Photodissociation Processes Involving the SiH+ Molecular Ion: New Datasets for Modeling
Abstract
1. Introduction
2. Theory
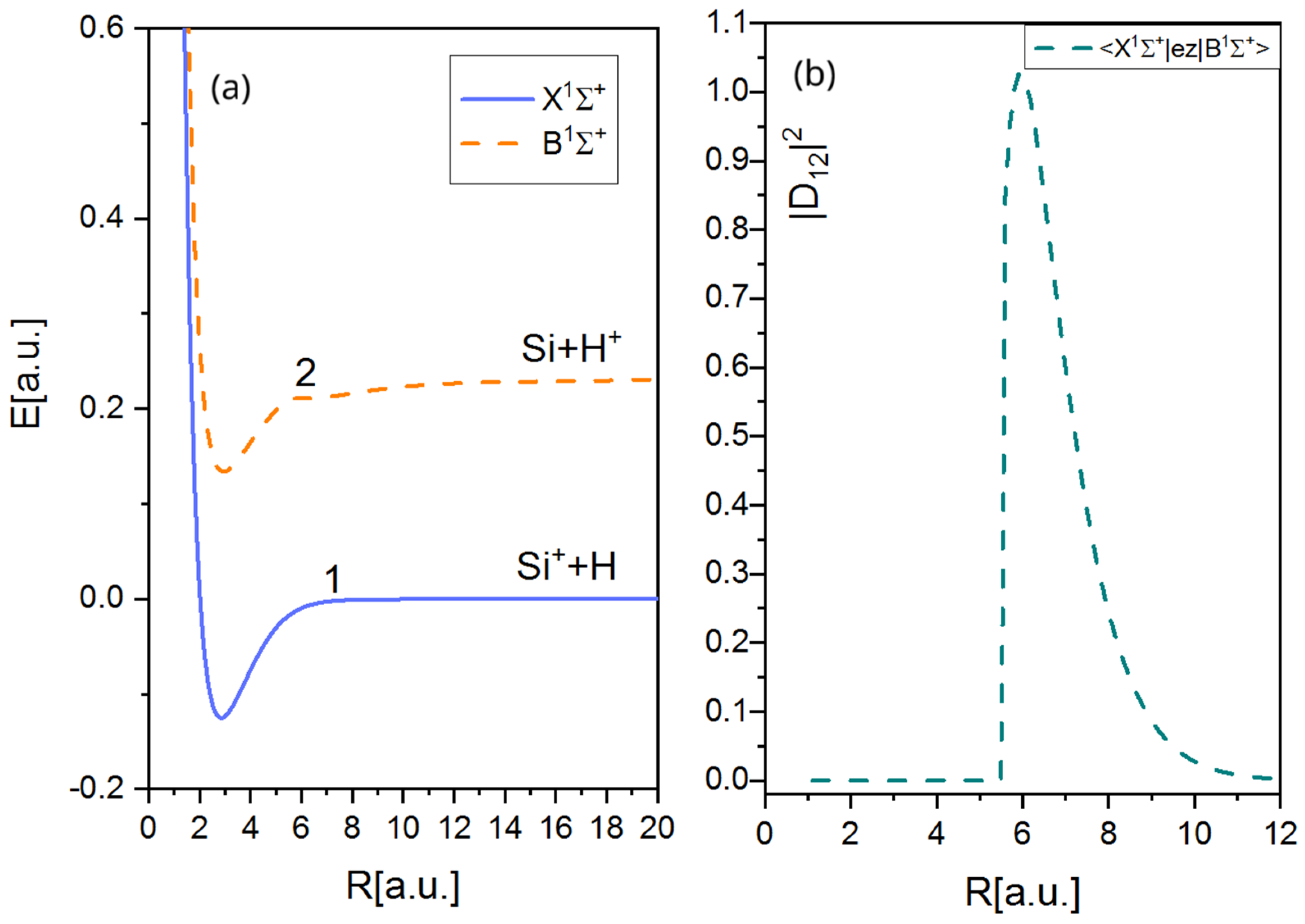
2.1. The Method
2.2. The Spectral Characteristics
3. Results and Discussion
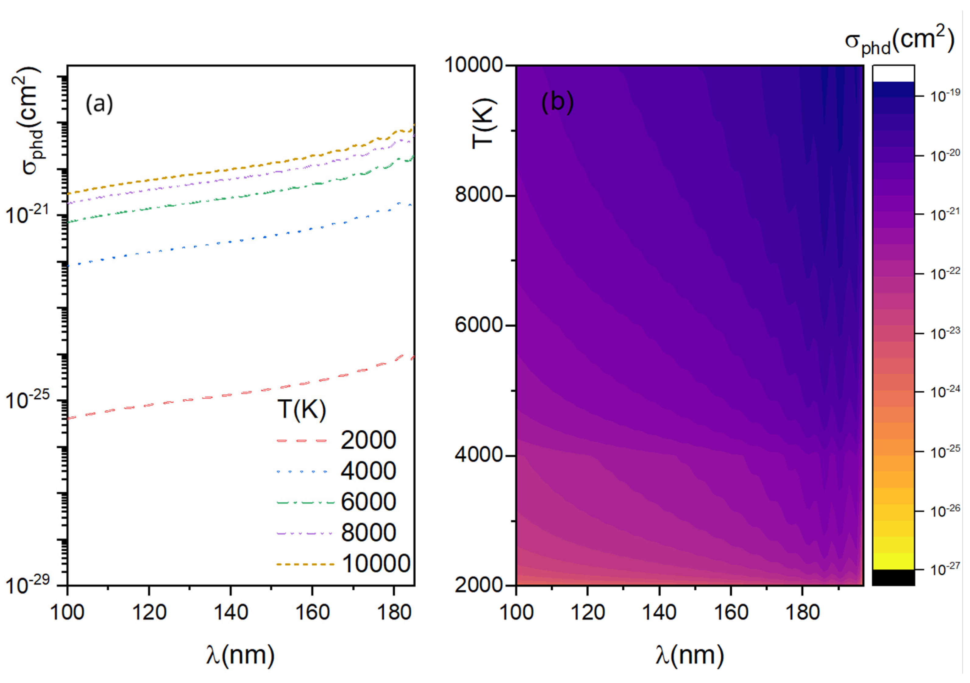
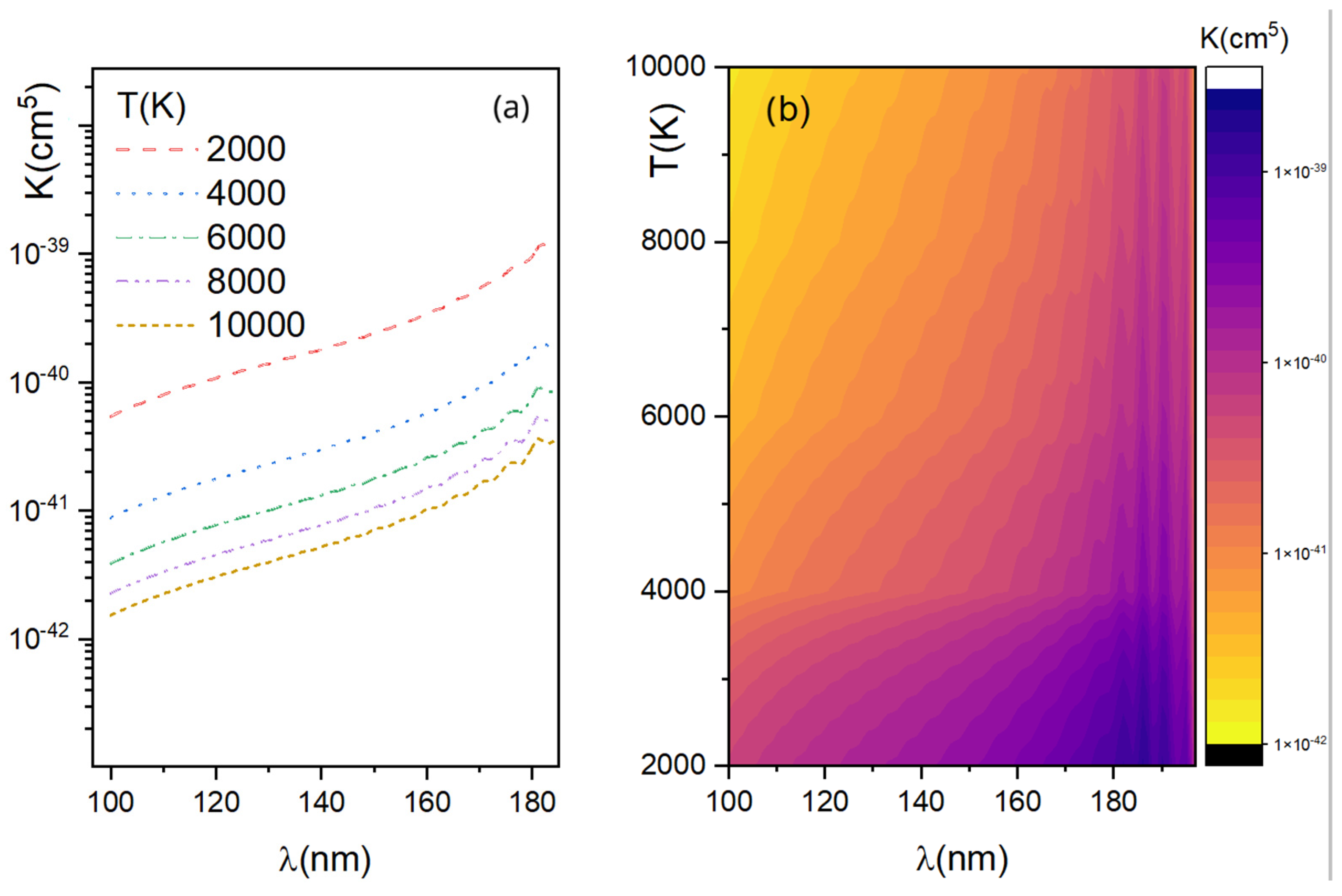
3.1. The Obtained Quantities
3.2. Analytical Fitting of the Data
3.3. Astrophysical Importance
Radiation Field and Photodissociation Rates
3.4. Laboratory Importance
3.5. Further Study
3.6. Development
4. Summary
Supplementary Materials
Author Contributions
Funding
Institutional Review Board Statement
Informed Consent Statement
Data Availability Statement
Acknowledgments
Conflicts of Interest
References
- Hauschildt, P.H.; Baron, E. A 3D radiative transfer framework. VI. PHOENIX/3D example applications. Astron. Astrophys. 2010, 509, A36. [Google Scholar] [CrossRef]
- Ferland, G.J.; Chatzikos, M.; Guzmán, F.; Lykins, M.L.; van Hoof, P.A.M.; Williams, R.J.R.; Abel, N.P.; Badnell, N.R.; Keenan, F.P.; Porter, R.L.; et al. The 2017 Release Cloudy. Rev. Mex. Astron. Astrofis. 2017, 53, 385. [Google Scholar] [CrossRef]
- Albert, D.; Antony, B.; Ba, Y.A.; Babikov, Y.L.; Bollard, P.; Boudon, V.; Delahaye, F.; Del Zanna, G.; Dimitrijević, M.S.; Drouin, B.J.; et al. A Decade with VAMDC: Results and Ambitions. Atoms 2020, 8, 76. [Google Scholar] [CrossRef]
- Srećković, V.A.; Ignjatović, L.M.; Dimitrijević, M.S. Photodestruction of Diatomic Molecular Ions: Laboratory and Astrophysical Application. Molecules 2021, 26, 151. [Google Scholar] [CrossRef] [PubMed]
- Zettergren, H.; Domaracka, A.; Schlathölter, T.; Bolognesi, P.; Díaz-Tendero, S.; Łabuda, M.; Tosic, S.; Maclot, S.; Johnsson, P.; Steber, A.; et al. Roadmap on dynamics of molecules and clusters in the gas phase. Eur. Phys. J. D 2021, 75, 152. [Google Scholar] [CrossRef]
- Gordon, I.E.; Rothman, L.S.; Hargreaves, R.J.; Hashemi, R.; Karlovets, E.V.; Skinner, F.M.; Conway, E.K.; Hill, C.; Kochanov, R.V.; Tan, Y.; et al. The HITRAN2020 molecular spectroscopic database. J. Quant. Spectrosc. Radiat. Transf. 2022, 277, 107949. [Google Scholar] [CrossRef]
