Next Article in Journal
Photodissociation Processes Involving the SiH+ Molecular Ion: New Datasets for Modeling
Previous Article in Journal
Survey Data on the Knowledge, Attitudes, and Practices of Patients Attending the Diabetes Control Program in a Network of Health Institutions in Cali, Colombia
 
 
Font Type:
Arial Georgia Verdana
Font Size:
Aa Aa Aa
Line Spacing:
Column Width:
Background:
Article

Resilience of Scientific Collaboration Networks in Young Universities Based on Bibliometric and Network Analysis

by
Oleksandr Kuchanskyi
1,2,
Yurii Andrashko
3,
Andrii Biloshchytskyi
4,5,*,
Aidos Mukhatayev
6,
Svitlana Biloshchytska
1,5,* and
Firuza Numanova
7
1
School of Artificial Intelligence and Data Science, Astana IT University, Astana 010000, Kazakhstan
2
Department of Information Control Systems and Technologies, Uzhhorod National University, 88000 Uzhhorod, Ukraine
3
Department of System Analysis and Optimization Theory, Uzhhorod National University, 88000 Uzhhorod, Ukraine
4
Department of Administration, Astana IT University, Astana 010000, Kazakhstan
5
Department of Information Technology, Kyiv National University of Construction and Architecture, 03037 Kyiv, Ukraine
6
School of General Education Disciplines, Astana IT University, Astana 010000, Kazakhstan
7
Higher School of Economics and Management, Turan University, Almaty 050001, Kazakhstan
*
Authors to whom correspondence should be addressed.
Data 2025, 10(11), 184; https://doi.org/10.3390/data10110184
Submission received: 6 October 2025 / Revised: 31 October 2025 / Accepted: 5 November 2025 / Published: 7 November 2025

Abstract

The resilience of scientific collaboration networks is a key factor in ensuring the long-term academic development of young universities. This study examines the resilience of scientific collaboration networks among young universities based on bibliometric and network analysis. Based on bibliometric data from the open database OpenAlex (as of September 2025, the database contains over 271 million scientific publications and 105 million authors), weighted undirected co-authorship graphs were constructed for four young universities from China, Kazakhstan, and the United Kingdom: Astana IT University, AITU (founded in 2019), Nazarbayev University, NU (2010), University of Suffolk, US (2007), and ShanghaiTech University, STU (2013). Key resilience indicators were calculated, including clustering coefficients, assortativity, modularity, and the dynamics of the largest connected component under different node removal scenarios. The study revealed that NU and STU have a highly resilient structure of scientific collaboration. AITU has been characterized by dynamic development and increasing resilience, particularly after 2023. The US network is fragmented and dependent on a small group of core researchers. However, despite its limited scale, it demonstrates a certain stability in preserving its core. Therefore, recommendations for the development of young universities have been formulated based on the research results. The findings highlight the importance of fostering horizontal scientific ties, deepening international cooperation, and developing long-term institutional strategies for young universities.

1. Introduction

The problem of studying international scientific collaboration in research projects and its impact on the development of research institutions and universities, as well as on the science and economy of states, has been relevant for more than 70 years. As early as the 1960s, the Organization for Economic Cooperation and Development (OECD) began collecting and analyzing data related to research projects and scientific collaboration [1]. Similarly, individual research institutions and universities carried out the collection and analysis of relevant data [2]. In 2021, the United Nations Educational, Scientific, and Cultural Organization (UNESCO) published a report analyzing the current state of science worldwide [3]. It was noted that, overall, there is a global trend toward the internationalization of scientific research. In particular, the number of published articles in high-ranking journals with authors affiliated with different countries is increasing [4]. Interestingly, the geographical distances between the cities where the articles were published and the locations of author affiliations grew between 2000 and 2010 [5]. Despite this, an analysis of the global presence of leading countries in each scientific field indicates the existence of a “shrinking world” phenomenon in the context of international scientific collaboration over the past 50 years [6]. It is important to understand how the development of inter-university and international scientific collaboration influences the resilience of a university.
It is well known that the dynamics of collaboration development in universities, including inter-university and international collaboration, can be studied through the analysis of scientific collaboration networks and co-authorship networks [7]. In the classical form, co-authorship networks represent individual researchers as nodes and co-authored scientific publications as edges. Scientific collaboration networks are also considered through multilayer network models, which enable the accounting for the strength of co-authorship ties and the sequence of collaboration [8]. Of particular interest for research are collaboration networks that are actively expanding, especially in young universities. Moreover, young universities are characterized by a high rate of staff turnover. Accordingly, the accumulated potential of scientific interaction can either rapidly deteriorate or, conversely, strengthen due to new employees or connections (nodes in the collaboration network). Thus, in addition to the personal characteristics of researchers, who serve as nodes in the collaboration network, the resilience of their interactions with other researchers is of critical importance. For the purposes of this study, we define a young university as one established no more than two decades ago. Naturally, this classification is conditional. However, such universities may exhibit immaturity and low resilience in terms of scientific ties, which are still in the process of active formation. The complexity of analyzing collaboration networks of such universities is also linked to the insufficiency of available data for drawing reliable conclusions. Furthermore, changes in organizational structures and high staff turnover may occur. To ensure the sustainable development of such universities and to support rational strategic decision-making, it is important to understand the characteristics of collaboration networks. It is also crucial to analyze the dynamics of resilience changes within these networks and to identify the factors that influence this resilience. To address this task, it is necessary to properly organize the collection, processing, and analysis of large volumes of scientometric data.

2. Literature Review and Problem Statement

It is well established that scientific collaboration between universities, particularly at the international level, is a major factor in increasing the efficiency of research and fostering the expansion of academic networks. It has been demonstrated that articles written in international co-authorship are generally cited more frequently [9,10]. In other words, scientific articles produced in collaboration with international partners are more likely to have a greater impact than those published within the framework of national collaboration [11,12,13]. After normalizing citation counts across fields of knowledge [14], it has been shown that this trend is observed in all disciplines [15]. In these studies, the primary focus was on researcher affiliations. However, there was no separate analysis of whether the obtained results depend on other characteristics of researchers, such as the presence of multiple affiliations or the gender of the authors. It is known that the gender composition of article authors is related to the intensity of citation, which in turn can affect researcher productivity [16]. Furthermore, the study by Kwiek and Roszka demonstrated that men are more likely to participate in international collaboration than women [17]. The conclusions of that study were based on the analysis of 25,000 Polish professors. On the other hand, the question of how established scientific ties influence the resilience of the entire scientific collaboration network remains understudied.
Active international scientific collaboration is associated with the increasing prestige of universities. Conversely, researchers affiliated with prestigious universities tend to achieve more significant scientific results. Publications by such researchers are more frequently cited by other scholars [18]. At the same time, interoperability plays an important role in maintaining a high degree of internationalization in scientific research. Universities with a broad range of research topics are more inclined to establish collaboration with other universities. Differences in research themes often hinder the establishment of close cooperation between universities. However, this also creates new opportunities for the complementarity of knowledge, which contributes to obtaining more meaningful scientific results [19]. For this purpose, scientific projects are established, and inter-university collaboration is formed. The foundation of such projects lies in researchers with high publication activity in the relevant scientific field, who can be selected to carry out specific work packages of the project [20].
To compute quantitative assessments of the level of international collaboration of researchers and universities, specific indices are used. In their work, Cardoso et al. proposed the i-index, which considers the number of researchers’ scientific connections with scholars from other countries within the collaboration network [21]. However, this study did not examine the mechanisms underlying the formation of such collaborations, particularly in terms of the scientometric evaluation of researchers. To evaluate achievements related to international scientific collaboration, Wagner and Jonkers introduced the openness index, which combines indicators of joint scientific publications with a researcher mobility indicator [22,23].
It should be noted that the competency level of researchers plays a crucial role in establishing close scientific collaboration, whether at the national level between universities of a specific country or at the international level among universities from different countries. In other words, even if a university has an appropriate research direction, this does not necessarily mean that the researchers working in this field are suitable for organizing joint research projects or co-authoring scientific publications. For this purpose, it is necessary to conduct a thorough evaluation of the scientific productivity of universities or research institutions, as well as of the individual researchers who will be directly involved in collaboration. In particular, Kuchanskyi et al. proposed the Time-Weighted PageRank Method with Citation Intensity for evaluating the scientific productivity of young universities [24]. Here, young universities are understood as those founded no more than twenty years ago and have not yet accumulated sufficient historical information about their activities. Such universities often lack fully developed citation networks of scientific publications and scientific collaboration networks. The Time-Weighted PageRank Method with Citation Intensity has also been applied to assess the scientific productivity of researchers with the aim of involving them in R&D collaboration [25]. This method makes it possible to consider all scientific articles of researchers without exception and, through the calculation of citation intensity, identify those who are the most promising for collaboration. As stated by Biloshchytskyi et al. [25], the developed method may help mitigate risks associated with R&D projects and ensure the involvement of the most suitable experts in the relevant field of knowledge. In all cases, the assessment of scientific productivity is based on citation networks of scientific publications, while the identification of links between researchers relies on scientific collaboration networks or co-authorship networks.
It should be noted that publication-based collaboration is not the only foundation for the formation of scientific collaboration networks. The study by Zinilli et al. examines the role of organizational factors in shaping such networks, particularly participation in joint projects [26]. Furthermore, Boekhout et al. describe the influence of scientific mobility on the expansion of collaboration networks. It is also of interest to investigate other factors that affect the growth of scientific collaboration networks, especially in young universities. Resce et al., in particular, analyze the formation of connections in these networks by employing both network and non-network node attributes [27]. Another characteristic that can help explain the principles underlying the formation of scientific collaboration networks is the comparison of standard, collaborative, and fractional Category Normalized Citation Impact (CNCI) indicators across different universities. Data from the Web of Science show that Chinese institutions appear to be robust to the choice of CNCI variant, while in other regions there is a tendency for the standard CNCI to increase more significantly than the collaborative one. These findings may indicate varying degrees of influence associated with the number of countries and institutions participating in joint publications [28].
It is generally recognized that scientific collaboration and the joint publication of research papers produce scale-free networks. Such networks are resilient to the random removal of individual nodes. At the same time, however, they may become unstable when nodes that are most highly connected to others in the network are removed. This can be explained by the fact that the departure or exclusion of “key” researchers in a collaboration network may fragment it into isolated components. As a result, the network loses its integrity and its functioning is disrupted. In particular, Verboten and Korošak analyzed such scenarios in the scientific collaboration network of the University of Maribor (Slovenia) during the period 2004–2023. Their findings demonstrated that the network became more resilient to the removal of its most influential nodes [29]. Collaboration networks can also be analyzed in terms of the presence and strength of both international and national inter-university ties, which may transform overtime. The study by Verboten and Korošak also revealed a transformation of the collaboration network from disassortative to assortative. This shift reflects a change from highly productive researchers initially collaborating with less productive ones to highly productive researchers increasingly collaborating with each other. Assortativity is an indicator of enhanced resilience and maturity of the network. The strengthening of inter-university and international ties can further accelerate the process of network consolidation. In this case, influential and highly productive nodes will emerge within the collaboration network, reinforcing its structure and reducing the risk of fragmentation if other productive nodes are removed. The study by Verboten and Korošak [29] focused on a university in the EU that was founded in 2004, meaning the institution is already more than twenty years old. Extending this type of research to young universities in other regions of the world, particularly in Central Asia, would be of significant interest. Moreover, analyzing the collaboration networks of even younger universities, founded less than ten years ago, remains a highly relevant task. The mathematical concept for generalizing theoretical and computational approaches to characterizing the resilience of complex networks is described in the work of Artime et al. [30].
Thus, it is essential to emphasize that there is a strong correlation between the intensity of scientific collaboration and the scientific impact of a university within its respective field. To study scientific collaboration, network-based methods are applied, particularly the construction of collaboration networks. Analyzing the properties of such networks and their resilience makes it possible to draw conclusions about the maturity and stages of development of a university’s scientific community. This is especially relevant for young universities that are only beginning to form their collaboration networks and to build the potential for R&D projects.
The dynamics of resilience in the scientific collaboration networks of young universities, influenced by internationalization and international cooperation, remain insufficiently studied. How do newly established ties strengthen the resilience of a university’s scientific community? How does this resilience evolve? How can the processing and analysis of large volumes of data in a scientific collaboration network be organized? This study represents the first attempt to analyze the resilience of scientific collaboration networks of young universities in Central Asia. Moreover, this research provides an analysis and strategic recommendations for universities, the youngest of which is only six years old. Therefore, this study is among the first to examine the collaboration networks of very young universities.
It should be noted that there are relatively few scientific studies on the resilience of collaboration networks in young universities. Moreover, some studies apply different criteria for defining what constitutes a young university. For example, in study [29], an institution founded in 1975 is analyzed and described as a young university. Given that the dynamics of scientific collaboration worldwide have changed significantly over the past several decades, there arises a need for network analysis focused on universities established in the 21st century.
The objectives of this study are as follows:
  • Build and analyze a university’s scientific collaboration network based on the OpenAlex bibliographic data catalog. Determine the network’s resilience using the example of young universities.
  • To investigate the dynamics and compare changes in the resilience of university collaboration networks, and to formulate strategic recommendations for organizing university research activities in a way that meets the goals of sustainable development and fosters resilient inter-university collaboration.

