Optimizing the Quality and Commercial Value of Gyokuro-Styled Green Tea Grown in Australia
Abstract
:1. Introduction
2. Materials and Methods
2.1. Cultivation of Plants
2.2. Experimental Design
2.2.1. Determination of Optimal Shading Intensity and Color
2.2.2. Determination of Optimal Duration of Shading
2.3. Collection and Preparation of Samples
2.4. Analysis of Samples Using HPLC and Standard Chromatographic Conditions
2.5. Calculating Quality
2.6. Statistical Analysis
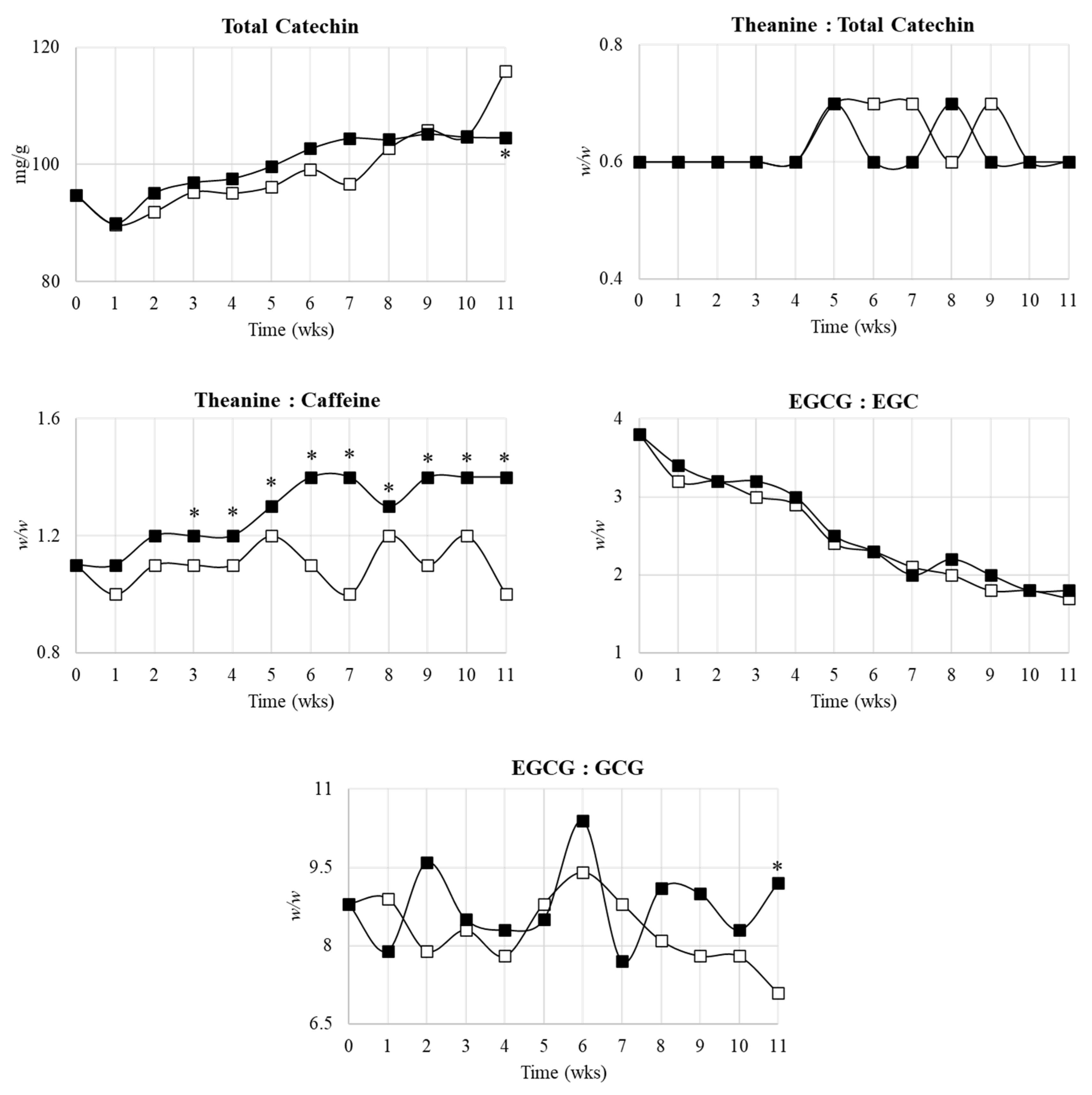
3. Results
4. Discussion
Supplementary Materials
Author Contributions
Funding
Institutional Review Board Statement
Informed Consent Statement
Data Availability Statement
Acknowledgments
Conflicts of Interest
References
- Takeo, T. Green and semi-fermented teas. In Tea, 1st ed.; Willson, K.C., Clifford, M.N., Eds.; Springer: Dordrecht, The Netherlands, 1992; pp. 413–457. [Google Scholar]
- Kaneko, S.; Kumazawa, K.; Masuda, H.; Henze, A.; Hofmann, T. Molecular and sensory studies on the umami taste of Japanese green tea. J. Agric. Food Chem. 2006, 54, 2688–2694. [Google Scholar] [CrossRef] [PubMed]
- Lin, Y.S.; Tsai, Y.J.; Tsay, J.S.; Lin, J.K. Factors affecting the levels of tea polyphenols and caffeine in tea leaves. J. Agric. Food Chem. 2003, 51, 1864–1873. [Google Scholar] [CrossRef] [PubMed]
- Chen, J.; Wu, S.; Dong, F.; Li, J.; Zeng, L.; Tang, J.; Gu, D. Mechanism underlying the shading-induced chlorophyll accumulation in tea leaves. Front. Plant Sci. 2021, 12, 779819. [Google Scholar] [CrossRef] [PubMed]
- Yue, C.; Wang, Z.; Yang, P. Review: The effect of light on the key pigment compounds of photosensitive etiolated tea plant. Bot. Stud. 2021, 62, 21. [Google Scholar] [CrossRef]
