Effect of Supplementing Vitamin E, Selenium, Copper, Zinc, and Manganese during the Transition Period on Dairy Cow Reproductive Performance and Immune Function
Abstract
Simple Summary
Abstract
1. Introduction
2. Materials and Methods
2.1. Cattle and Herd Management
2.2. Experimental Design
2.3. Monitoring Temperature–Humidity Index of Barn
2.4. Blood Sampling and Hematologic and Biochemical Profile Examination
2.5. Postpartum Health or Disorders
2.6. Body Condition Score (BCS)
2.7. Milk Production and Composition Recording
2.8. Measurement of Reproductive Performance
2.9. Statistical Analysis
3. Results
3.1. Temperature–Humidity Index of Barn
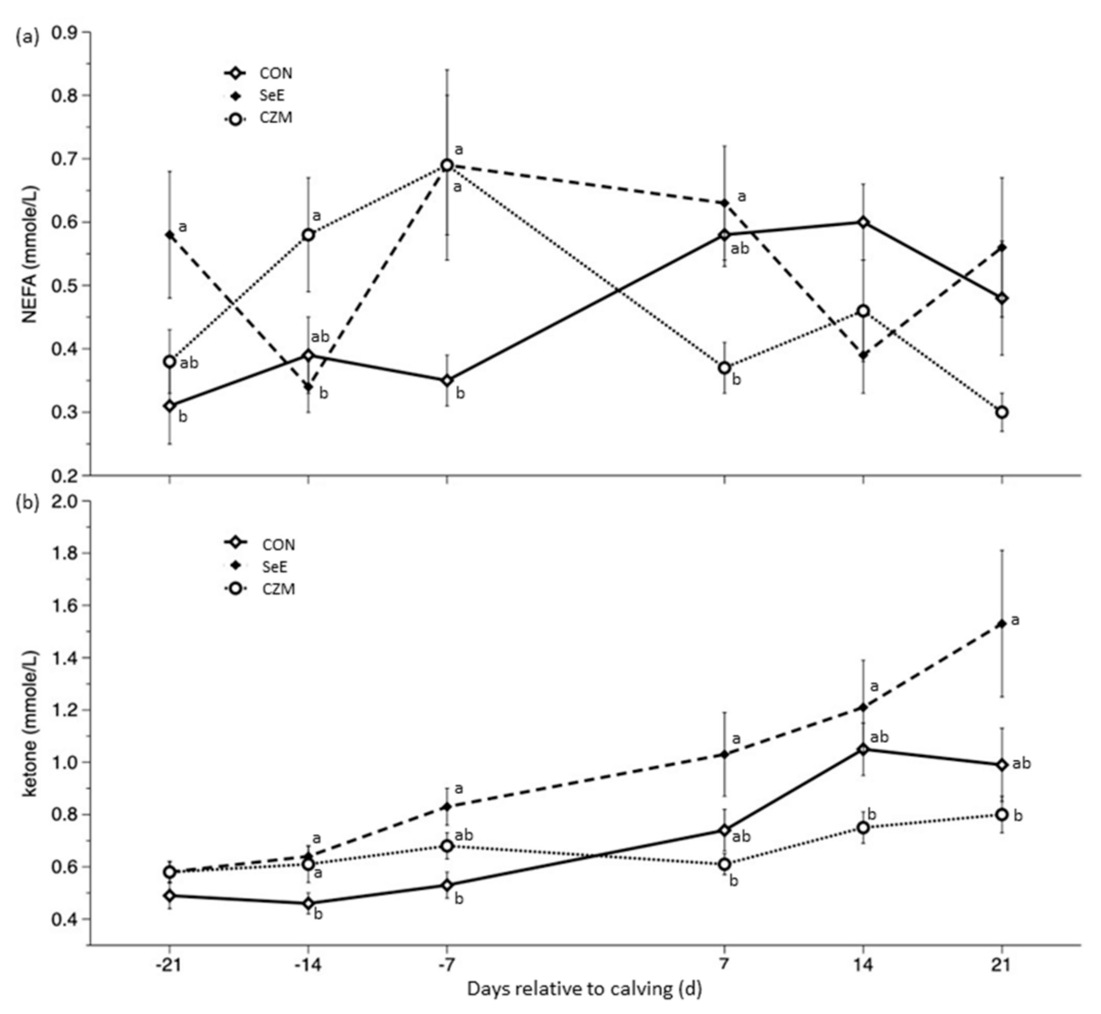
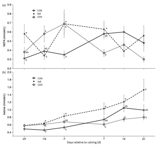
3.2. Hematologic and Biochemical Profile Examination
3.3. Postpartum Health, Disorders, and BCS
3.4. Milk Production and Composition
3.5. Reproductive Performance
4. Discussion
5. Conclusions
Supplementary Materials
Author Contributions
Funding
Institutional Review Board Statement
Informed Consent Statement
Data Availability Statement
Acknowledgments
Conflicts of Interest
References
- Joksimović-Todorović, M.; Davidović, V. Changes in white blood pictures and some biochemical parameters of dairy cows in peripartum period and early lactation. Mljekarstvo 2012, 62, 151–158. [Google Scholar]
- Block, E. Transition cow research—What makes sense today? In Proceedings of the High Plants Dairy Conference, Amarillo, TX, USA, 1–2 March 2010; pp. 75–98. [Google Scholar]
- Laporta, J.; Ferreira, F.C.; Ouellet, V.; Dado-Senn, B.; Almeida, A.K.; De Vries, A.; Dahl, G.E. Late-gestation heat stress impairs daughter and granddaughter lifetime performance. J. Dairy Sci. 2020, 103, 7555–7568. [Google Scholar] [CrossRef]
- Abdulrahman, N.; Trudee, F. Contribution of the immune system to follicle differentiation, ovulation and early corpus luteum formation. Anim. Reprod. 2019, 16, 440–448. [Google Scholar] [CrossRef] [PubMed]
- Ferreira, F.C.; Gennari, R.S.; Dahl, G.E.; de Vries, A. Economic feasibility of cooling dry cows across the United States. J. Dairy Sci. 2016, 99, 9931–9941. [Google Scholar] [CrossRef]
- Trevisi, E.; Amadori, M.; Cogrossi, S.; Razzuoli, E.; Bertoni, G. Metabolic stress and inflammatory response in high-yielding, periparturient dairy cows. Res. Vet. Sci. 2012, 93, 695–704. [Google Scholar] [CrossRef]
- Spears, J.W.; Weiss, W.P. Role of antioxidants and trace elements in health and immunity of transition dairy cows. Vet. J. 2008, 176, 70–76. [Google Scholar] [CrossRef]
