Previous Article in Journal
Investigation of Millet-Based Beer Fermentation and the Volatile Compounds Formed
 
 
Font Type:
Arial Georgia Verdana
Font Size:
Aa Aa Aa
Line Spacing:
Column Width:
Background:
Article

Quality and Safety Assessment of Commercial Peppermint Teas Based on Essential Oil Yield and Composition

1
Institute of Pharmacy, Faculty of Medicine, University of Tartu, 50411 Tartu, Estonia
2
Institute of Chemistry, Faculty of Science and Technology, University of Tartu, 50411 Tartu, Estonia
3
Department of Pharmacognosy, Faculty of Pharmacognosy and Traditional Medicine, Hanoi University of Pharmacy, 13-15 Le Thanh Tong, Hanoi 10000, Vietnam
4
Department of Pharmaceutical Management, Drug Technology and Pharmacognosy, Ivano-Frankivsk National Medical University, 76018 Ivano-Frankivsk, Ukraine
*
Authors to whom correspondence should be addressed.
Beverages 2026, 12(3), 38; https://doi.org/10.3390/beverages12030038
Submission received: 18 February 2026 / Revised: 11 March 2026 / Accepted: 13 March 2026 / Published: 18 March 2026

Abstract

Peppermint tea is one of the most widely consumed herbal beverages worldwide, yet limited data are available on the chemical variability and quality of commercial products. This study assessed the essential oil (EO) yield and composition of 39 commercial peppermint (Mentha × piperita L.) teas and commercial EOs obtained from different countries. EO yield showed pronounced variability, ranging from 0.8 to 26.8 mL/kg. In total, 112 compounds were identified by GC-MS, accounting for 88.4–99.5% of the total EO composition. The major constituents were menthol (0.1–25.2%), menthone (0.1–21.8%), and carvone (0.6–30.0%), revealing marked chemical heterogeneity among marketed products. Several samples exhibited unusually high carvone levels accompanied by reduced menthol and menthone contents, reflecting substantial chemotypic diversity and inconsistency among marketed products. The concentrations of the regulated constituents, pulegone (0.02–2.56%) and menthofuran (0.02–6.58%), remained within the European Pharmacopoeia limits. Based on the observed levels of pulegone and menthofuran, the results do not indicate a safety concern for consumers under normal tea preparation and consumption conditions. Overall, the findings demonstrate substantial variability in the quality of commercial peppermint teas and highlight the relevance of essential oil profiling as a tool for assessing the quality and safety of herbal beverages.

1. Introduction

Peppermint (Mentha × piperita L., Lamiaceae) tea is a widely consumed caffeine-free herbal beverage valued for its characteristic flavour and perceived digestive and relaxation benefits [1]. Growing consumer interest in natural, plant-based drinks has driven the continued expansion of the global herbal tea market, including peppermint tea [2].
Peppermint is also extensively used as a flavouring ingredient in food, as well as pharmaceutical and cosmetic products. Its long history of medicinal and culinary use and its broad spectrum of biological activities have been well-documented [3,4,5,6]. The quality of peppermint raw material and essential oil is regulated by pharmacopoeial and the ISO standards, which define minimum essential oil (EO) content and compositional limits for key constituents such as menthol, menthone, pulegone, and related compounds [7,8]. Peppermint EO is widely applied as a fragrance agent, and its pharmacological properties, including antimicrobial, antioxidant, and antispasmodic effects, have been extensively reviewed [4,6,9].
The widespread commercial availability of peppermint products has increased interest in the chemical quality and variability of marketed raw materials [5,10]. The peppermint tea market is valued at about USD 262 million in 2025, while the peppermint EO market is much larger, estimated at USD 700 million in 2023 [3]. Given the high commercial value of peppermint leaves and their EOs, considerable efforts have been focused on optimising their production and improving plant quality and safety [4].
Certain peppermint EO constituents, particularly pulegone and menthofuran, are subject to regulatory limits due to their potential toxicity at high intake levels, as assessed by regulatory agencies and international expert bodies [5,6,7,8,9,10,11].
The EMA proposes an acceptable exposure limit of pulegone at 0.75 mg/kg body weight per day. The European Food Safety Authority Compendium reports the occurrence of pulegone, 1,8-cineole, isomenthone, and menthone in the EO from peppermint aerial parts as a cause of potential concern for human and animal health [12]. While peppermint tea is widely consumed across Europe, our previous market survey of herbal teas in Estonia identified peppermint as the most widely cultivated and commercially available species, underlining its importance in the regional market [13].
Previous studies have demonstrated considerable variability in the EO composition of peppermint from different origins and commercial sources [14,15,16,17]. However, comprehensive data on the chemical variability of commercially available peppermint teas remain limited. The aim of the present study was to investigate EO yield and composition in commercially marketed peppermint teas from different countries, with a focus on chemical variability, product quality, and safety considerations relevant to consumers.

2. Materials and Methods

2.1. Plant Material

The research material consisted of 35 commercial peppermint leaf samples and four EO samples, purchased in 2025 from pharmacies, grocery stores, or health food stores in different countries (Table 1). Peppermint leaves sold in commercial packaging were supplemented with four commercial EOs produced in Ukraine (Table 1). When presenting the results (Table 1, Table 2 and Table 3), the order of the samples studied has been changed for delicacy, without linking the results to the manufacturers’ names.

2.2. Hydrodistillation of Essential Oil

The EO was hydrodistilled from the peppermint samples using the modified method described in the European Pharmacopoeia [18] monograph “Peppermint leaf/Menthae piperita folium” [18]. The plant materials (20 g of crushed herbal drug) with 200 mL of purified water were hydrodistilled in a 1000 mL round-bottom flask, and hexane (0.5 mL) was added to a graduated tube to remove the distilled EO.
Distillations were performed using the European Pharmacopoeia 5.11.8 assay [18], modified in the following ways for EOs in herbal drugs: the distillation length was shortened from 3 h to 2 h, 0.5 mL xylol was replaced with 0.5 mL hexane, and the measurement of solvent volume after a 30 min blank distillation was omitted. The latter step was omitted because hexane evaporates throughout the entire distillation, not just at the beginning, making it unnecessary for hexane distillations. This step was also skipped for distillations using xylol, due to variations between a single sample’s three distillations being greater than the effects from xylol evaporating in the first 30 min.
Due to the large number of samples and limited supply, only one hexane distillation was performed for most samples intended for the gas chromatography (GC) analysis. From these samples, 15 were selected for an additional distillation with xylene. These samples had varying EO content, ranging from the lowest to the highest, as measured in previous hexane distillations.
A graph describing the relation between the two distillation results—hexane plus EO amounts and xylol plus EO amounts—was then created, and a quotient was calculated for each result using the formula in Figure 1. A logarithmic relation was assumed, and the analysis confirmed that this approach fit the experimental data well while not incurring excessive risk of overfitting the trend line. This formula, however, struggles with EO plus hexane values exceeding 0.9 mL, resulting in theoretical EO plus xylol amounts that are significantly lower than those observed experimentally. The values on the lower end, below 0.29 mL, seem to provide mathematically fitting results. These results, however, are lower than 0.5 mL, the theoretical amount of xylene added at the beginning of a distillation, making the quantitative analysis difficult.
Hexane was chosen for easier GC analysis; if xylene had been used, it would have complicated the interpretation of the GC results. Xylene, due to its high boiling point of 139.3 °C and slower relative retention time, tends to cover multiple components in peppermint EO, complicating further analysis.

2.3. Gas Chromatography/Mass Spectrometry

The EO samples were analysed on an Agilent 6890/5973 GC-MS system using MSD ChemStation (Agilent Technologies, Santa Clara, CA, USA). A total of 1 µL of the sample was introduced into an Agilent HP-5ms UI column (30 m length, 0.25 mm inner diameter, 0.25 µm film thickness) using split mode (50–100:1). The injector temperature was 280 °C, and the carrier gas (He) flow was kept constant 1 mL/min throughout the whole analysis. The oven was held at 50 °C for 2 min, followed by a ramp of 4 °C/min to a final temperature of 280 °C, which was maintained for 5 min.
The MSD was operated in the EI mode at 70 eV, scanning across the mass range of 29–400 m/z with a delay time of 4 min and a scan speed of 3.8 scans per second. The data were analysed using the Agilent MassHunter Software (B.07.04) package, applying a deconvolution algorithm at different window size factors. The resulting compounds were identified by using the NIST23 library with Match Factor ≥ 85 and by retention indexes (relative to n-alkanes C8–C30) or obtained through the analysis of the reference compounds. The area percentages of each peak were calculated from the total areas in the chromatograms without using correction factors. The representative chromatograms are shown in Figure 2 and Figure 3. The GC-MS raw data supporting the results are provided as an Excel table and a PDF in the Supplementary Files (Mentha piperita supplementary file.xlsx, Mentha piperita supplementary file.pdf).

2.4. Statistical Analysis

The Kruskal–Wallis test was applied to assess the differences in essential oil composition across the analysed commercial peppermint tea samples, followed by Dunn’s post hoc test with Holm correction. A significance level of p < 0.05 was used.

3. Results and Discussion

3.1. Yield of Essential Oils

The EO yield of the commercial peppermints samples studied ranged from 0.8 to 26.8 mL/kg (Table 2 and Table 3). The EO yield was below the European Pharmacopoeia [18] standard requirement (9 mL/kg) in 16 of the 35 samples. Considering the studied EO composition and the particularly low menthol and menthone content (Table 2 and Table 3), the question arises as to whether all commercial products fully match the typical chemical profile expected for peppermint.

