Characterizing and Eliminating the Inbreeding Load
Abstract
Simple Summary
Abstract
1. Introduction
2. Parameters Characterizing Inbreeding Load and Purging
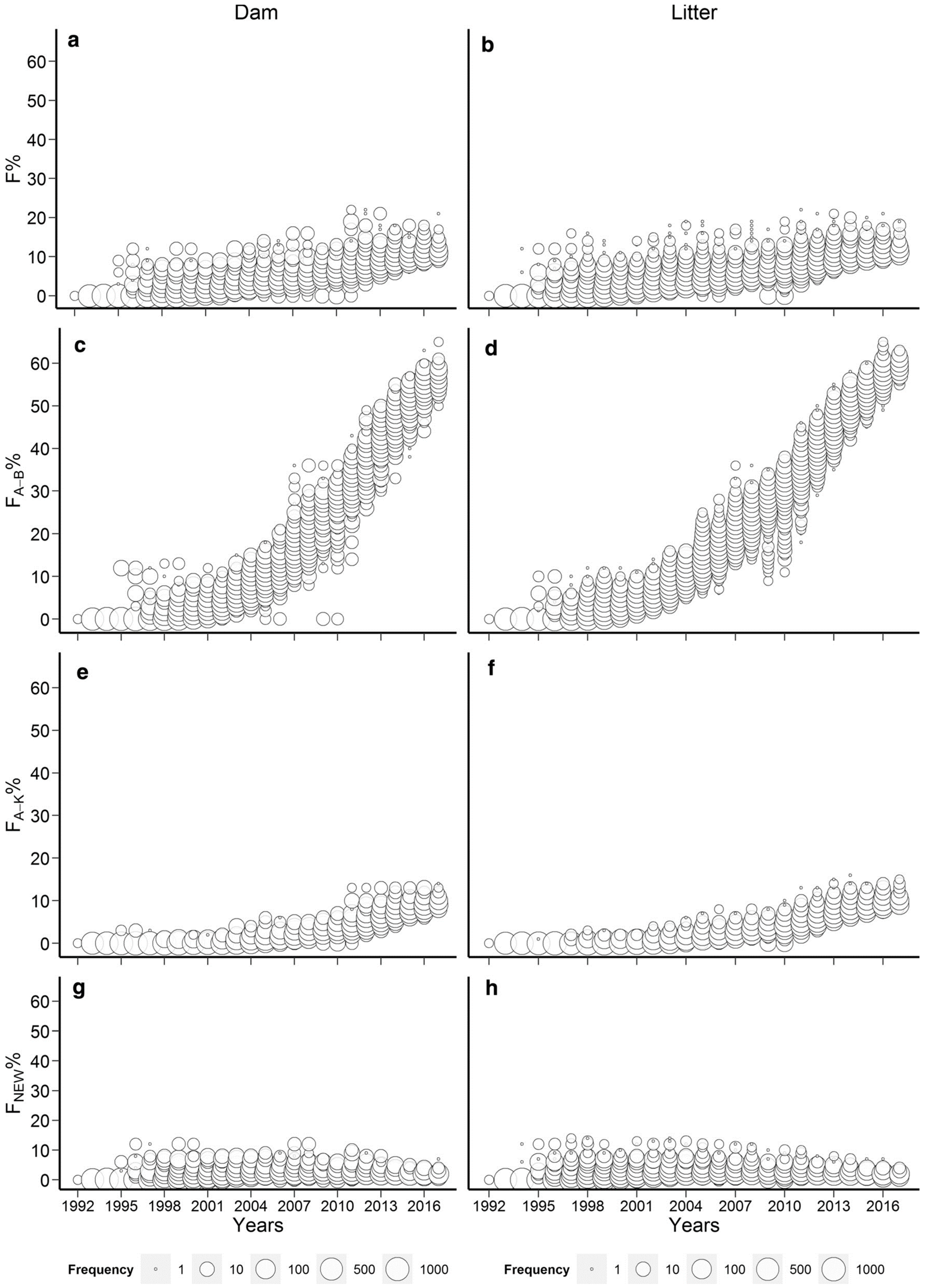
2.1. Pedigree-Based Parameters
2.2. Genomic Parameters
3. Software
3.1. Pedigree-Based Parameters
3.2. Genomic Parameters
4. Correlation among Inbreeding Coefficients
4.1. Pedigree-Based Parameters
4.2. Genomic Parameters
5. Estimates of Lethal Equivalents in Populations of Different Species
5.1. Pedigree-Based Parameters
5.2. Genomic Parameters
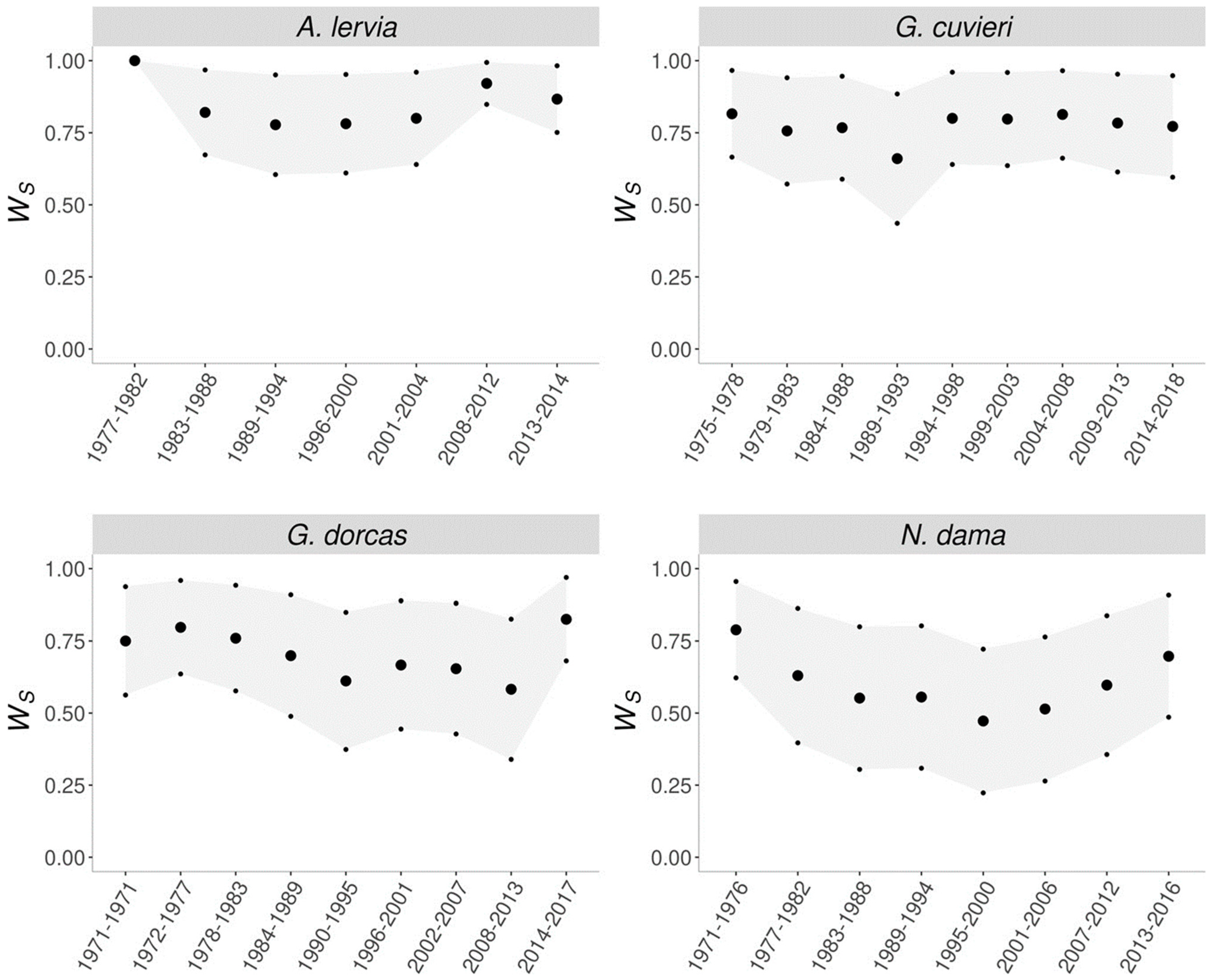
6. Studies Signalling Purging Based on Ancestral Inbreeding or Inbreeding–Purging Model
6.1. Pedigree-Based Parameters
6.2. Genomic Parameters
7. Application Possibilities of Purging, Future Perspective
Supplementary Materials
Author Contributions
Funding
Institutional Review Board Statement
Informed Consent Statement
Data Availability Statement
Conflicts of Interest
References
- Casellas, J.; Varona, L.; Ibanez-Escriche, N.; Quintanilla, R.; Noguera, L. Skew distribution of founder-specific inbreeding depression effects on the longevity of Landrace sows. Genet. Res. 2009, 90, 499–508. [Google Scholar] [CrossRef] [PubMed]
- Sonesson, A.K.; Gjerde, B.; Meuwissen, T.H.E. Truncation selection of BLUP-EBV and phenotypic values in fish breeding schemes. Aquaculture 2005, 243, 61–68. [Google Scholar] [CrossRef]
- Henderson, C.R. Best Linear Unbiased Estimation and Prediction under a selection model. Biometrics 1975, 31, 423–447. [Google Scholar] [CrossRef] [PubMed]
- Sewalem, A.; Johansson, K.; Wilhelmson, M.; Lilipers, K. Inbreeding and inbreeding depression on reproduction and production traits of White Leghorn lines selected for egg production traits. Brit. Poultry Sci. 1999, 40, 203–208. [Google Scholar] [CrossRef] [PubMed]
- Schäler, J.; Krüger, B.; Thaller, G.; Hinrichs, D. Comparison of ancestral, partial, and genomic inbreeding in a local pig breed to achieve genetic diversity. Conserv. Genet. Resour. 2020, 12, 77–86. [Google Scholar] [CrossRef]
- Haig, S.M.; Ballou, J.D.; Derrickson, S.R. Management options for preserving genetic diversity: Reintroduction of Guam rails to the wild. Conserv. Biol. 1990, 4, 290–300. [Google Scholar] [CrossRef]
- Zhang, Q.; Calus, M.P.; Guldbrandtsen, B.; Lund, M.S.; Sahana, G. Estimation of inbreeding using pedigree, 50k SNP chip genotypes and full sequence data in three cattle breeds. BMC Genet. 2015, 16, 88. [Google Scholar] [CrossRef]
- Frankham, R. Conservation genetics. Annu. Rev. Genet. 1995, 29, 305–327. [Google Scholar] [CrossRef]