- Mustacich, D.; Powis, G. Thioredoxin reductase. Biochem. J. 2000, 346, 1–8. [Google Scholar] [CrossRef]
- Pilarczyk, B.; Jankowiak, D.; Tomza-Marciniak, A.; Pilarczyk, R.; Sablik, P.; Drozd, R.; Tylkowska, A.; Skólmowska, M. Selenium concentration and glutathione peroxidase (GSH-Px) activity in serum of cows at different stages of lactation. Biol. Trace Elem. Res. 2012, 147, 91–96. [Google Scholar] [CrossRef]
- Ahola, J.K.; Engle, T.E.; Burns, P.D. Effect of copper status, supplementation, and source on pituitary responsiveness to exogenous gonadotropin-releasing hormone in ovariectomized beef cows. J. Anim. Sci. 2005, 83, 1812–1823. [Google Scholar] [CrossRef]
- Mora, A.M.; van Wendel de Joode, B.; Mergler, D.; Cordoba, L.; Cano, C.; Quesada, R.; Smith, D.R.; Menezes-Filho, J.A.; Lundh, T.; Lindh, C.H.; et al. Blood and hair manganese concentrations in pregnant women from the infants’ environmental health study (ISA) in Costa Rica. Environ. Sci. Technol. 2014, 48, 3467–3476. [Google Scholar] [CrossRef]
- NRC. Nutrient Requirements of Dairy Cattle, 7th ed.; National Academy Press: Washington, DC, USA, 2001. [Google Scholar]
- Zurek, E.; Foxcroft, G.; Kennelly, J. Metabolic status and interval to first ovulation in postpartum dairy cows. J. Dairy Sci. 1995, 78, 1909–1920. [Google Scholar] [CrossRef]
- Thrusfield, M. Veterinary Epidemiology, 3rd ed.; Blackwell Science, Ltd.: London, UK, 2005; pp. 228–246. [Google Scholar]
- Dikmen, S.; Alava, E.; Pontes, E.; Fear, J.M.; Dikmen, B.Y.; Olson, T.A.; Hansen, P.J. Differences in thermoregulatory ability between slick-haired and wild-type lactating Holstein cows in response to acute heat stress. J. Dairy Sci. 2008, 91, 3395–3402. [Google Scholar] [CrossRef]
- Macmillan, K.; Gobikrushanth, M.; Behrouzi, A.; López-Helguera, I.; Cook, N.; Hoff, B.; Colazo, M.G. The association of circulating prepartum metabolites, minerals, cytokines and hormones with postpartum health status in dairy cattle. Res. Vet. Sci. 2020, 130, 126–132. [Google Scholar] [CrossRef] [PubMed]
- Martinez, N.; Risco, C.A.; Lima, F.S.; Bisinotto, R.S.; Greco, L.F.; Ribeiro, E.S.; Manusell, F.; Galvão, K.; Santos, J.E. Evaluation of peripartal calcium status, energetic profile, and neutrophil function in dairy cows at low or high risk of developing uterine disease. J. Dairy Sci. 2012, 95, 7158–7172. [Google Scholar] [CrossRef]