3. Materials and Methods

In this study, the publication activity of researchers from young universities was analyzed in combination with network analysis of co-authorship. The methodological basis for analyzing international scientific collaboration networks relied on open data from the bibliographic database OpenAlex [31]. A university reference list was compiled, a selection of scientific publications was organized, and an undirected weighted graph was constructed, which served as the foundation for network analysis. For the selection of publications, the open bibliometric ecosystem OpenAlex was chosen [32]. This ecosystem indexes scientific publications, authors, universities, and venues (journals, conference proceedings) and provides these data via a REST API. As of September 2025, the OpenAlex catalog contained more than 271 million scientific publications and 105 million authors. The catalog also included 62 million open-access publications. Another advantage of OpenAlex is its convenience for research projects that require transparent access to open bibliographic data.
At the first stage, a registry of educational institutions with basic metadata (OpenAlex identifier, name, ROR, country, and geocoordinates) was retrieved from OpenAlex via the API. These data were stored locally to ensure reproducibility. Next, using cursor-based pagination and the select parameter, a set of publications for the selected period was downloaded, including fields containing the structure of authorship and affiliations. The principle of linking publications to a specific university was implemented based on the structured affiliations in OpenAlex. A publication was considered associated with a university if at least one element of the authorships array contained that university in the institutions field. In cases of multiple author affiliations, all listed universities were considered associated. To avoid double-counting of universities within a single publication, deduplication was applied. If multiple authors from the same university were present in a publication, that university was counted only once. To ensure the accuracy of the dataset, only institutions classified as educational in the reference list were included in the network, and all links were built using stable institution.id identifiers, which minimized errors caused by variability in institutional naming.
It should be noted that some errors were identified in the OpenAlex catalog, in particular, incorrect university affiliations. Specifically, several researchers were found to have erroneous affiliations in certain years. These errors were corrected prior to conducting the procedure for assessing the resilience of scientific collaboration networks.
At the second stage, an undirected weighted graph was constructed, in which the nodes represent universities and the edges between nodes indicate the presence of joint scientific publications by researchers from these universities. The weight of each edge, or the strength of the connection between universities, was defined as the number of joint scientific publications over the specified observation period. To reduce the influence of background connections, only pairs of universities with a connection strength greater than two were considered in the analysis. In this study, it was decided not to consider the minimum threshold value of one, since the presence of only a single joint publication between researchers does not indicate a stable or established collaboration. As a result of analyzing the OpenAlex database, a global scientific collaboration network covering six thousand three universities worldwide was formed. From this network, a subnetwork of 66 universities from the Republic of Kazakhstan was extracted. The constructed subnetwork includes 18,825 links. The prepared dataset was exported in formats compatible with Gephi, specifically a node table with identifiers and metadata and an edge table with pairs of universities and corresponding weights. A basic network analysis was conducted in Gephi, utilizing the weighted degree of nodes (the sum of the weights of incident edges) as a key measure of the intensity of collaboration between universities. Since the complete network proved to be too dense for clear visualization, a “core” of the network was extracted for presentation purposes by applying an additional filter to retain only nodes with the highest total connection strength (threshold weighted degree greater than 2000). Visualization was performed using Gephi (Figure 1). In Figure 1, only a subset of the network is displayed. Visualizing the entire network in a single figure is not feasible due to its large size. The value 2000 was chosen to improve the visualization of the results. For smaller threshold values, the nodes and edges overlap, making the graph difficult to interpret. To explore the full network, which comprises 6003 nodes, readers are referred to the Supplementary Materials File S1, which can be opened using Gephi v. 0.10.1.
The analysis of connection strength within the network of Kazakhstani universities showed that the priority of inter-university collaboration lies within domestic institutions. In other words, researchers from universities in the Republic of Kazakhstan interact much more intensively with each other than with researchers from foreign universities. When applying high selection thresholds based on the total weight of connections, the core of the network is almost entirely formed by Kazakhstani universities. To include foreign (non-Kazakhstani) universities in the network, the threshold value must be substantially lowered. Only one foreign university, Süleyman Demirel University in Turkey, is integrated into the network of Kazakhstani universities when applying a moderate selection threshold of more than 1000. Such analysis provides a preliminary understanding of the structure and characteristics of scientific collaboration between the universities of a given country and universities abroad.
The next stage involved calculating the resilience of the scientific collaboration networks of individual researchers within specific universities. For this study, two young universities in the Republic of Kazakhstan were selected, as they currently play a leading role in shaping the academic and research environment in the fields of information technology, digital economy development, and related areas. These institutions include Astana IT University (founded in 2019) and Nazarbayev University (founded in 2010). To compare the resilience results of the scientific collaboration networks of these universities with other young, high-ranking universities worldwide, two additional institutions were analyzed: the University of Suffolk (2007) and ShanghaiTech University (2013). It should be noted that for the universities considered in our study, the difference in network size did not have a significant impact on the results. Most of the indicators we used are dimensionless and therefore automatically account for network scale during calculation.
Analyzing the resilience of collaboration networks at these universities enables the tracing of how academic ties are formed within a relatively short time, the identification of structural features that determine their resilience, and the extent to which these networks can withstand external or internal negative impacts, particularly in the case of the loss of key nodes. This approach reveals both the common patterns in the formation of new university communities and the specific differences shaped by institutional history and models of integration into the national and international scientific landscape. Accordingly, for each university, a scientific collaboration network at the level of individual researchers was constructed, and its characteristics were calculated to assess resilience.
Formally, the scientific collaboration network is defined as an undirected weighted graph:
G =   S , E , W , η ,
where S =   s 1 , s 2 , , s n is the set of researchers, corresponding to the nodes of the graph G , s i is the researcher, i = 1 , n ¯ , n is the number of researchers, E s i , s j s i , s j S , i j is the set of edges, s i , s j E where an edge exists between two researchers s i and s j if they have at least one joint publication, W : E is the weight function, w s i , s j —denotes the number of joint publications between researchers s i and s j , η : S U is the affiliation function, U =   u 1 , u 2 , , u k is the set of universities, η s i defines the university with which a researcher is affiliated s i , and k is the number of universities.
The graph is represented by a symmetric adjacency matrix without self-loops:
A = s i j i , j = 1 n , n ,   a i j = w s i , s j ,   i f   s i , s j E 0 , i f   s i , s j E
The resilience of a scientific collaboration network refers to its ability to maintain its structure, functionality, and connections even when some nodes (researchers or authors) and their corresponding edges (collaborative links) are removed. The practical importance of high resilience in a university’s collaboration network lies in its long-term stability, which is not disrupted by staff turnover, changes in funding policies, and similar factors. In other words, a stable interaction structure in a university with a highly resilient collaboration network ensures sustained scientific growth: the system continues to generate knowledge, is capable of adapting, and creates new connections to compensate for the loss of previous ones. Furthermore, the departure of researchers or the cessation of activity by those who are key to the resilience of the network does not lead to its fragmentation into isolated components. Indicators that characterize highly resilient collaboration networks include the Largest Connected Component (LCC), centrality, and clustering coefficient, as well as analysis of how quickly the integrity of the network deteriorates when key nodes are removed. In this study, assortativity, modularity, average path length, the Edge Jaccard Index, and other metrics describing collaboration networks and their resilience were also computed. To assess the resilience of university collaboration networks, nodes were iteratively removed in order of decreasing betweenness centrality, following the concept described in [29,33,34]. All data processing, analysis, and visualization were performed in Python 3.12.8.

