Study of Wine Volatile Composition of Tempranillo versus Tempranillo Blanco, a New White Grape Variety
Abstract
1. Introduction
2. Materials and Methods
2.1. Tempranillo and Tempranillo Blanco Wine Samples
2.2. Determination of Wine Volatile Compounds by GC-MS
2.3. Statistical Analysis
3. Results and Discussion
3.1. Volatile Composition of Tempranillo and Tempranillo Blanco Wines
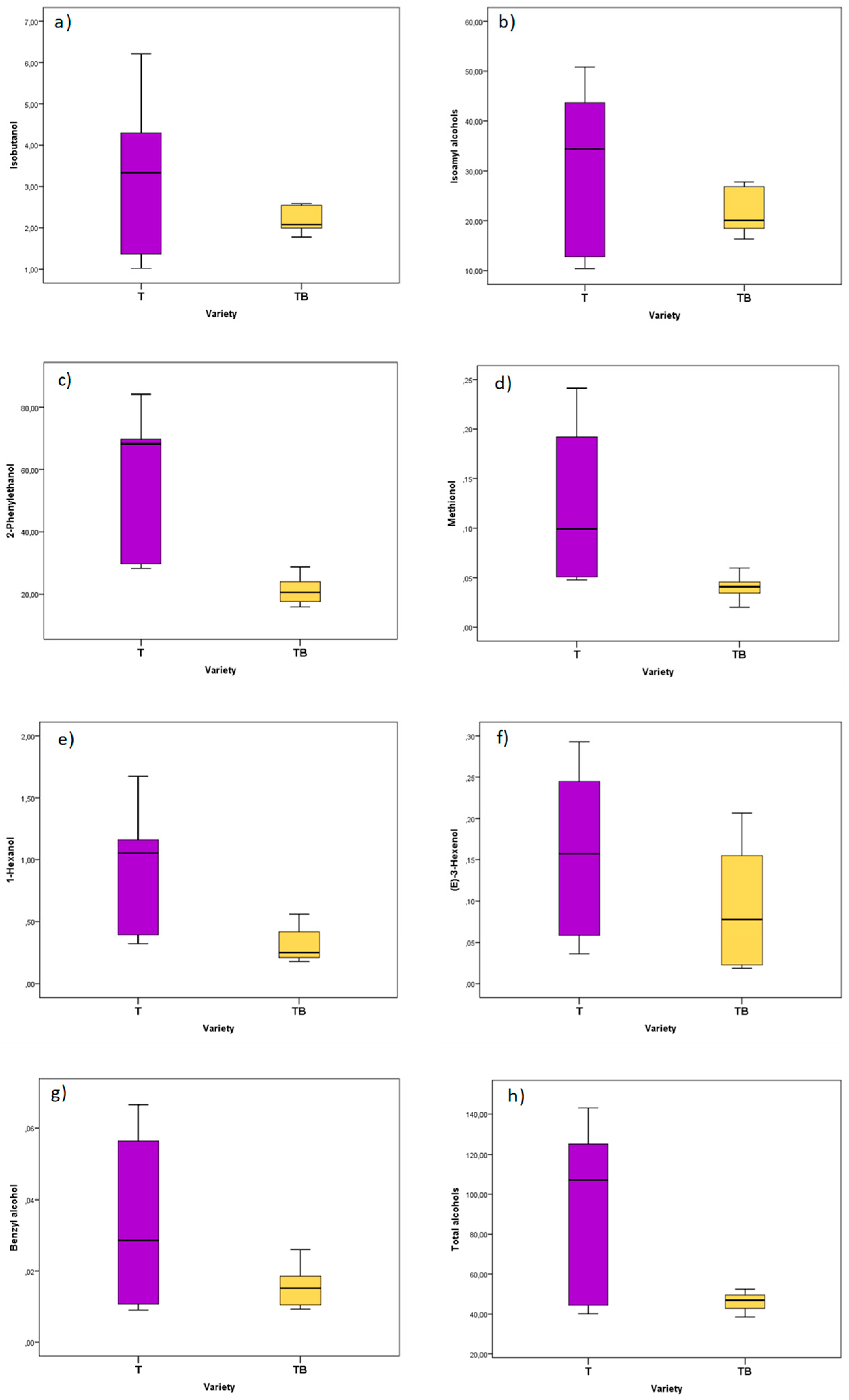
3.2. Boxplot Analysis of Tempranillo and Tempranillo Blanco Wine Volatile Composition
4. Conclusions
Author Contributions
Funding
Institutional Review Board Statement
Informed Consent Statement
Acknowledgments
Conflicts of Interest
References
- Robinson, A.L.; Boss, P.K.; Solomon, P.S.; Trengove, R.D.; Heymann, H.; Ebeler, S.E. Origins of grape and wine aroma. Part 2. Chemical and sensory analysis. Am. J. Enol. Vitic. 2014, 65, 25–42. [Google Scholar] [CrossRef]
- Marín-San Román, S.; Rubio-Bretón, P.; Pérez-Álvarez, E.P.; Garde-Cerdán, T. Advancement in analytical techniques for the extraction of grape and wine volatile compounds. Food Res. Int. 2020, 137, 109712. [Google Scholar] [CrossRef]
- Rubio-Bretón, P.; Salinas, M.R.; Nevares, I.; Pérez-Álvarez, E.P.; del Álamo-Sanza, M.; Marín-San Román, S.; Alonso, G.L.; Garde-Cerdán, T. Recent advances in the study of grape and wine volatile composition: Varietal, fermentative, and aging aroma compounds. In Food Aroma Evolution: During Food Processing, Cooking, and Aging; Bordiga, M., Nollet, L.M.L., Eds.; CRC Press: Boca Raton, FL, USA, 2020; pp. 439–464. [Google Scholar] [CrossRef]
- Garde-Cerdán, T.; Gutiérrez-Gamboa, G.; Baroja, E.; Rubio-Bretón, P.; Pérez-Álvarez, E.P. Influence of methyl jasmonate foliar application to vineyard on grape volatile composition over three consecutive vintages. Food Res. Int. 2018, 112, 274–283. [Google Scholar] [CrossRef]
- Lin, J.; Massonnet, M.; Cantu, D. The genetic basis of grape and wine aroma. Hortic. Res. 2019, 6, 81. [Google Scholar] [CrossRef] [PubMed]
- Tufariello, M.; Fragasso, M.; Pico, J.; Panighel, A.; Castellarin, S.D.; Flamini, R.; Grieco, F. Influence of non-Saccharomyces on wine chemistry: A focus on aroma-related compounds. Molecules 2021, 26, 644. [Google Scholar] [CrossRef]
- Bartowsky, E.J.; Borneman, A.R. Genomic variations of Oenococcus oeni strains and the potential to impact on malolactic fermentation and aroma compounds in wine. Appl. Microbiol. Biotechnol. 2011, 92, 441–447. [Google Scholar] [CrossRef]
- Garde-Cerdán, T.; Ancín-Azpilicueta, C. Review of quality factors on wine ageing in oak barrels. Trends Food Sci. Technol. 2006, 17, 438–447. [Google Scholar] [CrossRef]
- Garde-Cerdán, T.; Ancín-Azpilicueta, C. Contribution of wild yeasts to the formation of volatile compounds in inoculated wine fermentations. Eur. Food Res. Technol. 2006, 222, 15–25. [Google Scholar] [CrossRef]