- Koenig, S.; Simianer, H. Approaches to the management of inbreeding and relationship in the German Holstein dairy cattle population. Livest. Sci. 2006, 103, 40–53. [Google Scholar] [CrossRef]
- Falconer, D.S.; Mackay, T.F.C. Introduction to Quantitative Genetics; Longman Group, Ltd.: Essex, UK, 1996; p. 58. [Google Scholar]
- Galla, S.J.; Brown, L.; Couch-Lewis, Y.; Cubrinovska, I.; Eason, D.; Gooley, R.M.; Hamilton, J.A.; Heath, J.A.; Hauser, S.S.; Latch, E.K.; et al. The relevance of pedigrees in the conservation genomics era. Mol. Ecol. 2022, 31, 41–54. [Google Scholar] [CrossRef]
- Kardos, M.; Luikart, G.; Allendorf, F.W. Measuring individual inbreeding in the age of genomics: Marker based measures are better than pedigrees. Heredity 2015, 115, 63–72. [Google Scholar] [CrossRef] [PubMed]
- Frankham, R.; Gilligan, D.M.; Morris, D.; Briscoe, D.A. Inbreeding and extinction: Effects of purging. Conserv. Genet. 2001, 2, 279–284. [Google Scholar] [CrossRef]
- Crnokrak, P.; Roff, D.A. Inbreeding depression in the wild. Heredity 1999, 83, 260–270. [Google Scholar] [CrossRef]
- Doekes, H.P.; Bijma, P.; Windig, J.J. How depressing is inbreeding? A meta-analysis of 30 years of research on the effects of inbreeding in livestock. Genes 2021, 12, 926. [Google Scholar] [CrossRef]
- Gutiérrez-Reinoso, M.A.; Aponte, P.M.; García-Herreros, M.A. A review of inbreeding depression in dairy cattle: Current status, emerging control strategies, and future prospects. J. Dairy Res. 2022, 89, 3–12. [Google Scholar] [CrossRef]
- Kardos, M.; Husby, A.; McFarlane, S.E.; Qvarnstrom, A.; Ellegren, H. Whole-genome resequencing of extreme phenotypes in collared flycatchers highlights the difficulty of detecting quantitative trait loci in natural populations. Mol. Ecol. Resour. 2016, 16, 727–741. [Google Scholar] [CrossRef]
- Keller, L.F.; Waller, D.M. Inbreeding effects in wild populations. Trends Ecol. Evol. 2002, 17, 230–241. [Google Scholar] [CrossRef]
- Leroy, G. Inbreeding depression in livestock species: Review and meta-analysis. Anim. Genet. 2014, 45, 618–628. [Google Scholar] [CrossRef]
- Vega-Trejo, R.; de Boer, R.A.; Fitzpatrick, J.L.; Kotrschal, A. Sex-specific inbreeding depression: A meta-analysis. Ecol. Lett. 2022, 25, 1009–1026. [Google Scholar] [CrossRef]
- Gebregiwergis, G.T.; Sørensen, A.C.; Henryon, M.; Meuwissen, T.H.E. Controlling coancestry and thereby future inbreeding by optimum-contribution selection using alternative genomic-relationship matrices. Front. Genet. 2020, 11, 345. [Google Scholar] [CrossRef]
- Sonesson, A.K.; Meuwissen, T.H.E. Minimization of rate of inbreeding for small populations with overlapping generations. Genet. Res. 2001, 77, 285–292. [Google Scholar] [CrossRef]