- Macmillan, K.; López Helguera, I.; Behrouzi, A.; Gobikrushanth, M.; Hoff, B.; Colazo, M.G. Accuracy of a cow-side test for the diagnosis of hyperketonemia and hypoglycemia in lactating dairy cows. Res. Vet. Sci. 2017, 115, 327–331. [Google Scholar] [CrossRef] [PubMed]
- Drackley, J.K. Use of NEFA as a Tool to Monitor Energy Balance in Transition Dairy Cows; Illinois Dairy Days: Harvard, IL, USA, 2000. [Google Scholar]
- Edmonson, A.J.; Lean, I.J.; Weaver, L.D.; Farver, T.; Webster, G. A body condition scoring chart for Holstein dairy cows. J. Dairy Sci. 1989, 72, 68–78. [Google Scholar] [CrossRef]
- Shook, G.E.; Schutz, M.M. Selection on somatic cell score to improve resistance to mastitis in the United States. J. Dairy Sci. 1994, 77, 648–658. [Google Scholar] [CrossRef] [PubMed]
- Radostits, O.M.; Gay, C.C.; Hinchcliff, K.W.; Constable, P.D.; Done, S.H.; Jacobs, D.E.; Ikede, B.O.; McKenzie, R.A.; Colwell, D.; Osweiler, G.; et al. Diseases of the liver and pancreas. In Veterinary Medicine, 10th ed.; Rodenhuis, J., Demetriou-Swanwick, R., Eds.; Saunders: Philadelphia, PA, USA, 2009; pp. 388–389. [Google Scholar]
- Johnson, H.D. World Animal Science. In Bioclimatology and the Adaptation of Livestock; Elsevier Science Publ. Co.: New York, NY, USA, 1987. [Google Scholar]
- West, J.W. Managing and Feeding Lactating Dairy Cows in Hot Weather; Bulletin 956/1995; The University of Georgia, Ft. Valley State College, U.S.D.A. Counties of the State Cooperating: Athens, GA, USA, 1995. [Google Scholar]
- Collier, R.J.; Renquist, B.J.; Xiao, Y. A 100-year review: Stress physiology including heat stress. J. Dairy Sci. 2017, 100, 10367–10380. [Google Scholar] [CrossRef]
- Ouellet, V.; Laporta, J.; Dahl, G.E. Late gestation heat stress in dairy cows: Effects on dam and daughter. Theriogenology 2020, 150, 471–479. [Google Scholar] [CrossRef]
- Negrón-Pérez, V.M.; Fausnacht, D.W.; Rhoads, M.L. Invited review: Management strategies capable of improving the reproductive performance of heat- stressed dairy cattle. J. Dairy Sci. 2019, 102, 10695–10710. [Google Scholar] [CrossRef]
- O’brien, M.; Rhoads, R.; Sanders, S.; Duff, G.; Baumgard, L. Metabolic adaptations to heat stress in growing cattle. Domest. Anim. Endocrinol. 2010, 38, 86–94. [Google Scholar] [CrossRef] [PubMed]
- Khodaei-Motlagh, M.; Shahneh, A.Z.; Masoumi, R.; Derensis, F. Alterations in reproductive hormones during heat stress in dairy cattle. Afr. J. Biotechnol. 2011, 10, 5552–5558. [Google Scholar]