- Lambrechts, M.G.; Pretorius, I.S. Yeast and its importance to wine aroma—A review. S. Afr. J. Enol. Vitic. 2000, 21, 97–129. [Google Scholar] [CrossRef]
- Popîrdă, A.; Luchian, C.E.; Cotea, V.V.; Colibaba, L.C.; Scutarașu, E.C.; Toader, A.M. A review of representative methods used in wine authentication. Agriculture 2021, 11, 225. [Google Scholar] [CrossRef]
- Sáenz, C.; Cedrón, T.; Cabredo, S. Classification of wines from five Spanish origin denominations by aromatic compound analysis. J. AOAC Int. 2010, 93, 1916–1922. [Google Scholar] [CrossRef]
- Tredoux, A.; De Villiers, A.; Májek, P.; Lynen, F.; Crouch, A.; Sandra, P. Stir bar sorptive extraction combined with GC-MS analysis and chemometric methods for the classification of South African wines according to the volatile composition. J. Agric. Food Chem. 2008, 56, 4286–4296. [Google Scholar] [CrossRef] [PubMed]
- Câmara, J.S.; Alves, M.A.; Marques, J.C. Multivariate analysis for the classification and differentiation of Madeira wines according to main grape varieties. Talanta 2006, 68, 1512–1521. [Google Scholar] [CrossRef] [PubMed][Green Version]
- Karimali, D.; Kosma, I.; Badeka, A. Varietal classification of red wine samples from four native Greek grape varieties based on volatile compound analysis, color parameters and phenolic composition. Eur. Food Res. Technol. 2020, 246, 41–53. [Google Scholar] [CrossRef]
- Zhang, J.; Li, L.; Gao, N.; Wang, D.; Gao, Q.; Jiang, S. Feature extraction and selection from volatile compounds for analytical classification of Chinese red wines from different varieties. Anal. Chim. Acta 2010, 662, 137–142. [Google Scholar] [CrossRef] [PubMed]
- Cynkar, W.; Dambergs, R.; Smith, P.; Cozzolino, D. Classification of Tempranillo wines according to geographic origin: Combination of mass spectrometry based electronic nose and chemometrics. Anal. Chim. Acta 2010, 660, 227–231. [Google Scholar] [CrossRef] [PubMed]
- Dourtoglou, V.; Antonopoulos, A.; Dourtoglou, T.; Lalas, S. Discrimination of varietal wines according to their volatiles. Food Chem. 2014, 159, 181–187. [Google Scholar] [CrossRef]
- Aznar, M.; Arroyo, T. Analysis of wine volatile profile by purge-and-trap-gas chromatography-mass spectrometry. Application to the analysis of red and white wines from different Spanish regions. J. Chromatogr. A 2007, 1165, 151–157. [Google Scholar] [CrossRef]
- Weldegergis, B.T.; De Villiers, A.; Crouch, A.M. Chemometric investigation of the volatile content of young South African wines. Food Chem. 2011, 128, 1100–1109. [Google Scholar] [CrossRef]
- Available online: https://www.europapress.es/la-rioja/noticia-investigadores-icvv-imidra-identifican-progenitores-variedad-uva-tempranillo-20120711125309.html (accessed on 22 October 2021).
