [Google Scholar] [CrossRef]
- Butler, A.A.; Lord, S.R.; Taylor, J.L.; Fitzpatrick, R.C. Ability versus hazard: Risk-taking and falls in older people. J. Gerontol. Ser. A Biomed. Sci. Med. Sci. 2014, 70, 628–634. [Google Scholar] [CrossRef]
- Simeonov, P.; Hsiao, H.; Powers, J. Spotlight: NIOSH ladder safety app for mobile devices, Fall Injuries Prevention in the Workplace. Retrieved July 2013, 4, 2013. [Google Scholar]
- Brown, L.A.; Sleik, R.J.; Polych, M.A.; Gage, W.H. Is the prioritization of postural control altered in conditions of postural threat in younger and older adults? J. Gerontol. Ser. A Biol. Sci. Med. Sci. 2002, 57, M785–M792. [Google Scholar] [CrossRef] [PubMed]
- Carpenter, M.G.; Frank, J.S.; Silcher, C.P.; Peysar, G.W. The influence of postural threat on the control of upright stance. Exp. Brain Res. 2001, 138, 210–218. [Google Scholar] [CrossRef] [PubMed]
- Melzer, I.; Benjuya, N.; Kaplanski, J. Age-related changes of postural control: Effect of cognitive tasks. Gerontology 2001, 47, 189–194. [Google Scholar] [CrossRef] [PubMed]
- Binda, S.M.; Culham, E.G.; Brouwer, B. Balance, muscle strength, and fear of falling in older adults. Exp. Aging Res. 2003, 29, 205–219. [Google Scholar] [CrossRef]
- Vette, A.H.; Sayenko, D.G.; Jones, M.; Abe, M.O.; Nakazawa, K.; Masani, K. Ankle muscle co-contractions during quiet standing are associated with decreased postural steadiness in the elderly. Gait Posture 2017, 55, 31–36. [Google Scholar] [CrossRef] [PubMed]
- Nelson-Wong, E.; Appell, R.; McKay, M.; Nawaz, H.; Roth, J.; Sigler, R.; Third, J.; Walker, M. Increased fall risk is associated with elevated co-contraction about the ankle during static balance challenges in older adults. Eur. J. Appl. Physiol. 2012, 112, 1379–1389. [Google Scholar] [CrossRef] [PubMed]
- Sturnieks, D.L.; Delbaere, K.; Brodie, M.A.; Lord, S.R. The influence of age, anxiety and concern about falling on postural sway when standing at an elevated level. Hum. Mov. Sci. 2016, 49, 206–215. [Google Scholar] [CrossRef]
- Harris, C.R.; Jenkins, M. Gender differences in risk assessment: Why do women take fewer risks than men? Judgm. Decis. Mak. 2006, 1, 48–63. [Google Scholar] [CrossRef]
- Huang, Y.; Wood, S.; Berger, D.; Hanoch, Y. Risky choice in younger versus older adults: Affective context matters. Judgm. Decis. Mak. 2013, 8, 179. [Google Scholar] [CrossRef]
- Rolison, J.J.; Hanoch, Y.; Wood, S. Risky decision making in younger and older adults: The role of learning. Psychol. Aging 2012, 27, 129. [Google Scholar] [CrossRef]
- Occupational Safety and Health Administration. Reducing Falls in Construction: Safe Use of Extension Ladders. OSAH Fact Sheet 2013.
- Jones, S.; Kirchsteiger, C.; Bjerke, W. The importance of near miss reporting to further improve safety performance. J. Loss Prev. Process Ind. 1999, 12, 59–67. [Google Scholar] [CrossRef]
- Winter, D.A.; Patla, A.E.; Ishac, M.; Gage, W.H. Motor mechanisms of balance during quiet standing. J. Electromyogr. Kinesiol. 2003, 13, 49–56. [Google Scholar] [CrossRef]
- Prieto, T.E.; Myklebust, J.B.; Hoffmann, R.G.; Lovett, E.G.; Myklebust, B.M. Measures of postural steadiness: Differences between healthy young and elderly adults. IEEE Trans. Biomed. Eng. 1996, 43, 956–966. [Google Scholar] [CrossRef]
- Pliner, E.M.; Sturnieks, D.L.; Beschorner, K.E.; Redfern, M.S.; Lord, S.R. Associations of individual fall risk with standing measures on a step ladder. In Proceedings of the International Society of Biomechanics, Calgary, AB, Canada, 31 July–4 August 2019. [Google Scholar]
- Pai, Y.-C. Movement termination and stability in standing. Exerc. Sport Sci. Rev. 2003, 31, 19–25. [Google Scholar] [CrossRef]
