Seasonal Trap Captures Data of Stink and Leaf-Footed Bugs in a Northern Italian Ecosystem
Abstract
1. Summary
2. Data Description
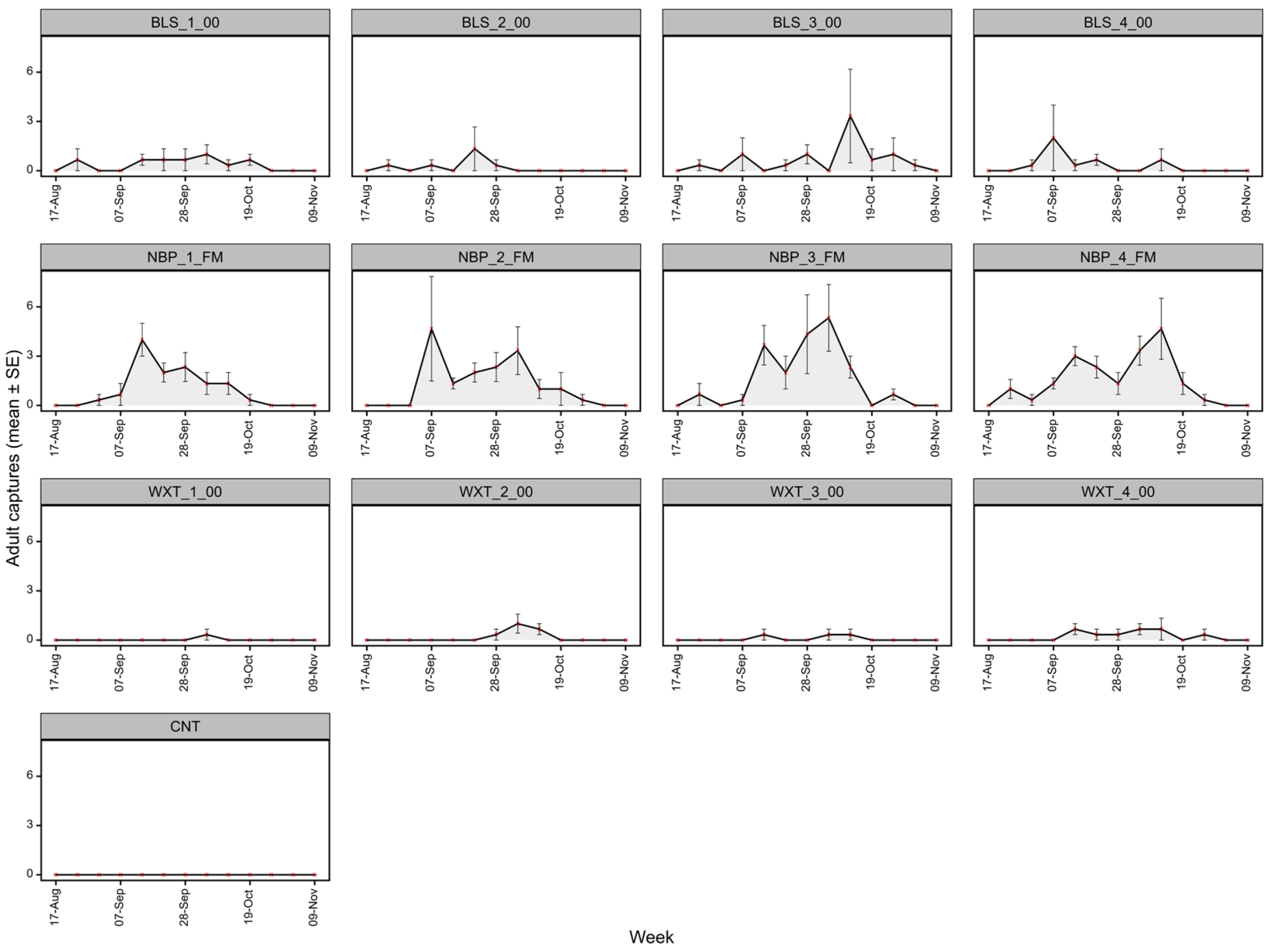
2.1. Captures
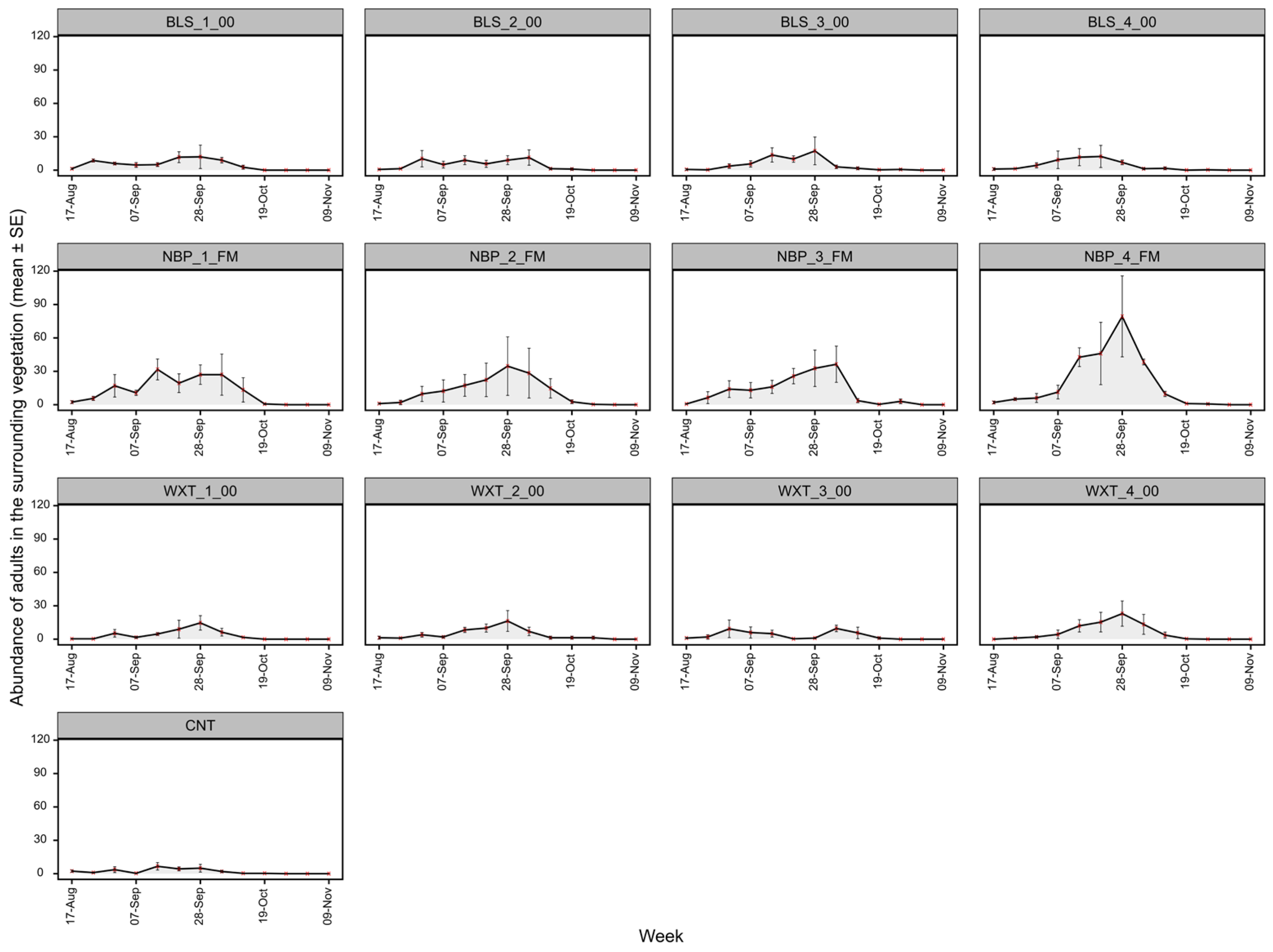
2.2. Abundance in the Surrounding Vegetation
3. Methods
3.1. Type of Dispenser
3.2. Study Site and Monitoring Data
Supplementary Materials
Author Contributions
Funding
Data Availability Statement
Acknowledgments
Conflicts of Interest
References
- Haye, T.; Gariepy, T.; Hoelmer, K.; Rossi, J.P.; Streito, J.C.; Tassus, X.; Desneux, N. Range Expansion of the Invasive Brown Marmorated Stinkbug, Halyomorpha halys: An Increasing Threat to Field, Fruit and Vegetable Crops Worldwide. J. Pest Sci. 2015, 88, 665–673. [Google Scholar] [CrossRef]
- Kriticos, D.J.; Kean, J.M.; Phillips, C.B.; Senay, S.D.; Acosta, H.; Haye, T. The Potential Global Distribution of the Brown Marmorated Stink Bug, Halyomorpha halys, a Critical Threat to Plant Biosecurity. J. Pest Sci. 2017, 90, 1033–1043. [Google Scholar] [CrossRef]
- Daher, E.; Chierici, E.; Urbani, S.; Cinosi, N.; Rondoni, G.; Servili, M.; Famiani, F.; Conti, E. Characterization of Olive Fruit Damage Induced by Invasive Halyomorpha halys. Insects 2023, 14, 848. [Google Scholar] [CrossRef] [PubMed]
- Acebes-Doria, A.L.; Morrison, W.R.; Short, B.D.; Rice, K.B.; Bush, H.G.; Kuhar, T.P.; Duthie, C.; Leskey, T.C. Monitoring and Biosurveillance Tools for the Brown Marmorated Stink Bug, Halyomorpha halys (Stål) (Hemiptera: Pentatomidae). Insects 2018, 9, 82. [Google Scholar] [CrossRef]
- Carnio, V.; Favaro, R.; Preti, M.; Angeli, S. Impact of aggregation pheromone traps on spatial distribution of Halyomorpha halys damage in apple orchards. Insects 2024, 15, 791. [Google Scholar] [CrossRef]
- Fouani, J.M.; Bonet, M.; Zaffaroni-Caorsi, V.; Nieri, R.; Verrastro, V.; Anfora, G.; Mazzoni, V. Diel vibrational activity of Halyomorpha halys and its implications for enhancing bimodal traps. Entomol. Exp. Appl. 2024, 172, 1166–1175. [Google Scholar] [CrossRef]