3.2. Composition of Essential Oils

The GC-MS raw data for all samples and compounds are provided as an Excel table and a PDF file in the Supplementary File (Mentha piperita supplementary file.xlsx, Mentha piperita supplementary file.pdf). Due to the large volume of data, we performed a single analysis across all samples. The Kruskal–Wallis test showed a statistically significant difference between columns A–AM (H = 96.33, p < 0.001). In the subsequent Dunn post hoc analysis (Holm correction), several columns were found to be statistically similar. Columns A–F and J–L did not differ significantly from each other (p > 0.05), while columns M–AM differed statistically significantly from them (p < 0.05). Therefore, the results are quite diverse, and the differences between the analysed samples require attention.
A total of 112 compounds were identified in the 39 commercial peppermint tea EOs, accounting for 88.4–99.5% of the total EO value. Two typical chromatograms of peppermint EO are shown: one rich in menthol and menthone (Figure 2), and the other rich in carvone content (Figure 3). Menthol content in EO ranged from 0.1 to 25.5%, which is below the European Pharmacopoeia [18] limit (Table 2 and Table 3). In previous studies of commercial peppermint teas, we have obtained menthol content ranging mainly from 30 to 50% [1]. Our other study showed even higher levels of menthone (11.2–45.6%) than menthol (1.5–39.5%) in eight commercial mint samples [19]. The EOs of commercial peppermint teas contained 0.02–2.56% of pulegone and 0.02–6.58% of menthofuran (Table 2). To provide a better understanding of the main and hazardous components of peppermint EOs, we have summarised the research results of other authors in Table 4.
Although commercial peppermint teas are intended for infusion rather than essential oil production, the European Pharmacopoeia monograph for peppermint essential oil provides a scientifically established compositional framework based on quality and safety considerations. The pharmacopoeial limits were therefore used as a comparative reference rather than as regulatory criteria, allowing contextual interpretation of the observed variability in essential oil composition.
The analysis revealed that EO yield varies up to 33-fold in different commercial peppermint teas (Table 2). According to the ISO standard [5], the EO yield typically ranges from 0.1 to 1% for air-dried parts, but it can be widened to 0.5–4%. The yield of EO from peppermint leaves depends on many factors, such as plant genotype, harvest stage, techniques used, plant origin, soil and climatic conditions, the ontogenetic stage of the plant, isolation methods, analytical procedures used, etc. [5].
In previous work (2009–2012), we examined the composition of 27 commercial peppermint teas, with EO yields ranging from 4 to 22 mL/kg [1]. Among commercial peppermint teas packed in tea bags (n = 19), only eight (less than half) exceeded the European Pharmacopoeia 11th Ed. minimum limit of 9 mL/kg [18]. From the herbs available as crude drugs (n = 8), only four samples fulfilled the requirement. One reason for such high variability may be the different packaging of the teas by various manufacturers. When studying commercial chamomile teas, we concluded that the EO yield was higher in tea bags packaged in multiple layers: paper, individual envelope, cardboard, and plastic [10]. In the present study, no relationship was observed between the EO yield and the type of packaging of the plant material (Table 1 and Table 2). The EO yield in Brazilian commercial peppermint samples ranged from 1.2 to 6.2 mL/kg, which was relatively low [6].
Hypothetically, it can be assumed that in rare cases, some other plant material with organoleptic properties similar to peppermint is marketed among commercial mint. This assumption is supported by the low menthol and menthone content (Table 2 and Table 3) and by many other studies (Table 4).
According to classical knowledge, the main component of peppermint EO is menthol, which, according to the European Pharmacopoeia [18] standard, must be present in industrial EO at a concentration of 30.0–55.0% [18]. In reality, the menthol content in tea leaves may be significantly lower. The present study showed that four of the 39 samples tested contained less than 1% menthol. Similar results were obtained in a previous study, where two samples of 27 commercial samples tested had very low menthol levels. We concluded that the samples low in menthol also had the same trend for menthone. A similar tendency was observed in the current study (Table 3). Wang et al. evaluated 22 authentic and 36 commercial peppermint tea EOs against the ISO standards; 53% of commercial samples failed, and the menthone/isomenthone ratio proved to be a reliable marker for authentication and adulteration [7].
As shown in Table 4, low menthol content (<0.01–6 mL/kg) in peppermint EOs is not rare. For example, in the work presented in [19], the principal components in the EOs of peppermint were: menthone (11.2–45.6%), menthol (1.5–39.5%), isomenthone (1.3–15.5%), menthyl acetate (0.3–9.2%), piperitone (0.8–5.9%), pulegone (0.1–13.0), etc. The question arises whether in all cases the plant material is correctly identified as peppermint. Since the menthol and menthone content in peppermint leaves varies within such large limits (Table 4), the presence of a chemotype that is low in menthol and menthone cannot be ruled out.
One important factor contributing to the high variability in chemical composition is the plant’s developmental stage. For example, in Ukrainian peppermint, the pre-flowering harvest yields menthol (42.8%), menthone (26.2%), and menthyl acetate (6.3%), whereas the post-flowering harvest yields menthol (42.5%), menthyl acetate (18%), and limonene (8.3%) [10]. During flowering, peppermint EO is richest in pulegone and menthofuran, the latter reaching up to 15% in flowers. At this stage, menthol predominates, whereas in the bud phase, menthone is more abundant [9,14]. As peppermint matures, menthofuran, limonene, and pulegone decline, while menthol, cineole, and neomenthol increase [15]. Farley et al. found high concentrations of pulegone in young peppermint plants, but these decreased with increasing plant age and were metabolised to menthol and menthone [16]. It is metabolised to menthol as the leaves mature [17] (Figure 4).
The concentrations of potentially toxic pulegone and menthofuran are not so high (Table 2 and Table 3) and stay below the European Pharmacopoeia limits [18]. Also, in a previous similar study, the content of pulegone was between 0 and 4.1%, and it exceeded the limit of European Pharmacopoeia [18] (maximum 3%) in three samples out of 27, while the concentration of menthofuran (0–7.9%) was under the limit level of 8% [1]. Djerrad et al. [73] reported the peppermint chemotype rich in linalool chemotype (32.6/30.8%). In another study, which included samples from eight different countries, the pulegone content was 0.1–13%, exceeding 3% in only one case, and the menthofuran content was 0.1–0.9% [19]. In our third study (27 commercial peppermint teas), we obtained pulegone and menthofuran contents of 0–4.1% and 0.2–7.1%, respectively [1].
It is useful to compare the content of peppermint’s key components across the results from different authors (Table 4). Wang et al. analysed the main compounds in 36 commercial peppermint EOs and distilled EOs from 22 plant samples [7]. Of the 27 peppermint EO samples, eight met the ISO standard, where the level of pulegone was 1.0–4.0% and the level of menthofuran was 2.9–7.0%. The authors consider it possible that, in some cases, peppermint EOs have been intentionally modified with other mint EOs [7]. Shasany et al. [64] studied 20 peppermint genotypes, and one of them (‘CIM-Indus’) was rich in pulegone (15.4%) and methofuran (27.3%). The highest level of menthofuran (44%) has been found in a peppermint chemotype in India [28]. Fouad et al. [74] found about 84% of pulegone in the EO of M. pulegium, 50–59% in M. longifolia, 0.5–3.3 in M. spicata, and 0–1.7% in M. viridis. Even in the M. pulegium EO, the content of pulegone in 20 samples varied significantly, ranging from ~0.1% to 90.7%.
Depending on environmental factors, pulegone can be reduced to (−)-menthone through pulegone reductase, leading to menthol biosynthesis, or oxidised to (+)-menthofuran through menthofuran synthase. Therefore, the contents of pulegone and menthofuran in the EOs of the Mentha species decrease or increase in tandem [75]. Menthone content behaves in the opposite direction compared to pulegone and menthofuran concentrations in peppermint leaves [76]. In our study, there is no significant correlation between pulegone and menthofuran across the samples (Table 1). Menthol and menthone contents showed no significant correlation across the full dataset (Pearson r ≈ +0.21, p > 0.19; Spearman ρ ≈ +0.06, p > 0.73). After removing six extreme outliers, the relationship shifted to a moderate negative trend (Pearson r ≈ –0.34, p ≈ 0.05), suggesting a possible inverse association between these compounds in certain chemotypes. Overall, the data indicate high variability and no consistent linear relationship.
It is interesting to note that the actual carvone content is considerably higher than the European Pharmacopoeia standards [18] (not more than 1.0%): in this study, we obtained a range of 0.6–30%, with only six out of 29 samples having a content lower than 1% (Table 2 and Table 3). In a previous study of commercial peppermint teas, we obtained a range of 0.1–71.6% carvone content, although only six out of 27 samples had a carvone content higher than 1% [1]. Among commercial samples from Brazil, two samples contain carvone as a primary compound [6]. Thus, a carvone-rich peppermint chemotype exists.
The content of isopulegol (0.01–1.3%), metabolising similarly to toxic pulegone [77], exceeded the European Pharmacopoeia [18] standard norm (up to 0.2%) in most samples. Isopulegol can be harmful if swallowed and may cause skin, eye, and respiratory irritation, with an acute oral LD50 in rats of about 1.03 mL/kg [78]. Based on the Research Institute for Fragrance Materials’ safety assessment, isopulegol exhibits low acute oral toxicity (LD50 ≈ 936 mg/kg in rats) and no genotoxic, reproductive, or developmental hazards, supporting its safe use at regulated levels in flavours [79]. Due to its low content (0.01–1.33%), isopulegol does not pose a quality-related safety concern under normal conditions of use in typical peppermint consumption.
In the EU, the maximum recommended daily dose of peppermint EO is 1.2 mL, containing up to 140 mg pulegone with menthofuran. For a 60 kg adult, this equals to 2.3 mg/kg body weight, exceeding the tolerated daily intake (0.1 mg/kg) set for food by the Committee of Experts on Flavouring Substances [5]. Based on 8% menthofuran and 3% pulegone content, with limits of 0.2 mg/kg/d for menthofuran and 0.5 mg/kg/d for pulegone, the authors of the study [80] recommended a maximum daily oral dose of 152 mg peppermint EO. The EMA [81] daily dose of peppermint EO is 0.24–0.48 mL for the relief of symptoms in coughs and colds. If we take the highest EO yield obtained in our study (25 mL/kg) as a basis for calculations, then 152 mg of EO would correspond to 5.6 g of peppermint leaves. According to EMA [82], the recommended daily dose of peppermint leaves is 4.5–9 g for the symptomatic relief of digestive disorders such as dyspepsia and flatulence.
In reality, peppermint is consumed in smaller quantities per day, as tea bags usually weigh 1 g or 1.5–2 g (Table 1). The European [18] and US [83] pharmacopoeias do not mention the solubility of peppermint EO in water. According to general pharmacopoeial definitions, substances described as “practically insoluble” dissolve in less than part per 10,000 of solvent, indicating that only trace amounts of peppermint essential oil are expected in aqueous infusions. Menthol is almost insoluble in water, and the water solubility of menthone is 688 mg/L at 25 °C. Pulegone and menthofuran are sparingly to slightly soluble in organic solvents [84]. In contrast, one volume of peppermint EO dissolves in three volumes of 70% [83]. If the EO content of peppermint leaves is 10 g/kg, then 1 g of plant material required for making tea contains 0.01 g of EO, meaning that a cup of tea (200 mL) contains only 0.01 mg of EOs. This discussion is consistent with Riachi et al.’s [85] study on the amount of terpenoids in peppermint tea: a cup of peppermint tea contains 0.055–0.076 mg of terpenes.
Therefore, daily repeated consumption of commercial products labelled as peppermint teas does not indicate a quality-related safety concern under normal conditions of preparation and use. The present calculations should therefore be regarded as indicative and hypothesis-generating rather than definitive exposure data. However, ethanolic extracts of peppermint leaves can be hazardous to health in larger quantities.
The quality of commercial peppermint teas varies significantly depending on their EO content and composition, which can affect consumer health. The yield of EO varies at least threefold in different commercial peppermint samples, while the main and also health-hazardous components of the EO differ even more widely. Among commercial peppermint samples, there are teas with unusually low menthol and menthone content but high carvone content. The content of pulegone and menthofuran in the tested commercial peppermint EOs is within the limits permitted by the European Pharmacopoeia. Given the levels of the potentially toxic peppermint compounds, pulegone and menthofuran, in commercial peppermint teas, it can be assumed that drinking peppermint teas in normal quantities daily is not dangerous to human health.