- Sansone, G.; Kelkensberg, F.; Pérez-Torres, J.F.; Morales, F.; Kling, M.F.; Siu, W.; Ghafur, O.; Johnsson, P.; Swoboda, M.; Benedetti, E.; et al. Electron localization following attosecond molecular photoionization. Nature 2010, 465, 763–766. [Google Scholar] [CrossRef]
- Achar, S.K.; Keith, J.A. Small data machine learning approaches in molecular and materials science. Chem. Rev. 2024, 124, 13571–13573. [Google Scholar] [CrossRef]
- Djuissi, E.; Bogdan, R.; Abdoulanziz, A.; Pop, N.; Iacob, F.; Clément, C.; Epée, M.D.E.; Motapon, O.; Laporta, V.; Mezei, J.Z.; et al. Electron driven reactive processes involving H2+ and HD+ molecular cations in the Early Universe. Rom. Astron. J. 2020, 30, 101. [Google Scholar] [CrossRef]
- Iacob, F.; Pop, N.; Mezei, J.Z.; Epée, M.D.E.; Motapon, O.; Niyonzima, S.; Laporta, V.; Schneider, I.F. Recombination and excitation of molecular cations with electrons: Application to H2+, BeD+ and BeT+. AIP Conf. Proc. 2019, 2071, 020007. [Google Scholar]
- Srećković, V.A.; Ignjatović, L.M.; Kolarski, A.; Mijić, Z.R.; Dimitrijević, M.S.; Vujčić, V. Data for Photodissociation of Some Small Molecular Ions Relevant for Astrochemistry and Laboratory Investigation. Data 2022, 7, 129. [Google Scholar] [CrossRef]
- Samukawa, S.; Hori, M.; Rauf, S.; Tachibana, K.; Bruggeman, P.; Kroesen, G.; Whitehead, J.C.; Murphy, A.B.; Gutsol, A.F.; Starikovskaia, S. The 2012 Plasma Roadmap. J. Phys. D Appl. Phys. 2012, 45, 253001. [Google Scholar] [CrossRef]
- Vázquez-Carson, S.F.; Sun, Q.; Dai, J.; Mitra, D.; Zelevinsky, T. Direct laser cooling of calcium monohydride molecules. New J. Phys. 2022, 24, 083006. [Google Scholar] [CrossRef]
- Iacob, F. On the geometric quantization of the ro-vibrational motion of homonuclear diatomic molecules. Phys. Lett. A 2020, 384, 126888. [Google Scholar] [CrossRef]
