Development of a Nomogram to Estimate the 60-Day Probability of Death or Culling Due to Severe Clinical Mastitis in Dairy Cows at First Veterinary Clinical Evaluation
Abstract
Simple Summary
Abstract
1. Introduction
2. Materials and Methods
2.1. Data Collection
2.2. Descriptive Statistical Analyses
2.3. Handling of Missing Data Using Multiple Imputation
2.4. Development of Survival Models Using a Penalized Regression Technique
2.5. Internal Validation of the Models
2.6. Assessment of the Clinical and Economical Relevance of the Models
2.7. Clinical Only Nomogram and Comparison with Veterinarian Prognosis
3. Results
3.1. Descriptive Results
3.2. Predictive Nomograms
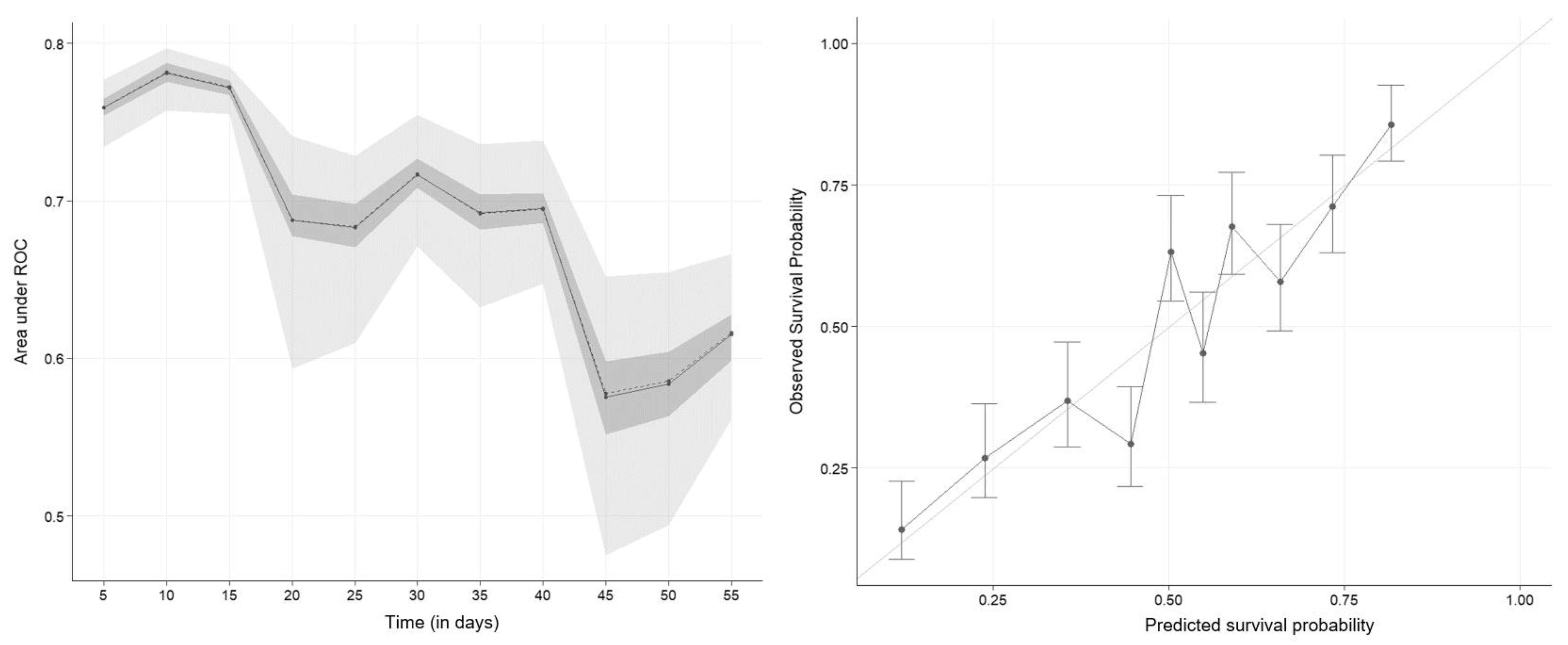
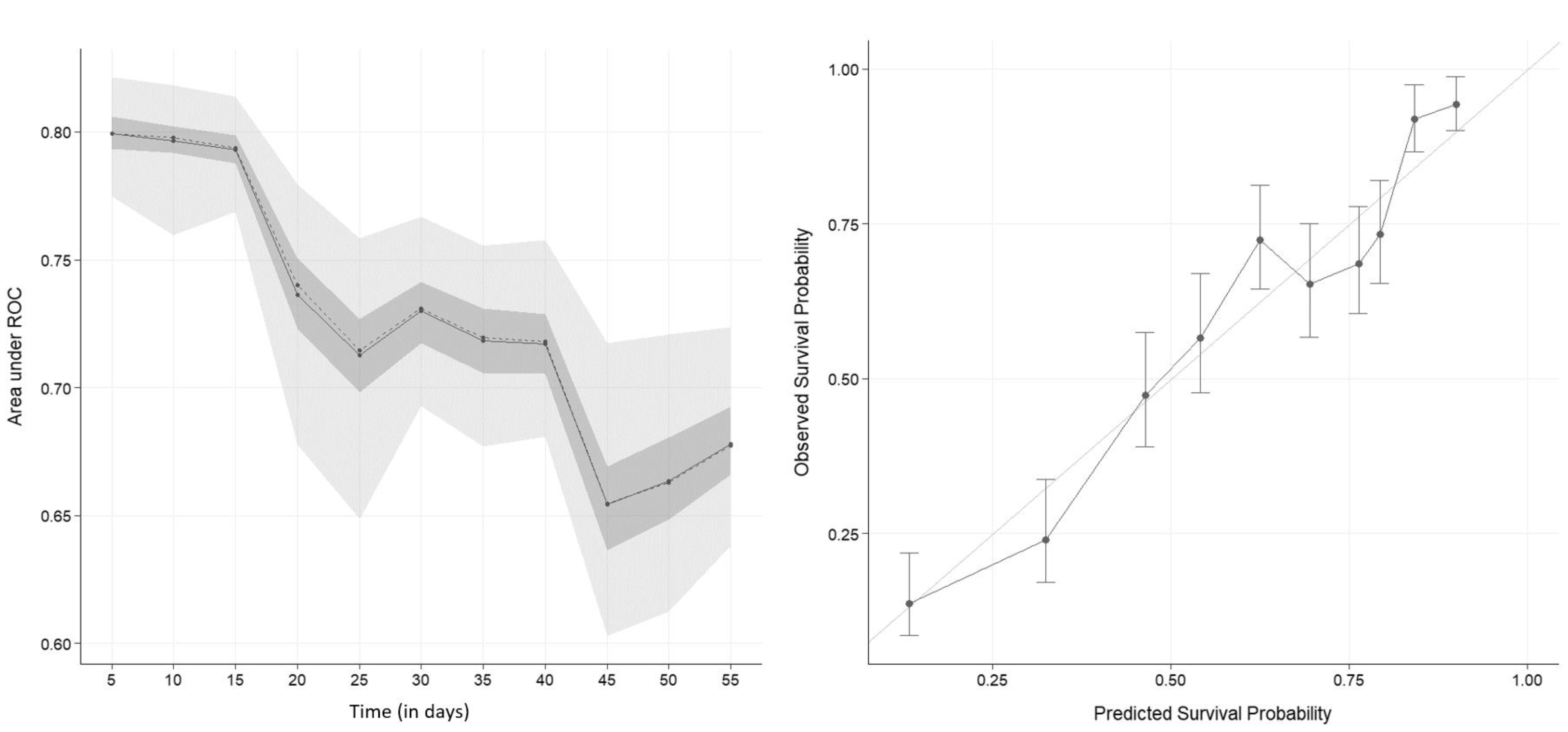
3.2.1. First Nomogram: Clinical and Laboratory Predictors
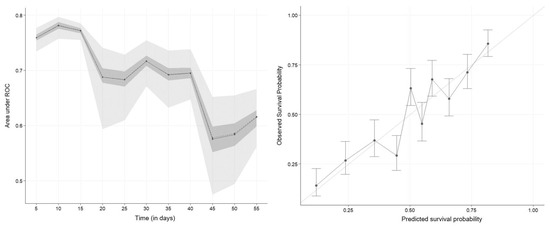
3.2.2. Second Nomogram: Clinical Predictors Only
3.2.3. Veterinarian Prognosis
4. Discussion
5. Conclusions
Supplementary Materials
Author Contributions
Funding
Institutional Review Board Statement
Informed Consent Statement
Data Availability Statement
Conflicts of Interest
References
- Wenz, J.R.; Barrington, G.M.; Garry, F.B.; Dinsmore, R.P.; Callan, R.J. Use of systemic disease signs to assess disease severity in dairy cows with acute coliform mastitis. J. Am. Vet. Med. Assoc. 2001, 218, 567–572. [Google Scholar] [CrossRef] [PubMed]
- Verbeke, J.; Piepers, S.; Supré, K.; De Vliegher, S. Pathogen-specific incidence rate of clinical mastitis in Flemish dairy herds, severity, and association with herd hygiene. J. Dairy Sci. 2014, 97, 6926–6934. [Google Scholar] [CrossRef]
- Oliveira, L.; Hulland, C.; Ruegg, P.L. Characterization of clinical mastitis occurring in cows on 50 large dairy herds in Wisconsin. J. Dairy Sci. 2013, 96, 7538–7549. [Google Scholar] [CrossRef] [PubMed]