4. Results

To address the research objectives and select publications for analysis, the open bibliometric ecosystem OpenAlex was examined [31,32]. As of September 2025, the OpenAlex catalog contained more than 271 million scientific publications and 105 million authors. For the analysis, data were extracted from the catalog for four young universities: Astana IT University (AITU), Nazarbayev University (NU), University of Suffolk (US), and ShanghaiTech University (STU). The selection of universities was determined by a combination of representativeness and practical data availability. The study focused on universities established no more than 20 years ago. Unfortunately, the sample of such institutions is limited. The second selection criterion concerned the availability of data about the universities in OpenAlex. Some young universities are listed in OpenAlex as subsidiary institutions of older parent universities. In such cases, it is difficult to distinguish publications and correctly attribute them either to the young subsidiary institution or to the parent one.
We first consider the general characteristics and resilience assessment of the collaboration networks of these universities. Then, we examine in more detail the network characteristics and resilience measures of each of the four universities, as well as analyze the dynamics of these characteristics over time. The collaboration networks were constructed based on publications covering the period from 2018 to 15 September 2025, which makes it possible to trace changes over nearly a full decade. For AITU, the analysis was carried out using publications starting from 2019, the year of its founding, up to 15 September 2025. The choice of this time interval was motivated by the need to ensure comparable conditions across the universities: since AITU is the youngest among the selected institutions, starting from 2019 guarantees that the results are representative and do not include periods when the university was not yet operational. This approach enables a correct comparison of the indicators of the four universities within a common time frame while accounting for the specifics of different stages of their development.
To collect the data, the open database OpenAlex and the pyalex library were used, providing access to the platform’s API. Each university in OpenAlex has a unique Research Organization Registry (ROR) identifier, which is used to link author affiliations to specific institutions. Within the scope of this study, the ROR identifiers of the universities were determined manually based on the official organizational profiles in the ROR system. Data retrieval was performed directly using the query Works().filter(authorships={“institutions”: {“ror”: ror}}).paginate(per_page=200, n_max=None), which returned all publications in which at least one author was affiliated with the selected university. The pagination method allowed sequential retrieval of all results without a limit on their number, ensuring complete coverage of university publications over the entire observation period. The data obtained were stored in NumPy format for subsequent analysis of the number of unique authors, publications, and indexing indicators.
As a result of the analysis conducted, the number of unique authors and unique publications was calculated for each calendar year (Table 1). The obtained indicators made it possible to trace the dynamics of scientific activity within the universities studied. For AITU, a significant increase in both the number of authors and publications was recorded in recent years. This trend is likely associated with the growing number of students and academic staff, which has contributed to the expansion of research directions and an overall rise in publication activity. Such growth reflects an intensive stage in the development of the university’s research potential and its active integration into the international academic community. For the other three universities, no such sharp increase was observed: the number of publications and unique authors remained relatively stable or grew at a slower pace. Although all the universities analyzed are young, their research activity is relatively stable, which may indicate the presence of an established research base and a more balanced distribution of publications across years.
A comparison between the number of unique authors in Table 1 and the number of nodes in the collaboration network in Table 2 shows that the number of nodes is approximately three to four times higher. This difference is most likely due to a combination of two factors: high staff turnover in young universities and the uneven distribution of publication activity, as not all authors publish every year. The interaction of these factors likely accounts for the observed discrepancy; however, this issue requires further investigation, particularly through network analysis methods aimed at studying the dynamics of academic communities.
Additional analysis of indexing revealed that for AITU and NU, approximately 42–46% of publications are indexed in the international scientometric databases Scopus and Web of Science, whereas for US and STU, this figure reaches 65–75%. This difference can be partly explained by the specifics of Kazakhstan’s publication landscape, where a significant portion of research is published in national journals and proceedings that hold professional status but are not always included in international scientometric databases.
At the same time, the use of the OpenAlex source considerably broadens publication coverage, as it accounts not only for materials indexed in Scopus or Web of Science but also for works published in local or specialized journals, conference proceedings, and open-access platforms. This provides a more comprehensive representation of the universities’ research activity, especially in contexts where local platforms play an important role in developing scientific schools and supporting national research priorities.
Thus, the lower percentage of publications indexed in international databases for AITU and NU does not necessarily indicate lower research quality but rather reflects differences in publication strategies and the orientation of part of the research output toward the internal academic space.

4.1. Calculation of Characteristics and Assessment of the Resilience of Scientific Collaboration Networks of Young Universities

It was found that the scientific collaboration networks of the four universities (AITU, NU, US and STU) differ significantly in scale, structure, and resilience. The largest in terms of the number of participants and overall integration is the STU network. The largest connected component in STU’s and NU’s collaboration network covers more than 80% of all authors. For AITU, the largest connected component accounts for approximately half of its collaboration network. In the case of US, the largest connected component covers less than half of the network, which demonstrates a relatively fragmented structure. The general characteristics of the collaboration networks of these universities are presented in Table 1.
The clustering coefficients of the scientific collaboration networks of AITU, STU, and NU indicate a higher level of local cohesion (above 0.6), reflecting the presence of stable research groups and strong internal connections. In contrast, this indicator is significantly lower for US (≈0.35), demonstrating weaker integration within local communities. The structures of AITU, NU, and STU are more balanced, featuring a well-defined core that ensures better overall network integration.
The dynamics of assortativity reveal different trends. In AITU, strong homophily was observed at the early stages, which gradually transformed into an almost neutral structure. At NU, assortativity remains predominantly low or even negative, indicating a tendency for highly active authors to collaborate with less active ones. The scientific collaboration network of US appears unstable. In contrast, STU demonstrates positive assortativity, characterizing its network as mature and structurally stable.
The highest resilience is demonstrated by the STU network. Even after the targeted removal of 50% of nodes with the highest centrality values, the largest connected component remains between three thousand one hundred thirteen and three thousand nine hundred twenty-nineresearchers. This indicates a well-developed system of alternative connections. The NU network is also characterized by high resilience, with its core consisting of more than over one thousand and half researchers even after the removal of half of the central nodes. AITU’s resilience has also increased significantly after 2023. In contrast, the US network remains the most vulnerable, showing a sharp structural decline after the removal of only 5–10% of key nodes.
Thus, based on the conducted analysis, it can be concluded that the STU network is the most integrated, balanced, and resilient, corresponding to the level of a mature scientific ecosystem. NU demonstrates a stable but less assortative structure with moderate homophily. AITU is in a phase of active development and strengthening of internal connections, while the US network is characterized by fragmentation and a high dependence on a limited number of central researchers.