- Teng, R.M.; Wang, Y.X.; Li, H.; Lin, S.J.; Liu, H.; Zhuang, J. Effects of shading on lignin biosynthesis in the leaf of tea plant (Camellia sinensis (L.) O. Kuntze). Mol. Genet. Genom. 2021, 296, 165–177. [Google Scholar] [CrossRef]
- Tanton, T.W. Some factors limiting yields of tea (Camellia sinensis). Exp. Agric. 2008, 15, 187–191. [Google Scholar] [CrossRef]
- Evans, J.R. Developmental constraints on photosynthesis: Effects of light and nutrition. In Photosynthesis and the Environment; Baker, N.R., Ed.; Advances in Photosynthesis and Respiration; Springer: Dordrecht, The Netherlands, 2004; Volume 5, pp. 281–304. [Google Scholar]
- Aherne, S.A.; O’Brien, N.M. Dietary flavonols: Chemistry, food content, and metabolism. Nutrition 2002, 18, 75–81. [Google Scholar] [CrossRef]
- Wang, Y.; Li, M.; Li, L.; Ning, J.; Zhang, Z. Green analytical assay for the quality assessment of tea by using pocket-sized NIR spectrometer. Food Chem. 2021, 345, 128816. [Google Scholar] [CrossRef]
- Zhang, Q.; Bi, G.; Li, T.; Wang, Q.; Xing, Z.; LeCompte, J.; Harkess, R.L. Color shade nets affect plant growth and seasonal leaf quality of Camellia sinensis grown in Mississippi, the United States. Front. Nutr. 2022, 9, 786421. [Google Scholar] [CrossRef]
- Tanton, T.W. Tea crop physiology. In Tea Cultivation to Consumption, 1st ed.; Wilson, K.C., Clifford, M.N., Eds.; Chapman & Hall: London, UK, 1992; pp. 173–200. [Google Scholar]
- Saijo, R. Effect of shade treatment on biosynthesis of catechins in tea plants. Plant Cell Physiol. 1980, 21, 989–998. [Google Scholar]
- Golding, J.B.; Roach, P.D.; Parks, S. Production of High Quality Export Green Tea through Integrated Management; Rural Industries Research and Development Corporation: Canberra, ACT, Australia, 2009.