- Sonesson, A.K.; Meuwissen, T.H.E. Mating schemes for optimum contribution selection with constrained rates of inbreeding. Genet. Sel. Evol. 2000, 32, 231. [Google Scholar] [CrossRef] [PubMed]
- Weigel, K. Controlling inbreeding in modern breeding programs. J. Dairy Sci. 2001, 84, E177–E184. [Google Scholar] [CrossRef]
- Kristensen, T.N.; Sørensen, A.C. Inbreeding–lessons from animal breeding, evolutionary biology and conservation genetics. Anim. Sci. 2005, 80, 121–133. [Google Scholar] [CrossRef]
- Templeton, A.R.; Read, B. The Elimination of Inbreeding Depression in a Captive Herd of Speke’s Gazelle. In Genetics and Conservation; Schonewald-Cox, C.M., MacBryde, S.M., Thomas, B.I., Eds.; Benjamin/Cummings: Menlo Park, CA, USA, 1983; pp. 241–261. [Google Scholar]
- Read, B.; Frueh, R.J. Management and Breeding of Speke’s Gazelle Gazella Spekei at the St. Louis Zoo, with a note on artificial insemination. Int. Zoo Yb. 1980, 20, 99–104. [Google Scholar] [CrossRef]
- Templeton, A.R.; Read, B. Factors eliminating inbreeding depression in a captive herd of Speke’s gazelle (Gazella spekei). Zoo Biol. 1984, 3, 177–199. [Google Scholar] [CrossRef]
- Kalinowski, S.T.; Hedrick, P.W.; Miller, P.S. Inbreeding depression in the Speke’s gazelle captive breeding program. Conserv. Biol. 2000, 14, 1375–1384. [Google Scholar] [CrossRef]
- Templeton, A.R. The Speke’s gazelle breeding program as an illustration of the importance of multilocus genetic diversity in conservation biology: Response to Kalinowski et al. Conserv. Biol. 2002, 16, 1151–1155. [Google Scholar] [CrossRef]
- Templeton, A.R.; Read, B. Elimination of inbreeding depression from a captive population of Speke’s gazelle: Validity of the original statistical analysis and confirmation by permutation testing. Zoo Biol. 1998, 17, 77–94. [Google Scholar] [CrossRef]
- Willis, K.; Wiese, R.J. Elimination of inbreeding depression from captive populations: Speke’s gazelle revisited. Zoo Biol. 1997, 16, 9–16. [Google Scholar] [CrossRef]
- Hedrick, P.W.; García-Dorado, A. Understanding Inbreeding Depression, Purging, and Genetic Rescue. Trends Ecol. Evol. 2016, 31, 940–952. [Google Scholar] [CrossRef] [PubMed]
- Bijlsma, B.; Putten, V. Environmental dependence of inbreeding depression and purging in Drosophila melanogaster. J. Evolution. Biol. 1999, 12, 1125–1137. [Google Scholar] [CrossRef]
- Miller, P.S.; Hedrick, P.W. Purging of inbreeding depression and fitness decline in bottlenecked populations of Drosophila melanogaster. J. Evol. Biol. 2001, 14, 595–601. [Google Scholar] [CrossRef]