- De Leva, P. Adjustments to Zatsiorsky-Seluyanov’s Segment Inertia Parameters. J. Biomech. 1996, 29, 1223–1230. [Google Scholar] [CrossRef]
- Hoang, K.-L.H.; Mombaur, K. Adjustments to de Leva-anthropometric regression data for the changes in body proportions in elderly humans. J. Biomech. 2015, 48, 3732–3736. [Google Scholar] [CrossRef]
- Bell, A.L.; Pedersen, D.R.; Brand, R.A. A comparison of the accuracy of several hip center location prediction methods. J. Biomech. 1990, 23, 617–621. [Google Scholar] [CrossRef]



| Younger Adults | Older Adults | |
|---|---|---|
| Age (years) | 27.5 (5.2) | 72.9 (5.5) |
| Height (m) | 1.7 (0.1) | 1.7 (0.1) |
| Weight (kg) | 66.3 (13.8) | 72.5 (13.8) |
| Technical or University Education (Years) | 5.2 (1.) | 5.2 (3.1) |
| Number of Diseases | 0.3 (0.6) | 2.3 (1.5) |
| Number of Medications | 0.4 (0.8) | 3.5 (3.4) |
| General Anxiety Disorder-7 (Score) + | 2.9 (3.1) | 1.4 (1.9) |
| Physical Assessment (score) | 25.3 (10.1) | 35.1 (11.4) |
| Cognitive Processing Speed (s) ^ | 35.4 (10.3) | 18.0 (6.1) |
| Executive Function (s) ^ | 43.2 (24.3) | 22.1 (13.0) |
| Mean (Standard Deviation) or Median | Main Effects | |||||||||
|---|---|---|---|---|---|---|---|---|---|---|
| Old | Young | Age Group | Gender | Age Group × Gender | ||||||
| Men | Women | All | Men | Women | All | |||||
| Ladder use frequency | ||||||||||
| Stepladder | Monthly | Monthly | Monthly | Few times a year | Few times a year | Few times a year | {7.96} [1,122] (0.005) | {2.80} [1,122] (0.094) | {1.04} [1,122] (0.308) | |
| Straight ladder | Few times a year | Never | Once a year | Once a year | Once a year | Once a year | {0.66} [1,122] (0.417) | {7.14} [1,122] (0.008) | {1.42} [1,122] (0.234) | |
| Fixed ladder | Never | Never | Never | Few times a year | Few times a year | Few times a year | {18.31} [1,122] (<0.001) | {1.83} [1,122] (0.176) | {0.05} [1,122] (0.817) | |
| Surveyed behaviors | ||||||||||
| Unsafe ladder behaviors 1 | 4.1 (2.6) | 3.0 (2.5) | 3.6 (2.6) | 6.3 (3.0) | 5.4 (3.9) | 5.9 (3.4) | 11.48 [1,117] (<0.001) | 2.18 [1,117] (0.143) | 0.02 [1.117] (0.895) | |
| Everyday risk-taking | 24.5 (4.7) | 24.2 (5.0) | 24.4 (4.8) | 31.6 (3.2) | 30.0 (3.3) | 30.8 (3.2) | 32.03 [1,120] (<0.001) | 0.72 [1,120] (0.398) | 0.31 [1,120] (0.576) | |
| Fear of falling | 13.2 (3.4) | 15.0 (4.1) | 14.1 (3.9) | N.A. | N.A. | N.A. | N.A. | 6.87 [1,102] (0.010) | N.A. | |
| Clearing a roof gutter on a straight ladder | ||||||||||
| Maximum reach (normalized to arm span) | 0.53 (0.09) | 0.52 (0.08) | 0.53 (0.09) | 0.59 (0.08) | 0.56 (0.08) | 0.58 (0.08) | 6.06 [1,117] (0.015) | 0.55 [1,117] (0.458) | 0.39 [1,117] (0.534) | |
| Maximum lean (normalized to height) | 0.09 (0.06) | 0.07 (0.05) | 0.08 (0.05) | 0.11 (0.05) | 0.11 (0.05) | 0.11 (0.05) | 4.77 [1,109] (0.031) | 0.36 [1,109] (0.552) | 0.03 [1,109] (0.860) | |
| Riskiest ladder choiceto 2 | ||||||||||
| Wash a window at home | 6 (2) | 5 (2) | 5 (2) | N.A. | N.A. | N.A. | {1.42} [1,472] (0.234) | {5.04} [1,472] (0.025) | {<0.00} [1,472] (0.930) | |
| Wash a window in the laboratory | 7 (2) | 6 (2) | 6 (2) | 7 (1) | 6 (1) | 7 (1) | ||||
| Avoid a 6-h wait in an abandoned warehouse | 8 (1) | 7 (2) | 7 (1) | 8 (1) | 7 (1) | 8 (1) | ||||
| Avoid an overnight wait in an abandoned warehouse | 8 (1) | 7 (1) | 8 (1) | 8 (1) | 7 (1) | 8 (1) | ||||
| Mean (Standard Deviation) | Age and Gender Effects | ||||||||
|---|---|---|---|---|---|---|---|---|---|
| Old | Young | Age Group | Gender | Age Group × Gender | |||||
| Men | Women | All | Men | Women | All | ||||
| Changing a lightbulb on a household step ladder | |||||||||
| Task competition time (s) | |||||||||
