Elemental Composition of Japanese Matcha Powder and Infusions—Potential Role as a Functional Food in Metabolic Health
Abstract
1. Introduction
Hypothesis
2. Materials and Methods
2.1. Plant Material
2.2. Preparation of Infusion
2.3. Determining the Element Contents in Infusions
2.3.1. Sample Preparation
2.3.2. Sample Determination
2.4. Statistical Analysis
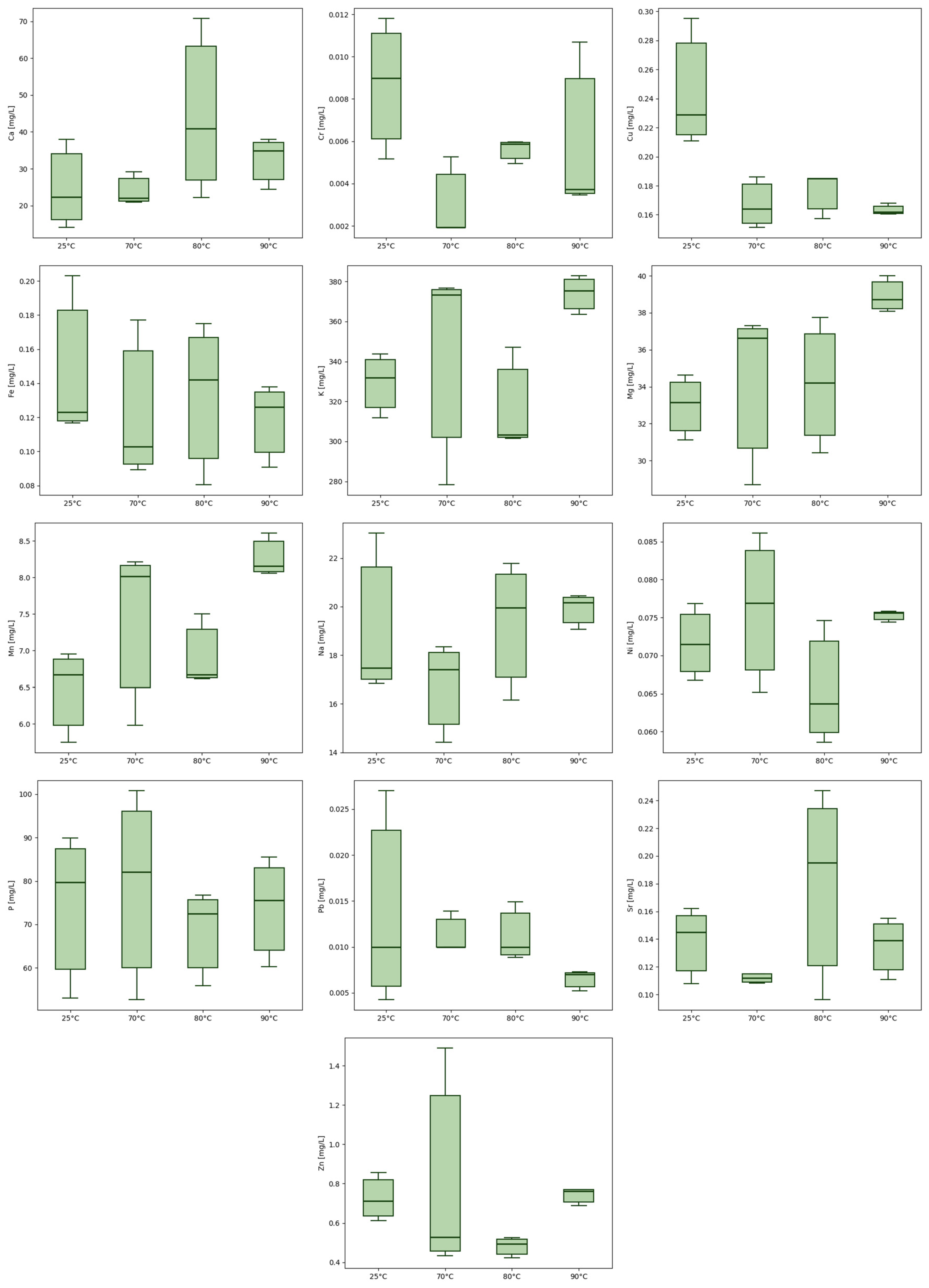
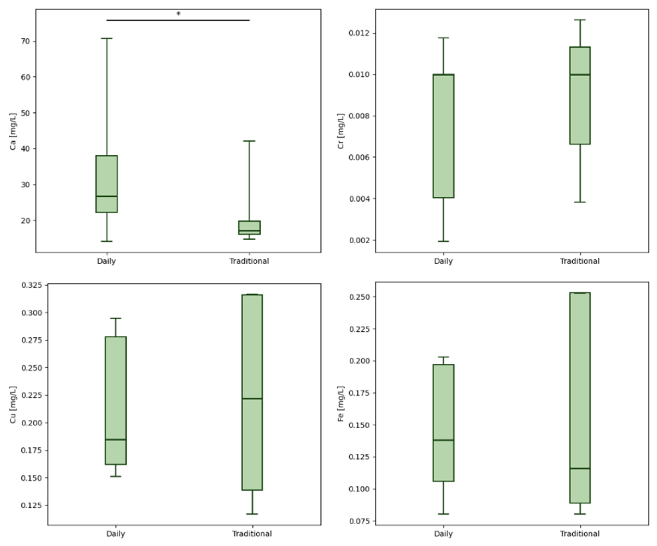
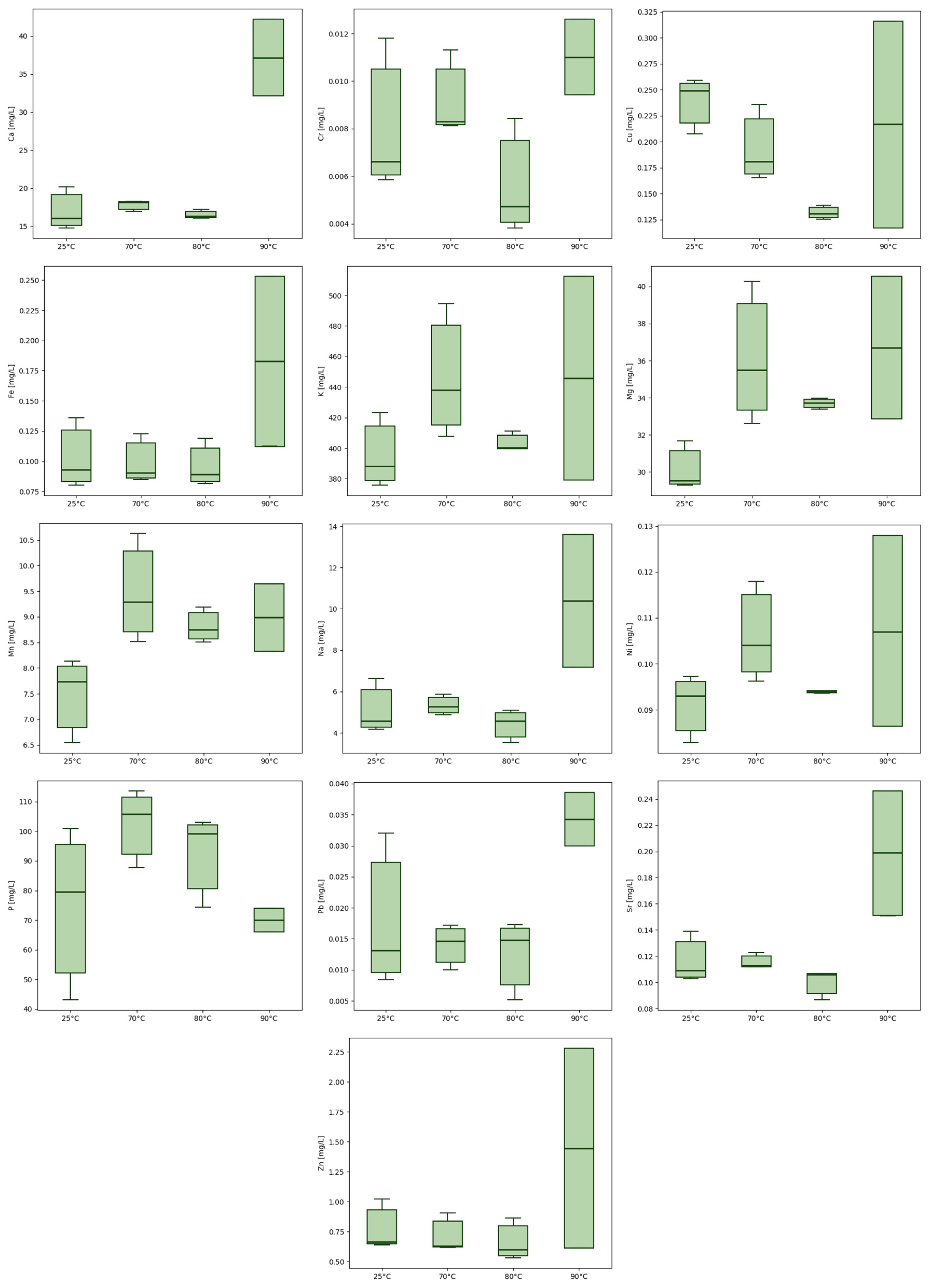
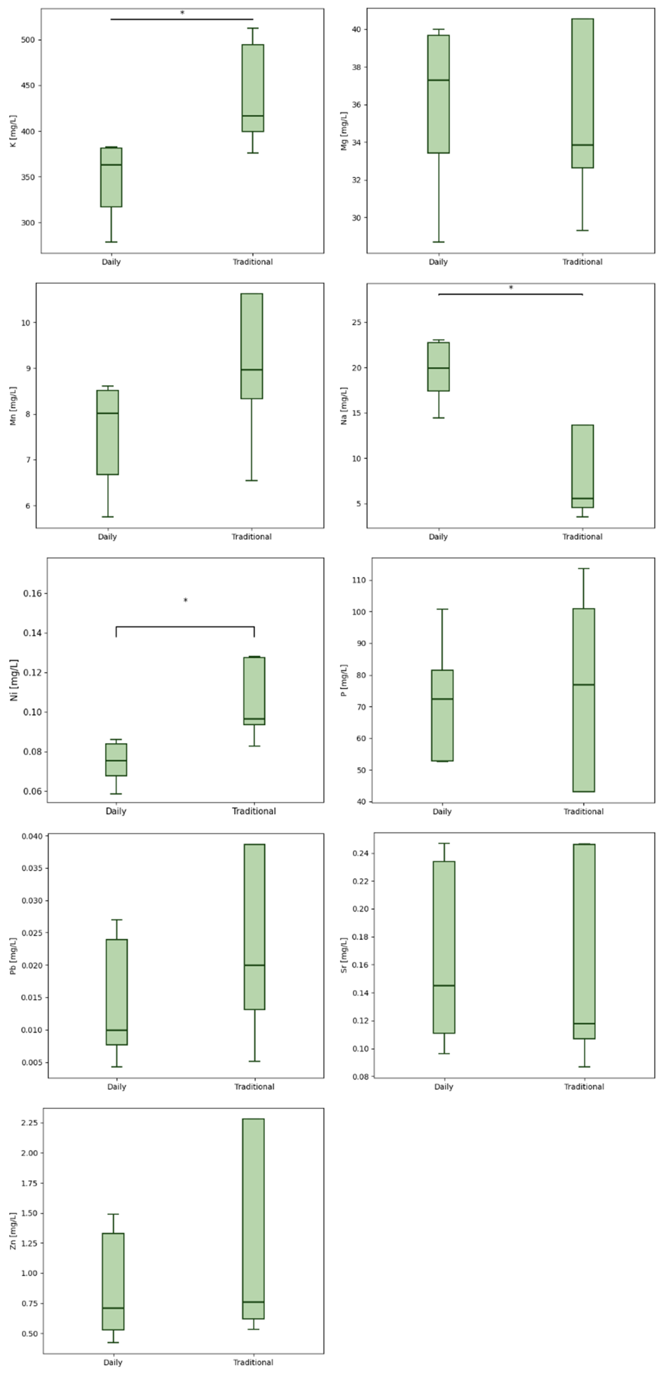
3. Results
4. Discussion
5. Limitations
6. Conclusions
Supplementary Materials
Author Contributions
Funding
Institutional Review Board Statement
Informed Consent Statement
Data Availability Statement
Conflicts of Interest
References
- Devkota, H.P.; Gaire, B.P.; Hori, K.; Subedi, L.; Adhikari-Devkota, A.; Belwal, T.; Paudel, K.R.; Jha, N.K.; Singh, S.K.; Chellappan, D.K.; et al. The Science of Matcha: Bioactive Compounds, Analytical Techniques and Biological Properties. Trends Food Sci. Technol. 2021, 118, 735–743. [Google Scholar] [CrossRef]