- Carbonell-Bejerano, P.; Royo, C.; Torres-Pérez, R.; Grimplet, J.; Fernández, L.; Franco-Zorrilla, J.M.; Lijavetzki, D.; Baroja, E.; Martínez, J.; García-Escudero, E.; et al. Catastrophic unbalanced genome rearrangements cause somatic loss of berry color in grapevine. Plant Physiol. 2017, 175, 786–801. [Google Scholar] [CrossRef]
- Ayestarán, B.; Martínez-Lapuente, L.; Guadalupe, Z.; Canals, C.; Adell, E.; Vilanova, M. Effect of the winemaking process on the volatile composition and aromatic profile of Tempranillo Blanco wines. Food Chem. 2019, 276, 187–194. [Google Scholar] [CrossRef]
- Gutiérrez-Gamboa, G.; Garde-Cerdán, T.; Rubio-Bretón, P.; Pérez-Álvarez, E.P. Seaweed foliar applications at two dosages to Tempranillo blanco (Vitis vinifera L.) grapevines in two seasons: Effects on grape and wine volatile composition. Food Res. Int. 2020, 130, 108918. [Google Scholar] [CrossRef]
- Garde-Cerdán, T.; da Costa, N.L.; Rubio-Bretón, P.; Barbosa, R.; Baroja, E.; Martínez-Vidaurre, J.M.; Marín-San Román, S.; Sáenz de Urturi, I.; Pérez-Álvarez, E.P. The most important parameters to differentiate Tempranillo and Tempranillo Blanco grapes and wines through machine learning. Food Anal. Method. 2021, 14, 2221–2236. [Google Scholar] [CrossRef]
- OIV. Compendium of Internationals Methods of Wine and MUST Analysis; OIV: Paris, France, 2016. [Google Scholar]
- Rubio-Bretón, P.; Gonzalo-Diago, A.; Iribarren, M.; Garde-Cerdán, T.; Pérez-Álvarez, E.P. Bioprotection as a tool to free additives winemaking: Effect on sensorial, anthocyanic and aromatic profile of young red wines. LWT Food Sci. Technol. 2018, 98, 458–464. [Google Scholar] [CrossRef]
- Oliveira, J.M.; Fari, M.; Sa, F.; Barros, F.; Araujo, I.M. C6-alcohols as varietal markers for assessment of wine origin. Anal. Chim. Acta 2006, 563, 300–309. [Google Scholar] [CrossRef]
- Ferreira, J.E.V.; Miranda, R.M.; Figueiredo, A.F.; Barbosa, J.P.; Brasil, E.M. Box-and-whisker plots applied to food chemistry. J. Chem. Educ. 2016, 93, 2026–2032. [Google Scholar] [CrossRef]
- Garde-Cerdán, T.; Ancín-Azpilicueta, C. Effect of the addition of different quantities of amino acids to nitrogen-deficient must on the formation of esters, alcohols, and acids during wine alcoholic fermentation. LWT Food Sci. Technol. 2008, 41, 501–510. [Google Scholar] [CrossRef]
- Garde-Cerdán, T.; Jarauta, I.; Salinas, M.R.; Ancín-Azpilicueta, C. Comparative study of the volatile composition in wines obtained from traditional vinification and from the Ganimede method. J. Sci. Food Agric. 2008, 88, 1777–1785. [Google Scholar] [CrossRef]
- Rapp, A.; Mandery, H. Wine aroma. Experientia 1986, 42, 873–884. [Google Scholar] [CrossRef]
- Francis, I.L.; Newton, J.L. Determining wine aroma from compositional data. Aust. J. Grape Wine Res. 2005, 11, 114–126. [Google Scholar] [CrossRef]