| Single task | 22.8 (6.3) | 25.8 (8.6) | 24.3 (7.6) | 17.0 (3.2) | 18.8 (3.9) | 17.9 (3.6) | 22.35 [1,119] (<0.001) | 2.68 [1,119] (0.104) | 0.05 [1,119] (0.828) |
| Dual task | 25.3 (6.7) | 28.9 (9.8) | 27.1 (8.5) | 18.5 (3.0) | 20.0 (2.8) | 19.3 (2.9) | |||
| Elliptical area (mm2) | |||||||||
| Single task | 1719 (1129) | 1051 (693) | 1389 (993) | 1693 (877) | 1226 (425) | 1472 (723) | 3.38 [1,111] (0.069) | 11.11 [1,111] (0.001) | 0.66 [1,111] (0.418) |
| Dual task | 1814 (1037) | 1085 (628) | 1435 (921) | 2732 (2696) | 1545 (764) | 2169 (2065) | |||
| Edge distance (mm) | |||||||||
| Single task | 72 (22) | 72 (23) | 72 (22) | 86 (19) | 92 (15) | 89 (17) | 4.88 [1,111] (0.029) | 0.11 [1,111] (0.739) | 0.52 [1,111] (0.474) |
| Dual task | 75 (21) | 73 (21) | 74 (21) | 76 (35) | 80 (24) | 78 (29) | |||
| Animal naming rate (animals/s) | |||||||||
| Dual task | 0.4 (0.2) | 0.5 (0.2) | 0.4 (0.2) | 0.7 (0.1) | 0.6 (0.2) | 0.6 (0.2) | 23.80 [1,119] (<0.001) | 0.54 [1,119] (0.464) | 1.10 [1,119] (0.296) |
| Clearing a roof gutter on a straight ladder | |||||||||
| Task completion time (s) | 160.7 (40.2) | 186.4 (54.7) | 173.4 (49.4) | 126.0 (28.9) | 129.8 (21.0) | 128.0 (24.4) | 19.86 [1,112] (<0.001) | 2.03 [1,112] (0.157) | 0.56 [1,112] (0.456) |
| Number of ladder moves taken | 4.0 (0.8) | 4.4 (0.8) | 4.2 (0.8) | 3.4 (0.7) | 3.9 (1.0) | 3.7 (0.9) | 6.27 [1,112] (0.014) | 3.68 [1,112] (0.058) | 0.09 [1,112] (0.768) |
| Changing a Lightbulb on a Household Stepladder | Cognitive Demand | Age Group × Cognitive Demand | Gender × Cognitive Demand | Age Group × Gender × Cognitive Demand |
|---|---|---|---|---|
| Task completion time | 12.62 [1,119] (<0.001) | 0.23 [1,119] (0.632) | <0.01 [1,119] (0.967) | 0.07 [1,119] (0.786) |
| Elliptical area | 2.38 [1,111] (0.126) | 1.01 [1,111] (0.318) | 0.08 [1,111] (0.776) | 0.08 [1,111] (0.780) |
| Edge distance | 2.18 [1,111] (0.143) | 4.97 [1,111] (0.028) | 0.30 [1,111] (0.585) | 0.03 [1,111] (0.872) |
| Ladder choice in use scenarios | Exigency scenario | Age group × use scenario | Gender × use scenario | Age group × gender × use scenario |
| Riskiest ladder choice | {74.43} [3,472] (<0.001) | {1.27} [2,372] (0.260) | {0.10} [3,472] (0.752) | {<0.00} [2,372] (0.955) |
Disclaimer/Publisher’s Note: The statements, opinions and data contained in all publications are solely those of the individual author(s) and contributor(s) and not of MDPI and/or the editor(s). MDPI and/or the editor(s) disclaim responsibility for any injury to people or property resulting from any ideas, methods, instructions or products referred to in the content. |
© 2024 by the authors. Licensee MDPI, Basel, Switzerland. This article is an open access article distributed under the terms and conditions of the Creative Commons Attribution (CC BY) license (https://creativecommons.org/licenses/by/4.0/).
Share and Cite
Pliner, E.M.; Sturnieks, D.L.; Beschorner, K.E.; Redfern, M.S.; Lord, S.R. Ladder Use Ability, Behavior and Exposure by Age and Gender. Geriatrics 2024, 9, 61. https://doi.org/10.3390/geriatrics9030061
Pliner EM, Sturnieks DL, Beschorner KE, Redfern MS, Lord SR. Ladder Use Ability, Behavior and Exposure by Age and Gender. Geriatrics. 2024; 9(3):61. https://doi.org/10.3390/geriatrics9030061
Chicago/Turabian StylePliner, Erika M., Daina L. Sturnieks, Kurt E. Beschorner, Mark S. Redfern, and Stephen R. Lord. 2024. "Ladder Use Ability, Behavior and Exposure by Age and Gender" Geriatrics 9, no. 3: 61. https://doi.org/10.3390/geriatrics9030061
APA StylePliner, E. M., Sturnieks, D. L., Beschorner, K. E., Redfern, M. S., & Lord, S. R. (2024). Ladder Use Ability, Behavior and Exposure by Age and Gender. Geriatrics, 9(3), 61. https://doi.org/10.3390/geriatrics9030061