- Jakubczyk, K.; Szymczykowska, K.; Kika, J.; Janda-Milczarek, K.; Palma, J.; Melkis, K.; Alshekh, R.; Maciejewska-Markiewicz, D. Exploring the Influence of Origin, Harvest Time, and Cultivation Method on Antioxidant Capacity and Bioactive Compounds of Matcha Teas. Foods 2024, 13, 1270. [Google Scholar] [CrossRef] [PubMed]
- Jakubczyk, K.; Kochman, J.; Kwiatkowska, A.; Kałduńska, J.; Dec, K.; Kawczuga, D.; Janda, K. Antioxidant Properties and Nutritional Composition of Matcha Green Tea. Foods 2020, 9, E483. [Google Scholar] [CrossRef] [PubMed]
- Koláčková, T.; Sumczynski, D.; Zálešáková, L.; Šenkárová, L.; Orsavová, J.; Lanczová, N. Free and Bound Amino Acids, Minerals and Trace Elements in Matcha (Camellia Sinensis L.): A Nutritional Evaluation. J. Food Compos. Anal. 2020, 92, 103581. [Google Scholar] [CrossRef]
- Farooq, S.; Sehgal, A. Antioxidant Activity of Different Forms of Green Tea: Loose Leaf, Bagged and Matcha. Curr. Res. Nutr. Food Sci. J. 2018, 6, 35–40. [Google Scholar] [CrossRef]
- Burcuș, A.; Vamanu, E.; Sârbu, I.; Petre, A. Antioxidant, Anti-Inflammatory, and Antibacterial Potential of Different Drinks Based on Matcha Tea. IOP Conf. Ser. Mater. Sci. Eng. 2018, 374, 012072. [Google Scholar] [CrossRef]