- Erskine, R.J.; Bartlett, P.C.; VanLente, J.L.; Phipps, C.R. Efficacy of systemic ceftiofur as a therapy for severe clinical mastitis in dairy cattle. J. Dairy Sci. 2002, 85, 2571–2575. [Google Scholar] [CrossRef] [PubMed]
- National Mastitis Council. Laboratory Handbook on Bovine Mastitis, 3rd ed.; National Mastitis Council Inc.: New Prague, MN, USA, 2017. [Google Scholar]
- Le Maréchal, C.; Seyffert, N.; Jardin, J.; Hernandez, D.; Jan, G.; Rault, L.; Azevedo, V.; François, P.; Schrenzel, J.; Van De Guchte, M.; et al. Molecular Basis of Virulence in Staphylococcus aureus Mastitis. PLoS ONE 2011, 6, e27354. [Google Scholar] [CrossRef]
- Brennecke, J.; Falkenberg, U.; Wente, N.; Krömker, V. Are Severe Mastitis Cases in Dairy Cows Associated with Bacteremia? Animals 2021, 11, 410. [Google Scholar] [CrossRef]
- Krömker, V.; Paduch, J.-H.; Abograra, I.; Zinke, C.; Friedrich, J. Effekte einer zusätzlichen entzündungshemmenden Therapie mit Carprofen (Rimadyl Rind®) bei schweren Mastitiden hochleistender Milchkühe. Berl. Münch. Tierärztl. Wochenschr. 2011, 124, 161–167. [Google Scholar] [CrossRef]
- Jones, M.L.; Allison, R.W. Evaluation of the ruminant complete blood cell count. Vet. Clin. N. Am. Food Anim. Pract. 2007, 23, 377–402. [Google Scholar] [CrossRef]
- Labonté, J.; Dubuc, J.; Roy, J.P.; Buczinski, S. Prognostic Value of Cardiac Troponin I and L-Lactate in Blood of Dairy Cows Affected by Downer Cow Syndrome. J. Vet. Intern. Med. 2018, 32, 484–490. [Google Scholar] [CrossRef]
- Giertzuch, S.; Lorch, A.; Lausch, C.K.; Knubben-Schweizer, G.; Trefz, F.M. Prognostic utility of pre- and postoperative plasma l-lactate measurements in hospitalized cows with acute abdominal emergencies. J. Dairy Sci. 2020, 103, 11769–11781. [Google Scholar] [CrossRef]