- Pérez-Pereira, N.; Pouso, R.; Rus, A.; Vilas, A.; López-Cortegano, E.; García-Dorado, A.; Quesada, H.; Caballero, A. Long-term exhaustion of the inbreeding load in Drosophila melanogaster. Heredity 2021, 127, 373–383. [Google Scholar] [CrossRef] [PubMed]
- Moreno, E.; Pérez-González, J.; Carranza, J.; Moya-Laraño, J. Better fitness in captive Cuvier’s gazelle despite inbreeding increase: Evidence of purging? PLoS ONE 2015, 10, e0145111. [Google Scholar] [CrossRef]
- Hinrichs, D.; Bennewitz, J.; Wellmann, R.; Thaller, G. Estimation of ancestral inbreeding effects on stillbirth, calving ease and birthweight in German Holstein dairy cattle. J. Anim. Breed. Genet. 2015, 132, 59–67. [Google Scholar] [CrossRef]
- Mc Parland, S.; Kearney, F.; Berry, D.P. Purging of inbreeding depression within the Irish Holstein-Friesian population. Genet. Sel. Evol. 2009, 41, 16. [Google Scholar] [CrossRef]
- Wright, S. Coefficients of inbreeding and relationship. Am. Nat. 1922, 56, 330–338. [Google Scholar] [CrossRef]
- Slatis, H.M. An analysis of inbreeding in the European bison. Genetics 1960, 45, 275–287. [Google Scholar] [CrossRef]
- Ballou, J.D. Ancestral inbreeding only minimally affects inbreeding depression in mammalian populations. J. Hered. 1997, 88, 169–178. [Google Scholar] [CrossRef]
- Baumung, R.; Farkas, J.; Boichard, D.; Mészáros, G.; Sölkner, J.; Curik, I. GRAIN: A computer program to calculate ancestral and partial inbreeding coefficients using a gene dropping approach. J. Anim. Breed. Genet. 2015, 132, 100–108. [Google Scholar] [CrossRef]
- Hinrichs, D.; Meuwissen, T.H.E.; Ødegard, J.; Holt, M.; Vangen, O.; Woolliams, J.A. Analysis of inbreeding depression in the first litter size of mice in a long-term selection experiment with respect to the age of the inbreeding. Heredity 2007, 99, 81–88. [Google Scholar] [CrossRef]
- López-Cortegano, E.; Moreno, E.; García-Dorado, A. Genetic purging in captive endangered ungulates with extremely low effective population sizes. Heredity 2021, 127, 433–442. [Google Scholar] [CrossRef]
- Gulisija, D.; Crow, J.F. Inferring purging from pedigree data. Evolution 2007, 61, 1043–1051. [Google Scholar] [CrossRef]
- Boichard, D. PEDIG: A fortran package for pedigree analysis suited for large populations. In Proceedings of the 7th World Congress on Genetics Applied to Livestock Production, Montpellier, France, 19–23 August 2002; pp. 525–528. [Google Scholar]
- Coster, A.; Coster, M.A. Package ‘Pedigree’. R Package Version 1.4. 2010. Available online: https://cran.r-project.org/web/packages/pedigree/index.html (accessed on 21 October 2023).