- Khorsandi, S.; Riasi, A.; Khorvash, M.; Mahyari, S.A.; Mohammadpanah, F.; Ahmadi, F. Lactation and reproductive performance of high producing dairy cows given sustained-release multi-trace element/vitamin ruminal bolus under heat stress condition. Livest. Sci. 2016, 187, 146–150. [Google Scholar] [CrossRef]
- Watson, E.D.; Diehl, N.K.; Evans, J.F. Antibody response in the bovine genital tract to intrauterine infusion of Actinomyces pyogenes. Res. Vet. Sci. 1990, 48, 70–75. [Google Scholar] [CrossRef] [PubMed]
- Saad, A.M.; Concha, C.; Astrom, G. Alterations in neutrophil phagocytosis and lymphocyte blastogenesis in dairy cows around parturition. J. Vet. Med. B 1989, 36, 337–345. [Google Scholar] [CrossRef] [PubMed]
- Kehrli, M.E.; Nonnecke, B.J.; Roth, J.A. Alteration in bovine lymphocyte function during the periparturient period. Am. J. Vet. Res. 1989, 50, 215–220. [Google Scholar]
- Schrick, F.N.; Hockett, M.E.; Saxton, A.M.; Lewis, M.J.; Dowlen, H.H.; Oliver, S.P. Influence of subclinical mastitis during early lactation on reproductive parameters. J. Dairy Sci. 2001, 84, 1407–1412. [Google Scholar] [CrossRef]
- Santos, J.; Bisinotto, R.; Ribeiro, E.; Lima, F.; Greco, L.; Staples, C.; Thatcher, W. Applying nutrition and physiology to improve reproductive in dairy cattle. Reprod. Domest. Anim. 2010, 7, 385–401. [Google Scholar] [CrossRef]
- Chapwanya, A. Uterine disease in dairy cows: Classification, diagnosis and key roles for veterinarians. Irish Vet. J. 2008, 61, 183. [Google Scholar]
- Campbell, M.H.; Miller, J.K. Effect of supplemental dietary vitamin E and zinc on reproductive performance of dairy cows and heifers fed excess iron. J. Dairy Sci. 1998, 81, 2693–2699. [Google Scholar] [CrossRef]
- Hoedemaker, M.; Prange, D.; Gundelach, Y. Body condition change ante- and postpartum, health and reproductive performance in German Holstein cows. Reprod. Domest. Anim. 2009, 44, 167–173. [Google Scholar] [CrossRef] [PubMed]
- Moretti, P.; Probo, M.; Morandi, N.; Trevisi, E.; Ferrari, A.; Minuti, A.; Venturini, M.; Paltrinieri, S.; Giordano, A. Early post- partum hematological changes in Holstein dairy cows with retained placenta. Anim. Reprod. Sci. 2015, 152, 17–25. [Google Scholar] [CrossRef] [PubMed]
- Wilde, D. Influence of macro and micro minerals in the peri-parturient period on fertility in dairy cattle. Anim. Reprod. Sci. 2006, 96, 240–249. [Google Scholar] [CrossRef] [PubMed]
- Chapinal, N.; Carson, M.E.; LeBlanc, S.J.; Leslie, K.E.; Godden, S.; Capel, M.; Santos, J.E.P. The association of serum metabolites in the transition period with milk production and early-lactation reproductive performance. J. Dairy Sci. 2012, 95, 1301–1309. [Google Scholar] [CrossRef] [PubMed]