- Lausch, C.K.; Lorch, A.; Giertzuch, S.; Rieger, A.; Knubben-Schweizer, G.; Trefz, F.M. Prognostic relevance of pre- and postoperative plasma l-lactate measurements in calves with acute abdominal emergencies. J. Dairy Sci. 2020, 103, 1856–1865. [Google Scholar] [CrossRef]
- Labonte, J.; Roy, J.P.; Dubuc, J.; Buczinski, S. Measurement of cardiac troponin I in healthy lactating dairy cows using a point of care analyzer (i-STAT-1). J. Vet. Cardiol. 2015, 17, 129–133. [Google Scholar] [CrossRef]
- Buczinski, S.; Doré, E.; Boulay, G.; Francoz, D. Validation of the handheld Lactate-Pro analyzer for measurement of blood L-lactate concentration in cattle. Vet. Clin. Pathol. 2014, 43, 567–572. [Google Scholar] [CrossRef]
- Pang, D.S.; Boysen, S. Lactate in veterinary critical care: Pathophysiology and management. J. Am. Anim. Hosp. Assoc. 2007, 43, 270–279. [Google Scholar] [CrossRef]
- Collins, G.S.; Reitsma, J.B.; Altman, D.G.; Moons, K.G. Transparent Reporting of a multivariable prediction model for Individual Prognosis or Diagnosis (TRIPOD): The TRIPOD statement. Ann. Intern. Med. 2015, 162, 55–63. [Google Scholar] [CrossRef]
- Moons, K.G.; Altman, D.G.; Reitsma, J.B.; Ioannidis, J.P.; Macaskill, P.; Steyerberg, E.W.; Vickers, A.J.; Ransohoff, D.F.; Collins, G.S. Transparent Reporting of a multivariable prediction model for Individual Prognosis or Diagnosis (TRIPOD): Explanation and elaboration. Ann. Intern. Med. 2015, 162, W1–W73. [Google Scholar] [CrossRef]
- Balachandran, V.P.; Gonen, M.; Smith, J.J.; DeMatteo, R.P. Nomograms in oncology: More than meets the eye. Lancet Oncol. 2015, 16, e173–e180. [Google Scholar] [CrossRef]
