Urinary Metabolite Panel Dataset for Bulgarian Children with Autism Spectrum Disorder (ASD)
Abstract
1. Summary
2. Data Description
2.1. Files in This Release
- ASD_urine_metabolites_panel_v1_results_anonymized_shuffled.xlsx (primary results table in Excel format);
- ASD_urine_metabolites_panel_v1_results_anonymized_shuffled.csv (primary results table in CSV format);
- ASD_v1_reference_ranges_units.csv (reporting units and laboratory reference limits);
- ASD_v1_data_dictionary.csv (variable definitions, units, and reference metadata);
- ASD_v1_README.md (dataset overview and usage notes);
- ASD_v1_CHANGELOG.md (release version history);
- ASD_v1_SHA256SUMS.txt (SHA-256 checksums for integrity verification).
2.2. Results Table
2.3. Reference Limits File
2.4. De-Identification, Release Scope, and Subset Rationale
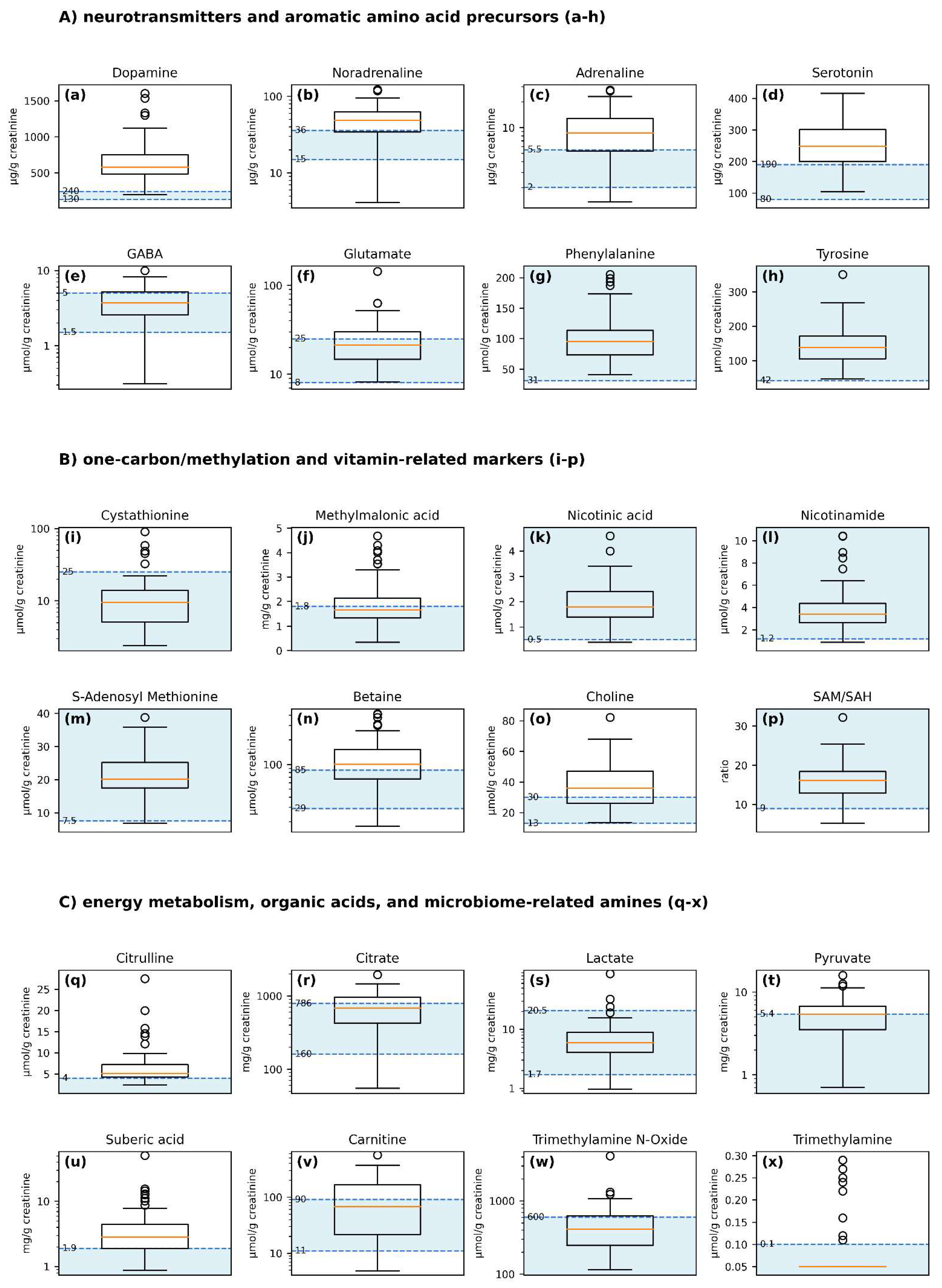
2.5. Summary Tables and Visualization
3. Methods
3.1. Urine Collection
3.2. Laboratory Measurement, Units, and Normalization
3.3. Handling of Qualified Results
3.4. Software for Figures
3.5. Ethics Approval and Informed Consent
4. Usage Notes
Author Contributions
Funding
Institutional Review Board Statement
Informed Consent Statement
Data Availability Statement
Conflicts of Interest
Abbreviations
| ASD | Autism spectrum disorder |
| GABA | γ-Aminobutyric acid |
| IQR | Interquartile range |
| LC–MS/MS | Liquid chromatography–tandem mass spectrometry |
| LOQ | Limit of quantification |
| SAM | S-adenosylmethionine |
| SAH | S-adenosylhomocysteine |
| UV/VIS | Ultraviolet–visible spectrophotometry |
References
- Slavov, V. Urinary Metabolite Panel Dataset for Bulgarian Children with ASD (N = 73; Ages 3–13), v1; Zenodo. [CrossRef]
- Slavov, V.; Traikov, L.; Ciurinskiene, S.; Tafradjiiska-Hadjiolova, R.; Kadiyska, T. Urinary Tryptophan–Kynurenine Pathway Profiling in Bulgarian Children with Autism Spectrum Disorder (ASD): Neopterin Co-Varies with Kynurenine and Quinolinic Acid. Metabolites 2026, 16, 169. [Google Scholar] [CrossRef] [PubMed]

| Characteristic | Value |
|---|---|
| Participants, n | 73 |
| Age range, years | 3–13 |
| Analytes, n | 24 |
| Data matrix dimensions (rows × columns) | 73 × 24 |
| Reporting basis | Creatinine-normalized spot urine concentrations |