4.2. Comparative Analysis of Network Characteristics of AITU, NU, STU and US

The comparative assessment of collaboration structures at AITU, NU, STU, and US reveals how differences in institutional scale, research intensity, and disciplinary diversification shape the internal cohesion of scientific networks. Despite sharing the general features typical of academic collaboration systems (sparse connectivity and a high tendency for local clustering), these four universities differ significantly in both size and the density of their internal relationships.
Among them, STU demonstrates the most expansive and mature scientific ecosystem, encompassing eight thousand three hundred fifty-nine authors connected through 49,820 co-authorship links over the 2019–2025 period. Nazarbayev University maintains a mid-sized yet highly structured community with three thousand eight hundred sixty-twoauthors and 13,363 connections, while AITU, though smaller with three thousand two hundred thirty-nine authors and 12,549 links, shows clear signs of dynamic growth and progressive consolidation. The University of Suffolk, by contrast, represents a compact network of five hundred seventy-nine authors and nine hundred seventeen edges, reflecting the more localized and project-based character of its collaborations.
When examining interaction intensity, the average number of collaborators per researcher varies widely: from 11.92 at STU to 7.75 at AITU, 6.92 at NU, and only 3.17 at US. These disparities highlight the more complex intra-institutional connectivity in the Asian universities compared with the European one. However, the overall network density remains low (ranging from 0.0014 to 0.0055), consistent with the general sparsity of co-authorship graphs, where new links typically emerge only within specialized subfields or shared projects.
The degree of local cohesion, reflected in clustering coefficients, further clarifies these structural contrasts. The clustering coefficient remains remarkably similar for AITU, NU, and STU (each around 0.61–0.62), pointing to a pronounced presence of small, tightly connected research groups. In the case of STU, this parameter increased from 0.59 in 2019 to 0.63 in 2025, which indicates gradual consolidation of collaboration networks and a strengthening of internal group boundaries. Conversely, the university exhibits a substantially lower clustering coefficient (approximately 0.40), signifying fragmentation and weaker interconnection between local clusters. This reduced cohesion reflects its dependence on individual research initiatives rather than long-term institutional collaboration programs.
The level of integration within each network can also be evaluated through the largest connected component (LCC), the portion of researchers linked into a single, uninterrupted collaboration structure. Here, too, the hierarchy is consistent with other measures: STU’s LCC includes seven thousand seventy-four authors, or roughly 84.6% of its entire network; NU retains a similar proportion at 81% (three thousand one hundred thirty-one authors); AITU connects about half of its researchers (one thousand six hundred ten, or 50%); while US remains the most fragmented, with only one hundred twenty-seven authors (≈22%) belonging to its core. Notably, AITU’s share of the LCC rose markedly after 2022, reaching 45.1% by 2024, which confirms an ongoing process of consolidation and institutional networking.
Beyond these core structural metrics, the Edge Jaccard Index, which tracks the renewal of co-authorship ties between consecutive time windows, reveals how stable or dynamic these relationships are. In AITU, the index remains very low (0.01036), showing that only about 1% of collaboration links persist from year to year. A sign of rapid reconfiguration and fluid team formation. For STU (0.0377) and NU (0.035), the values are roughly three times higher, denoting more stable research clusters and longer-term partnerships. Meanwhile, US maintains a moderate figure (0.0243), implying a mix of stability and turnover in its partnerships.
Finally, the organization of communities within each network, as captured by modularity, indicates different stages of scientific ecosystem development. AITU demonstrates a relatively low modularity (0.309), which reflects the ongoing integration of previously isolated research groups into larger interdisciplinary clusters. NU, by contrast, maintains a higher modularity value of about 0.902, corresponding to the coexistence of several well-defined and internally cohesive research hubs. STU, with modularity fluctuating near 0.887–0.888, exhibits a balanced structure that supports both strong local ties and effective intergroup interaction. US, with modularity around 0.773, shows a greater degree of fragmentation, typical for smaller, project-driven academic environments.
Taking together, these indicators reveal a clear developmental hierarchy. STU stands as a large-scale, cohesive, and steadily consolidating research network. NU combines moderate size with strong integration and distinct community organization. AITU continues to expand dynamically, marked by rapid tie renewal and progressive strengthening of its collaborative core. US remains limited in scope and density, exhibiting the structural traits of an emerging network rather than a fully institutionalized research ecosystem.
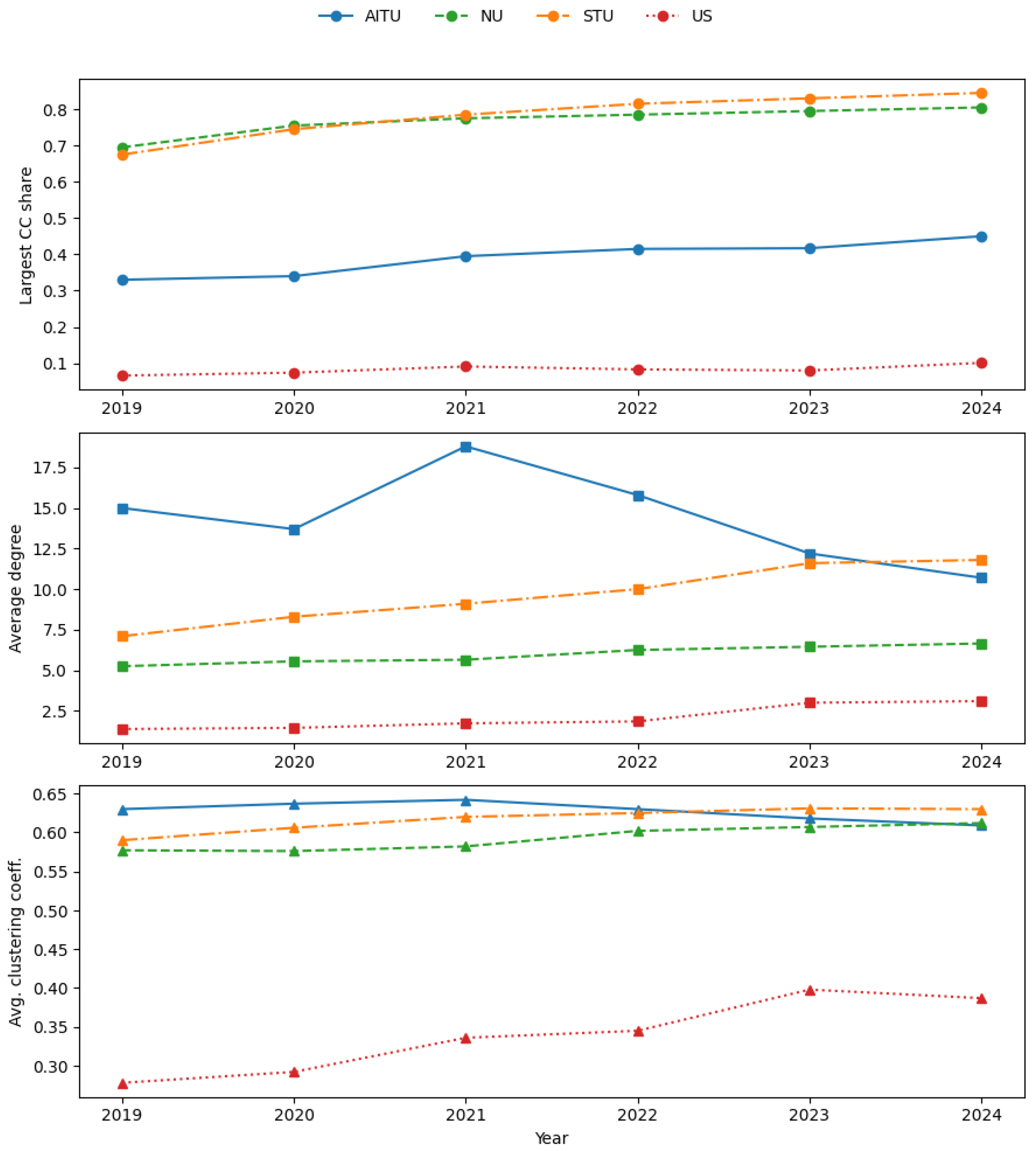
These differences indicate that the institutional maturity and the scale of interdisciplinary research directly influence network compactness and clustering. STU’s high values correspond to the model of a large, stable scientific ecosystem, while AITU’s dynamic growth suggests an emerging but increasingly connected research environment. NU’s metrics emphasize a balance between local and global cohesion, and US’s low clustering underlines its dispersed collaboration patterns and dependence on individual leaders (see Figure 2).
The share of nodes forming the largest connected component (LCC) serves as a key indicator of the integration level within each institution. For instance, Figure 3 illustrates that in 2024, the proportion of authors included in the LCC exceeds 80% for STU and NU, showing strong network coherence. AITU’s LCC integrates roughly half of all researchers, revealing steady consolidation, while in US the LCC rarely surpasses 20%, highlighting a highly fragmented structure. Such disparity underlines the varying ability of these universities to maintain a continuous flow of information and cooperation.
Temporal analysis indicates that both NU and STU preserve a consistent LCC ratio across years, confirming resilient internal communication frameworks. AITU demonstrates a notable rise in this indicator after 2022, which corresponds to the rapid expansion of interdisciplinary teams. In contrast, the US network remains sparse, with numerous small, disconnected components, confirming a lack of systematic collaboration.
Modularity coefficients further substantiate these findings. STU’s modularity fluctuates between 0.3 and 0.4, suggesting a well-balanced division into thematic clusters with strong intra-group and moderate inter-group ties. NU’s modularity is slightly higher, reflecting the coexistence of several dominant research centers. AITU’s modularity decreases over time, showing the gradual unification of its previously isolated teams. For US, modularity remains near 0.6, typical of highly fragmented networks with small, isolated communities.
The assortativity coefficient reflects the degree of homophily—the preference of authors to collaborate with others who have similar levels of productivity or connectivity. Comparative dynamics reveal a distinct typology across the four universities. Figure 4 presents the trajectories of assortativity change, demonstrating that AITU initially exhibits high positive assortativity (≈0.9 in 2020–2021), indicating intensive cooperation within homogeneous groups. After 2022, this value decreases sharply and approaches zero, meaning that the network becomes more diverse and cross-collaborative.
NU’s assortativity remains slightly negative (−0.05 to −0.1), implying a heterogeneous structure where central authors frequently connect with peripheral participants, facilitating information diffusion. STU maintains consistently positive values (≈0.3–0.7), confirming a mature, internally coherent collaboration system. US exhibits strong fluctuations, from negative (−0.4) to high positive (≈0.8) values, which reveals unstable group formation and dependence on temporary project-based alliances.
Temporal patterns across all four universities show that assortativity transitions from homophilic to neutral or heterophilic tendencies as networks expand and diversify. In early developmental stages, most institutions demonstrate clustering around strong local leaders, whereas in later years collaboration becomes more cross-sectional. This process aligns with the theory of network maturation, where the growing number of interdisciplinary connections diminishes assortativity but strengthens global integration.
To evaluate structural stability, targeted node removal simulations were conducted, focusing on nodes ranked by betweenness centrality. Figure 5 visualizes the comparative resilience of the four networks. The results clearly distinguish four patterns of network resilience: STU displays the highest resilience, NU maintains moderate stability, AITU shows improving resilience, and US collapses under minimal perturbations.
Specifically, STU remains highly resistant: even after removing 50% of central nodes, its largest component still includes more than 3900 authors. NU retains approximately 1500 connected researchers after similar removal, while AITU’s LCC remains at about 700 nodes following substantial deletions. In contrast, the US network disintegrates rapidly. After eliminating merely 10% of high-betweenness nodes, and connectivity nearly vanishes. Random node-removal experiments validate these observations: for STU and NU, fragmentation begins beyond the 20% threshold, while for AITU and US, disintegration starts much earlier.
These results demonstrate that network resilience strongly depends on the balance between clustering and degree centralization. Networks with moderate centralization and strong clustering are more resilient to targeted attacks, whereas sparse and centralized structures (like US) collapse easily.
To assess the resilience of the collaboration network, a simulation-based approach was applied that considered two node-removal scenarios: random and targeted. Both scenarios were implemented for the empirical AITU co-authorship network as well as for a baseline Erdős–Rényi (ER) model with corresponding parameters (number of nodes and average edge density). In the random scenario, nodes were removed with equal probability. For each removal fraction, multiple simulations were conducted, and the results were averaged to reduce random fluctuations. The extraction procedure was performed ten times for each university. The resulting data were then averaged using the simple arithmetic mean of the obtained indicators. This scenario reflects nonspecific losses of collaboration participants, such as staff turnover or temporary research interruptions. In the targeted scenario, nodes were removed in descending order of centrality values (degree or betweenness), thereby simulating the loss of key researchers who act as intermediaries between different groups of the scientific network. At each stage, the size of the largest connected component was evaluated relative to the initial number of nodes. This ratio was used as the primary indicator of network integrity preservation during progressive node removal.