- Witzgall, P.; Kirsch, P.; Cork, A. Sex Pheromones and Their Impact on Pest Management. J. Chem. Ecol. 2010, 36, 80–100. [Google Scholar] [CrossRef]
- Rizvi, S.A.H.; George, J.; Reddy, G.V.P.; Zeng, X.; Guerrero, A. Latest Developments in Insect Sex Pheromone Research and Its Application in Agricultural Pest Management. Insects 2021, 12, 484. [Google Scholar] [CrossRef]
- Mori, B.A.; Evenden, M.L. Factors Affecting Pheromone-Baited Trap Capture of Male Coleophora deauratella, an Invasive Pest of Clover in Canada. J. Econ. Entomol. 2013, 106, 844–854. [Google Scholar] [CrossRef]
- Lee, D.H.; Short, B.D.; Joseph, S.V.; Bergh, J.C.; Leskey, T.C. Review of the Biology, Ecology, and Management of Halyomorpha halys (Hemiptera: Pentatomidae) in China, Japan, and the Republic of Korea. Environ. Entomol. 2013, 42, 627–641. [Google Scholar] [CrossRef]
- Giannuzzi, V.A.; Rossi, V.; Moujahed, R.; Poccia, A.; D’Archivio, F.; Rossi Magi, T.; Chierici, E.; Casoli, L.; Rondoni, G.; Conti, E. Evaluation of Lure and Dispenser Combinations for Halyomorpha halys (Hemiptera: Pentatomidae) Trapping. Insects 2025, 16, 341. [Google Scholar] [CrossRef] [PubMed]
- Hellmann, C.; Greiner, A.; Vilcinskas, A. Design of polymer carriers for optimized pheromone release in sustainable insect control strategies. Adv. Sci. 2024, 11, 2304098. [Google Scholar] [CrossRef] [PubMed]
- Khrimian, A.; Zhang, A.; Weber, D.C.; Ho, H.Y.; Aldrich, J.R.; Vermillion, K.E.; Siegler, M.A.; Shirali, S.; Guzman, F.; Leskey, T.C. Discovery of the aggregation pheromone of the brown marmorated stink bug (Halyomorpha halys) through the creation of stereoisomeric libraries of 1-bisabolen-3-ols. J. Nat. Prod. 2014, 77, 1708–1717. [Google Scholar] [CrossRef]
- Weber, D.C.; Leskey, T.C.; Walsh, G.C.; Khrimian, A. Synergy of aggregation pheromone with methyl (E, E, Z)-2, 4, 6-decatrienoate in attraction of Halyomorpha halys (Hemiptera: Pentatomidae). J. Econ. Entomol. 2014, 107, 1061–1068. [Google Scholar] [CrossRef]