- Pavlou, M.; Ambler, G.; Seaman, S.; Maria; Omar, R.Z. Review and evaluation of penalised regression methods for risk prediction in low-dimensional data with few events. Stat. Med. 2016, 35, 1159–1177. [Google Scholar] [CrossRef]
- R Core Team. R: A Language and Environment for Statistical Computing; R Foundation for Statistical Computing: Vienna, Austria, 2022. [Google Scholar]
- Sjoberg, D.D.; Whiting, K.; Curry, M.; Lavery, J.A.; Larmarange, J. Reproducible Summary Tables with the gtsummary Package. R J. 2021, 13, 570–580. [Google Scholar] [CrossRef]
- Pedersen, A.B.; Mikkelsen, E.M.; Cronin-Fenton, D.; Kristensen, N.R.; Pham, T.M.; Pedersen, L.; Petersen, I. Missing data and multiple imputation in clinical epidemiological research. Clin. Epidemiol. 2017, 9, 157–166. [Google Scholar] [CrossRef]
- van Buuren, S. Flexible Imputation of Missing Data; Chapman & Hall/CRC: Boca Raton, FL, USA, 2018. [Google Scholar]
- van Buuren, S.; Groothuis-Oudshoorn, K. mice: Multivariate Imputation by Chained Equations in R. J. Stat. Softw. 2011, 45, 1–67. [Google Scholar] [CrossRef]
- Thao, L.T.P.; Geskus, R. A comparison of model selection methods for prediction in the presence of multiply imputed data. Biom. J. 2019, 61, 343–356. [Google Scholar] [CrossRef]
- Friedman, J.; Hastie, T.; Tibshirani, R. Regularization Paths for Generalized Linear Models via Coordinate Descent. J. Stat. Softw. 2010, 33, 1–22. [Google Scholar] [CrossRef]
- Simon, N.; Friedman, J.; Hastie, T.; Tibshirani, R. Regularization Paths for Cox’s Proportional Hazards Model via Coordinate Descent. J. Stat. Softw. 2011, 39, 1–13. [Google Scholar] [CrossRef]
- R Studio Inc. Easy Web Applications in R; R Studio Inc.: Boston, MA, USA, 2013. [Google Scholar]
- Kassambara, A.; Kosinski, M.; Biecek, P.; Fabian, S. Survminer. Available online: https://rpkgs.datanovia.com/survminer/ (accessed on 29 March 2023).