- Ospina, P.A.; Nydam, D.V.; Stokol, T.; Overton, T.R. Associations of elevated nonesterified fatty acids and β-hydroxybutyrate concentrations with early lactation reproductive performance and milk production in transition dairy cattle in the northeastern United States. J. Dairy Sci. 2010, 93, 1596–1603. [Google Scholar] [CrossRef]
- LeBlanc, S. Health in the transition period and reproductive performance. WCDS Adv. Dairy Technol. 2010, 22, 97–110. [Google Scholar]
- Abuelo, A.; Alves-Nores, V.; Hernandez, J.; Muiño, R.; Benedito, J.L.; Castillo, C. Effect of parenteral antioxidant supplementation during the dry period on postpartum glucose tolerance in dairy cows. J. Vet. Intern. Med. 2016, 30, 892–898. [Google Scholar] [CrossRef]
- Dubuc, J.; Duffield, T.F.; Leslie, K.E.; Walton, J.S.; Leblanc, S.J. Risk factors for postpartum uterine diseases in dairy cows. J. Dairy Sci. 2010, 93, 5764–5771. [Google Scholar] [CrossRef]
- Sordillo, L.M.; Aitken, S.L. Impact of oxidative stress on the health and immune function of dairy cattle. Vet. Immunol. Immunopathol. 2009, 128, 104–109. [Google Scholar] [CrossRef]
- Enjalbert, F.; Lebreton, P.; Salat, O. Effects of copper, zinc and selenium status on performance and health in commercial dairy and beef herds: Retrospective study. J. Anim. Physiol. Anim. Nutr. 2006, 90, 459–466. [Google Scholar] [CrossRef]



| Item | Concentrate Prepartum (% Dry Matte Basis) | Total Mixed Ration (% Dry Matte Basis) |
|---|---|---|
| Corn silage | - | 17.7 |
| Bermuda grass hay | - | 18.0 |
| Alfalfa hay | - | 4.5 |
| Brewers grains, wet | - | 10.5 |
| Soybean hull | - | 21.0 |
| Wheat bran | - | 13.3 |
| Corn | 60.0 | 7.37 |
| Corn gluten meal | - | 1.05 |
| Soybean meal, 44% CP | 31.3 | 4.42 |
| Fish meal | - | 0.52 |
| Molasses | 5.0 | 0.75 |
| Iodized salt | 1.0 | 0.12 |
| Sodium bicarbonate | - | 0.31 |
| Limestone | 1.0 | 0.27 |
| Calcium diphosphate | 0.8 | - |
| Premix † | 0.5 | 0.18 |
| Mineral–vitamin mix ‡ | - | 0.01 |
| Total | 100 | 100 |
| Nutrient Composition | Concentrate Prepartum | Total Mixed Ration | Pangola Grass Hay |
|---|---|---|---|
| Dry matter, % | 89.9 | 45.9 | 92.9 |
| Crude protein, % | 17.1 | 14.6 | 4.6 |
| Fat, % | 2.3 | 2.3 | 1.7 |
| Neutral detergent fiber, % | 23.4 | 45.4 | 72.8 |
| Acid detergent fiber, % | 11.9 | 28.1 | 43.9 |
| Ca, % | 0.7 | 0.6 | 0.17 |
| P, % | 0.5 | 0.4 | 0.38 |
| NEl Mcal/kg | 1.5 | 1.6 | 1.25 |
| Cu, ppm of DM | 16.0 | 8.0 | 5.0 |