- Brown, K.R.; Khanyile, N.B.; Rugango, R.; Shu, G.; Calvin, A. Single Molecular Ion Spectroscopy: Towards Precision Measurements on CaH+. In Proceedings of the 71st International Symposium on Molecular Spectroscopy, Champaign, IL, USA, 20–24 June 2016; p. TD09. [Google Scholar]
- Qian, L.; Woods, T.N. Solar flare effects on the thermosphere and ionosphere. In Upper Atmosphere Dynamics and Energetics; American Geophysical Union: Washington, DC, USA, 2021; pp. 253–274. [Google Scholar] [CrossRef]
- Pop, N.; Iacob, F.; Niyonzima, S.; Abdoulanziz, A.; Laporta, V.; Reiter, D.; Schneider, I.F.; Mezei, J.Z. Reactive collisions between electrons and BeT+: Complete set of thermal rate coefficients up to 5000 K. At. Data Nucl. Data Tables 2021, 139, 101414. [Google Scholar] [CrossRef]
- Milosavljević, A.R.; Nicolas, C.; Lemaire, J.; Dehon, C.; Thissen, R.; Bizau, J.-M.; Réfrégiers, M.; Nahona, L.; Giuliani, A. Photoionization of a protein isolated in vacuo. Phys. Chem. Chem. Phys. 2011, 13, 15432. [Google Scholar] [CrossRef] [PubMed]
- Quitián-Lara, H.M.; Fantuzzi, F.; Mason, N.J.; Boechat-Roberty, H.M. Decoding the molecular complexity of the solar-type protostar NGC 1333 IRAS 4A. Mon. Not. R. Astron. Soc. 2024, 527, 10294. [Google Scholar] [CrossRef]
- van Dishoeck, E.F.; Black, J.H. The Photodissociation and Chemistry of Interstellar CO. Astrophys. J. 1988, 334, 771. [Google Scholar] [CrossRef]
- van Dishoeck, E.F.; Visser, R. Molecular photodissociation. arXiv 2011, arXiv:1106.3917. [Google Scholar] [CrossRef]
- Öberg, K.I. Photochemistry and Astrochemistry: Photochemical Pathways to Interstellar Complex Organic Molecules. Chem. Rev. 2016, 116, 9631–9663. [Google Scholar] [CrossRef]
- Heays, A.N.; Bosman, A.D.; van Dishoeck, E.F. Photodissociation and photoionisation of atoms and molecules of astrophysical interest. Astron. Astrophys. 2017, 602, A105. [Google Scholar] [CrossRef]
- Yang, Y.K.; Su, X.G.; Wang, K.; Cheng, Y.; Nan, Q.W.; Wang, Z.; Yeager, D.L.; Wu, Y.; Wang, J.G.; Wang, K.D.; et al. Photodissociation dynamics of SiH+: Rovibrationally resolved Feshbach resonances mediated by coupled excited states in the ultraviolet region. Phys. Rev. A 2025, 111, 013118. [Google Scholar] [CrossRef]