- Unno, K.; Furushima, D.; Hamamoto, S.; Iguchi, K.; Yamada, H.; Morita, A.; Pervin, M.; Nakamura, Y. Stress-Reducing Effect of Cookies Containing Matcha Green Tea: Essential Ratio among Theanine, Arginine, Caffeine and Epigallocatechin Gallate. Heliyon 2019, 5, e01653. [Google Scholar] [CrossRef]
- Li, Y.; Xiao, J.; Tu, J.; Yu, L.; Niu, L. Matcha-Fortified Rice Noodles: Characteristics of in Vitro Starch Digestibility, Antioxidant and Eating Quality. LWT 2021, 149, 111852. [Google Scholar] [CrossRef]
- Malik, J.; Szakova, J.; Drabek, O.; Balik, J.; Kokoska, L. Determination of Certain Micro and Macroelements in Plant Stimulants and Their Infusions. Food Chem. 2008, 111, 520–525. [Google Scholar] [CrossRef]
- Jarosz, M.; Rychlik, E.; Stoś, K.; Wierzejska, R.; Wojtasik, A.; Charzewska, J.; Mojska, H.; Szponar, L.; Sajór, I.; Kłosiewicz-Latoszek, L. Normy Żywienia dla Populacji Polski; Instytut Żywności i Żywienia: Warsaw, Poland, 2017. [Google Scholar]
- Katarzyna, J.; Karolina, J.; Patrycja, K.; Mateusz, B.; Izabela, G. Mineral Composition and Antioxidant Potential in the Common Poppy (Papaver Rhoeas L.) Petal Infusions. Biol. Trace Elem. Res. 2021, 199, 371–381. [Google Scholar] [CrossRef]