| Mn, ppm of DM | - | 0.2 | 164.0 |
| Se, ppm of DM | 0.16 | 0.2 | - |
| Zn, ppm of DM | 64.0 | 33.0 | 17.0 |
| Item | Treatment | Days after Calving | |||||
|---|---|---|---|---|---|---|---|
| −21 | −14 | −7 | 7 | 14 | 21 | ||
| WBC | SeE | 13,276.3 | 13,012.5 | 12,277.5 | 12,262.5 | 13,468.8 | 13,568.8 |
| (1/uL) | CZM | 11,850.0 | 11,988.8 | 11,553.8 | 9776.3 | 10,725.0 | 11,065.0 |
| CON | 11,002.5 | 11,401.3 | 11,252.5 | 9737.5 | 9875.0 | 10,887.5 | |
| SEM | 2654.18 | 2677.54 | 1681.69 | 2706.02 | 3478.86 | 3050.03 | |
| treatment p value | 0.23 | 0.50 | 0.48 | 0.10 | 0.09 | 0.15 | |
| time p value | 0.07 | ||||||
| treat × time p value | 0.78 | ||||||
| RBC | SeE | 5.6 | 5.8 | 5.8 | 5.8 | 5.4 | 5.3 |
| (106/uL) | CZM | 6.1 | 6.1 | 6.1 | 5.9 | 5.5 | 5.4 |
| CON | 5.8 | 5.7 | 5.8 | 5.6 | 5.2 | 4.4 | |
| SEM | 0.62 | 0.74 | 0.61 | 0.62 | 0.57 | 1.10 | |
| treatment p value | 0.29 | 0.51 | 0.51 | 0.56 | 0.63 | 0.12 | |
| time p value | <0.001 | ||||||
| treat × time p value | 0.10 | ||||||
| Neutrophils | SeE | 28.3 | 29.5 | 34.2 | 31.4 | 33.6 | 31.4 |
| (%) | CZM | 32.8 | 34.6 | 35.6 | 36.2 | 35.2 | 37.0 |
| CON | 38.0 | 38.0 | 41.9 | 40.2 | 38.4 | 36.4 | |
| SEM | 9.07 | 7.28 | 7.05 | 12.72 | 11.91 | 13.61 | |
| treatment p value | 0.10 | 0.06 | 0.06 | 0.41 | 0.73 | 0.68 | |
| time p value | 0.54 | ||||||
| treat × time p value | 0.99 | ||||||
| Lymphocytes | SeE | 62.08 | 61.66 | 57.31 | 58.50 | 56.54 | 59.89 |
| (%) | CZM | 57.49 | 56.49 | 55.18 | 53.48 | 55.05 | 53.53 |
| CON | 53.08 | 52.77 | 49.01 | 50.06 | 51.88 | 53.93 | |
| SEM | 9.11 | 8.18 | 7.61 | 12.51 | 11.95 | 13.69 | |
| treatment p value | 0.14 | 0.09 | 0.07 | 0.42 | 0.75 | 0.60 | |
| time p value | 0.45 | ||||||
| treat × time p value | 0.99 | ||||||
| Monocytes | SeE | 6.69 | 5.75 | 5.64 | 6.98 a | 6.76 | 6.43 |
| (%) | CZM | 6.84 | 6.41 | 6.25 | 7.07 a | 6.53 | 6.55 |
| CON | 5.86 | 5.27 | 6.01 | 6.24 b | 6.79 | 7.03 | |
| SEM | 1.63 | 1.78 | 1.31 | 0.66 | 0.98 | 1.82 | |
| treatment p value | 0.45 | 0.46 | 0.66 | 0.01 | 0.85 | 0.80 | |
| time p value | 0.11 | ||||||
| treat × time p value | 0.83 | ||||||
| Item | Treatment | Days after Calving | |||||
|---|---|---|---|---|---|---|---|
| −21 | −14 | −7 | 7 | 14 | 21 | ||
| Albumin | SeE | 3.95 | 3.65 | 3.74 | 3.41 | 3.61 | 3.85 |
| (g/dL) | CZM | 3.75 | 3.68 | 3.49 | 3.64 | 3.68 | 3.69 |
| CON | 3.54 | 3.59 | 3.59 | 3.77 | 3.42 | 3.57 | |
| SEM | 0.45 | 0.47 | 0.35 | 0.48 | 0.55 | 0.35 | |
| treatment p value | 0.20 | 0.93 | 0.38 | 0.33 | 0.65 | 0.28 | |