In the case of random removal, the behavior of the empirical network is expected to approach that of the ER model, with the differences indicating specific features of its organization, particularly the presence of clustering. If the decline in the real network occurs faster than in the ER model, this points to dependence on a narrow circle of highly influential authors. Conversely, if the decline is slower, it suggests a more evenly distributed influence and increased network resilience.
The comparison of empirical and model results enables the drawing of conclusions about the resilience of the scientific ecosystem at AITU. In particular, it allows for the assessment of whether researchers’ collaboration is stable under conditions of random losses or critically dependent on a small group of leading scholars. The obtained results have practical significance for the development of institutional strategies aimed at strengthening horizontal ties, expanding intergroup collaborations, and ensuring the long-term stability of the scientific network.
Figure 6 presents the results of node removal simulations for the AITU collaboration network compared with the baseline ER model. The x-axis represents the fraction of removed nodes, while the y-axis shows the relative size of the largest connected component (Largest Component Ratio, G/N). The blue curve illustrates that, under random node removal, the network retains its relative integrity even with gradual losses. The decline of the largest component is progressive, indicating the presence of alternative collaboration pathways and a certain level of redundancy in connections. Comparison with the green curve (ER model) shows that the empirical network collapses faster than a random graph of similar density, indicating greater structural resilience due to clustering and an uneven distribution of ties. The most striking is the red curve, corresponding to the removal of nodes with the highest degree centrality values. After the removal of just 10–15% of the most central researchers, the largest component almost disappears. This indicates a critical dependence of the network on a limited circle of key authors who ensure integration between different research groups. For comparison, the purple curve (ER model) demonstrates much higher resilience even under targeted node removal. The vertical dashed line represents the theoretical threshold for random removal in the ER model.
The results obtained demonstrate a substantial difference between the random and targeted scenarios. While the network is relatively resilient to random losses, it proves to be highly vulnerable to the removal of nodes with the highest centrality. This highlights the crucial integrative role of AITU’s leading researchers and, at the same time, underscores the risk of fragmentation of the scientific ecosystem in the event of their loss. From a practical perspective, the results point to the need to develop a more balanced collaboration structure and to strengthen connections between research groups.
The analysis made it possible to identify two key threshold values for the targeted removal scenario of nodes with the highest centrality scores. First, it was established that the sharpest decline in network integrity occurs at a removal fraction of approximately 13%. At this point, the largest connected component experiences the greatest loss, indicating a high concentration of integrative roles within a relatively narrow group of researchers. The removal of even a small share of these actors leads to rapid fragmentation of the network and the loss of its global connectivity. Second, a critical threshold of complete network disintegration was identified at a removal fraction of about 73%. At this level, the network loses the ability to sustain a significantly sized largest component, and the remaining substructures preserve only local interactions. Thus, even under gradual removal of the most central nodes, the global structure ultimately collapses only after reaching relatively high levels of removal.
The results obtained demonstrate that the AITU collaboration network is highly sensitive to selective losses of key participants. The greatest risk is associated not with the overall scale of losses, but with their specificity. Even a small fraction of highly influential researchers being removed leads to a significant decline in network integration. At the same time, the persistence of residual components that maintain local resilience up to the threshold of over 70% indicates the formation of stable subgroups and research clusters capable of functioning independently of the global structure.
Figure 7 compares the scenarios of random and targeted node removal in the real NU network and its random counterpart based on the ER model. In the case of random removal, the NU network retains relative resilience. For the random ER network, a similar smooth dynamic is observed, although the critical threshold is reached later, which is consistent with the theoretically expected value (r ≈ 0.85). In contrast, targeted removal of high-degree nodes shows a sharp decline in the size of the largest component of the NU collaboration network after the removal of only about 10–15% of key researchers. In the random ER network, targeted removal has a much less pronounced impact, highlighting the specific resilience of NU as a real scientific community.
As shown in Figure 7, targeted removal of central nodes leads to a sharp collapse of the resilience assessment already at the early stages. The global structure of the network is almost completely destroyed after the loss of the first key researchers. In the case of random losses, the largest component decreases gradually, retaining a significant share of participants even after the removal of one-tenth of the network, while critical reduction occurs only after more than fifteen percent of the nodes have been removed.
As shown in Figure 8, in the case of random node removal (blue curve), the STU scientific collaboration network demonstrates a high level of resilience. Even after removing half of the nodes, approximately 30% of the initial collaboration core remains intact. Unlike other young universities, where a sharp decline occurred after removing just 10–15% of the most central nodes, the STU network exhibits a more gradual decrease: a significant portion of its structural integrity is preserved up to a threshold of approximately r ≈ 0.2, followed by a smooth transition to the fragmentation stage. This behavior suggests a reduced reliance on a select group of leading researchers. The empirical STU network is also more robust to random failures than its ER model counterpart. Therefore, the STU network demonstrates high resilience, maintaining its functional integrity even after substantial structural losses.
Based on the analysis, as shown in Figure 9, it can be concluded that the US’s scientific collaboration network is highly vulnerable to structural disruptions. Even a minor loss of central nodes leads to an almost immediate breakdown of global connectivity and fragmentation of the system into isolated local clusters.
Each simulation included fifty points corresponding to the sequential removal of 1 to 50% of nodes in the researcher network. For each point, the variance of the results was calculated based on ten independent experiments. The obtained values reflect the stability of the network structure under random node removal, allowing for the assessment of the degree of variability in the system’s response to destructive influences. Subsequently, for each university, the average variance across all simulation points was calculated. The results revealed significant differences among the universities. In particular, the variances are 0.01232 for AITU, 0.02998 for US, 0.00372 for NU, and 0.00257 for STU. As can be seen, for NU and STU, the variance is approximately an order of magnitude lower than for AITU and US, indicating higher stability of the obtained results and a more homogeneous network response to the reduction in the number of active nodes. As can be seen from the results, for NU and STU, the variance is an order of magnitude lower than for AITU and US, indicating higher stability of the obtained results and a more uniform network reaction to the decrease in the number of active nodes. One possible explanation for this difference may be the varying size of the initial samples: for example, in the case of US, the number of publications and authors is significantly smaller, which increases the model’s sensitivity to random removals. At the same time, this factor is not the only one. A significant role may also be played by the dynamics of development of young universities, which are characterized by an unstable structure of scientific collaboration, a limited number of stable inter-institutional links, and high variability in the composition of active authors. Thus, higher variance values for AITU and US can be interpreted as a manifestation of greater structural instability of their scientific networks compared to NU and STU.
To ensure the reliability of the obtained results, an additional experiment was conducted to calculate the characteristics of the scientific collaboration networks for one of the universities presented in the study. STU was taken as the basis. In this case, only the data indexed in the Web of Science were considered. The following network characteristics were obtained for the period 2019–2025: number of nodes—7768, number of edges—47,764, density—0.0015, average degree—12.2976, average clustering—0.6271, size of the largest connected component—6681, Edge Jaccard Index—0.387.
The analysis of the obtained results (Figure 10, Figure 11, Figure 12 and Figure 13) showed that, despite the decrease in the absolute values of the size of the largest connected component after restricting the sample to data from the Web of Science database only, the overall behavior of the functions remained practically unchanged. To quantitatively assess the similarity between the results obtained from the complete dataset and those derived from the Web of Science data, Pearson correlation coefficients were calculated between the corresponding curves for different scenarios.
For Random Removal, the Pearson correlation coefficient is 0.97; for Targeted Removal (Degree)—0.96; for Random Removal (ER)—0.87; and for Targeted Removal (Degree, ER)—1.00. As can be seen, all obtained coefficients exceed 0.85, and in most cases approach 1.0, indicating a very high correlation between the curves. This means that the removal of part of the data (in particular, restricting the analysis to publications indexed in WoS) did not affect the overall dynamics of network degradation, while the changes mainly concerned only the scale of the indicators. Thus, it can be concluded that using WoS data exclusively does not provide significant analytical advantages but merely reduces the sample size and, accordingly, the scale of the network without altering the fundamental patterns of its structural behavior.