4. Limitations

The researchers conducting this study were unable to identify the plant material as peppermint, especially in the case of powdered commercial peppermint leaves packaged in tea bags. We could only rely on the manufacturer’s claim on the packaging and check for the presence of a characteristic peppermint aroma. Since the work analysed many samples of plant material (n = 35), we decided to limit ourselves to a single distillation per sample (without parallel experiments) to save cooling water, electricity, and time. Although EOs are only partially transferred into aqueous infusions, EO yield and composition remain relevant indicators of raw material quality and authenticity. Despite these limitations, the large number of samples and consistent analytical approach provide a solid basis for evaluating the quality and safety of commercial peppermint teas.
The present study focused on chemical quality markers of the raw material; sensory evaluation and direct quantitative analysis of prepared infusions were beyond its scope and warrant further investigation.

5. Conclusions

The present study demonstrates pronounced variability in essential oil yield and chemical composition among commercially available peppermint (Mentha × piperita L.) teas, indicating substantial heterogeneity in product quality on the market. Chemical profiling revealed distinct EO chemotypes characterised by varying proportions of menthol, menthone, and carvone. The frequent occurrence of carvone-rich profiles, accompanied by reduced menthol and menthone contents, highlights a deviation from the pharmacopoeial concept of “typical” peppermint and underscores the relevance of chemotypic diversity in quality assessment.
Considering the low concentrations of pulegone and menthofuran and their compliance with pharmacopoeial limits, the results do not indicate a quality-related safety concern for consumers under normal tea preparation and consumption practices.
Overall, these findings highlight considerable chemical heterogeneity in commercial peppermint teas and demonstrate the value of essential oil profiling as a practical tool for quality control and safety assessment of herbal beverages.

Supplementary Materials

The following supporting information can be downloaded at: https://www.mdpi.com/article/10.3390/beverages12030038/s1. The GC-MS raw data supporting the results are provided as an Excel table and as a PDF in the Supplementary Files (Mentha piperita supplementary file.xlsx, Mentha piperita supplementary file.pdf).

Author Contributions

Conceptualization, A.R., M.L., A.G. and O.K.; methodology, A.R., M.L. and T.T.N.; investigation, A.R., R.L. and M.L.; resources, A.R., R.L. and A.G.; formal analysis, A.R., R.L. and M.L.; visualisation, R.L. and M.L.; supervision, A.R., M.L. and O.K.; project administration, A.R., writing—original draft preparation, A.R., R.L., T.T.N. and O.K.; writing—review and editing, A.R. and O.K. All authors have read and agreed to the published version of the manuscript.

Funding

This research received no external funding.

Institutional Review Board Statement

Not applicable.

Informed Consent Statement

Not applicable.

Data Availability Statement

The original contributions presented in this study are included in the article/Supplementary Material. Further inquiries can be directed to the corresponding authors.

Conflicts of Interest

The authors declare no conflicts of interest.