- Gutiérrez, J.P.; Goyache, F. A note on ENDOG: A computer program for analysing pedigree information. J. Anim. Breed. Genet. 2005, 122, 172–176. [Google Scholar] [CrossRef]
- Meuwissen, T.H.E.; Luo, Z. Computing inbreeding coefficients in large populations. Genet. Sel. Evol. 1992, 15, 305–313. [Google Scholar] [CrossRef]
- Doekes, H.P.; Curik, I.; Nagy, I.; Farkas, J.; Kövér, G.; Windig, J.J. Revised calculation of Kalinowski’s ancestral and new inbreeding coefficients. Diversity 2020, 12, 155. [Google Scholar] [CrossRef]
- MacCluer, J.W.; VandeBerg, J.L.; Read, B.; Ryder, O.A. Pedigree analysis by computer simulation. Zoo Biol. 1986, 5, 147–160. [Google Scholar] [CrossRef]
- Suwanlee, S.; Baumung, R.; Sölkner, J.; Curik, I. Evaluation of ancestral inbreeding coefficients: Ballou’s formula versus gene dropping. Conserv. Genet. 2007, 8, 489–495. [Google Scholar] [CrossRef]
- Kennedy, E.S.; Grueber, C.E.; Duncan, R.P.; Jamieson, I.G. Severe inbreeding depression and no evidence of purging in an extremely inbred wild species—The Chatham Island black robin. Evolution 2014, 68, 987–995. [Google Scholar] [CrossRef]
- García-Dorado, A.; Wang, J.; López-Cortegano, E. Predictive model and software for inbreeding-purging analysis of pedigreed populations. G3: Genes Genomes Genet. 2016, 6, 3593–3601. [Google Scholar] [CrossRef][Green Version]
- López-Cortegano, E. PurgeR: Inbreeding and purging in pedigreed populations. Bioinformatics 2022, 38, 564–565. [Google Scholar] [CrossRef]
- Hoeck, P.E.A.; Wolak, M.E.; Switzer, R.A.; Kuehler, C.M.; Lieberman, A.A. Effects of inbreeding and parental incubation on captive breeding success in Hawaiian crows. Biol. Conserv. 2015, 184, 357–364. [Google Scholar] [CrossRef]
- Gilmour, A.R.; Gogel, B.J.; Cullis, B.R.; Thompson, R. ASReml User Guide Release 3.0.; VSN International Ltd.: Hemel Hempstead, UK, 2009. [Google Scholar]
- Bates, D.; Machler, M.; Bolker, B.; Walker, S. Fitting linear mixed-effects models using lme4. J. Stat. Softw. 2015, 67, 1–48. [Google Scholar] [CrossRef]
- Bates, D.; Vazquez, A.I. Fit Pedigree Based Mixed-Effect Models. 2014. Available online: http://pedigreemm.R-Forge.R-project.org (accessed on 22 March 2020).
- Curik, I.; Kover, G.; Farkas, J.; Szendrő, Z.; Romvari, R.; Sölkner, J.; Nagy, I. Inbreeding depression for kit survival at birth in a rabbit population under long-term selection. Genet. Sel. Evol. 2020, 52, 39. [Google Scholar] [CrossRef]
- Justinski, C.; Wilkens, J.; Distl, O. Genetic Diversity and Trends of Ancestral and New Inbreeding in German Sheep Breeds by Pedigree Data. Animals 2023, 13, 623. [Google Scholar] [CrossRef]
- Piles, M.; Sánchez, J.P.; Pascual, M.; Rodríguez-Ramilo, S.T. Inbreeding depression on growth and prolificacy traits in two lines of rabbit. J. Anim. Breed. Genet. 2023, 140, 39–48. [Google Scholar] [CrossRef]
- Posta, J.; Somogyvári, E.; Mihók, S. Historical Changes and Description of the Current Hungarian Hucul Horse Population. Animals 2020, 10, 1242. [Google Scholar] [CrossRef]
- Doekes, H.P.; Veerkamp, R.F.; Bijma, P.; de Jong, G.; Hiemstra, S.J.; Windig, J.J. Inbreeding depression due to recent and ancient inbreeding in Dutch Holstein–Friesian dairy cattle. Genet. Sel. Evol. 2019, 51, 54. [Google Scholar] [CrossRef]
- Antonios, S.; Rodríguez-Ramilo, S.T.; Aguilar, I.; Astruc, J.M.; Legarra, A.; Vitezica, Z.G. Genomic and pedigree estimation of inbreeding depression for semen traits in the Basco-Béarnaise dairy sheep breed. J. Dairy Sci. 2021, 104, 3221–3230. [Google Scholar] [CrossRef]
- Morton, N.E.; Crow, J.F.; Muller, H.J. An estimate of the mutational damage in man from data on consanguineous marriages. Proc. Natl. Acad. Sci. USA 1956, 42, 855–863. [Google Scholar] [CrossRef]
- Sutter, J.; Tabah, L. Effets de la consanguinité et de l’endogamie. Une enquête en Morbihan et Loir-et-Cher. Population 1952, 7, 249–266. [Google Scholar] [CrossRef]
- Tabah, L. Structure de la mortalité dans les familles consanguines. Population 1953, 8, 511–526. [Google Scholar] [CrossRef]
- Ceballos, F.C.; Álvarez, G. Royal dynasties as human inbreeding laboratories: The Habsburgs. Heredity 2013, 111, 114–121. [Google Scholar] [CrossRef]