- Short, B.D.; Khrimian, A.; Leskey, T.C. Pheromone-Based Decision Support Tools for Management of Halyomorpha halys in Apple Orchards: Development of a Trap-Based Treatment Threshold. J. Pest Sci. 2017, 90, 1191–1204. [Google Scholar] [CrossRef]
- Chierici, E.; Marchetti, E.; Poccia, A.; Russo, A.; Giannuzzi, V.A.; Governatori, L.; Zucchi, L.; Rondoni, G.; Conti, E. Laboratory and field efficacy of natural products against the invasive pest Halyomorpha halys and side effects on the biocontrol agent Trissolcus japonicus. Sci. Rep. 2025, 15, 4622. [Google Scholar] [CrossRef]
- Daher, E.; Cinosi, N.; Chierici, E.; Rondoni, G.; Famiani, F.; Conti, E. Field and Laboratory Efficacy of Low-Impact Commercial Products in Preventing Olive Fruit Fly, Bactrocera oleae, Infestation. Insects 2022, 13, 213. [Google Scholar] [CrossRef]
- Scaccini, D.; Fornasiero, D.; Lombardo, V.; Galli, G.; Mirandola, E.; Pozzebon, A. Application of sulfur-based products reduces Halyomorpha halys infestation and damage in pome fruit orchards. Pest Manag. Sci. 2024, 80, 6251–6261. [Google Scholar] [CrossRef]
- Tortorici, F.; Bombi, P.; Loru, L.; Mele, A.; Moraglio, S.T.; Scaccini, D.; Pozzebon, A.; Pantaleoni, R.; Tavella, L. Halyomorpha halys and its egg parasitoids Trissolcus japonicus and T. mitsukurii: The geographic dimension of the interaction. NeoBiota 2023, 85, 197–221. [Google Scholar] [CrossRef]
- Zapponi, L.; Tortorici, F.; Anfora, G.; Bardella, S.; Bariselli, M.; Benvenuto, L.; Bernardinelli, I.; Butturini, A.; Caruso, S.; Colla, R.; et al. Assessing the Distribution of Exotic Egg Parasitoids of Halyomorpha halys in Europe with a Large-Scale Monitoring Program. Insects 2021, 12, 316. [Google Scholar] [CrossRef]
- Chierici, E.; Sabbatini-Peverieri, G.; Roversi, P.F.; Rondoni, G.; Conti, E. Phenotypic plasticity in an egg parasitoid affects olfactory response to odors from the plant–host complex. Front. Ecol. Evol. 2023, 11, 1233655. [Google Scholar] [CrossRef]