5. Discussion

5.1. Discussion and Recommendations

The described procedure for studying the resilience of scientific collaboration networks in young universities enables the assessment of how academic ties are formed within a short timeframe and which structural features determine their stability. This analytical approach also helps to understand the extent to which these networks can withstand external or internal negative impacts, particularly in the case of losing key nodes. Such an approach enables the identification of patterns in the development of university communities and the models of their integration into the national and international scientific space. For this study, two well-known young Kazakhstani universities offering educational programs in the field of information technology were selected. Additionally, for comparison, the research analyzed the scientific collaboration networks of two other young universities from China and the United Kingdom. Overall, both future trends and past changes in the resilience indicators of scientific collaboration networks, as well as other related metrics for universities, can often be explained by their historical development and the specific characteristics of their internal organization.
NU was established in 2010 as a flagship national institution oriented towards international educational standards. Thanks to active collaboration with leading foreign universities and the involvement of international researchers, it has developed one of the most integrated academic networks in Kazakhstan. The large size of the largest connected component, the high clustering coefficient, and the resilience even under targeted removal of central nodes can be explained by both substantial investments and the international nature of scientific collaboration. Nevertheless, NU remains sensitive to targeted removal of key nodes (the elimination of 10–15% is sufficient to cause a sharp decline in global connectivity). At the same time, even after the removal of half of the central nodes, the network still retains over one and a half thousand authors, which confirms its significant resilience. Based on the analysis, the recommendation for NU is to diversify collaboration. This is necessary to reduce resilience to the loss of key researchers. It can be implemented through mentorship programs and the involvement of a larger number of scholars with relatively low publication activity.
AITU, founded in 2019 in Astana (Republic of Kazakhstan) within the framework of the state program “Digital Kazakhstan”, is a relatively young institution specializing in digital technologies and close interaction with the IT industry. Its “youth” explains the initial fragmentation of the network and relatively low resilience in the early years. At the same time, the sharp growth of the network core after 2022 indicates the intensive formation of stable research groups and the expansion of international collaboration. The analysis also revealed a transition at AITU from strong homophily to a more open network structure. A key recommendation is to strengthen horizontal ties between clusters in the scientific collaboration network to further enhance resilience.
US, founded in 2007 in the counties of Suffolk and Norfolk, England. It received its current name in 2016 after being granted university status. Scientific activity in the US has been developing gradually, and due to the relatively small size of its collaboration network, its resilience is lower compared to other universities. The US collaboration network is highly dependent on a limited number of the most influential researchers. A key recommendation is to continue strengthening the network’s core. In particular, the desired effect of increasing resilience can be achieved by promoting international collaborations and creating stable research groups that integrate young researchers with low publication activity.
STU is a science and technology university located in Pudong, Shanghai, China, established in 2013. The university ranks highly according to the Shanghai Ranking. This result confirms the high resilience of its scientific collaboration network. Compared to other universities, their research connections are the most robust and stable.
The study by Verboten and Korošak showed that, for the University of Maribor, the Jaccard index in year-to-year comparisons ranged between 0.32 and 0.38 [29]. In our research, higher variability of this indicator was observed (Table 1). In certain years, the values reached as high as 0.74–0.99, while in some periods the index dropped to 0.31. Such instability may be attributed to the youth of the universities analyzed and the high turnover of academic staff, particularly due to intensive hiring of new employees. Similar to the results obtained by the University of Maribor, our findings also confirm a trend toward increasing network resilience: over time, the largest connected component becomes less sensitive to the removal of central nodes. At the same time, a significant structural difference was identified. At the University of Maribor, the collaboration network was disassortative until 2016, after which it became assortative with a subsequent increase in this indicator. For young universities, such as AITU, the opposite trend was observed: a transition from an assortative to a disassortative structure. These differences indicate that, in the case of young universities, the process of forming a resilient scientific community follows different trajectories compared to more mature institutions. This may be linked both to the absence of established research schools and to the active involvement of international partners, which reshape the internal topology of collaboration. Thus, the results highlight the importance of considering institutional age and the degree of internationalization when evaluating the evolution of scientific collaboration networks.
Liu et al. investigated resilience thresholds and demonstrated that targeted removals result in lower percentages of nodes required for network collapse compared to random removals [35]. However, absolute values depend on the heterogeneity of the network. Their estimates indicated that, for various scientific collaboration networks, targeted attacks lead to collapse after removing between 10% and 40% of nodes, whereas random removals require up to 73%. The results obtained in our study for young universities show that, for AITU and NU, the number of nodes that must be removed for network collapse under targeted attacks (Figure 4) lies above the 10% threshold but does not exceed 20%, which aligns with the findings of Liu et al. The resilience of these universities surpasses the minimum resilience observed in mature scientific collaboration networks. At the same time, it remains far from the upper bound of resilience, suggesting significant room for improvement. For US, the number of nodes required for network collapse (Figure 4) is about half of the minimum threshold reported in Liu et al., indicating lower resilience and thus greater resilience to targeted attacks compared to mature scientific collaboration networks. However, under random removals, the proportion of nodes needed to collapse the network ranges from 56% to 85%, which is fully consistent with the results of the referenced study.
Liu et al. analyzed the impact of the sudden death of prominent scientists (ranked among the top 500 most cited in their field) on the scientific collaboration networks of the universities with which they were affiliated at the time of death [36]. A total of 21 cases were examined. The study showed that, under a targeted attack on a single most critical node, the collaboration network lost on average 18% of its researchers in the following year. The results obtained in our study do not reveal such a sharp decline in the number of nodes within the collaboration networks after an attack. This can be explained by the fact that young universities have not yet attracted such highly prominent scientists. It should also be noted that Liu et al. found that the network structure was restored within two years, with an observed growth of 29%.
Thus, based on the study conducted, institutional recommendations can be formulated for each university to enhance the resilience of its scientific collaboration network. At the same time, it is also possible to outline general recommendations for young universities that can help achieve this goal regardless of the specific outcomes of the study:
  • Formation of a resilient core within the scientific collaboration network. For a young university, it is crucial to establish a stable collaboration core composed of experienced researchers rapidly. At the same time, it is important to avoid overreliance on a small group of scientists and instead aim to build the core from researchers who have not previously collaborated intensively or who represent diverse fields of expertise. In other words, the university should prevent dependence on just a few key researchers driving its publication activity.
  • Formation of international collaborations. A young university should rapidly integrate into international scientific networks. This enhances resilience by creating additional channels of scientific cooperation.
  • Formation of long-term institutional mechanisms to ensure scientific collaboration. A young university should establish joint laboratories with international participation, implement grant programs, and launch projects aimed at fostering potential long-term partnerships.
At the same time, the degree of resilience achieved by a university’s scientific collaboration network must be properly monitored using bibliometric tools. This should become permanent practice for tracking network dynamics and responding promptly to potential weaknesses. It should also be emphasized that a university must strike a balance between the rapid growth of productivity through expanding the collaboration network and engaging new researchers and ensuring long-term stability. The latter is achieved by strengthening the stability of the core and enhancing the resilience of the scientific collaboration network.
The obtained results can be used as a methodological basis for studying scientific collaboration and network resilience in other young universities. The described approach, which combines bibliometric analysis and network modeling, makes it possible to assess the level of integration of scientific communities within a university, identify key nodes (individual researchers) that influence network stability, detect risks of fragmentation or excessive centralization of collaboration, and compare the resilience of universities from different countries or disciplines based on uniform dimensionless indicators. Thus, this study contributes to the understanding of pathways for increasing the resilience and sustainability of scientific activity in young universities, aligning with the goals of sustainable academic development.

5.2. Limitations and Future Research

One of the limitations of this study is that it does not consider external influences on the scientific activities of a university or the formation of its scientific collaboration network. The study does not address the factors that shape a university’s personnel policy, which directly affects the growth of its collaboration network. Furthermore, the research procedure described cannot be applied to universities that have been established for less than two years. For an accurate calculation of network characteristics and resilience assessment, at least a short history of the university’s publication activity is required. Another limitation is that the study does not distinguish between articles published in journals of varying influence, such as those with different impact factors. All articles included from the OpenAlex bibliometric catalog were treated as equivalent. This could be further developed in future research by incorporating journal quality indicators into resilience assessments. Errors were also identified in the OpenAlex catalog, particularly in university affiliations. These mistakes were corrected prior to the resilience assessment procedure.
For example, when analyzing data for AITU, which was founded in 2019, we identified 13 external publications from 2018 whose authors were affiliated with this university. These errors were corrected. Manual correction of such inaccuracies significantly complicates the process of constructing and analyzing scientific collaboration networks. However, since the universities examined in this study contained relatively few such errors, their overall impact on the results was negligible. Nevertheless, when working with similar databases, it is important to keep in mind that many records may contain errors in affiliations, country names, addresses, and other metadata. For instance, study [37] reports that more than 20% of publications in Web of Science completely lack information in the “author address” field, as well as containing partial omissions. Similar problems with this database are also discussed in study [38]. Zhang et al. [39] highlights a serious issue with data quality in OpenAlex, particularly the absence of institutional information in publication metadata, especially in the humanities and social sciences. Comparable issues, including unspecified countries in article records, are also observed in Scopus, as discussed in study [40].
Thus, a crucial task before starting any work with data from scientometric databases is to perform careful preprocessing and identify records that may distort or otherwise affect the accuracy of research results. Thus, despite careful data cleaning, some errors may have remained, potentially influencing the results. Additionally, since the dataset was derived exclusively from OpenAlex, certain publications may not have been captured in the construction of the collaboration networks. The study also did not consider the influence of gender diversity among authors of scientific publications or the funding conditions of the universities, which are clearly different and could be meaningful variables for further investigation. Expanding the analysis to include universities with programs in other fields of knowledge would be a valuable direction for future research.
It should be noted that the sample of universities in this study is relatively small. This is due to considerations regarding representativeness and data availability. Therefore, these limitations should be taken into account when drawing general conclusions. In future research, it would be advisable to expand the list of universities analyzed in order to provide a more comprehensive assessment of resilience in collaboration networks. Another limitation concerns the threshold value for connection strength. The strength of the connection between universities was defined as the number of joint scientific publications over the specified observation period. To reduce the influence of background connections, only pairs of universities with a connection strength greater than two were considered in the analysis. A single joint publication between researchers does not indicate an established or stable collaboration. It should be noted that the use of different threshold values in the calculations may affect the results.
In the future, the procedure for studying the resilience of scientific collaboration networks will be expanded to include other universities in the Republic of Kazakhstan. Moreover, it is of particular interest to examine the general patterns of university scientific development from their establishment to the present, based on their practical experience and publication activity. This requires analyzing a wide range of universities worldwide. It is also important to consider additional factors and dimensions, such as gender balance and multiple affiliations, as well as to apply predictive models for simulating long-term scenarios of scientific collaboration network development.