- Carr, M.K.V.; Stephens, W. Climate, weather and the yield of tea. In Tea, 1st ed.; Willson, K.C., Clifford, M.N., Eds.; Springer: Dordrecht, The Netherlands, 1992; pp. 87–135. [Google Scholar]
- Kim, H.S.; Quon, M.J.; Kim, J.A. New insights into the mechanisms of polyphenols beyond antioxidant properties: Lessons from the green tea polyphenol, epigallocatechin 3-gallate. Redox Biol. 2014, 2, 187–195. [Google Scholar] [CrossRef] [PubMed] [Green Version]
- Chen, Z.; Zhu, Q.Y.; Tsang, D.; Huang, Y. Degradation of green tea catechins in tea drinks. J. Agric. Food Chem. 2001, 49, 477–482. [Google Scholar] [CrossRef] [PubMed]
- Krahe, J.C.; Krahe, M.A.; Roach, P.D. Development of an objective measure of quality and commercial value of Japanese-styled green tea (Camellia L. sinensis): The quality index tool. J. Food Sci. Technol. 2018, 55, 2926–2934. [Google Scholar] [CrossRef] [PubMed]
- Krahe, J.; Krahe, M.A.; Naumovski, N. The implications of post-harvest storage time and temperature on the phytochemical composition and quality of Japanese-styled green tea grown in Australia: A food loss and waste recovery opportunity. Beverages 2021, 7, 25. [Google Scholar] [CrossRef]
- Hirun, S.; Roach, P.D. A study of stability of (-)-epigallocatechin gallate (EGCG) from green tea in a frozen product. Int. Food Res. J. 2011, 18, 1261–1264. [Google Scholar]
- Vuong, Q.V.; Golding, J.B.; Stathopoulos, C.E.; Nguyen, M.H.; Roach, P.D. Optimizing conditions for the extraction of catechins from green tea using hot water. J. Sep. Sci. 2011, 34, 3099–3106. [Google Scholar] [CrossRef]
- Briggs, W.R.; Christie, J.M. Phototropins 1 and 2: Versatile plant blue-light receptors. Trends Plant Sci. 2002, 7, 204–210. [Google Scholar] [CrossRef]
- Rizhsky, L.; Liang, H.J.; Mittler, R. The water-water cycle is essential for chloroplast protection in the absence of stress. J. Biol. Chem. 2003, 278, 38921–38925. [Google Scholar] [CrossRef] [Green Version]
- Ashihara, H. Occurrence, biosynthesis and metabolism of theanine (gamma-glutamyl-L-ethylamide) in plants: A comprehensive review. Nat. Prod. Commun. 2015, 10, 803–810. [Google Scholar]
- Yang, T.; Xie, Y.; Lu, X.; Yan, X.; Wang, Y.; Ma, J.; Cheng, X.; Lin, S.; Bao, S.; Wan, X.; et al. Shading promoted theanine biosynthesis in the roots and allocation in the shoots of the tea plant (Camellia sinensis L.) cultivar Shuchazao. J. Agric. Food Chem. 2021, 69, 4795–4803. [Google Scholar] [CrossRef]
- Dong, C.; Li, F.; Yang, T.; Feng, L.; Zhang, S.; Li, F.; Li, W.; Xu, G.; Bao, S.; Wan, X.; et al. Theanine transporters identified in tea plants (Camellia sinensis L.). Plant J. 2020, 101, 57–70. [Google Scholar] [CrossRef] [PubMed]
- Hirai, M.; Yoshikoshi, H.; Sakaida, T.; Yoshioka, T.; Nitabaru, J.; Nakazono, K.; Hayashi, M.; Maki, T.; Kitano, M.; Wakimizu, K. Production of value-added crop of green tea in summer under the shade screen net: Canopy microenvironments. In Proceedings of the International Workshop on Greenhouse Environmental Control and Crop Production in Semi-Arid Regions 797, Tucson, AZ, USA, 20–24 October 2008; pp. 411–417. [Google Scholar] [CrossRef]
- Yao, L.; Caffin, N.; D’Arcy, B.; Jiang, Y.; Shi, J.; Singanusong, R.; Liu, X.; Datta, N.; Kakuda, Y.; Xu, Y. Seasonal variations of phenolic compounds in Australia-grown tea (Camellia sinensis). J. Agric. Food Chem. 2005, 53, 6477–6483. [Google Scholar] [CrossRef] [PubMed]