- Uno, H.; Cai, T.; Tian, L.; Wei, L.J. Evaluating Prediction Rules fort-Year Survivors With Censored Regression Models. J. Am. Stat. Assoc. 2007, 102, 527–537. [Google Scholar] [CrossRef]
- Kamarudin, A.N.; Cox, T.; Kolamunnage-Dona, R. Time-dependent ROC curve analysis in medical research: Current methods and applications. BMC Med. Res. Methodol. 2017, 17, 53. [Google Scholar] [CrossRef]
- Xiao, N.; Xu, Q.-S.; Li, M.-Z. hdnom: Building Nomograms for Penalized Cox Models with High-Dimensional Survival Data. bioRxiv 065524 2016. [Google Scholar] [CrossRef]
- Vickers, A.J.; Elkin, E.B. Decision Curve Analysis: A Novel Method for Evaluating Prediction Models. Med. Decis. Mak. 2006, 26, 565–574. [Google Scholar] [CrossRef]
- Vickers, A.J.; Van Calster, B.; Steyerberg, E.W. A simple, step-by-step guide to interpreting decision curve analysis. Diagn. Progn. Res. 2019, 3, 18. [Google Scholar] [CrossRef]
- Buczinski, S.; Fecteau, G.; Cichocki, M.; Ferraro, S.; Arsenault, J.; Chorfi, Y.; Costa, M.; Dubuc, J.; Francoz, D.; Rousseau, M.; et al. Development of a multivariable prediction model to identify dairy calves too young to be transported to auction markets in Canada using simple physical examination and body weight. J. Dairy Sci. 2022, 105, 6144–6154. [Google Scholar] [CrossRef]
- Pavlou, M.; Ambler, G.; Seaman, S.R.; Guttmann, O.; Elliott, P.; King, M.; Omar, R.Z. How to develop a more accurate risk prediction model when there are few events. BMJ 2015, 351, h3868. [Google Scholar] [CrossRef]
- Burvenich, C.; Van Merris, V.R.; Mehrzad, J.; Diez-Fraile, A.; Duchateau, L. Severity of E. coli mastitis is mainly determined by cow factors. Vet. Res. 2003, 34, 521–564. [Google Scholar] [CrossRef]
- Puerto-Parada, M.; Bilodeau, M.È.; Francoz, D.; Desrochers, A.; Nichols, S.; Babkine, M.; Arango-Sabogal, J.C.; Fecteau, G. Survival and prognostic indicators in downer dairy cows presented to a referring hospital: A retrospective study (1318 cases). J. Vet. Intern. Med. 2021, 35, 2534–2543. [Google Scholar] [CrossRef]
- Smith, B.P.; Van Metre, D.C.; Pusterla, N. Large Animal Internal Medicine, 6th ed.; Elsevier: Amsterdam, The Netherlands, 2020. [Google Scholar]
- Wenz, J.R.; Barrington, G.M.; Garry, F.B.; McSweeney, K.D.; Dinsmore, R.P.; Goodell, G.; Callan, R.J. Bacteremia associated with naturally occurring acute coliform mastitis in dairy cows. J. Am. Vet. Med. Assoc. 2001, 219, 976–981. [Google Scholar] [CrossRef]
- De Vries, A.; Marcondes, M.I. Review: Overview of factors affecting productive lifespan of dairy cows. Animal 2020, 14, s155–s164. [Google Scholar] [CrossRef]
- Haine, D.; Cue, R.; Sewalem, A.; Wade, K.; Lacroix, R.; Lefebvre, D.; Rushton, J.; Arsenault, J.; Bouchard, E.; Dubuc, J. Culling from the actors’ perspectives-Decision-making criteria for culling in Quebec dairy herds enrolled in a veterinary preventive medicine program. Prev. Vet. Med. 2017, 148, 1–9. [Google Scholar] [CrossRef]
- Buczinski, S.; Boccardo, A.; Pravettoni, D. Clinical Scores in Veterinary Medicine: What Are the Pitfalls of Score Construction, Reliability, and Validation? A General Methodological Approach Applied in Cattle. Animals 2021, 11, 3244. [Google Scholar] [CrossRef]