- Falconer, D.S. Genetics of the litter size in mice. J. Cell. Comp. Physiol. 1960, 56 (Suppl. S1), 153–167. [Google Scholar] [CrossRef]
- Jamieson, I.G.; Tracy, L.N.; Fletcher, D.; Armstrong, D.P. Moderate inbreeding depression in a reintroduced population of North Island robins. Anim. Conserv. 2007, 10, 95–102. [Google Scholar] [CrossRef]
- Szulkin, M.; Garant, D.; McCleery, H.; Sheldon, B.C. Inbreeding depression along a life-history continuum in the great tit. J. Evol. Biol. 2007, 20, 1531–1543. [Google Scholar] [CrossRef]
- Laws, R.J.; Jamieson, I.G. Is lack of evidence of inbreeding depression in a threatened New Zealand robin indicative of reduced genetic load? Anim. Conserv. 2011, 14, 47–55. [Google Scholar] [CrossRef]
- Grueber, C.E.; Laws, R.J.; Nakagawa, S.; Jamieson, I.G. Inbreeding depression accumulation across life-history stages of the endangered takahe. Conserv. Biol. 2010, 24, 1617–1625. [Google Scholar] [CrossRef]
- Stoffel, M.A.; Johnston, S.E.; Pilkington, J.G.; Pemberton, J.M. Genetic architecture and lifetime dynamics of inbreeding depression in a wild mammal. Nat. Commun. 2021, 12, 2972. [Google Scholar] [CrossRef]
- Frankham, R. Effects of genomic homozygosity on total fitness in an invertebrate: Lethal equivalent estimates for Drosophila melanogaster. Conserv. Genet. 2023, 24, 193–201. [Google Scholar] [CrossRef]
- Kardos, M.; Zhang, Y.; Parsons, K.M.; Kang, H.; Xu, X.; Liu, X.; Matkin, C.O.; Zhang, P.; Ward, E.J.; Hanson, M.B. Inbreeding depression explains killer whale population dynamics. Nat. Ecol. Evol. 2023, 7, 675–686. [Google Scholar] [CrossRef] [PubMed]
- Armbruster, P.; Reed, D.H. Inbreeding depression in benign and stressful environments. Heredity 2005, 95, 235–242. [Google Scholar] [CrossRef] [PubMed]
- Grueber, C.E.; Nakagawa, S.; Laws, R.J.; Jamieson, I.G. Multimodel inference in ecology and evolution: Challenges and solutions. J. Evol. Biol. 2011, 24, 699–711. [Google Scholar] [CrossRef] [PubMed]
- Armstrong, D.P.; Cassey, P. Estimating the effect of inbreeding on survival. Anim. Conserv. 2007, 10, 487–492. [Google Scholar] [CrossRef]
- Burnham, K.P.; Anderson, D.R. Model Selection and Multimodel Inference: A Practical Information-Theoretic Approach, 2nd ed.; Springer: New York, NY, USA, 2002. [Google Scholar]
- Kalinowski, S.T.; Hedrick, P.W. An improved method for estimating inbreeding depression in pedigrees. Zoo Biol. 1998, 17, 481–497. [Google Scholar] [CrossRef]
- Nietlisbach, P.; Muff, S.; Reid, J.M.; Whitlock, M.C.; Keller, L.F. Nonequivalent lethal equivalents: Models and inbreeding metrics for unbiased estimation of inbreeding load. Evol. Appl. 2019, 12, 266–279. [Google Scholar] [CrossRef]
- Boakes, E.H.; Wang, J.; Amos, W. An investigation of inbreeding depression and purging in captive pedigreed populations. Heredity 2007, 98, 172–182. [Google Scholar] [CrossRef]
- Boakes, E.; Wang, J. A simulation study on detecting purging of inbreeding depression in captive populations. Genet. Res. 2005, 86, 139–148. [Google Scholar] [CrossRef]
- Hedrick, P.W. Purging inbreeding depression and the probability of extinction: Full-sib mating. Heredity 1994, 73, 363–372. [Google Scholar] [CrossRef]
- Lacy, R.C.; Ballou, J.D. Effectiveness of selection in reducing the genetic load in populations of Perommyscus polinotus during generations of inbreeding. Evolution 1998, 52, 900–909. [Google Scholar] [CrossRef] [PubMed]
- Ács, V.; Kövér, G.; Farkas, J.; Bokor, Á.; Nagy, I. Effects of Long-Term Selection in the Border Collie Dog Breed: Inbreeding Purge of Canine Hip and Elbow Dysplasia. Animals 2020, 10, 1743. [Google Scholar] [CrossRef] [PubMed]
- Vostra-Vydrova, H.; Hofmanova, B.; Moravcikova, N.; Rychtarova, J.; Kasarda, R.; Machova, K.; Brzakova, M.; Vostry, L. Genetic diversity, admixture and the effect of inbreeding on milk performance in two autochthonous goat breeds. Livest. Sci. 2020, 240, 104163. [Google Scholar] [CrossRef]
- Perdomo-González, D.I.; Sánchez-Guerrero, M.J.; Molina, A.; Valera, M. Genetic Structure Analysis of the Pura Raza Español Horse Population through Partial Inbreeding Coefficient Estimation. Animals 2020, 10, 1360. [Google Scholar] [CrossRef] [PubMed]