| Units (as provided by laboratory) | μg/g creatinine; μmol/g creatinine; mg/g creatinine; ratio |
| Reference limits | Laboratory-provided reference intervals/decision limits (two-sided ranges or one-sided thresholds) |
| Qualified results handling | Trimethylamine: 64/73 values (87.7%) were reported as <0.1 μmol/g creatinine and were represented as LOQ/2 = 0.05 μmol/g creatinine for descriptive tabulation and visualization |
| Missing values | None (0/73 × 24) |
| De-identification | Anonymized and shuffled; no demographics or dates included in the data file |
| Analyte | Unit | Reference Limit | Median (IQR) | Below Ref n (%) | Above Ref n (%) |
|---|---|---|---|---|---|
| Dopamine | μg/g creatinine | 130–240 | 578.35 (483.42–750.03) | 0 (0.0) | 72 (98.6) |
| Noradrenaline | μg/g creatinine | 15–36 | 48.78 (34.20–62.63) | 3 (4.1) | 51 (69.9) |
| Adrenaline | μg/g creatinine | 2–5.5 | 8.69 (5.34–12.80) | 1 (1.4) | 53 (72.6) |
| Serotonin | μg/g creatinine | 80–190 | 248.20 (199.45–300.90) | 0 (0.0) | 58 (79.5) |
| GABA | μmol/g creatinine | 1.5–5 | 3.69 (2.55–5.20) | 2 (2.7) | 19 (26.0) |
| Glutamate | μmol/g creatinine | 8–25 | 21.27 (14.72–30.10) | 0 (0.0) | 22 (30.1) |
| Phenylalanine | μmol/g creatinine | >31 | 94.90 (73.10–113.70) | 0 (0.0) | 0 (0.0) |
| Tyrosine | μmol/g creatinine | >42 | 138.00 (105.30–171.40) | 0 (0.0) | 0 (0.0) |
| Cystathionine | μmol/g creatinine | <25 | 9.50 (5.10–13.90) | 0 (0.0) | 5 (6.8) |
| Methylmalonic acid | mg/g creatinine | <1.8 | 1.66 (1.33–2.14) | 0 (0.0) | 32 (43.8) |
| Nicotinic acid | μmol/g creatinine | >0.5 | 1.80 (1.40–2.40) | 1 (1.4) | 0 (0.0) |
| Nicotinamide | μmol/g creatinine | >1.2 | 3.40 (2.64–4.36) | 7 (9.6) | 0 (0.0) |
| S-Adenosyl Methionine | μmol/g creatinine | >7.5 | 20.10 (17.50–25.20) | 1 (1.4) | 0 (0.0) |
| Betaine | μmol/g creatinine | 29–85 | 100.50 (66.70–151.70) | 2 (2.7) | 42 (57.5) |
| Choline | μmol/g creatinine | 13–30 | 36.00 (26.10–47.10) | 0 (0.0) | 47 (64.4) |
| SAM/SAH | ratio | >9 | 16.10 (12.90–18.40) | 5 (6.8) | 0 (0.0) |
| Citrulline | μmol/g creatinine | <4 | 5.08 (4.30–7.19) | 0 (0.0) | 57 (78.1) |
| Citrate | mg/g creatinine | 160–786 | 683.42 (425.74–964.60) | 4 (5.5) | 29 (39.7) |
| Lactate | mg/g creatinine | 1.7–20.5 | 5.89 (4.03–8.88) | 3 (4.1) | 3 (4.1) |
| Pyruvate | mg/g creatinine | <5.4 | 5.39 (3.51–6.73) | 0 (0.0) | 35 (47.9) |