| N | Overall N = 222 1 | Survival N = 110 1 | Non-Survival N = 112 1 | p-Value 2 | |
|---|---|---|---|---|---|
| Downer cow | 222 | 34 (15%) | 11 (10%) | 23 (21%) | 0.029 |
| General state | 215 | <0.001 | |||
| Alert | 47 (22%) | 33 (31%) | 14 (13%) | ||
| Slightly depressed | 123 (57%) | 58 (55%) | 65 (59%) | ||
| Severely depressed | 45 (21%) | 14 (13%) | 31 (28%) | ||
| Appetite (compared to normal) | 206 | 0.434 | |||
| 0% | 72 (35%) | 38 (38%) | 34 (32%) | ||
| 25% | 95 (46%) | 46 (46%) | 49 (46%) | ||
| 50% | 39 (19%) | 15 (15%) | 24 (22%) | ||
| Temperature (°C) | 219 | 39.4 (38.7, 40.0) | 39.6 (38.7, 40.1) | 39.3 (38.6, 39.8) | 0.043 |
| Heart rate (bpm 3) | 219 | 100 (90, 110) | 100 (88, 102) | 100 (90, 120) | 0.004 |
| Respiratory rate (mpm 4) | 208 | 30 (24, 40) | 29 (24, 38) | 32 (24, 40) | 0.063 |
| Mucosal aspect | 212 | 0.267 | |||
| Normal | 140 (66%) | 75 (72%) | 65 (60%) | ||
| Pale | 23 (11%) | 8 (7.7%) | 15 (14%) | ||
| Congested | 49 (23%) | 21 (20%) | 28 (26%) | ||
| Capillary refilling time | 222 | 0.320 | |||
| <2 s | 132 (59%) | 71 (65%) | 61 (54%) | ||
| 2 s | 77 (35%) | 33 (30%) | 44 (39%) | ||
| >2 s | 13 (5.9%) | 6 (5.5%) | 7 (6.2%) | ||
| Ruminal motility rate (/2 min) | 209 | 1 (0, 2) | 1 (0, 2) | 0 (0, 1) | <0.001 |
| Ruminal motility description | 145 | <0.001 | |||
| Complete | 47 (32%) | 36 (44%) | 11 (17%) | ||
| Incomplete | 98 (68%) | 45 (56%) | 53 (83%) | ||
| Dehydration | 218 | 0.002 | |||
| <5% | 44 (20%) | 28 (26%) | 16 (14%) | ||
| 5–7% | 148 (68%) | 74 (69%) | 74 (67%) | ||
| 8–10% | 22 (10%) | 5 (4.7%) | 17 (15%) | ||
| 10% | 4 (1.8%) | 0 (0%) | 4 (3.6%) | ||
| Feces aspect | 209 | 0.016 | |||
| Normal | 1 (0.5%) | 1 (1.0%) | 0 (0%) | ||
| Blood | 37 (18%) | 16 (15%) | 21 (20%) | ||
| Diarrhea | 33 (16%) | 12 (11%) | 21 (20%) | ||
| Dry | 1 (0.5%) | 1 (1.0%) | 0 (0%) | ||
| Fibrin | 2 (1.0%) | 1 (1.0%) | 1 (1.0%) | ||
| Melena | 97 (46%) | 60 (57%) | 37 (36%) | ||
| Undigested | 38 (18%) | 14 (13%) | 24 (23%) | ||
| Feces quantity | 214 | 0.015 | |||
| Normal | 74 (35%) | 42 (40%) | 32 (29%) | ||
| Low | 130 (61%) | 61 (59%) | 69 (63%) | ||
| None | 10 (4.7%) | 1 (1.0%) | 9 (8.2%) |
| N | Overall N = 222 1 | Survival N = 110 1 | Non-Survival N = 112 1 | p-Value 2 | |
|---|---|---|---|---|---|
| Troponin (mmol/L) | 219 | 0.03 (0.00, 0.18) | 0.02 (0.00, 0.07) | 0.06 (0.01, 0.28) | <0.001 |
| L-lactate (mmol/L) | 222 | 1.60 (0.90, 2.70) | 1.30 (0.80, 2.28) | 1.85 (1.10, 2.92) | 0.001 |
| Erythrocytes (* 1012/L) | 189 | 6.49 (5.75, 7.14) | 6.31 (5.51, 6.87) | 6.79 (6.11, 7.44) | <0.001 |
| Hemoglobin (g/L) | 189 | 114 (102, 126) | 108 (99, 119) | 121 (108, 130) | <0.001 |
| Hematocrit (%) | 189 | 33.0 (29.0, 37.0) | 31.0 (29.0, 34.0) | 35.0 (31.5, 37.0) | <0.001 |
| Mean globular volume (fl) | 189 | 51.0 (49.0, 53.0) | 51.0 (48.0, 53.0) | 51.0 (49.0, 53.0) | 0.481 |
| Mean corpuscular hemoglobin (pg) | 189 | 17 (16, 18) | 17 (16, 18) | 17 (16, 18) | >0.9 |
| Mean corpuscular hemoglobin concentration (g/L) | 189 | 342 (336, 347) | 341 (336, 347) | 342 (336, 347) | >0.9 |
| Platelets (* 109/L) | 188 | 195 (112, 282) | 214 (119, 331) | 158 (108, 242) | 0.028 |