- Bersabé, D.; García-Dorado, A. On the genetic parameter determining the efficiency of purging: An estimate for Drosophila egg-to-pupae viability. J. Evol. Biol. 2013, 26, 375–385. [Google Scholar] [CrossRef] [PubMed]
- López-Cortegano, E.; Vilas, A.; Caballero, A.; García-Dorado, A. Estimation of genetic purging under competitive conditions. Evolution 2016, 70, 1856–1870. [Google Scholar] [CrossRef] [PubMed]
- Kövér, G.; Curik, I.; Vostry, L.; Farkas, J.; Mezőszentgyörgyi, D.; Nagy, I. Analysis of Inbreeding Effects on Survival at Birth of Pannon White Rabbits Using the Inbreeding-Purging Model. Diversity 2023, 15, 71. [Google Scholar] [CrossRef]
- Khan, A.; Patel, K.; Shukla, H.; Viswanathan, A.; van der Valk, T.; Borthakur, U.; Nigam, P.; Zachariah, A.; Jhala, Y.V.; Kardos, M.; et al. Genomic evidence for inbreeding depression and purging of deleterious genetic variation in Indian tigers. Proc. Natl. Acad. Sci. USA 2021, 118, e2023018118. [Google Scholar] [CrossRef]
- Dussex, N.; van der Valk, T.; Morales, H.E.; Wheat, C.W.; Díez-del-Molino, D.; von Seth, J.; Foster, Y.; Kutschera, V.E.; Guschanski, K.; Rhie, A.; et al. Population genomics of the critically endangered Kākāpō. Cell Genom. 2021, 1. [Google Scholar] [CrossRef]
- Kleinman-Ruiz, D.; Lucena-Perez, M.; Villanueva, B.; Fernández, J.; Saveljev, A.P.; Ratkiewicz, M.; Schmidt, K.; Galtier, N.; García-Dorado, A.; Godoy, J.A. Purging of deleterious burden in the endangered Iberian lynx. Proc. Natl. Acad. Sci. USA 2022, 119, e2110614119. [Google Scholar] [CrossRef]
- Nagy, I.; Curik, I.; Radnai, I.; Cervantes, I.; Gyovai, P.; Baumung, R.; Farkas, J.; Szendrő, Z. Genetic diversity and population structure of the synthetic Pannon White rabbit revealed by pedigree analysis. J. Anim. Sci. 2010, 88, 1267–1275. [Google Scholar] [CrossRef] [PubMed]
- García-Dorado, A. Understanding and predicting the fitness decline of shrunk populations: Inbreeding, purging, mutation, and standard selection. Genetics 2012, 190, 1461–1476. [Google Scholar] [CrossRef] [PubMed]
- López-Cortegano, E.; Bersabé, D.; Wang, J.; García-Dorado, A. Detection of genetic purging and predictive value of purging pa- rameters estimated in pedigreed populations. Heredity 2018, 121, 38–51. [Google Scholar] [CrossRef] [PubMed]
- Theodorou, K.; Couvet, D. The efficiency of close inbreeding to reduce genetic adaptation to captivity. Heredity 2015, 114, 38–47. [Google Scholar] [CrossRef] [PubMed]
- Pérez-Pereira, N.; Caballero, A.; García-Dorado, A. Reviewing the consequences of genetic purging on the success of rescue programs. Conserv. Genet. 2022, 23, 1–17. [Google Scholar] [CrossRef]
- De Cara, M.A.R.; Villanueva, B.; Toro, M.A.; Fernández, J. Purging deleterious mutations in conservation programs: Combining optimal contributions with inbred mattings. Heredity 2013, 110, 530–537. [Google Scholar] [CrossRef]
- Caballero, A.; Bravo, I.; Wang, J. The risk of forcing inbreed- ing in conservation programmes: A reply to Theodorou and Couvet. Heredity 2017, 19, 51–53. [Google Scholar] [CrossRef]
- Ralls, K.; Sunnucks, P.; Lacy, R.C.; Frankham, R. Genetic Rescue: A Critique of the Evidence Supports Maximizing Genetic Diversity Rather than Minimizing the Introduction of Putatively Harmful Genetic Variation. Biol. Conserv. 2020, 251, 108784. [Google Scholar] [CrossRef]




| Species | Life History Trait | Estimated Lethal Equivalent | Reference |
|---|---|---|---|
| Homo sapiens | Stillbirth and neonatal birth | 1.124 a 0.574 b | [67] |
| Infant and juvenile death | 1.431 a | ||
| 0.908 b | |||
| Homo sapiens | Infant survival | 0.396 c | [70] |
| 2.745 d | |||
| Survival to 10 years | 4.373 c | ||
| 3.674 d | |||
| Speke’s Gazelle | 30-day viability | 2.97 e | [26] |
| 1.59 f | |||
| North Island robin | Juvenile survival | 4.14 | [72] |
| Great tit | Survival to hatching | 0.4 | [73] |
| Survival to fledging | 0.4 | ||
| Survival to recruitment | 1.3 | ||
| Survival to adulthood | 2.12 | ||
| New Zealand robin | Juvenile survival | 0.24 | [74] |
| Takahe | Hatching rate | 0.691 | [75] |
| Fledging rate | 3.339 | ||
| 2-year survival | 0.952 | ||
| Offspring recruitment | 3.383 | ||
| The Catham Island Black robin | Juvenile survival | 3.42 | [54] |
| Hawaiian crow | 2-year survival | 6.9 | [57] |