- Singh, P.D.; Vanlandingham, F.G. Line positions and oscillator strengths of rotation-vibration band of possible interstellar SiH and SiH+. Astron. Astrophys. 1978, 66, 87. [Google Scholar]
- Millar, T.J. Silicon Chemistry in Dense Clouds. Astrophys. Space Sci. 1980, 72, 509. [Google Scholar] [CrossRef]
- van der Tak, F.F.S.; Lique, F.; Faure, A.; Black, J.H.; van Dishoeck, E.F. The Leiden Atomic and Molecular Database (LAMDA): Current Status, Recent Updates, and Future Plans. Atoms 2020, 8, 15. [Google Scholar] [CrossRef]
- Yurchenko, S.N.; Sinden, F.; Lodi, L.; Hill, C.; Gorman, M.N.; Tennyson, J. ExoMol line lists XXIV: A new hot line list for silicon monohydride, SiH. Mon. Not. R. Astron. Soc. 2018, 473, 5324. [Google Scholar] [CrossRef]
- Stancil, P.C.; Kirby, K.; Sannigrahi, A.B.; Buenker, R.J.; Hirsch, G.; Gu, J.-P. The Photodissociation of SiH+ in Interstellar Clouds and Stellar Atmospheres. Astrophys. J. 1997, 486, 574. [Google Scholar] [CrossRef][Green Version]
- De Almeida, A.; Singh, P. Predictions on finding the SiH+ and SiH in interstellar space. Astrophys. Space Sci. 1978, 56, 415. [Google Scholar] [CrossRef]
- Li, C.; Li, Y.; Ji, Z.; Qiu, X.; Lai, Y.; Wei, J.; Zhao, Y.; Deng, L.; Chen, Y.; Liu, J. Candidates for direct laser cooling of diatomic molecules with the simplest 1Σ–1Σ electronic system. Phys. Rev. A 2018, 97, 062501. [Google Scholar] [CrossRef]
- Mosnier, J.P.; Kennedy, E.T.; van Kampen, P.; Cubaynes, D.; Guilbaud, S.; Sisourat, N.; Puglisi, A.; Carniato, S.; Bizau, J.-M. Inner-shell photoexcitations as probes of the molecular ions CH+, OH+, and SiH+: Measurements and theory. Phys. Rev. A 2016, 93, 061401. [Google Scholar] [CrossRef]
- Giuliani, A.; Milosavljević, A.R.; Canon, F.; Nahon, L. Contribution of synchrotron radiation to photoactivation studies of biomolecular ions in the gas phase. Mass Spectrom. Rev. 2014, 33, 424. [Google Scholar] [CrossRef] [PubMed]
- Doménech, J.L.; Schlemmer, S.; Asvany, O. Accurate Frequency Determination of Vibration-Rotation and Rotational Transitions of SiH+. Astrophys. J. 2017, 849, 60. [Google Scholar] [CrossRef]