6. Conclusions

The study analyzed the publication activities of four young universities in the Republic of Kazakhstan, the United Kingdom, and China. Scientific collaboration networks were constructed and examined for Nazarbayev University (NU), Astana IT University (AITU), University of Suffolk (US), and ShanghaiTech University (STU). The resilience of these collaboration networks was assessed dynamically and compared using bibliometric and network analysis methods. The findings show that the resilience of young universities’ collaboration networks varies significantly depending on their scale, degree of integration, and structural properties. Network analysis was conducted using Gephi 0.10.1 and Python-based simulations with the calculation of key resilience indicators, including clustering coefficient, assortativity, modularity, and the dynamics of the largest connected component under different node-removal scenarios. NU and STU exhibited a highly resilient collaboration structure. AITU demonstrated dynamic development and growing resilience, particularly after 2023. The US network was found to be fragmented and critically dependent on a small group of key researchers. Nevertheless, despite its limited scale, it showed some capacity to preserve a resilient core. Overall, all four universities were shown to be vulnerable to the targeted removal of central nodes. A statistical comparison was performed based on variance calculations. Higher stability of the obtained results and a more uniform network response to the reduction in the number of active nodes were observed for NU and STU. An additional experiment was also conducted to calculate the resilience of the network for STU University. In this case, only publications indexed in the Web of Science database were considered. As a result, it was concluded that the exclusive use of WoS data does not provide significant analytical advantages, but instead reduces the sample size and, accordingly, the scale of the network, without altering the fundamental patterns of its structural behavior.
This is the first study to analyze the resilience of scientific collaboration networks in young universities of Central Asia in comparison with other young universities worldwide. It should be noted that the youngest university in the sample (AITU) is only six years old. Universities of this age are rarely examined in applied research due to the limited availability of data on their activities, particularly in terms of publication output. Despite this, the study provided strategic recommendations for organizing scientific activity in a way that aligns with the goals of sustainable development and fosters resilient inter-university collaboration. A key recommendation is the rapid formation of a stable collaboration core composed of experienced researchers. Universities should diversify their collaboration networks, reducing excessive dependence on a limited number of central researchers. Another important recommendation is the development of international collaborations and the internationalization of research activities. In this process, it is crucial to establish long-term institutional mechanisms to support scientific collaboration and to integrate resilience strategies into university development plans. This corresponds to the Sustainable Development Goals, particularly SDG 4 (Quality Education) and SDG 9 (Industry, Innovation, and Infrastructure). Overall, the intensification of international and inter-university collaboration correlates with the resilience of scientific collaboration networks, which reflects the maturity of the university’s academic community. Strengthening horizontal ties among research groups and clusters within the collaboration network is an essential step on this path.
The results confirm the importance of developing horizontal connections, inter-university and international collaboration, and supporting researchers who bridge different clusters or research groups to enhance network resilience. The practical significance of the study lies in formulating recommendations for young universities on the strategic management of scientific collaboration aimed at achieving sustainable development and increasing competitiveness within the global academic community.

Supplementary Materials

The following supporting information can be downloaded at: https://github.com/Andrashko/publications/tree/main (accessed date 30 October 2025). File S1: Complete network visualization (Gephi file).

Author Contributions

Conceptualization, O.K. and Y.A.; methodology, O.K. and Y.A.; software, Y.A.; validation, A.B., Y.A. and A.M.; formal analysis, S.B., Y.A. and O.K.; investigation, S.B.; data curation, O.K. and Y.A.; writing—original draft preparation, O.K. and Y.A.; writing—review and editing, A.M., A.B. and F.N.; visualization, Y.A.; supervision, A.B.; project administration, A.M. All authors have read and agreed to the published version of the manuscript.

Funding

This paper was written in the framework of the state order to implement the science program according to the budget program 217 “Development of Science”, IRN No. AP19678627 with the topic: “Development of the information technology for the formation of multiuniversity scientific and educational communities based on the scientometric analysis theory”, funded by the Ministry of Science and Higher Education of the Republic of Kazakhstan.

Data Availability Statement

All data are available in this publication. The publicly bibliographic catalogue of scientific papers, authors and institutions analyzed in this study can be found here: OpenAlex, available online via the following link: https://openalex.org/ (accessed on 27 September 2025).

Conflicts of Interest

The authors declare no conflicts of interest.