- Robinson, A.L.; Boss, P.K.; Solomon, P.S.; Trengove, R.D.; Heymann, H.; Ebeler, S.E. Origins of grape and wine aroma. Part 1. Chemical components and viticultural impacts. Am. J. Enol. Vitic. 2014, 65, 1–24. [Google Scholar] [CrossRef]
- Pozo-Bayón, M.A.; G-Alegría, E.; Polo, M.C.; Tenorio, C.; Martín-Álvarez, P.J.; Calvo De La Banda, M.T.; Ruiz-Larrea, F.; Moreno-Arribas, M.V. Wine volatile and amino acid composition after malolactic fermentation: Effect of Oenococcus oeni and Lactobacillus plantarum starter cultures. J. Agric. Food Chem. 2005, 53, 8729–8735. [Google Scholar] [CrossRef]
- Boido, E.; Medina, K.; Fariña, L.; Carrau, F.; Versini, G.; Dellacassa, E. The effect of bacterial strain and aging on the secondary volatile metabolites produced during malolactic fermentation of Tannat red wine. J. Agric. Food Chem. 2009, 57, 6271–6278. [Google Scholar] [CrossRef] [PubMed]
- Guth, H. Quantitation and sensory studies of character impact odorants of different white wine varieties. J. Agric. Food Chem. 1997, 45, 3027–3032. [Google Scholar] [CrossRef]
- Ferreira, V.; López, R.; Cacho, J.F. Quantitative determination of the odorants of young red wines from different grape varieties. J. Sci. Food Agric. 2000, 80, 1659–1667. [Google Scholar] [CrossRef]






| Publisher’s Note: MDPI stays neutral with regard to jurisdictional claims in published maps and institutional affiliations. | 
© 2021 by the authors. Licensee MDPI, Basel, Switzerland. This article is an open access article distributed under the terms and conditions of the Creative Commons Attribution (CC BY) license (https://creativecommons.org/licenses/by/4.0/).
Share and Cite
Garde-Cerdán, T.; Rubio-Bretón, P.; Marín-San Román, S.; Baroja, E.; Sáenz de Urturi, I.; Pérez-Álvarez, E.P. Study of Wine Volatile Composition of Tempranillo versus Tempranillo Blanco, a New White Grape Variety. Beverages 2021, 7, 72. https://doi.org/10.3390/beverages7040072
Garde-Cerdán T, Rubio-Bretón P, Marín-San Román S, Baroja E, Sáenz de Urturi I, Pérez-Álvarez EP. Study of Wine Volatile Composition of Tempranillo versus Tempranillo Blanco, a New White Grape Variety. Beverages. 2021; 7(4):72. https://doi.org/10.3390/beverages7040072
Chicago/Turabian StyleGarde-Cerdán, Teresa, Pilar Rubio-Bretón, Sandra Marín-San Román, Elisa Baroja, Itziar Sáenz de Urturi, and Eva P. Pérez-Álvarez. 2021. "Study of Wine Volatile Composition of Tempranillo versus Tempranillo Blanco, a New White Grape Variety" Beverages 7, no. 4: 72. https://doi.org/10.3390/beverages7040072
APA StyleGarde-Cerdán, T., Rubio-Bretón, P., Marín-San Román, S., Baroja, E., Sáenz de Urturi, I., & Pérez-Álvarez, E. P. (2021). Study of Wine Volatile Composition of Tempranillo versus Tempranillo Blanco, a New White Grape Variety. Beverages, 7(4), 72. https://doi.org/10.3390/beverages7040072
 
         
                                                

 
                        