- Zhao, J.; Zeng, H. Study on the spectroscopic data and vibrational levels of the ground SiH+ molecular ion. Spectrosc. Spectr. Anal. 2014, 34, 3192. [Google Scholar] [CrossRef]
- Marković, H.D.; Kaleris, K.; Papadogiannis, N.A.; Petrović, V. Comparative analytical and numerical investigation of the plasma density in atmospheric air generated by nanosecond laser pulses. Laser Phys. Lett. 2024, 21, 033001. [Google Scholar] [CrossRef]
- Delibašić-Marković, H.S.; Petrović, V.M.; Petrović, I.D. Influence of Coulomb effects on electron dynamics in orthogonally polarized two-color laser fields. Results Phys. 2025, 68, 108093. [Google Scholar] [CrossRef]
- Agúndez, M.; Wakelam, V. Chemistry of Dark Clouds: Databases, Networks, and Models. Chem. Rev. 2013, 113, 8710. [Google Scholar] [CrossRef]
- Glover, S.C.O.; Clark, P.C. Approximations for modelling CO chemistry in giant molecular clouds. Mon. Not. R. Astron. Soc. 2012, 421, 116. [Google Scholar] [CrossRef]
- Mihajlov, A.; Srećković, V.; Ignjatović, L.; Dimitrijević, M. Atom-Rydberg-atom chemi-ionization processes in solar and DB white-dwarf atmospheres in the presence of (n–n’)-mixing channels. Mon. Not. R. Astron. Soc. 2016, 458, 2215–2220. [Google Scholar] [CrossRef]
- Mihajlov, A.; Srećković, V.; Ignjatović, L.M.; Klyucharev, A. The Chemi-Ionization Processes in Slow Collisions of Rydberg Atoms with Ground State Atoms: Mechanism and Applications. J. Clust. Sci. 2012, 23, 47. [Google Scholar] [CrossRef]
- Srećković, V.; Ignjatović, L.; Jevremović, D.; Vujčić, V.; Dimitrijević, M. Radiative and Collisional Molecular Data and Virtual Laboratory Astrophysics. Atoms 2017, 5, 31. [Google Scholar] [CrossRef]
- Crovisier, J.; Leech, K.; Bockelée-Morvan, D.; Brooke, T.Y.; Hanner, M.S.; Altieri, B.; Keller, H.U.; Lellouch, E. The spectrum of comet Hale-Bopp (C/1995 O1) observed with the infrared space observatory at 2.9 astronomical units from the sun. Science 1997, 275, 1904. [Google Scholar] [CrossRef]