| Leucocytes (* 109/L) | 189 | 4.2 (2.0, 6.9) | 3.3 (1.8, 6.5) | 4.7 (2.5, 7.7) | 0.10 |
| Neutrophils (* 109/L) | 189 | 0.97 (0.40, 2.59) | 0.85 (0.40, 2.27) | 1.21 (0.42, 2.80) | 0.662 |
| Band neutrophils (* 109/L) | 189 | 0.04 (0.00, 0.32) | 0.04 (0.00, 0.32) | 0.02 (0.00, 0.32) | 0.902 |
| Lymphocytes (* 109/L) | 189 | 1.70 (0.97, 2.66) | 1.46 (0.92, 2.20) | 1.86 (1.04, 3.18) | 0.101 |
| Monocytes (* 109/L) | 189 | 0.11 (0.05, 0.34) | 0.07 (0.02, 0.28) | 0.16 (0.07, 0.42) | 0.003 |
| Eosinophils (* 109/L) | 189 | 0.02 (0.00, 0.14) | 0.02 (0.00, 0.14) | 0.02 (0.00, 0.14) | 0.809 |
| Basophils (* 109/L) | 189 | 0.00 (0.00, 0.00) | 0.00 (0.00, 0.00) | 0.00 (0.00, 0.00) | 0.556 |
| Fibrinogen (g/L) | 188 | 6 (4, 7) | 6 (5, 7) | 6 (4, 8) | 0.904 |
| Presence of toxic neutrophils | 190 | 22 (12%) | 9 (9.6%) | 13 (14%) | 0.486 |
| Overall N = 222 | Survival N = 110 | Non-Survival N = 112 | |
|---|---|---|---|
| No pathogen | 16 (7%) | 13 (12%) | 3 (3%) |
| Gram positive bacteria 1 | 43 (19%) | 17 (15%) | 26 (23%) |
| Gram negative bacteria 2 | 112 (50%) | 57 (52%) | 55 (49%) |
| Mixed infections 3 | 10 (5%) | 4 (4%) | 6 (5%) |
| Yeasts | 2 (1%) | 2 (2%) | 0 (0%) |
| Contaminated | 1 (1%) | 1 (1%) | 0 (0%) |
| Missing data | 38 (17%) | 16 (15%) | 22 (20%) |
Disclaimer/Publisher’s Note: The statements, opinions and data contained in all publications are solely those of the individual author(s) and contributor(s) and not of MDPI and/or the editor(s). MDPI and/or the editor(s) disclaim responsibility for any injury to people or property resulting from any ideas, methods, instructions or products referred to in the content. |
© 2023 by the authors. Licensee MDPI, Basel, Switzerland. This article is an open access article distributed under the terms and conditions of the Creative Commons Attribution (CC BY) license (https://creativecommons.org/licenses/by/4.0/).
Share and Cite
Le Page, T.; Buczinski, S.; Dubuc, J.; Labonté, J.; Roy, J.-P. Development of a Nomogram to Estimate the 60-Day Probability of Death or Culling Due to Severe Clinical Mastitis in Dairy Cows at First Veterinary Clinical Evaluation. Vet. Sci. 2023, 10, 268. https://doi.org/10.3390/vetsci10040268
Le Page T, Buczinski S, Dubuc J, Labonté J, Roy J-P. Development of a Nomogram to Estimate the 60-Day Probability of Death or Culling Due to Severe Clinical Mastitis in Dairy Cows at First Veterinary Clinical Evaluation. Veterinary Sciences. 2023; 10(4):268. https://doi.org/10.3390/vetsci10040268
Chicago/Turabian StyleLe Page, Thomas, Sébastien Buczinski, Jocelyn Dubuc, Josiane Labonté, and Jean-Philippe Roy. 2023. "Development of a Nomogram to Estimate the 60-Day Probability of Death or Culling Due to Severe Clinical Mastitis in Dairy Cows at First Veterinary Clinical Evaluation" Veterinary Sciences 10, no. 4: 268. https://doi.org/10.3390/vetsci10040268
APA StyleLe Page, T., Buczinski, S., Dubuc, J., Labonté, J., & Roy, J.-P. (2023). Development of a Nomogram to Estimate the 60-Day Probability of Death or Culling Due to Severe Clinical Mastitis in Dairy Cows at First Veterinary Clinical Evaluation. Veterinary Sciences, 10(4), 268. https://doi.org/10.3390/vetsci10040268