- Karahan, F.; Ozyigit, I.I.; Saracoglu, I.A.; Yalcin, I.E.; Ozyigit, A.H.; Ilcim, A. Heavy Metal Levels and Mineral Nutrient Status in Different Parts of Various Medicinal Plants Collected from Eastern Mediterranean Region of Turkey. Biol. Trace Elem. Res. 2020, 197, 316–329. [Google Scholar] [CrossRef] [PubMed]
- Senila, M.; Drolc, A.; Pintar, A.; Senila, L.; Levei, E. Validation and Measurement Uncertainty Evaluation of the ICP-OES Method for the Multi-Elemental Determination of Essential and Nonessential Elements from Medicinal Plants and Their Aqueous Extracts. J. Anal. Sci. Technol. 2014, 5, 37. [Google Scholar] [CrossRef]
- Olechno, E.; Puścion-Jakubik, A.; Socha, K.; Zujko, M.E. Coffee Brews: Are They a Source of Macroelements in Human Nutrition? Foods 2021, 10, 1328. [Google Scholar] [CrossRef] [PubMed]
- Sarić, M.M.; Sorić, T.; Kasap, Ž.J.; Šikić, N.L.; Mavar, M.; Andruškienė, J.; Sarić, A. Magnesium: Health Effects, Deficiency Burden, and Future Public Health Directions. Nutrients 2025, 17, 3626. [Google Scholar] [CrossRef]
- Caffarelli, C.; Refaie, A.A.; Mondillo, C.; Cavati, G.; Lora, A.; Gennari, L.; Nuti, R.; Gonnelli, S. Influence of Dietary Calcium Intake on Skeletal Health and Body Composition in an Italian Elderly Population. Nutrients 2025, 17, 2073. [Google Scholar] [CrossRef]