- Rondoni, G.; Chierici, E.; Daher, E.; Famiani, F.; Brodeur, J.; Conti, E. How exposure to a neonicotinoid pesticide affects innate and learned close-range foraging behaviour of a classical biological control agent. Biol. Control 2024, 196, 105568. [Google Scholar] [CrossRef]
- Nielsen, A.L.; Hamilton, G.C. Life history of the invasive species Halyomorpha halys (Hemiptera: Pentatomidae) in northeastern United States. Ann. Entomol. Soc. Am. 2009, 102, 608–616. [Google Scholar] [CrossRef]
- Bakken, A.J.; Schoof, S.C.; Bickerton, M.; Kamminga, K.L.; Jenrette, J.C.; Malone, S.; Abney, M.A.; Herbert, D.A.; Reisig, D.; Kuhar, T.P.; et al. Occurrence of Brown Marmorated Stink Bug (Hemiptera: Pentatomidae) on Wild Hosts in Nonmanaged Woodlands and Soybean Fields in North Carolina and Virginia. Environ. Entomol. 2015, 44, 1011–1021. [Google Scholar] [CrossRef] [PubMed]
- Tamanini, L. Tabelle per la determinazione dei più comuni Eterotteri italiani (Heteroptera). Mem. Soc. Entomol. Ital. 1989, 67, 359–471. (In Italian) [Google Scholar]
- Derjanschi, V.V.; Péricart, J. Hémiptères Pentatomoidea Euro-Méditerranéens. Volume 1. Généralités. Systématique: Prémiere Partie. Faune Fr. 2005, 90, 496. [Google Scholar]
- Wyniger, D.; Kment, P. Key for the separation of Halyomorpha halys (Stål) from similar-appearing pentatomids (Insecta: Heteroptera: Pentatomidae) occurring in Central Europe, with new Swiss records. Mitt. Schweiz. Entomol. Ges. 2010, 83, 261–270. [Google Scholar]
- Wickham, H. ggplot2: Elegant Graphics for Data Analysis, R package version 3.4.4; Springer: New York, NY, USA, 2016; Available online: https://CRAN.R-project.org/package=ggplot2 (accessed on 30 November 2023).
- Wickham, H.; François, R.; Henry, L.; Müller, K. Dplyr: A Grammar of Data Manipulation; R Package Version 1.1.4; Springer: New York, NY, USA, 2025; Available online: https://CRAN.R-project.org/package=dplyr (accessed on 30 November 2023).