- Irvine, W.M.; Dickens, J.E.; Lovell, A.J.; Schloerb, F.P.; Senay, M.; Bergin, E.A.; Jewitt, D.; Matthews, H.E. Chemistry in cometary comae. Faraday Discuss. 1998, 109, 475. [Google Scholar] [CrossRef] [PubMed]
- van Dishoeck, E.F.; Jonkheid, B.; van Hemert, M.C. Photoprocesses in protoplanetary disks. arXiv 2008, arXiv:0806.0088. [Google Scholar] [CrossRef] [PubMed]
- Tielens, A.G.G.M.; Hollenbach, D. Photodissociation regions. II. A model for the Orion photodissociation region. Astrophys. J. 1985, 291, 747. [Google Scholar] [CrossRef]
- van Dishoeck, E.F.; Black, J.H. The excitation of interstellar C2. Astrophys. J. 1982, 258, 533. [Google Scholar] [CrossRef]
- Gabriel, O.; Kirner, S.; Klick, M.; Stannowski, B.; Schlatmann, R. Plasma monitoring and PECVD process control in thin film silicon-based solar cell manufacturing. EPJ Photovolt. 2014, 5, 55202. [Google Scholar] [CrossRef]
- Vujčić, V.; Jevremović, D.; Mihajlov, A.; Ignjatović, L.M.; Srećković, V.A.; Dimitrijević, M.S.; Malović, M. MOL-D: A Collisional Database and Web Service within the Virtual Atomic and Molecular Data Center. J. Astrophys. Astron. 2015, 36, 693–703. [Google Scholar] [CrossRef]
- Baiano, C.; Lupi, J.; Tasinato, N.; Puzzarini, C.; Barone, V. The Role of State-of-the-Art Quantum-Chemical Calculations in Astrochemistry: Formation Route and Spectroscopy of Ethanimine as a Paradigmatic Case. Molecules 2020, 25, 2873. [Google Scholar] [CrossRef]
- Puzzarini, C. Gas-phase Chemistry in the Interstellar Medium: The Role of Laboratory Astrochemistry. Front. Astron. Space Sci. 2022, 8, 811342. [Google Scholar] [CrossRef]




| 100 | −200.194 | 90.7844 | −11.4763 |
| 110 | −200.498 | 91.0462 | −11.5121 |
| 120 | −198.356 | 89.9434 | −11.3617 |
| 130 | −195.859 | 88.6491 | −11.1867 |
| 140 | −232.501 | 108.653 | −13.8974 |
| 150 | −233.995 | 109.533 | −14.0158 |
| 160 | −234.088 | 109.661 | −14.0318 |
| 170 | −233.496 | 109.43 | −13.998 |
| 180 | −236.571 | 111.195 | −14.2302 |
| 190 | −249.407 | 118.105 | −15.1371 |
| 195 | −257.007 | 121.971 | −15.6338 |