References

  1. Kapp, K.; Hakala, E.; Orav, A.; Pohjala, L.; Vuorela, P.; Püssa, T.; Vuorela, H.; Raal, A. Commercial Peppermint (Mentha × piperita L.) Teas: Antichlamydial Effect and Polyphenolic Composition. Food Res. Int. 2013, 53, 758–766. [Google Scholar] [CrossRef]
  2. Carbone, R.; Caracciolo, F.; Di Vita, G.; D’Amico, M.; Spina, D. Consumer Trends in the Herbal Tea Market: A Systematic Literature Review. Food Rev. Int. 2025, 41, 2634–2652. [Google Scholar] [CrossRef]
  3. Peppermint Tea Market Report 2025 (Global Edition). Available online: https://www.Cognitivemarketresearch.Com/Peppermint-Tea-Market-Report (accessed on 30 November 2025).
  4. Skalicka-Woźniak, K.; Walasek, M. Preparative Separation of Menthol and Pulegone from Peppermint Oil (Mentha piperita L.) by High-Performance Counter-Current Chromatography. Phytochem. Lett. 2014, 10, xciv–xcviii. [Google Scholar] [CrossRef]
  5. ISO 856:2006; Oil of Peppermint (Mentha × piperita L.). International Organization for Standardization (ISO): Geneva, Switzerland, 2006.
  6. Alves Pereira, U.; Martins Aguilar, C.; Fernandes Dias, M.C.; Luis D’Grande, G.; Fontes Pinheiro, P.; Moreira Osório, V. Analysis of Essential Oil from Brazilian Mentha × piperita L. Commercial Samples. Rev. Virtual Quim. 2022, 14, 179–184. [Google Scholar] [CrossRef]
  7. Wang, M.; Lee, J.; Zhao, J.; Chatterjee, S.; Chittiboyina, A.G.; Ali, Z.; Khan, I.A. Comprehensive Quality Assessment of Peppermint Oils and Commercial Products: An Integrated Approach Involving Conventional and Chiral GC/MS Coupled with Chemometrics. J. Chromatogr. B 2024, 1232, 123953. [Google Scholar] [CrossRef]
  8. Gholamipourfard, K.; Salehi, M.; Banchio, E. Mentha piperita Phytochemicals in Agriculture, Food Industry and Medicine: Features and Applications. S. Afr. J. Bot. 2021, 141, 183–195. [Google Scholar] [CrossRef]
  9. Chalchat, J.-C.; Garry, R.-P.; Michet, A. Variation of the Chemical Composition of Essential Oil of Mentha piperita L. during the Growing Time. J. Essent. Oil Res. 1997, 9, 463–465. [Google Scholar] [CrossRef]
  10. Raal, A.; Orav, A.; Püssa, T.; Valner, C.; Malmiste, B.; Arak, E. Content of Essential Oil, Terpenoids and Polyphenols in Commercial Chamomile (Chamomilla recutita L. Rauschert) Teas from Different Countries. Food Chem. 2012, 131, 632–638. [Google Scholar] [CrossRef]
  11. Kazemi, A.; Iraji, A.; Esmaealzadeh, N.; Salehi, M.; Hashempur, M.H. Peppermint and Menthol: A Review on Their Biochemistry, Pharmacological Activities, Clinical Applications, and Safety Considerations. Crit. Rev. Food Sci. Nutr. 2025, 65, 1553–1578. [Google Scholar] [CrossRef] [PubMed]
  12. EFSA Panel on Additives and Products or Substances used in Animal Feed (FEEDAP); Villa, R.E.; Azimonti, G.; Bonos, E.; Christensen, H.; Durjava, M.; Dusemund, B.; Gehring, R.; Glandorf, B.; Kouba, M.; et al. Safety and Efficacy of a Feed Additive Consisting of a Tincture Derived from the Leaves or the Aerial Parts of Mentha × piperita L. (Peppermint Tincture) for Use in All Animal Species (FEFANA Asbl). EFSA J. 2025, 23, e9544. [Google Scholar] [CrossRef]
  13. Sepp, J.; Shepeleva, O.; Kask, A.; Nelis, G.; Huttunen, A.-P.; Kogermann, K.; Heinämäki, J.; Koshovyi, O.; Raal, A. Production, Marketing and Consumption of Herbal Drugs in Estonia. J. Appl. Res. Med. Aromat. Plants 2024, 40, 100544. [Google Scholar] [CrossRef]
  14. Góra, J.; Lis, A. Najcenniejsze Olejki Eteryczne Cz˛éśc I, 4th ed.; Wydawnictwo Politechniki Łódzkiej: Łódź, Poland, 2019. [Google Scholar]
  15. Abdi, G.; Shokrpour, M.; Salami, S.A. Essential Oil Composition at Different Plant Growth Development of Peppermint (Mentha × piperita L.) Under Water Deficit Stress. J. Essent. Oil Bear. Plants 2019, 22, 431–440. [Google Scholar] [CrossRef]
  16. Voigt, V.; Franke, H.; Lachenmeier, D.W. Risk Assessment of Pulegone in Foods Based on Benchmark Dose–Response Modeling. Foods 2024, 13, 2906. [Google Scholar] [CrossRef]
  17. Johnson, W.; Bergfeld, W.F.; Belsito, D.V.; Hill, R.A.; Klaassen, C.D.; Liebler, D.C.; Marks, J.G.; Shank, R.C.; Slaga, T.J.; Snyder, P.W.; et al. Amended Safety Assessment of Mentha piperita (Peppermint)–Derived Ingredients as Used in Cosmetics. Int. J. Toxicol. 2023, 42, 117S–143S. [Google Scholar] [CrossRef] [PubMed]
  18. European Pharmacopoeia, 11th ed.; Council of Europe: Strasbourg, France, 2022.
  19. Orav, A.; Raal, A.; Arak, E. Comparative Chemical Composition of the Essential Oil of Mentha × piperita L. from Various Geographical Sources. PEAS Chem. 2004, 53, 174–181. [Google Scholar] [CrossRef]
  20. Buleandra, M.; Oprea, E.; Popa, D.E.; David, I.G.; Moldovan, Z.; Mihai, I.; Badea, I.A. Comparative Chemical Analysis of Mentha piperita and M. spicata and a Fast Assessment of Commercial Peppermint Teas. Nat. Prod. Commun. 2016, 11, 551–555. [Google Scholar] [CrossRef]
  21. Verma, R.K.; Verma, R.S.; Rahman, L.-U.; Kalra, A.; Patra, D.D. Integrated Nutrient Management on Biomass, Oil Yields and Essential Oil Composition of Peppermint (Mentha piperita L.) and Residual Fertility in a Hilly Soil. J. Essent. Oil Bear. Plants 2016, 19, 582–591. [Google Scholar] [CrossRef]
  22. Wildung, M.R.; Croteau, R.B. Genetic Engineering of Peppermint for Improved Essential Oil Composition and Yield. Transgenic Res. 2005, 14, 365–372. [Google Scholar] [CrossRef]
  23. De Sousa Barros, A.; De Morais, S.M.; Ferreira, P.A.T.; Vieira, Í.G.P.; Craveiro, A.A.; Dos Santos Fontenelle, R.O.; De Menezes, J.E.S.A.; Da Silva, F.W.F.; De Sousa, H.A. Chemical Composition and Functional Properties of Essential Oils from Mentha Species. Ind. Crops Prod. 2015, 76, 557–564. [Google Scholar] [CrossRef]
  24. Hussain, A.I.; Anwar, F.; Nigam, P.S.; Ashraf, M.; Gilani, A.H. Seasonal Variation in Content, Chemical Composition and Antimicrobial and Cytotoxic Activities of Essential Oils from Four Mentha Species. J. Sci. Food Agric. 2010, 90, 1827–1836. [Google Scholar] [CrossRef] [PubMed]
  25. Yadegarinia, D.; Gachkar, L.; Rezaei, M.B.; Taghizadeh, M.; Astaneh, S.A.; Rasooli, I. Biochemical Activities of Iranian Mentha piperita L. and Myrtus communis L. Essential Oils. Phytochemistry 2006, 67, 1249–1255. [Google Scholar] [CrossRef]
  26. Saharkhiz, M.J.; Goudarzi, T. Foliar Application of Salicylic Acid Changes Essential Oil Content and Chemical Compositions of Peppermint (Mentha piperita L.). J. Essent. Oil Bear. Plants 2014, 17, 435–440. [Google Scholar] [CrossRef]
  27. Goswami, P.; Chauhan, A.; Verma, R.S.; Padalia, R.C.; Chanotiya, C.S. Characterization of Essential Oil of a Novel Menthofuran Rich Variant of Peppermint (Mentha × piperita L.) from India Using Gas Chromatography Coupled with Mass Spectrometry. J. Essent. Oil Res. 2015, 27, 329–336. [Google Scholar] [CrossRef]
  28. Kumar, B.; Shukla, A.K.; Samad, A. Development and Characterization of the Menthofuran-Rich Inter-Specific Hybrid Peppermint Variety CIMAP-Patra. Mol. Breed. 2014, 34, 717–724. [Google Scholar] [CrossRef]
  29. Shelepova, O.V.; Dilovarova, T.A.; Gulevich, A.A.; Olekhnovich, L.S.; Shirokova, A.V.; Ushakova, I.T.; Zhuravleva, E.V.; Konovalova, L.N.; Baranova, E.N. Chemical Components and Biological Activities of Essential Oils of Mentha × piperita L. from Field-Grown and Field-Acclimated after In Vitro Propagation Plants. Agronomy 2021, 11, 2314. [Google Scholar] [CrossRef]
  30. Lange, B.M.; Mahmoud, S.S.; Wildung, M.R.; Turner, G.W.; Davis, E.M.; Lange, I.; Baker, R.C.; Boydston, R.A.; Croteau, R.B. Improving Peppermint Essential Oil Yield and Composition by Metabolic Engineering. Proc. Natl. Acad. Sci. USA 2011, 108, 16944–16949. [Google Scholar] [CrossRef] [PubMed]
  31. Rissanen, K.S.; Aflatuni, A.; Tomperi, P.H.; Jalonen, J.E.; Laine, K.M. Herbage and Essential Oil Yield and Composition of Mentha piperita L. in Different Plant Densities in Northern Latitudes. J. Essent. Oil Res. 2002, 14, 243–246. [Google Scholar] [CrossRef]
  32. Costa, A.G.; Chagas, J.H.; Bertolucci, S.K.; Pinto, J.E. Níveis de Sombreamento e Tipos de Malha No Crescimento e Produção de Óleo Essencial de Hortelã-Pimenta. Hortic. Bras. 2014, 32, 194–199. [Google Scholar] [CrossRef]
  33. Nemati Lafmejani, Z.; Jafari, A.A.; Moradi, P.; Ladan Moghadam, A. Impact of Foliar Application of Iron-Chelate and Iron Nano Particles on Some Morpho-Physiological Traits and Rssential Oil Composition of Peppermint (Mentha piperita L.). J. Essent. Oil Bear. Plants 2018, 21, 1374–1384. [Google Scholar] [CrossRef]
  34. Orhan, I.E.; Ozcelik, B.; Kan, Y.; Kartal, M. Inhibitory Effects of Various Essential Oils and Individual Components against Extended-Spectrum Beta-Lactamase (ESBL) Produced by Klebsiella pneumoniae and Their Chemical Compositions. J. Food Sci. 2011, 76, M538–M546. [Google Scholar] [CrossRef]
  35. Moghaddam, M.; Pourbaige, M.; Tabar, H.K.; Farhadi, N.; Hosseini, S.M.A. Composition and Antifungal Activity of Peppermint (Mentha piperita) Essential Oil from Iran. J. Essent. Oil Bear. Plants 2013, 16, 506–512. [Google Scholar] [CrossRef]