| Suberic acid | mg/g creatinine | <1.9 | 2.81 (1.89–4.44) | 0 (0.0) | 54 (74.0) |
| Carnitine | μmol/g creatinine | 11–90 | 67.10 (21.60–166.00) | 7 (9.6) | 31 (42.5) |
| Trimethylamine N-Oxide | μmol/g creatinine | <600 | 413.10 (248.40–627.40) | 0 (0.0) | 20 (27.4) |
| Trimethylamine | μmol/g creatinine | <0.1 | 0.05 (0.05–0.05) | 0 (0.0) | 9 (12.3) |
Disclaimer/Publisher’s Note: The statements, opinions and data contained in all publications are solely those of the individual author(s) and contributor(s) and not of MDPI and/or the editor(s). MDPI and/or the editor(s) disclaim responsibility for any injury to people or property resulting from any ideas, methods, instructions or products referred to in the content. |
© 2026 by the authors. Licensee MDPI, Basel, Switzerland. This article is an open access article distributed under the terms and conditions of the Creative Commons Attribution (CC BY) license.
Share and Cite
Slavov, V.; Traikov, L.; Ciurinskiene, S.; Savcheva, M.; Heine, T.; Tafradjiiska-Hadjiolova, R.; Zlatarova, A.; Tourtourikov, I.; Madzharova, D.; Kavrakova, A.; et al. Urinary Metabolite Panel Dataset for Bulgarian Children with Autism Spectrum Disorder (ASD). Data 2026, 11, 82. https://doi.org/10.3390/data11040082
Slavov V, Traikov L, Ciurinskiene S, Savcheva M, Heine T, Tafradjiiska-Hadjiolova R, Zlatarova A, Tourtourikov I, Madzharova D, Kavrakova A, et al. Urinary Metabolite Panel Dataset for Bulgarian Children with Autism Spectrum Disorder (ASD). Data. 2026; 11(4):82. https://doi.org/10.3390/data11040082
Chicago/Turabian StyleSlavov, Victor, Lubomir Traikov, Stanislava Ciurinskiene, Maria Savcheva, Till Heine, Radka Tafradjiiska-Hadjiolova, Alexandra Zlatarova, Ivan Tourtourikov, Dilyana Madzharova, Anita Kavrakova, and et al. 2026. "Urinary Metabolite Panel Dataset for Bulgarian Children with Autism Spectrum Disorder (ASD)" Data 11, no. 4: 82. https://doi.org/10.3390/data11040082
APA StyleSlavov, V., Traikov, L., Ciurinskiene, S., Savcheva, M., Heine, T., Tafradjiiska-Hadjiolova, R., Zlatarova, A., Tourtourikov, I., Madzharova, D., Kavrakova, A., & Kadiyska, T. (2026). Urinary Metabolite Panel Dataset for Bulgarian Children with Autism Spectrum Disorder (ASD). Data, 11(4), 82. https://doi.org/10.3390/data11040082