| 100 | −20.6474 | −9.03377 | 0.93579 |
| 110 | −20.4778 | −9.03016 | 0.934951 |
| 120 | −20.4994 | −8.95449 | 0.925523 |
| 130 | −20.4884 | −8.89549 | 0.917051 |
| 140 | −20.4885 | −8.84382 | 0.911691 |
| 150 | −20.5493 | −8.74374 | 0.899024 |
| 160 | −20.6023 | −8.63835 | 0.885957 |
| 170 | −20.7367 | −8.47388 | 0.866164 |
| 180 | −21.8542 | −7.77415 | 0.778526 |
| 190 | −27.3922 | −4.83864 | 0.410436 |
| 195 | −32.0192 | −2.59088 | 0.133176 |
Disclaimer/Publisher’s Note: The statements, opinions and data contained in all publications are solely those of the individual author(s) and contributor(s) and not of MDPI and/or the editor(s). MDPI and/or the editor(s) disclaim responsibility for any injury to people or property resulting from any ideas, methods, instructions or products referred to in the content. |
© 2025 by the authors. Licensee MDPI, Basel, Switzerland. This article is an open access article distributed under the terms and conditions of the Creative Commons Attribution (CC BY) license (https://creativecommons.org/licenses/by/4.0/).
Share and Cite
Srećković, V.A.; Delibašić-Marković, H.; Ignjatović, L.M.; Petrović, V.; Vujčić, V. Photodissociation Processes Involving the SiH+ Molecular Ion: New Datasets for Modeling. Data 2025, 10, 185. https://doi.org/10.3390/data10110185
Srećković VA, Delibašić-Marković H, Ignjatović LM, Petrović V, Vujčić V. Photodissociation Processes Involving the SiH+ Molecular Ion: New Datasets for Modeling. Data. 2025; 10(11):185. https://doi.org/10.3390/data10110185
Chicago/Turabian StyleSrećković, V. A., H. Delibašić-Marković, L. M. Ignjatović, V. Petrović, and V. Vujčić. 2025. "Photodissociation Processes Involving the SiH+ Molecular Ion: New Datasets for Modeling" Data 10, no. 11: 185. https://doi.org/10.3390/data10110185
APA StyleSrećković, V. A., Delibašić-Marković, H., Ignjatović, L. M., Petrović, V., & Vujčić, V. (2025). Photodissociation Processes Involving the SiH+ Molecular Ion: New Datasets for Modeling. Data, 10(11), 185. https://doi.org/10.3390/data10110185