| time p value | 0.52 | ||||||
| treat × time p value | 0.22 | ||||||
| Globulin | SeE | 3.08 | 2.96 | 2.92 | 3.09 | 3.54 | 3.64 |
| (g/dL) | CZM | 3.06 | 2.74 | 2.99 | 3.13 | 3.56 | 3.80 |
| CON | 3.34 | 3.10 | 2.89 | 3.38 | 3.45 | 3.74 | |
| SEM | 0.55 | 0.47 | 0.42 | 0.54 | 0.58 | 0.60 | |
| treatment p value | 0.54 | 0.33 | 0.89 | 0.53 | 0.93 | 0.87 | |
| time p value | <0.001 | ||||||
| treat × time p value | 0.84 | ||||||
| Ca | SeE | 7.99 | 8.14 | 7.92 | 8.00 | 8.38 ab | 8.54 ab |
| (mg/dL) | CZM | 8.16 | 7.93 | 8.22 | 8.06 | 8.58 a | 8.64 a |
| CON | 7.35 | 7.60 | 7.51 | 7.61 | 7.40 b | 7.60 b | |
| SEM | 0.93 | 0.79 | 0.70 | 0.84 | 0.93 | 0.88 | |
| treatment p value | 0.19 | 0.40 | 0.12 | 0.53 | 0.02 | 0.03 | |
| time p value | 0.07 | ||||||
| treat × time p value | 0.61 | ||||||
| Glucose | SeE | 57.8 | 53.0 | 58.0 | 50.9 | 49.5 | 56.6 |
| (mg/dL) | CZM | 56.4 | 52.9 | 57.9 | 52.7 | 52.6 | 59.8 |
| CON | 58.9 | 58.4 | 56.6 | 54.5 | 56.8 | 55.3 | |
| SEM | 5.12 | 11.98 | 3.90 | 8.57 | 9.44 | 6.22 | |
| treatment p value | 0.38 | 0.35 | 0.54 | 0.50 | 0.09 | 0.11 | |
| time p value | <0.01 | ||||||
| treat × time p value | 0.18 | ||||||
| Item 1 | Treatment 2 | |||
|---|---|---|---|---|
| CON | SeE | CZM | p-Value | |
| BCS loss from calving to 21 d | 0.16 | 0.16 | 0.13 | 0.86 |
| Retained fetal membrane (%) | 25.0 b | 0.0 a | 12.5 ab | 0.03 |
| Subclinical hypocalcemia (%) | 87.5 b | 41.7 a | 29.2 a | <0.001 |
| Subclinical ketosis (%) | 20.8 | 29.2 | 8.3 | 0.19 |
| Positive energy balance (%) | 20.8 | 29.2 | 37.5 | 0.45 |
| Pregnancy rates at 150th day postpartum (%) | 25.0 | 37.5 | 25.0 | 0.82 |
| Item | Treatment | Days after Calving | |||||
|---|---|---|---|---|---|---|---|
| 7 | 14 | 21 | 30 | 60 | 305 | ||
| Milk yield (kg) | SeE | 25.4 a | 28.6 a | 28.5 | 30.7 | 32.0 a | 8811.6 |
| CZM | 23.5 ab | 27.6 ab | 28.7 | 29.6 | 29.5 ab | 8974.8 | |
| CON | 20.8 b | 23.1 b | 25.5 | 27.1 | 26.8 b | 8684.5 | |
| SEM | 5.51 | 5.85 | 6.59 | 6.23 | 5.65 | 1203.3 | |
| Treatment p value | 0.05 | 0.02 | 0.32 | 0.23 | 0.03 | 0.90 | |
| Time p value | <0.001 | ||||||
| Treat × time p value | 0.37 | ||||||
| SCLS | SeE | 5.08 | 3.66 ab | 3.35 | 2.96 | 3.34 | |
| CZM | 4.65 | 2.65 b | 3.12 | 2.17 | 2.39 | ||
| CON | 5.86 | 4.90 a | 4.24 | 3.59 | 4.43 | ||
| SEM | 1.81 | 1.72 | 2.04 | 1.68 | 1.83 | ||
| Treatment p value | 0.41 | 0.05 | 0.54 | 0.26 | 0.1 | ||
| Time p value | <0.001 | ||||||
| Treat × time p value | 0.99 | ||||||
| MFP (%) | SeE | 4.60 | 3.93 | 3.92 | 3.62 | 4.34 a | |