| Treatment | Dispenser Type | PHER/MDT | Adjuvant |
|---|---|---|---|
| CNT | Control | - | - |
| BLS_1_00 | Blister Pack | 10 mg/125 mg | None |
| BLS_2_00 | Blister Pack | 15 mg/225 mg | None |
| BLS_3_00 | Blister Pack | 20 mg/200 mg | None |
| BLS_4_00 | Blister Pack | 20 mg/300mg | None |
| WXT_1_00 | Wax Tablet | 10 mg/125 mg | None |
| WXT_2_00 | Wax Tablet | 15 mg/225 mg | None |
| WXT_3_00 | Wax Tablet | 20 mg/200 mg | None |
| WXT_4_00 | Wax Tablet | 20 mg/300 mg | None |
| NBP_1_FM | Non-Biodegradable Polymer | 10 mg/125 mg | Fatty acid Methyl ester |
| NBP_2_FM | Non-Biodegradable Polymer | 15 mg/225 mg | Fatty acid Methyl ester |
| NBP_3_FM | Non-Biodegradable Polymer | 20 mg/200 mg | Fatty acid Methyl ester |
| NBP_4_FM | Non-Biodegradable Polymer | 20 mg/300 mg | Fatty acid Methyl ester |
| Treatment | Dispenser Type | Adjuvant |
|---|---|---|
| CNT | Control | - |
| BLS_SL_00 | Blister Pack | None |
| BLS_SL_MO | Blister Pack | Mineral Oil |
| BLS_SL_FI | Blister Pack | Fatty acid Isopropyl ester |
| BLS_SL_FM | Blister Pack | Fatty acid Methyl ester |
| BLS_DL_00 | Blister Pack | None |
| BLS_DL_MO | Blister Pack | Mineral Oil |
| BLS_DL_FI | Blister Pack | Fatty acid Isopropyl ester |
| BLS_DL_FM | Blister Pack | Fatty acid Methyl ester |
| BIP_SL_00 | Bio-Polymer | None |
| BIP_SL_FM | Bio-Polymer | Fatty acid Methyl ester |
| BIP_SL_ML | Bio-Polymer | Fatty acid Methyl ester with Lignocellulosic Flour |
| BIP_DL_00 | Bio-Polymer | None |
| BIP_DL_FM | Bio-Polymer | Fatty acid Methyl ester |
| BIP_DL_ML | Bio-Polymer | Fatty acid Methyl ester with Lignocellulosic Flour |
| BIP_DL_MLM | Bio-Polymer | Fatty acid Methyl ester with Lignocellulosic Flour (MDT) |
Disclaimer/Publisher’s Note: The statements, opinions and data contained in all publications are solely those of the individual author(s) and contributor(s) and not of MDPI and/or the editor(s). MDPI and/or the editor(s) disclaim responsibility for any injury to people or property resulting from any ideas, methods, instructions or products referred to in the content. |
© 2025 by the authors. Licensee MDPI, Basel, Switzerland. This article is an open access article distributed under the terms and conditions of the Creative Commons Attribution (CC BY) license.
Share and Cite
Giannuzzi, V.A.; Rossi, V.; Moujahed, R.; Poccia, A.; D’Archivio, F.; Rossi Magi, T.; Chierici, E.; Casoli, L.; Rondoni, G.; Conti, E. Seasonal Trap Captures Data of Stink and Leaf-Footed Bugs in a Northern Italian Ecosystem. Data 2026, 11, 3. https://doi.org/10.3390/data11010003
Giannuzzi VA, Rossi V, Moujahed R, Poccia A, D’Archivio F, Rossi Magi T, Chierici E, Casoli L, Rondoni G, Conti E. Seasonal Trap Captures Data of Stink and Leaf-Footed Bugs in a Northern Italian Ecosystem. Data. 2026; 11(1):3. https://doi.org/10.3390/data11010003
Chicago/Turabian StyleGiannuzzi, Vito Antonio, Valeria Rossi, Rihem Moujahed, Adriana Poccia, Florinda D’Archivio, Tiziano Rossi Magi, Elena Chierici, Luca Casoli, Gabriele Rondoni, and Eric Conti. 2026. "Seasonal Trap Captures Data of Stink and Leaf-Footed Bugs in a Northern Italian Ecosystem" Data 11, no. 1: 3. https://doi.org/10.3390/data11010003
APA StyleGiannuzzi, V. A., Rossi, V., Moujahed, R., Poccia, A., D’Archivio, F., Rossi Magi, T., Chierici, E., Casoli, L., Rondoni, G., & Conti, E. (2026). Seasonal Trap Captures Data of Stink and Leaf-Footed Bugs in a Northern Italian Ecosystem. Data, 11(1), 3. https://doi.org/10.3390/data11010003