- Ku, K.M.; Choi, J.N.; Kim, J.; Kim, J.K.; Yoo, L.G.; Lee, S.J.; Hong, Y.S.; Lee, C.H. Metabolomics analysis reveals the compositional differences of shade grown tea (Camellia sinensis L.). J. Agric. Food Chem. 2010, 58, 418–426. [Google Scholar] [CrossRef] [PubMed]
- Xia, T.; Gao, L.P. Advances in biosynthesis pathways and regulation of flavonoids and catechins. Sci. Agric. Sin. 2009, 42, 2899–2908. [Google Scholar]
- Li, C.; Xie, B. Evaluation of the antioxidant and pro-oxidant effects of tea catechin oxypolymers. J. Agric. Food Chem. 2000, 48, 6362–6366. [Google Scholar] [CrossRef] [PubMed]
- Yamaguchi, S.; Ninomiya, K. Umami and food palatability. J. Nutr. 2000, 130, 921S–926S. [Google Scholar] [CrossRef]
- Roberfroid, M.B. Concepts and strategy of functional food science: The European perspective. Am. J. Clin. Nutr. 2000, 71, 1660S–1664S. [Google Scholar] [CrossRef] [Green Version]
- Rashidinejad, A.; Boostani, S.; Babazadeh, A.; Rehman, A.; Rezaei, A.; Akbari-Alavijeh, S.; Shaddel, R.; Jafari, S.M. Opportunities and challenges for the nanodelivery of green tea catechins in functional foods. Food Res. Int. 2021, 142, 110186. [Google Scholar] [CrossRef]
- Nobre, A.C.; Rao, A.; Owen, G.N. L-theanine, a natural constituent in tea, and its effect on mental state. Asia Pac. J. Clin. Nutr. 2008, 17 (Suppl. S1), 167–168. [Google Scholar]
- Yoto, A.; Motoki, M.; Murao, S.; Yokogoshi, H. Effects of L-theanine or caffeine intake on changes in blood pressure under physical and psychological stresses. J. Physiol. Anthr. 2012, 31, 28. [Google Scholar] [CrossRef] [Green Version]
- Kimura, K.; Ozeki, M.; Juneja, L.R.; Ohira, H. L-Theanine reduces psychological and physiological stress responses. Biol. Psychol. 2007, 74, 39–45. [Google Scholar] [CrossRef] [PubMed]
- Rogers, P.J.; Smith, J.E.; Heatherley, S.V.; Pleydell-Pearce, C.W. Time for tea: Mood, blood pressure and cognitive performance effects of caffeine and theanine administered alone and together. Psychopharmacology 2008, 195, 569–577. [Google Scholar] [CrossRef] [PubMed]
- Chen, G.; Wang, H.; Zhang, X.; Yang, S.T. Nutraceuticals and functional foods in the management of hyperlipidemia. Crit. Rev. Food Sci. Nutr. 2014, 54, 1180–1201. [Google Scholar] [CrossRef]
- Jiang, Y.; Jiang, Z.; Ma, L.; Huang, Q. Advances in nanodelivery of green tea catechins to enhance the anticancer activity. Molecules 2021, 26, 3301. [Google Scholar] [CrossRef] [PubMed]
- Kapoor, M.P.; Sugita, M.; Fukuzawa, Y.; Timm, D.; Ozeki, M.; Okubo, T. Green tea catechin association with ultraviolet radiation-induced erythema: A systematic review and meta-analysis. Molecules 2021, 26, 3702. [Google Scholar] [CrossRef] [PubMed]
- Watanabe, M.; Risi, R.; Masi, D.; Caputi, A.; Balena, A.; Rossini, G.; Tuccinardi, D.; Mariani, S.; Basciani, S.; Manfrini, S.; et al. Current evidence to propose different food supplements for weight loss: A comprehensive review. Nutrients 2020, 12, 2873. [Google Scholar] [CrossRef]
- Higdon, J.V.; Frei, B. Tea catechins and polyphenols: Health effects, metabolism, and antioxidant functions. Crit. Rev. Food Sci. Nutr. 2003, 43, 89–143. [Google Scholar] [CrossRef]
- Hayat, K.; Iqbal, H.; Malik, U.; Bilal, U.; Mushtaq, S. Tea and its consumption: Benefits and risks. Crit. Rev. Food Sci. Nutr. 2015, 55, 939–954. [Google Scholar] [CrossRef]


| Quality Indicator | |
|---|---|
| Quality Score 1 | Commercial Value 2 |
| >3.5 | Very High |