  36. Németh-Zámbori, É.; Szabó, K.; Pluhár, Z.; Radácsi, P.; Inotai, K. Changes in Biomass and Essential Oil Profile of Four Lamiaceae Species Due to Different Soil Water Levels. J. Essent. Oil Res. 2016, 28, 391–399. [Google Scholar] [CrossRef]
  37. Ozhuner, E. Plant Growth-Promoting Rhizobacteria Enhance Essential Oil Production and Antioxidant Activity of Mentha piperita under Water Deficit Stress. Agric. Water Manag. 2025, 321, 109936. [Google Scholar] [CrossRef]
  38. Kumar, K.V.; Patra, D.D. Alteration in Yield and Chemical Composition of Essential Oil of Mentha piperita L. Plant: Effect of Fly Ash Amendments and Organic Wastes. Ecol. Eng. 2012, 47, 237–241. [Google Scholar] [CrossRef]
  39. Shabani, B.; Rezaei, R.; Charehgani, H.; Salehi, A. Study on Antibacterial Effect of Essential Oils of Six Plant Species against Pseudomonas Syringae Pv. Syringae Van Hall 1902 and Pseudomonas Fluorescens Migula 1894. J. Plant Pathol. 2019, 101, 671–675. [Google Scholar] [CrossRef]
  40. Sarić-Krsmanović, M.; Dragumilo, A.; Gajić Umiljendić, J.; Radivojević, L.; Šantrić, L.; Đurović-Pejčev, R. Infestation of Field Dodder (Cuscuta Campestris Yunck.) Promotes Changes in Host Dry Weight and Essential Oil Production in Two Aromatic Plants, Peppermint and Chamomile. Plants 2020, 9, 1286. [Google Scholar] [CrossRef] [PubMed]
  41. Zheljazkov, V.D.; Cerven, V.; Cantrell, C.L.; Ebelhar, W.M.; Horgan, T. Effect of Nitrogen, Location, and Harvesting Stage on Peppermint Productivity, Oil Content, and Oil Composition. HortScience 2009, 44, 1267–1270. [Google Scholar] [CrossRef]
  42. Sadowska, U.; Żabiński, A.; Szumny, A.; Dziadek, K. An Effect of Peppermint Herb (Mentha piperita L.) Pressing on Physico-Chemical Parameters of the Resulting Product. Ind. Crops Prod. 2016, 94, 909–919. [Google Scholar] [CrossRef]
  43. Beigi, M.; Torki-Harchegani, M.; Ghasemi Pirbalouti, A. Quantity and Chemical Composition of Essential Oil of Peppermint (Mentha × piperita L.) Leaves under Different Drying Methods. Int. J. Food Prop. 2018, 21, 267–276. [Google Scholar] [CrossRef]
  44. İşcan, G.; Kirimer, N.; Kürkcüoǧlu, M.; Hüsnü Can Başer, K.; Demirci, F. Antimicrobial Screening of Mentha piperita Essential Oils. J. Agric. Food Chem. 2002, 50, 3943–3946. [Google Scholar] [CrossRef]
  45. Wu, Z.; Tan, B.; Liu, Y.; Dunn, J.; Martorell Guerola, P.; Tortajada, M.; Cao, Z.; Ji, P. Chemical Composition and Antioxidant Properties of Essential Oils from Peppermint, Native Spearmint and Scotch Spearmint. Molecules 2019, 24, 2825. [Google Scholar] [CrossRef]
  46. Alibegov, A.N.; Aliev, A.M.; Radjabov, G.K.; Vagabova, F.A.; Musaev, A.M. Variability of the Constituent Composition of Mentha piperita L. Essential Oil. Pharm. Chem. J. 2024, 58, 268–274. [Google Scholar] [CrossRef]
  47. Orav, A.; Kapp, K.; Raal, A. Chemosystematic Markers for the Essential Oils in Leaves of Mentha Species Cultivated or Growing Naturally in Estonia. Proc. Est. Acad. Sci. 2013, 62, 175–186. [Google Scholar] [CrossRef]
  48. Prasad, A.; Singh, A.K.; Chand, S.; Chanotiya, C.S.; Patra, D.D. Effect of Chromium and Lead on Yield, Chemical Composition of Essential Oil, and Accumulation of Heavy Metals of Mint Species. Commun. Soil Sci. Plant Anal. 2010, 41, 2170–2186. [Google Scholar] [CrossRef]
  49. Javanmard, A.; Amani Machiani, M.; Haghaninia, M.; Pistelli, L.; Najar, B. Effects of Green Manures (in the Form of Monoculture and Intercropping), Biofertilizer and Organic Manure on the Productivity and Phytochemical Properties of Peppermint (Mentha piperita L.). Plants 2022, 11, 2941. [Google Scholar] [CrossRef]
  50. Ostadi, A.; Javanmard, A.; Amani Machiani, M.; Morshedloo, M.R.; Nouraein, M.; Rasouli, F.; Maggi, F. Effect of Different Fertilizer Sources and Harvesting Time on the Growth Characteristics, Nutrient Uptakes, Essential Oil Productivity and Composition of Mentha × piperita L. Ind. Crops Prod. 2020, 148, 112290. [Google Scholar] [CrossRef]
  51. Dorin, C.; Dragomir, C.; Popescu, C.; Iancu, T.; Stanciu, S.; Luca, R.; Hădărugă, N.; Moatăr, M.; Nistor, E.; Nicolae, I.; et al. Study Regarding the Influence of Fertilization on Some Physiological Index and Biochemical Composition of Peppermint Oils (Mentha piperita L.). Rom. Biotechnol. Lett. 2019, 24, 676–683. [Google Scholar] [CrossRef]
  52. Yang, S.-A.; Jeon, S.-K.; Lee, E.-J.; Shim, C.-H.; Lee, I.-S. Comparative Study of the Chemical Composition and Antioxidant Activity of Six Essential Oils and Their Components. Nat. Prod. Res. 2010, 24, 140–151. [Google Scholar] [CrossRef] [PubMed]
  53. Benzaid, C.; Tichati, L.; Djeribi, R.; Rouabhia, M. Evaluation of the Chemical Composition, the Antioxidant and Antimicrobial Activities of Mentha × piperita Essential Oil against Microbial Growth and Biofilm Formation. J. Essent. Oil Bear. Plants 2019, 22, 335–346. [Google Scholar] [CrossRef]
  54. Telci, İ.; Kacar, O.; Bayram, E.; Arabacı, O.; Demirtaş, İ.; Yılmaz, G.; Özcan, İ.; Sönmez, Ç.; Göksu, E. The Effect of Ecological Conditions on Yield and Quality Traits of Selected Peppermint (Mentha piperita L.) Clones. Ind. Crops Prod. 2011, 34, 1193–1197. [Google Scholar] [CrossRef]
  55. Gopichand; Meena, R.L.; Nag, M.; Pathania, V.L.; Kaul, V.K.; Singh, B.; Singh, R.D.; Ahuja, P.S. Effect of Organic Manure and Plant Spacing on Biomass and Quality of Mentha piperita L. in Himalaya in India. J. Essent. Oil Res. 2013, 25, 354–357. [Google Scholar] [CrossRef]
  56. Chagas, E.C.; Majolo, C.; Monteiro, P.C.; Oliveira, M.R.D.; Gama, P.E.; Bizzo, H.R.; Chaves, F.C.M. Composition of Essential Oils of Mentha Species and Their Antimicrobial Activity Against Aeromonas spp. J. Essent. Oil Res. 2020, 32, 209–215. [Google Scholar] [CrossRef]
  57. Yilmaz, K.; Telci, İ.S. Yield and Oil Composition of Peppermint Cultivars Grown in the Isparta Climate of Turkey. Turk. J. Agric. For. 2022, 46, 234–244. [Google Scholar] [CrossRef]
  58. Pino, J.A.; Borges, P.; Martinez, M.A.; Vargas, M.; Flores, H.; Campo, S.T.M.D.; Fuentes, V. Essential Oil of Mentha piperita L. Grown in Jalisco. J. Essent. Oil Res. 2002, 14, 189–190. [Google Scholar] [CrossRef]
  59. Shatar, S.; Altantsetseg, S. Essential Oil Composition of Some Plants Cultivated in Mongolian Climate. J. Essent. Oil Res. 2000, 12, 745–750. [Google Scholar] [CrossRef]
  60. Ahmadi, H.; Morshedloo, M.R.; Emrahi, R.; Javanmard, A.; Rasouli, F.; Maggi, F.; Kumar, M.; Lorenzo, J.M. Introducing Three New Fruit-Scented Mints to Farmlands: Insights on Drug Yield, Essential-Oil Quality, and Antioxidant Properties. Antioxidants 2022, 11, 866. [Google Scholar] [CrossRef]
  61. Pérez-Vázquez, M.A.K.; Pacheco-Hernández, Y.; Lozoya-Gloria, E.; Mosso-González, C.; Ramírez-García, S.A.; Romero-Arenas, O.; Villa-Ruano, N. Peppermint Essential Oil and Its Major Volatiles as Protective Agents against Soft Rot Caused by Fusarium sambucinum in Cera Pepper (Capsicum pubescens). Chem. Biodivers. 2022, 19, e202100835. [Google Scholar] [CrossRef]
  62. Machiani, M.A.; Javanmard, A.; Morshedloo, M.R.; Maggi, F. Evaluation of Yield, Essential Oil Content and Compositions of Peppermint (Mentha piperita L.) Intercropped with Faba Bean (Vicia faba L.). J. Clean. Prod. 2018, 171, 529–537. [Google Scholar] [CrossRef]
  63. Maffei, M.; Mucciarelli, M. Essential Oil Yield in Peppermint/Soybean Strip Intercropping. Field Crops Res. 2003, 84, 229–240. [Google Scholar] [CrossRef]
  64. Shasany, A.K.; Gupta, S.; Gupta, M.K.; Singh, A.K.; Naqvi, A.A.; Khanuja, S.P.S. Chemotypic Comparison of AFLP Analyzed Indian Peppermint Germplasm to Selected Peppermint Oils of Other Countries. J. Essent. Oil Res. 2007, 19, 138–145. [Google Scholar] [CrossRef][Green Version]
  65. Mogosan, C.; Vostinaru, O.; Oprean, R.; Heghes, C.; Filip, L.; Balica, G.; Moldovan, R. A Comparative Analysis of the Chemical Composition, Anti-Inflammatory, and Antinociceptive Effects of the Essential Oils from Three Species of Mentha Cultivated in Romania. Molecules 2017, 22, 263. [Google Scholar] [CrossRef] [PubMed]
  66. Da Silva, W.M.F.; Kringel, D.H.; Biduski, B.; Hackbart, H.C.D.S.; Da Rosa Zavareze, E.; Dias, A.R.G. Peppermint Essential Oil Volatiles as Natural Alternative to Prevent Potato Sprouting Induced by Gibberellic Acid. J. Food Sci. Technol. 2023, 60, 494–503. [Google Scholar] [CrossRef]
  67. Li, Z.; Wang, W.; Li, G.; Guo, K.; Harvey, P.; Chen, Q.; Zhao, Z.; Wei, Y.; Li, J.; Yang, H. MAPK-Mediated Regulation of Growth and Essential Oil Composition in a Salt-Tolerant Peppermint (Mentha piperita L.) under NaCl Stress. Protoplasma 2016, 253, 1541–1556. [Google Scholar] [CrossRef]
  68. Taherpour, A.A.; Khaef, S.; Yari, A.; Nikeafshar, S.; Fathi, M.; Ghambari, S. Chemical Composition Analysis of the Essential Oil of Mentha piperita L. from Kermanshah, Iran by Hydrodistillation and HS/SPME Methods. J. Anal Sci. Technol. 2017, 8, 11. [Google Scholar] [CrossRef]