| Soay sheep | 1-year survival | 2.285 | [76] |
| Drosophila melanogaster | Total fitness | 5.04 | [77] |
| Killer whale | 1-year survival | 0.10 g | [78] |
| 0.14 h | |||
| 40-year survival | 2.74 g | ||
| 3.74 h |
| Species/Breeds | Analysed Trait | Used Methodology | Reference |
|---|---|---|---|
| German Holstein-Friesian | Birthweight | Ancestral inbreeding | [38] |
| Irish Holstein-Friesian | Milk yield | Ancestral inbreeding | [39] |
| Protein yield | Ancestral inbreeding | [39] | |
| Sumatran tiger | Neonatal survival rate | Ancestral inbreeding | [42] |
| Gazella cuvieri | Early survival | Inbreeding–purging model | [45] |
| Nanger dama | Early survival | Inbreeding–purging model | [45] |
| Jersey cattle | Fitness | Expressed opportunity for purging | [46] |
| Pannon white rabbit | Survival at birth | Ancestral inbreeding | [61] |
| Prat rabbit line | Weaning weight | Ancestral inbreeding | [63] |
| Prat rabbit line | Slaughter weight | Ancestral inbreeding | [63] |
| Amur tiger | Survival to 7 days | Ancestral inbreeding | [85] |
| Black-footed ferret | Survival to 7 days | Ancestral inbreeding | [85] |
| Lesser kudu | Survival to 7 days | Ancestral inbreeding | [85] |
| Grey dorcopsis wallaby | Survival to 30 days | Ancestral inbreeding | |
| Hippopotamus | Survival to 30 days | Ancestral inbreeding | |
| Congo peafowl | Survival to 30 days | Ancestral inbreeding | [85] |
| Black-footed ferret | Survival to 30 days | Ancestral inbreeding | [85] |
| Bontebok | Survival to 30 days | Ancestral inbreeding | [85] |
| Goeldi’s marmoset | Survival to 30 days | Ancestral inbreeding | [85] |
| Wied’s black-tufted-ear marmoset | Survival to 30 days | Ancestral inbreeding | [85] |
| Wyoming toad | Survival to 30 days | Ancestral inbreeding | [85] |
| Golden lion tamarin | Survival to 30 days | Ancestral inbreeding | [85] |
| Reindeer | Survival to 30 days | Ancestral inbreeding | [85] |
| Gunther’s dik-dik | Survival to 30 days | Ancestral inbreeding | [85] |
| Peromyscus polionotusrhoadsi | Litter size | Ancestral inbreeding | [88] |
| Peromyscus polionotusrhoadsi | Litter weight and weaning | Ancestral inbreeding | [88] |
| Border collie dog | Hip dysplasia | Ancestral inbreeding | [89] |
| White Shorthair goat | Milk production | Ancestral inbreeding | [90] |
| Pura Raza Espanola mares | AFF, I12, AIF | Ancestral inbreeding | [91] |
| Drosophila melanogaster | Egg to pupae viability | Inbreeding–purging model | [92] |
| Drosophila melanogaster | Non-competitive pupae productivity | Inbreeding–purging model | [93] |
| Drosophila melanogaster | Competitive productivity | Inbreeding–purging model | [93] |
| Pannon white rabbit | Survival at birth | Inbreeding–purging model | [94] |
| Pannon white rabbit | Survival at birth | Expressed opportunity for purging | [94] |
| Indian tiger | NA | Whole genome analysis | [95] |
| Kākāpō | NA | Whole genome analysis | [96] |
| Iberian lynx | NA | Whole genome analysis | [97] |
Disclaimer/Publisher’s Note: The statements, opinions and data contained in all publications are solely those of the individual author(s) and contributor(s) and not of MDPI and/or the editor(s). MDPI and/or the editor(s) disclaim responsibility for any injury to people or property resulting from any ideas, methods, instructions or products referred to in the content. |
© 2023 by the authors. Licensee MDPI, Basel, Switzerland. This article is an open access article distributed under the terms and conditions of the Creative Commons Attribution (CC BY) license (https://creativecommons.org/licenses/by/4.0/).
Share and Cite
Nagy, I.; Nguyen, T.A. Characterizing and Eliminating the Inbreeding Load. Vet. Sci. 2024, 11, 8. https://doi.org/10.3390/vetsci11010008
Nagy I, Nguyen TA. Characterizing and Eliminating the Inbreeding Load. Veterinary Sciences. 2024; 11(1):8. https://doi.org/10.3390/vetsci11010008
Chicago/Turabian StyleNagy, István, and Thi Anh Nguyen. 2024. "Characterizing and Eliminating the Inbreeding Load" Veterinary Sciences 11, no. 1: 8. https://doi.org/10.3390/vetsci11010008
APA StyleNagy, I., & Nguyen, T. A. (2024). Characterizing and Eliminating the Inbreeding Load. Veterinary Sciences, 11(1), 8. https://doi.org/10.3390/vetsci11010008