| CZM | 4.13 | 3.71 | 3.64 | 3.75 | 3.86 ab | ||
| CON | 4.80 | 4.20 | 4.01 | 3.63 | 3.50 b | ||
| SEM | 0.99 | 0.67 | 0.65 | 0.64 | 0.85 | ||
| Treatment p value | 0.14 | 0.11 | 0.25 | 0.82 | 0.02 | ||
| Time p value | <0.001 | ||||||
| Treat × time p value | <0.01 | ||||||
| MPP (%) | SeE | 3.80 | 3.29 | 2.84 | 2.81 | 2.87 | |
| CZM | 3.83 | 3.18 | 2.95 | 2.90 | 2.99 | ||
| CON | 3.62 | 3.14 | 2.89 | 2.83 | 2.90 | ||
| SEM | 0.45 | 0.25 | 0.24 | 0.23 | 0.21 | ||
| Treatment p value | 0.38 | 0.20 | 0.42 | 0.56 | 0.25 | ||
| Time p value | <0.001 | ||||||
| Treat × time p value | 0.18 | ||||||
Disclaimer/Publisher’s Note: The statements, opinions and data contained in all publications are solely those of the individual author(s) and contributor(s) and not of MDPI and/or the editor(s). MDPI and/or the editor(s) disclaim responsibility for any injury to people or property resulting from any ideas, methods, instructions or products referred to in the content. |
© 2023 by the authors. Licensee MDPI, Basel, Switzerland. This article is an open access article distributed under the terms and conditions of the Creative Commons Attribution (CC BY) license (https://creativecommons.org/licenses/by/4.0/).
Share and Cite
Chen, Y.-H.; Chen, Y.-M.; Tu, P.-A.; Lee, K.-H.; Chen, J.-Y.; Hsu, J.-T. Effect of Supplementing Vitamin E, Selenium, Copper, Zinc, and Manganese during the Transition Period on Dairy Cow Reproductive Performance and Immune Function. Vet. Sci. 2023, 10, 225. https://doi.org/10.3390/vetsci10030225
Chen Y-H, Chen Y-M, Tu P-A, Lee K-H, Chen J-Y, Hsu J-T. Effect of Supplementing Vitamin E, Selenium, Copper, Zinc, and Manganese during the Transition Period on Dairy Cow Reproductive Performance and Immune Function. Veterinary Sciences. 2023; 10(3):225. https://doi.org/10.3390/vetsci10030225
Chicago/Turabian StyleChen, Yi-Hsuan, Yi-Ming Chen, Po-An Tu, Kuo-Hua Lee, Jih-Yi Chen, and Jih-Tay Hsu. 2023. "Effect of Supplementing Vitamin E, Selenium, Copper, Zinc, and Manganese during the Transition Period on Dairy Cow Reproductive Performance and Immune Function" Veterinary Sciences 10, no. 3: 225. https://doi.org/10.3390/vetsci10030225
APA StyleChen, Y.-H., Chen, Y.-M., Tu, P.-A., Lee, K.-H., Chen, J.-Y., & Hsu, J.-T. (2023). Effect of Supplementing Vitamin E, Selenium, Copper, Zinc, and Manganese during the Transition Period on Dairy Cow Reproductive Performance and Immune Function. Veterinary Sciences, 10(3), 225. https://doi.org/10.3390/vetsci10030225