  69. Kapp, K.; Püssa, T.; Orav, A.; Roasto, M.; Raal, A.; Vuorela, P.; Vuorela, H.; Tammela, P. Chemical Composition and Antibacterial Effect of Mentha spp. Grown in Estonia. Nat. Prod. Commun. 2020, 15, 1934578X20977615. [Google Scholar] [CrossRef]
  70. Azimychetabi, Z.; Sabokdast Nodehi, M.; Karami Moghadam, T.; Motesharezadeh, B. Cadmium Stress Alters the Essential Oil Composition and the Expression of Genes Involved in Their Synthesis in Peppermint (Mentha piperita L.). Ind. Crops Prod. 2021, 168, 113602. [Google Scholar] [CrossRef]
  71. Grulova, D.; De Martino, L.; Mancini, E.; Salamon, I.; De Feo, V. Seasonal Variability of the Main Components in Essential Oil of Mentha × piperita L. J. Sci. Food Agric. 2015, 95, 621–627. [Google Scholar] [CrossRef] [PubMed]
  72. Hendawy, S.F.; El Gendy, A.G.; Omer, E.A.; Pistelli, L.; Pistelli, L. Growth, Yield and Chemical Composition of Essential Oil of Mentha piperita Var. Multimentha Grown Under Different Agro-Ecological Locations in Egypt. J. Essent. Oil Bear. Plants 2018, 21, 23–39. [Google Scholar] [CrossRef]
  73. Djerrad, Z.; Terfi, S.; Brakchi, L. Variability in Chemical Composition and Biochemical Activities of Mentha × piperita L. Essential Oil, in Response to Mycorrhizal Symbiosis and Heavy Metal Stress. Chem. Biodivers. 2024, 21, e202301980. [Google Scholar] [CrossRef] [PubMed]
  74. Fouad, H.; Fouad, R.; Aziz, E.E.; Omer, E.A.; Ashry, H.; El Namaky, A.; Shalaby, H. Variation in Essential Oil Composition, Antioxidant and Mosquito Larvicidal Activity during Three Cuts Dates of Five Mentha Species. Egypt. J. Chem. 2023, 66, 1825–1838. [Google Scholar] [CrossRef]
  75. Mahmoud, S.S.; Croteau, R.B. Menthofuran Regulates Essential Oil Biosynthesis in Peppermint by Controlling a Downstream Monoterpene Reductase. Proc. Natl. Acad. Sci. USA 2003, 100, 14481–14486. [Google Scholar] [CrossRef] [PubMed]
  76. Kandoudi, W.; Tavaszi-Sárosi, S.; Németh-Zámboriné, E. Inducing the Production of Secondary Metabolites by Foliar Application of Methyl Jasmonate in Peppermint. Plants 2023, 12, 2339. [Google Scholar] [CrossRef] [PubMed]
  77. European Medicines Agency. Public Statement on the Use of Herbal Medicinal Products Containing Pulegone and Menthofuran. 2016. Available online: https://www.Ema.Europa.Eu/En/Documents/Scientific-Guideline/Public-Statement-Use-Herbal-Medicinal-Products-Containing-Pulegone-Menthofuran-Revision-1_en.Pdf (accessed on 14 December 2025).
  78. Chemical Safety Data Sheet MSDS/SDS. Isopulegol. Available online: https://www.Chemicalbook.Com/Msds/Isopulegol.Htm (accessed on 2 December 2025).
  79. Api, A.M.; Belsito, D.; Bhatia, S.; Bruze, M.; Calow, P.; Dagli, M.L.; Dekant, W.; Fryer, A.D.; Kromidas, L.; La Cava, S.; et al. RIFM Fragrance Ingredient Safety Assessment, Isopulegol, CAS Registry Number 89-79-2. Food Chem. Toxicol. 2016, 97, S129–S135. [Google Scholar] [CrossRef]
  80. Tisserand, R.; Young, R. Essential Oil Safety. A Guide for Health Care Professionals; Elsevier: Amsterdam, The Netherlands, 2014. [Google Scholar]
  81. European Union Herbal Monograph on Mentha × piperita L. Aetheroleum. Available online: https://www.ema.europa.eu/en/documents/herbal-monograph/european-union-herbal-monograph-mentha-x-piperita-l-aetheroleum-revision-1_en.pdf (accessed on 5 December 2025).
  82. European Union Herbal Monograph on Mentha × piperita L. Folium. Available online: https://www.ema.europa.eu/en/documents/herbal-monograph/european-union-herbal-monograph-mentha-x-piperita-l-folium-revision-1_en.pdf (accessed on 5 December 2025).
  83. United States Pharmacopeia and National Formulary (USP–NF). Peppermint Oil Monograph; United States Pharmacopeial Convention: Rockville, MD, USA, 2024. [Google Scholar]
  84. Chemical Book. Peppermint Oil. Available online: https://www.Chemicalbook.Com/ChemicalProductProperty_EN_CB2171197.Htm (accessed on 6 December 2025).
  85. Riachi, L.G.; Abi-Zaid, I.E.; Moreira, R.F.A.; De Maria, C.A.B. Volatile Composition of Peppermint (Mentha piperita L.) Commercial Teas through Solid Phase Extraction. Arch. Latinoam Nutr. 2012, 62, 389–392. [Google Scholar] [PubMed]
Figure 1. The calculations of the yield of essential oil in peppermint samples. V(EO + xylene)/V(EO + hexane) quotient in relation to EO + hexane volume.
Figure 1. The calculations of the yield of essential oil in peppermint samples. V(EO + xylene)/V(EO + hexane) quotient in relation to EO + hexane volume.
Beverages 12 00038 g001
Figure 2. The GC-MS chromatogram of peppermint essential oil (sample 32 in Table 3) rich in menthone (Rt 15.5158) and menthol (blue, Rt 15.9487).
Figure 2. The GC-MS chromatogram of peppermint essential oil (sample 32 in Table 3) rich in menthone (Rt 15.5158) and menthol (blue, Rt 15.9487).
Beverages 12 00038 g002
Figure 3. The GC-MS chromatogram of peppermint essential oil (sample 4 in Table 3) rich in carvone (blue, Rt 18.6439).
Figure 3. The GC-MS chromatogram of peppermint essential oil (sample 4 in Table 3) rich in carvone (blue, Rt 18.6439).
Beverages 12 00038 g003
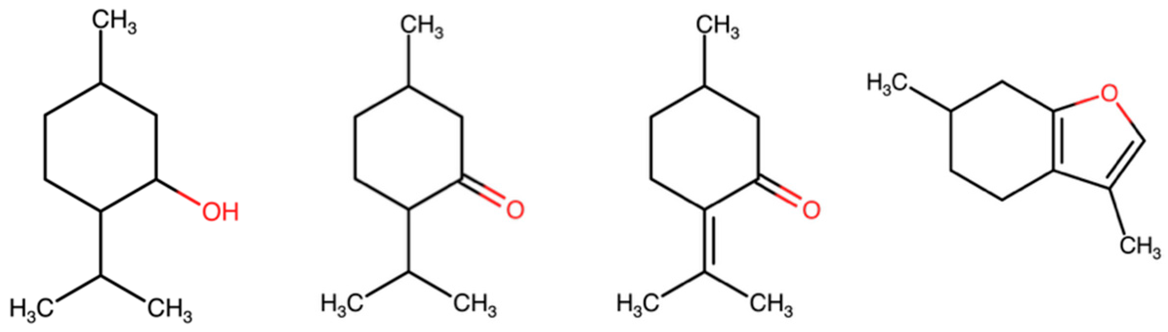
Figure 4. Structures of menthol (left), menthone, pulegone, and menthofuran.
Figure 4. Structures of menthol (left), menthone, pulegone, and menthofuran.
Beverages 12 00038 g004
Table 1. Commercial peppermint samples were studied.
Table 1. Commercial peppermint samples were studied.
Product NameProducer
(Best Before)
Mass, PackagingCountry of ManufactureCountry Purchased from
Organic peppermint infusionClipper
(December 2026)
20 × 1.5 g chopped
cb, tipa
EgyptUnited Kingdom
Mentha piperitaEnergia talu
(July 2026)
20 g whole
pab
EstoniaEstonia
Piparmünt, TaimeteePõhjala teetalu
(December 2026)
10 × 1 g chopped
cb, plb
EstoniaEstonia
PiparmündilehtKubja ürditalu
(August 2026)
15 g chopped
cb, plb
EstoniaEstonia
PiparmündilehedMK Loodusravi
(July 2026)
20 g chopped
cb, plb
EstoniaEstonia
Piparmündi teeSüvahavva Loodustalu
(July 2026)
20 g chopped
pab
EstoniaEstonia
PfefferminzeHerba
(September 2026)
25 × 1.5 g chopped
cbpw, tb
GermanyEstonia
PeppermintTeekanne
(March 2027)
20 × 2.25 g chopped
cbpw, tb
GermanyEstonia
PeppermintLord Nelson
(November 2026)
20 × 2 g chopped
cbpw, tb
GermanyEstonia
Peppermint leavesTeapigs
(April 2029)
15 × 2 g chopped
cb, tb
IndiaUnited Kingdom
Piparmetras tejaRukišu Tēja
(October 2026)
30 g chopped
cb, plb
LatviaLatvia
Piparmetras tejaRukišu Tēja
(July 2026)
20 × 1 g chopped
cb, tipa
LatviaLatvia
Peppermynte TeKloster
(October 2027)
20 × 1.5 g chopped
cb, tipa
NorwayNorway
PeppermynteTaras
(no date)
50 g chopped
plb
NorwayGermany
Mint herbal teaBelin
(September 2026)
24 × 1.5 g chopped
cbpw, tb
PolandEstonia
Peppermint teaRimi
(December 2026)
20 × 1.5 g chopped
cbpw, tb
PolandEstonia
Peppermint (leave tea)Rimi
(December 2026)
50 g chopped
cb, plb
PolandEstonia
Taimetee piparmündiEdal
(August 2026)
20 × 1.7 g chopped
cbpw, tb
PolandEstonia
MintPosti Premium
(March 2025)
20 × 2 g chopped
cb, tipa
PolandEstonia
Menta piperitaHerbes del Moli
(January 2026)
25 g chopped
plb
SpainEstonia
“Mint” Dietary supplementPrano
(May 2028)
50 g chopped
cb, plb
UkraineUkraine
Peppermint leavesTOV Kliuchi zdorovia
(May 2027)
50 g chopped
cbpw, plb
UkraineUkraine
Peppermint leavesLiktravy
(September 2026)
50 g chopped
cb, plb
UkraineUkraine
Peppermint leavesArbor vitae
(November 2026)
50 g chopped
cb, plb
UkraineUkraine
Peppermint leavesTOV Ronfarm50 g chopped
cbpw, plb
UkraineUkraine
Mint leavesSolution pharm
(January 2027)
50 g chopped
cbpw, plb
UkraineUkraine
Peppermint leavesLubnyfarm
(November 2025)
50 g chopped
cb, plb
UkraineUkraine
Peppermint leavesLiktravy
(August 2026)
20 × 1.5 g chopped
cb, tb
UkraineUkraine
“Mint” Dietary supplementTOV Ronfarm
(January 2029)
50 g chopped
cb, plb
UkraineUkraine
“Mint”Carpathian tea
(July 2026)
60 g whole
plj
UkraineUkraine
Herbal tea “Mint”Try slona
(December 2026)
20 × 1 g chopped
cbpw, tb
UkraineUkraine
Herbal tea “Mint”Zolotyi slon
(December 2026)
20 × 1 g chopped
cbpw, tb
UkraineUkraine
Herbal tea “Mint”Rozumnyi vybir
(January 2027)
20 × 1.35 g chopped
cbpw, tb
UkraineUkraine
Peppermint herbIFNMU
(collected 2023)
20 g whole
pab
UkraineUkraine
Peppermint herbIFNMU
(collected 2024)
20 g whole
pab
UkraineUkraine
Essential oilTOV Aromatika
(December 2026)
10 mLUkraineUkraine
Essential oilTOV Adverso
(May 2028)
10 mLUkraineUkraine
Essential oilTOV AROMA GRUP
(August 2026)
10 mLUkraineUkraine
Essential oilTOV AROMA GRUP
(April 2027)
10 mLUkraineUkraine
Packaging types: cb—cardboard box, cbpw—cardboard box in plastic wrapping, tb—tea bags, tipa—tea bags in paper bags, pab—paper bag, plb—plastic bag, plj—plastic jar.
Table 2. Average, minimum, and maximum content of components in commercial peppermint essential oil.
Table 2. Average, minimum, and maximum content of components in commercial peppermint essential oil.
CompoundRIExpRILitContent, %