| 3.0 | High (>400) |
| 2.5 | Medium—High |
| 2.0 | Medium (200–400) |
| 1.5 | Low—Medium |
| 1.0 | Low (>200) |
| <0.5 | Very Low |
| Treatment | Quality Markers | Quality Indicators | |||||
|---|---|---|---|---|---|---|---|
| Light (%) [Mean lx] | TC (mg/g) 1 | T:TC (w:w) | T:C (w:w) | EGCG:EGC (w:w) | EGCG:GCG (w:w) | Quality Score | Commercial Value |
| 100 2 [42, 319] | 94.4 ± 5.2 a,b | 0.6 ± 0.0 a | 1.2 ± 0.1 a | 3.0 ± 0.4 a | 8.3 ±1.8 a,b | 2.0 ± 0.1 a | Medium |
| 40 [16, 566] | 95.9 ± 2.6 a,b | 0.5 ± 0.0 a | 1.2 ± 0.1 a | 3.0 ± 0.3 a | 6.8 ± 0.7 a,b | 1.9 ± 0.1 a | Low—Medium |
| 16 [6, 695] | 98.5 ± 4.1 a,b | 0.6 ± 0.0 a | 1.3 ± 0.1 a | 3.0 ± 0.5 a | 6.4 ± 0.4 a | 2.0 ± 0.2 a | Medium |
| 10 [4, 186] | 99.6 ± 4.3 a | 0.5 ± 0.0 a | 1.2 ± 0.1 a | 3.1 ± 0.3 a | 9.1 ± 1.5 b | 1.9 ± 0.1 a | Low—Medium |
| 1 [402] | 89.6 ± 8.8 b | 0.7 ±0.1 a | 1.6 ±0.1 b | 3.5 ± 0.8 a | 6.1 ±1.9 a | 2.4 ± 0.1 b | Medium—High |
| Treatment | Quality Markers | Quality Indicators | |||||
|---|---|---|---|---|---|---|---|
| Shade Color [Mean lx] | TC (mg/g) 1 | T:TC (w:w) | T:C (w:w) | EGCG:EGC (w:w) | EGCG:GCG (w:w) | Quality Score | Commercial Value |
| NA 2 [41, 236] | 94.4 ± 5.2 a | 0.6 ± 0.0 a | 1.2 ± 0.1 a | 3.0 ± 0.4 a | 8.3 ±1.8 a | 2.0 ± 0.0 a | Medium |
| Black [15, 900] | 89.0 ± 4.5 a | 0.6 ± 0.0 a | 1.2 ± 0.1 a | 2.6 ± 0.3 a | 7.6 ± 1.6 a | 2.1 ± 0.2 a | Medium |
| Red [16, 125] | 113.5 ± 12.5 b | 0.4 ± 0.0 b | 1.3 ± 0.1 a | 2.4 ± 0.5 a | 4.2 ± 1.7 b | 1.9 ± 0.2 a | Low—Medium |
| Quality Indicator | ||||
|---|---|---|---|---|
| Week | Light Intensity (100%) 1 | Light Intensity (10%) | ||
| Quality Score | Commercial Value | Quality Score | Commercial Value | |
| 0 | 2.2 ± 0.0 | Medium | 2.2 ± 0.1 | Medium |
| 1 | 2.2 ± 0.0 | Medium | 2.2 ± 0.1 | Medium |
| 2 | 2.2 ± 0.1 | Medium | 2.2 ± 0.1 | Medium |
| 3 | 2.1 ± 0.1 | Medium | 2.1 ± 0.1 | Medium |
| 4 | 2.1 ± 0.1 | Medium | 2.1 ± 0.1 | Medium |
| 5 | 2.2 ± 0.1 | Medium | 2.2 ± 0.1 | Medium |
| 6 | 2.1 ± 0.0 | Medium | 2.1 ± 0.1 | Medium |
| 7 | 2.1 ± 0.1 | Medium | 2.1 ± 0.1 | Medium |
| 8 | 2.0 ± 0.1 a | Medium | 2.1 ± 0.1 | Medium |
| 9 | 1.9 ± 0.1 | Low—Medium | 2.1 ± 0.1 | Medium |
| 10 | 2.0 ± 0.1 | Medium | 2.0 ± 0.1 a | Medium |
| 11 | 1.8 ± 0.0 | Low—Medium | 2.0 ± 0.1 b | Medium |
Publisher’s Note: MDPI stays neutral with regard to jurisdictional claims in published maps and institutional affiliations. |
© 2022 by the authors. Licensee MDPI, Basel, Switzerland. This article is an open access article distributed under the terms and conditions of the Creative Commons Attribution (CC BY) license (https://creativecommons.org/licenses/by/4.0/).
Share and Cite
Krahe, J.; Krahe, M.A. Optimizing the Quality and Commercial Value of Gyokuro-Styled Green Tea Grown in Australia. Beverages 2022, 8, 22. https://doi.org/10.3390/beverages8020022
Krahe J, Krahe MA. Optimizing the Quality and Commercial Value of Gyokuro-Styled Green Tea Grown in Australia. Beverages. 2022; 8(2):22. https://doi.org/10.3390/beverages8020022
Chicago/Turabian StyleKrahe, James, and Michelle A. Krahe. 2022. "Optimizing the Quality and Commercial Value of Gyokuro-Styled Green Tea Grown in Australia" Beverages 8, no. 2: 22. https://doi.org/10.3390/beverages8020022
APA StyleKrahe, J., & Krahe, M. A. (2022). Optimizing the Quality and Commercial Value of Gyokuro-Styled Green Tea Grown in Australia. Beverages, 8(2), 22. https://doi.org/10.3390/beverages8020022