References

  1. OECD. OECD Science, Technology and Industry Scoreboard 2017: The Digital Transformation; OECD Publishing: Paris, France, 2017; Available online: https://www.oecd.org/en/publications/oecd-science-technology-and-industry-scoreboard-2017_9789264268821-en.html (accessed on 29 September 2025).
  2. Godin, B. Outline for a history of science measurement. Sci. Technol. Hum. Values 2002, 27, 3–27. [Google Scholar] [CrossRef]
  3. UNESCO Science Report: The Race Against Time for Smarter Development. 2021. Available online: https://unesdoc.unesco.org/ark:/48223/pf0000377433 (accessed on 27 September 2025).
  4. Adams, J. Collaborations: The fourth age of research. Nature 2013, 497, 557–560. [Google Scholar] [CrossRef] [PubMed]
  5. Tijssen, R.J.W.; Waltman, L.; van Eck, N.J. Research collaboration and the expanding science grid: Measuring globalization processes worldwide. arXiv 2012, arXiv:1203.4194. [Google Scholar] [CrossRef]
  6. Okamura, K. A half-century of global collaboration in science and the “Shrinking World”. Quant. Sci. Stud. 2023, 4, 938–959. [Google Scholar] [CrossRef]
  7. Barabási, A.L.; Jeong, H.; Néda, Z.; Ravasz, E.; Schubert, A.; Vicsek, T. Evolution of the social network of scientific collaborations. Phys. A Stat. Mech. Its Appl. 2002, 311, 590–614. [Google Scholar] [CrossRef]
  8. Aguirre-Guerrero, D.; Bernal-Jaquez, R. A Methodology for the Analysis of Collaboration Networks with Higher-Order Interactions. Mathematics 2023, 11, 2265. [Google Scholar] [CrossRef]
  9. Bote, G.; Vicente, P.; Olmeda-Gómez, C.; Moya-Anegón, F. Quantifying the benefits of international scientific collaboration. J. Am. Soc. Inf. Sci. Technol. 2013, 64, 392–404. [Google Scholar] [CrossRef]
  10. Glänzel, W.; de Lange, C. A distributional approach to multinationality measures of international scientific collaboration. Scientometrics 2002, 54, 75. [Google Scholar] [CrossRef]
  11. Abramo, G.; D’Angelo, C.A.; Solazzi, M. The Relationship between Scientists’ Research Performance and the Degree of Internationalization of Their Research. Scientometrics 2011, 86, 629–643. [Google Scholar] [CrossRef]
  12. Kohus, Z.; Demeter, M.; Szigeti, G.P.; Kun, L.; Lukács, E.; Czakó, K. The Influence of International Collaboration on the Scientific Impact in V4 Countries. Publications 2022, 10, 35. [Google Scholar] [CrossRef]
  13. Lancho-Barrantes, B.S.; Guerrero-Bote, V.P.; de Moya-Anegón, F. Citation Increments between Collaborating Countries. Scientometrics 2013, 94, 817–831. [Google Scholar] [CrossRef]
  14. Leydesdorff, L.; Shin, J.C. How to evaluate universities in terms of their relative citation impacts: Fractional counting of citations and the normalization of differences among disciplines. J. Assoc. Inform. Sci. Technol. 2011, 62, 1146–1155. [Google Scholar] [CrossRef][Green Version]
  15. Wagner, C.S.; Park, H.W.; Leydesdorff, L. The continuing growth of global cooperation networks in research: A conundrum for national governments. PLoS ONE 2015, 10, e0131816. [Google Scholar] [CrossRef] [PubMed]
  16. Kuchanskyi, O.; Andrashko, Y.; Biloshchytskyi, A.; Omirbayev, S.; Mukhatayev, A.; Biloshchytska, S.; Faizullin, A. Gender-Related Differences in the Citation Impact of Scientific Publications and Improving the Authors’ Productivity. Publications 2023, 11, 37. [Google Scholar] [CrossRef]
  17. Kwiek, M.; Roszka, W. Gender Disparities in International Research Collaboration: A Study of 25,000 University Professors. J. Econ. Surv. 2021, 35, 1344–1380. [Google Scholar] [CrossRef]
  18. Way, S.F.; Morgan, A.C.; Larremore, D.B.; Clauset, A. Productivity, Prominence, and the Effects of Academic Environment. Proc. Natl. Acad. Sci. USA 2019, 116, 10729–10733. [Google Scholar] [CrossRef]
  19. Hou, L.; Luo, J.; Pan, X. Research Topic Specialization of Universities in Information Science and Library Science and Its Impact on Inter-University Collaboration. Sustainability 2022, 14, 9000. [Google Scholar] [CrossRef]
  20. Xu, H.; Kuchansky, A.; Gladka, M. Devising an individually oriented method for selection of scientific activity subjects for implementing scientific projects based on scientometric analysis. East.-Eur. J. Enterp. Technol. 2021, 6, 93–100. [Google Scholar] [CrossRef]
  21. Cardoso, P.; Fukushima, C.; Mammola, S. Quantifying the internationalization and representativeness in research. Trends Ecol. Evol. 2022, 37, 9. [Google Scholar] [CrossRef]
  22. Wagner, C.S.; Jonkers, K. Open countries have strong science. Nature 2017, 550, 7674. [Google Scholar] [CrossRef]
  23. Wagner, C.S.; Whetsell, T.; Baas, J.; Jonkers, K. Openness and Impact of Leading Scientific Countries. Front. Res. Metr. Anal. 2018, 3, 10. [Google Scholar] [CrossRef]
  24. Kuchansky, A.; Biloshchytskyi, A.; Andrashko, Y.; Biloshchytska, S.; Faizullin, A. The Scientific Productivity of Collective Subjects Based on the Time-Weighted PageRank Method with Citation Intensity. Publications 2022, 10, 40. [Google Scholar] [CrossRef]
  25. Biloshchytskyi, A.; Kuchanskyi, O.; Mukhatayev, A.; Andrashko, Y.; Toxanov, S.; Faizullin, A.; Kassenov, K. Application of Time-Weighted PageRank Method with Citation Intensity for Assessing the Recent Publication Productivity and Partners Selection in R&D Collaboration. Publications 2024, 12, 48. [Google Scholar] [CrossRef]
  26. Zinilli, A.; Pierucci, E.; Reale, E. Organizational factors affecting higher education collaboration networks: Evidence from Europe. High Educ. 2024, 88, 119–160. [Google Scholar] [CrossRef]
  27. Boekhout, H.D.; Traag, V.A.; Takes, F.W. Investigating scientific mobility in co-authorship networks using multilayer temporal motifs. Netw. Sci. 2021, 9, 354–386. [Google Scholar] [CrossRef]
  28. Resce, G.; Zinilli, A.; Cerulli, G. Machine learning prediction of academic collaboration networks. Sci. Rep. 2022, 12, 21993. [Google Scholar] [CrossRef]
  29. Artime, O.; Grassia, M.; De Domenico, M.; Gleeson, J.P.; Makse, H.A.; Mangioni, G.; Perc, M.; Radicchi, F. Robustness and resilience of complex networks. Nat. Rev. Phys. 2024, 6, 114–131. [Google Scholar] [CrossRef]
  30. Verboten, M.T.; Korošak, D. Resilience and Volatility in Academic Publishing: The Case of the University of Maribor (2004–2023). Publications 2025, 13, 28. [Google Scholar] [CrossRef]
  31. OpenAlex. Available online: https://openalex.org/ (accessed on 27 September 2025).
  32. Priem, J.; Piwowar, H.; Orr, R. OpenAlex: A fully-open index of scholarly works, authors, venues, institutions, and concepts. arXiv 2022, arXiv:2205.01833. [Google Scholar]
  33. Callaway, D.S.; Newman, M.E.; Strogatz, S.H.; Watts, D.J. Network robustness and fragility: Percolation on random graphs. Phys. Rev. Lett. 2000, 85, 5468. [Google Scholar] [CrossRef]
  34. Albert, R.; Jeong, H.; Barabási, A.L. Error and attack tolerance of complex networks. Nature 2000, 406, 378–382. [Google Scholar] [CrossRef]
  35. Liu, D.; Wu, Z.; Guo, Q.; Shi, Y. Resilience and Its Thresholds of Scientific Collaboration Network. IEEE Access 2019, 7, 69339–69350. [Google Scholar] [CrossRef]
  36. Liu, X.F.; Xu, X.-K.; Small, M.; Tse, C.K. Attack Resilience of the Evolving Scientific Collaboration Network. PLoS ONE 2011, 6, e26271. [Google Scholar] [CrossRef][Green Version]
  37. Liu, W.; Hu, G.; Tang, L. Missing author address information in Web of Science—An explorative study. J. Informetr. 2018, 12, 985–997. [Google Scholar] [CrossRef]
  38. Maddi, A.; Baudoin, L. The quality of the web of science data: A longitudinal study on the completeness of authors-addresses links. Scientometrics 2022, 127, 6279–6292. [Google Scholar] [CrossRef]
  39. Liu, W.; Wang, H. Red alert: Millions of “homeless” publications in Scopus should be resettled. J. Assoc. Inf. Sci. Technol. 2025, 76, 1283–1291. [Google Scholar] [CrossRef]
  40. Zhang, L.; Cao, Z.; Shang, Y.; Sivertsen, G.; Huang, Y. Missing institutions in OpenAlex: Possible reasons, implications, and solutions. Scientometrics 2024, 129, 5869–5891. [Google Scholar] [CrossRef]
Figure 1. A typical network of university scientific collaboration constructed from the OpenAlex database using Gephi. The different colors of the nodes correspond to different universities. The colors of the edges are generated as weighted mixtures of the colors of the connected nodes, with weighting coefficients proportional to the total rank of each node.
Figure 1. A typical network of university scientific collaboration constructed from the OpenAlex database using Gephi. The different colors of the nodes correspond to different universities. The colors of the edges are generated as weighted mixtures of the colors of the connected nodes, with weighting coefficients proportional to the total rank of each node.
Data 10 00184 g001
Figure 2. Assessment of selected characteristics of the AITU (blue), NU (green), STU (orange), and US (red) collaboration network for the period 2019–2024.
Figure 2. Assessment of selected characteristics of the AITU (blue), NU (green), STU (orange), and US (red) collaboration network for the period 2019–2024.
Data 10 00184 g002
Figure 3. Assessment of the largest connected component of the AITU, NU, STU, and US collaboration network for the period 2019–2025.
Figure 3. Assessment of the largest connected component of the AITU, NU, STU, and US collaboration network for the period 2019–2025.
Data 10 00184 g003
Figure 4. Assessment of assortativity in the AITU (blue), NU (green), STU (orange), and US (red) collaboration network for the period 2019–2025.
Figure 4. Assessment of assortativity in the AITU (blue), NU (green), STU (orange), and US (red) collaboration network for the period 2019–2025.
Data 10 00184 g004
Figure 5. Assessment of changes in the largest connected component under node removal in the AITU, NU, STU, and US collaboration network.
Figure 5. Assessment of changes in the largest connected component under node removal in the AITU, NU, STU, and US collaboration network.
Data 10 00184 g005
Figure 6. Assessment of changes in the largest connected component under random and targeted node removal in the AITU collaboration network and its random counterpart (ER model).
Figure 6. Assessment of changes in the largest connected component under random and targeted node removal in the AITU collaboration network and its random counterpart (ER model).
Data 10 00184 g006
Figure 7. Assessment of changes in the largest connected component under random and targeted node removal in the NU collaboration network and its random counterpart (ER model).
Figure 7. Assessment of changes in the largest connected component under random and targeted node removal in the NU collaboration network and its random counterpart (ER model).
Data 10 00184 g007
Figure 8. Evaluation of changes in the largest connected component under random and targeted node removal in the STU scientific collaboration network and its random analogue (ER).
Figure 8. Evaluation of changes in the largest connected component under random and targeted node removal in the STU scientific collaboration network and its random analogue (ER).
Data 10 00184 g008
Figure 9. Evaluation of changes in the largest connected component under random and targeted node removal in the US scientific collaboration network and ER.
Figure 9. Evaluation of changes in the largest connected component under random and targeted node removal in the US scientific collaboration network and ER.
Data 10 00184 g009
Figure 10. Assessment of the largest connected component share, average degree and average clustering coefficient of the STU collaboration network for the period 2019–2025 (the publications of the network indexed in the Web of Science database were taken into account).
Figure 10. Assessment of the largest connected component share, average degree and average clustering coefficient of the STU collaboration network for the period 2019–2025 (the publications of the network indexed in the Web of Science database were taken into account).
Data 10 00184 g010
Figure 11. Assessment of assortativity in the STU collaboration network for the period 2019–2025 (the publications of the network indexed in the Web of Science database were taken into account).
Figure 11. Assessment of assortativity in the STU collaboration network for the period 2019–2025 (the publications of the network indexed in the Web of Science database were taken into account).
Data 10 00184 g011
Figure 12. Assessment of changes in the largest connected component under node removal in the STU collaboration network (the publications of the network indexed in the Web of Science database were taken into account).
Figure 12. Assessment of changes in the largest connected component under node removal in the STU collaboration network (the publications of the network indexed in the Web of Science database were taken into account).
Data 10 00184 g012
Figure 13. Evaluation of changes in the largest connected component under random and targeted node removal in the US scientific collaboration network and ER (the publications of the network indexed in the Web of Science database were taken into account).
Figure 13. Evaluation of changes in the largest connected component under random and targeted node removal in the US scientific collaboration network and ER (the publications of the network indexed in the Web of Science database were taken into account).
Data 10 00184 g013
Table 1. Number of unique publications and authors for four young universities.
Table 1. Number of unique publications and authors for four young universities.
YearAITUUSNUSTU
Number of PublicationsNumber of AuthorsNumber of PublicationsNumber of AuthorsNumber of PublicationsNumber of AuthorsNumber of PublicationsNumber of Authors
2019134309167100114392815121626
20202183741741161258105820312223
20212975382181351345117723012607
20224546932181621394135425213147
202380911652382241567146026643530
202487712652261721306146025083619
2025 (from January to September)37462613712366690316312948
Table 2. Characteristics of the scientific collaboration networks of four young universities.
Table 2. Characteristics of the scientific collaboration networks of four young universities.
IndicatorAITUUSNUSTU
Number of nodes323987838628359
Number of edges12,549117213,36349,820
Density0.00240.00300.00180.0014
Average degree7.752.676.9211.92
Average clustering coefficient0.610.350.610.62
Size of the largest connected component1610 (≈50%)174 (≈20%)3131 (≈81%)7074 (≈84%)
Edge Jaccard Index0.0100.0190.0350.038
Modularity0.3090.7730.9020.887
Assortativityfrom 0.29 to 0.98from 0.07 to 0.97from −0.09 to 0.24from 0.09 to 0.77
Assortativity of the largest component (LC)from −0.18 to 0.98from −0.47 to 0.11from −0.09 to 0.12from 0.05 to 0.76
Average path length in the network6.202.234.914.38
Diameter2341513
LCC after removal of 50% of central nodesfrom 100 to 877from 7 to 36from 246 to 1504from 3113 to 3929
Disclaimer/Publisher’s Note: The statements, opinions and data contained in all publications are solely those of the individual author(s) and contributor(s) and not of MDPI and/or the editor(s). MDPI and/or the editor(s) disclaim responsibility for any injury to people or property resulting from any ideas, methods, instructions or products referred to in the content.

Share and Cite

MDPI and ACS Style

Kuchanskyi, O.; Andrashko, Y.; Biloshchytskyi, A.; Mukhatayev, A.; Biloshchytska, S.; Numanova, F. Resilience of Scientific Collaboration Networks in Young Universities Based on Bibliometric and Network Analysis. Data 2025, 10, 184. https://doi.org/10.3390/data10110184

AMA Style

Kuchanskyi O, Andrashko Y, Biloshchytskyi A, Mukhatayev A, Biloshchytska S, Numanova F. Resilience of Scientific Collaboration Networks in Young Universities Based on Bibliometric and Network Analysis. Data. 2025; 10(11):184. https://doi.org/10.3390/data10110184

Chicago/Turabian Style

Kuchanskyi, Oleksandr, Yurii Andrashko, Andrii Biloshchytskyi, Aidos Mukhatayev, Svitlana Biloshchytska, and Firuza Numanova. 2025. "Resilience of Scientific Collaboration Networks in Young Universities Based on Bibliometric and Network Analysis" Data 10, no. 11: 184. https://doi.org/10.3390/data10110184

APA Style

Kuchanskyi, O., Andrashko, Y., Biloshchytskyi, A., Mukhatayev, A., Biloshchytska, S., & Numanova, F. (2025). Resilience of Scientific Collaboration Networks in Young Universities Based on Bibliometric and Network Analysis. Data, 10(11), 184. https://doi.org/10.3390/data10110184

Article Metrics

Back to TopTop