AverageMinimumMaximum
1,3-Dimethyl benzene8668660.020.0000.196
α-Pinene9369370.790.0826.674
Sabinene9739740.360.0421.310
β-Pinene9769780.850.1203.628
1-Octen-3-ol9789800.070.0030.309
β-Myrcene9929910.200.0100.727
3-Carene101010110.150.0003.646
α-Terpinene101610170.080.0000.329
o-Cymene102410220.140.0120.687
D-Limonene102910311.120.0106.591
1,8-Cineole103010320.980.0413.062
β-Ocimene103810370.510.0123.646
Benzeneacetaldehyde104310450.170.0321.166
α-Ocimene104810480.460.0123.649
gamma-Terpinene105910600.170.0060.681
(E)-Sabinene hydrate106710700.350.0011.773
(E,E)-3.5-Octadien-2-one107110730.050.0010.257
Terpinolene108810880.040.0030.137
Isoterpinolene108810860.030.0020.133
Linalool110010990.140.0170.715
1-Octen-3-yl-acetate112611230.040.0020.169
Neo-allo-ocimene112911310.110.0040.499
(E)-Limonene oxide113811381.430.0083.941
(E)-Verbenol114511440.120.0060.562
Isopulegol114511460.500.0121.334
Menthone115511549.980.00821.844
Pinocarvone116311621.150.02611.580
Menthofuran116311641.030.0236.578
δ-Terpineol116711660.140.0220.383
Isomenthone116811694.020.00211.359
Menthol1170117013.840.08425.246
(E)-Isopulegone117611771.560.0382.736
Terpinen-4-ol117711777.110.03214.472
Isomenthol117811793.990.00014.654
(+)-Neomenthol117911784.680.00011.625
(+)-Isomenthol118611802.710.0136.233
Neoisomenthol119111884.360.03111.015
L-α-Terpineol119111900.310.0183.856
Dihydrocarveol (isomer 1)119611920.320.0463.462
(Z)-Dihydrocarvone119611930.130.0001.383
Myrtenol119711950.250.0002.239
Dihydrocarveol (isomer 2)120011960.220.0053.000
(E)-Piperitol120612080.030.0030.417
(E,Z)-Carveol121912170.210.0021.365
Neodihydrocarveol122812261.330.00310.524
Citronellol122912280.070.0020.464
Pulegone123212370.710.0222.557
Butanoic acid123312311.850.00832.775
Pentanoic acid123712391.190.05113.810
Carvone124512425.590.61829.965
4-Methoxy-Benzaldehyde125312510.290.0102.185
Piperitone oxide125512560.270.0271.471
(E)-Piperitone epoxide125612542.310.00415.007
gamma-Diosphenol126912740.350.0201.076
Isopiperitenon127412721.880.02814.449
(−)-Neomenthyl acetate127612770.260.0003.434
Isopulegol acetate127712800.090.0000.605
1-Decanol127812720.220.0051.471
Anethole128612870.030.0000.156
Carvone oxide128612790.050.0000.296
Isobornyl acetate128712861.730.0017.262
Dihydroedulan128912930.130.0000.480
Thymol129312910.590.0039.170
Menthyl acetate129512951.960.0107.257
Carvacrol130212990.840.0069.179
Buccocamphor130813020.050.0001.319
1-Hydroxy-2-acetyl-4-methylbenzene131413160.090.0022.782
(Z)-Hex-3-enyl (E)-2-methylbut-2-enoate132513250.550.0025.592
Dihydrocarvenyl acetate132913280.020.0010.147
(−)-Dihydrocarvyl acetate133013300.070.0010.602
Eugenol135813570.050.0020.181
Longicyclene137413740.020.0020.144
Copaene137813760.030.0030.262
(−)-β-Bourbonene138713840.340.0101.249
β-Elemene139313910.160.0201.793
Dihydro-α-ionone139514000.100.0071.374
(Z)-Jasmone140013940.090.0130.445
(Z)-β-Caryophyllene140514070.590.0123.279
α-Gurgujene141214090.110.0032.185
Caryophyllene142314190.750.1304.486
β-Copaene143214320.080.0120.453
Humulene145914540.200.0211.917
(E)-β-Farnesene146014570.340.0084.925
Alloaromadendrene146514610.050.0000.134
Naphthalene146614630.280.0005.064
(+)-epi-Bicyclosesquiphellandrene148714821.220.0085.129
(+)-Valencene148714920.530.0002.404
α-Selinene149614940.120.0010.384
Bicyclogermacrene150014961.010.0055.131
γ-Cadinene151715130.670.0044.807
(E.Z)-Calamenene152615290.170.0021.949
δ-Cadinene152615240.070.0010.224
α-Cadinene153515380.020.0010.158
Elemol155215490.010.0000.107
(E)-Nerolidol156615640.030.0020.168
Mint oxide157015730.020.0000.124
(Z)-3-Hexenyl benzoate157315700.090.0061.193
Germacrene D-4-ol157815740.040.0070.110
Spathulenol158015760.100.0010.478
Caryophyllene oxide158615810.140.0030.463
Viridiflorol159515910.190.0001.075
Cubenol161516140.190.0040.984
Caryophylladienol I163916370.030.0000.144
τ-Cadinol164616400.060.0050.649
α-Cadinol165816530.060.0000.302
Aromadendrene oxide-(2)167416780.020.0000.062
Germacra-4(15).5.10(14)-trien-1β-ol169016900.050.0010.283
(Z)-14-nor-Muurol-5-en-4-one169116890.020.0000.164
Shyobunol169416990.010.0000.081
(−)-Mintsulfide174217420.030.0000.432
Hexahydrofarnesyl acetone184618440.030.0000.144
Farnesyl acetone192019180.010.0000.037
Table 3. Content of selected quality, chemotaxonomic, and toxicologically relevant compounds in essential oils from commercial peppermint teas and yields of essential oils.
Table 3. Content of selected quality, chemotaxonomic, and toxicologically relevant compounds in essential oils from commercial peppermint teas and yields of essential oils.
SampleContent, %Yield of Essential Oil, mL/kg
MentholMenthoneTerpinen-4-olCarvonePulegoneIsopulegolE-IsopulegoneMenthofuran
10.080.070.048.020.020.010.130.0411.4
20.290.010.0319.650.040.010.240.0512.6
30.340.280.0822.281.630.010.040.055.4
40.691.410.0829.962.330.070.090.05nd
56.293.992.9622.111.930.190.070.10nd
67.0214.8310.207.090.920.702.600.0513.4
77.5218.009.711.960.420.850.540.054.8
87.758.804.7519.340.420.091.520.039.8
98.8621.843.421.230.301.082.123.8916.0
109.443.924.3021.441.540.600.051.033.1
119.8014.255.477.991.100.162.740.0614.7
12 oils10.046.483.500.670.170.280.550.02np
13 oils10.2412.843.341.480.380.541.910.02np
1411.6715.217.661.760.360.211.450.1026.8
1511.7813.166.926.910.870.112.083.116.85
1612.2012.949.032.020.470.221.620.067.9
1712.9110.728.662.101.140.152.070.489.8
1813.0718.168.231.751.360.212.270.0714.1
1915.2416.467.231.710.630.771.060.070.8
2015.3711.567.041.030.910.681.343.0918.3
2115.468.658.103.302.380.841.410.949.3
2216.3014.656.771.320.231.262.012.292.6
2316.4113.396.721.310.291.331.616.5820.8
2416.698.0211.153.030.390.652.021.016.3
2517.3613.246.592.680.200.631.120.1511.2
2617.566.0013.110.670.080.392.340.064.2
2717.668.999.761.250.580.561.740.8517.2
2818.0413.568.321.501.020.051.530.523.7
2918.798.7811.683.740.270.112.120.045.3
30 oils19.315.815.830.620.170.502.460.05np
3119.799.197.604.540.220.102.120.024.2
3220.1321.284.572.710.971.021.450.4214.8
3320.3814.789.780.730.130.731.701.279.4
3420.758.4114.470.880.070.532.694.9121.7
3521.009.339.382.742.560.441.701.823.1
3621.744.1210.263.620.691.031.950.6623.9
3723.144.0611.011.190.170.791.890.124.3
3823.385.298.121.120.020.772.282.8610.5
39 oils25.256.7011.420.690.180.722.203.04np
Average13.849.987.115.590.710.501.561.039.96
Notes: The selected compounds comprise the main constituents of peppermint essential oil (menthol and menthone), chemotaxonomic markers such as carvone, and toxicologically relevant constituents including pulegone, menthofuran, and isopulegol isomers. Together, these analytes enable assessment of quality, authenticity, and safety of commercial peppermint teas. nd—not detected due to the low yield, np—not performed.
Table 4. The content of the principal and harmful compounds in peppermint oils studied by different authors.
Table 4. The content of the principal and harmful compounds in peppermint oils studied by different authors.
Content in Peppermint Essential Oil, %Samples Studied Reference
MentholMenthonePulegoneMenthofuran
<0.01–25.2<0.01–22<0.1–2.6<0.1–6.639 (current study)
<0.01–50<0.01–41<0.1–4.10–7.127 [1]
0.1–297–490.2–4.20–7.911 [20]
3120.2ns1 [21]
3–464–210.1–2.10.4–4.34 [22]
3–4731.5–10.74.0–23.72 [23]
3–526–284.4–6.4ns2 [24]
41ns2.31 [25]
6160.044.11 [26]
10–211–4122–3733–4212 [27]
10–646–251.6–27.20–43.93 [28]
10–678–350.7–19.90.1–7.39 [29]
11–4724–640.2–5.41.5–15.120 [30]
14–3036–55ndnd–0.26 [31]
15–275–131.3–3.224.4–34.43 [32]
1762.83.01 [33]
2–4011–460.1–13.00.1–0.98 [19]
2242.21.91 [34]
25ns4.46.51 [35]
25–2646–400.7–1.22.7–2.92 [36]
25–357–230.8–3.1ns9 [37]
25–355–6ns8–2115 [38]
26182.6ns1 [39]
26–2931–381.3–3.88.8–9.36 [40]
26–3014–21ns5–118 [41]
28–3036–380.211.1–11.55 [42]
28–3221–270.1–2.8ns7 [43]
28–4218–281.0–14.41.3–5.54 [44]
29220.927.41 [45]
29–742–160.1–0.30–2.512 [46]
30–3226–310.5–2.23.3–4.52 [47]
31–672–251.9ns2 [48]
32–3717–212.0–3.11.1–3.18 [49]
32–3824–311.2–1.41.8–2.17 [50]
33171.8ns1 [51]
33211.06.41 [52]
33241.2ns1 [53]
33–3723–250.8–1.71.9–7.82 [54]
33–4615–22ns0.7–8.08 [55]
34158.36.21 [56]
34–5011–210.8–1.90–2.55 [57]
35151.318.21 [58]
35320.3ns1 [59]
35–474–150.4–0.6ns8 [43]
36271.12.01 [60]
37–3937–40ns0.5–2.95 [61]
37.9–40.826–310.7–0.90.9–1.36 [62]
38–4129–400.1–0.90.9–1.38 [62]
39–4325–300.6–1.33.4–5.92 [63]
4–622–350.6–15.44.0–27.320 [64]
40152.1ns1 [65]
43251.2ns1 [66]
43–4713–271.3–1.86.0–6.32 [67]
45160.88.91 [68]
45–593–12ns21–3333 [69]
49–822–142.3–8.6ns6 [6]
54142.411.81 [70]
59–753–20nsns18 [71]
9–4616–250.8–6.37.6–104 [72]
Notes: ns—not studied; nd—not detected.
Disclaimer/Publisher’s Note: The statements, opinions and data contained in all publications are solely those of the individual author(s) and contributor(s) and not of MDPI and/or the editor(s). MDPI and/or the editor(s) disclaim responsibility for any injury to people or property resulting from any ideas, methods, instructions or products referred to in the content.

Share and Cite

MDPI and ACS Style

Raal, A.; Lodi, R.; Lepiku, M.; Nguyen, T.T.; Grytsyk, A.; Koshovyi, O. Quality and Safety Assessment of Commercial Peppermint Teas Based on Essential Oil Yield and Composition. Beverages 2026, 12, 38. https://doi.org/10.3390/beverages12030038

AMA Style

Raal A, Lodi R, Lepiku M, Nguyen TT, Grytsyk A, Koshovyi O. Quality and Safety Assessment of Commercial Peppermint Teas Based on Essential Oil Yield and Composition. Beverages. 2026; 12(3):38. https://doi.org/10.3390/beverages12030038

Chicago/Turabian Style

Raal, Ain, Rasmus Lodi, Martin Lepiku, Thanh Tung Nguyen, Andriy Grytsyk, and Oleh Koshovyi. 2026. "Quality and Safety Assessment of Commercial Peppermint Teas Based on Essential Oil Yield and Composition" Beverages 12, no. 3: 38. https://doi.org/10.3390/beverages12030038

APA Style

Raal, A., Lodi, R., Lepiku, M., Nguyen, T. T., Grytsyk, A., & Koshovyi, O. (2026). Quality and Safety Assessment of Commercial Peppermint Teas Based on Essential Oil Yield and Composition. Beverages, 12(3), 38. https://doi.org/10.3390/beverages12030038

Note that from the first issue of 2016, this journal uses article numbers instead of page numbers. See further details here.

Article Metrics

Back to TopTop