- Bird, R.P.; Eskin, N.A.M. Chapter Two—The Emerging Role of Phosphorus in Human Health. In Advances in Food and Nutrition Research; Eskin, N.A.M., Ed.; the Latest Research and Development of Minerals in Human Nutrition; Academic Press: San Diego, CA, USA, 2021; Volume 96, pp. 27–88. [Google Scholar]
- Peris, C.H.; Selvam, S.; Swaminathan, S.; Rangarajan, R.; Raj, T.; Thankachan, P. Associations of Bone Health Biomarkers and Bone Mineral Density with Dietary Intakes in Vitamin D Deficient Women: A Cross-Sectional Study. Sci. Rep. 2025, 15, 43213. [Google Scholar] [CrossRef]
- D’Elia, L. Potassium Intake and Human Health. Nutrients 2024, 16, 833. [Google Scholar] [CrossRef]
- Mosallanezhad, Z.; Jalali, M.; Bahadoran, Z.; Mirmiran, P.; Azizi, F. Dietary Sodium to Potassium Ratio Is an Independent Predictor of Cardiovascular Events: A Longitudinal Follow-up Study. BMC Public Health 2023, 23, 705. [Google Scholar] [CrossRef]
- Gombart, A.F.; Pierre, A.; Maggini, S. A Review of Micronutrients and the Immune System–Working in Harmony to Reduce the Risk of Infection. Nutrients 2020, 12, 236. [Google Scholar] [CrossRef]
- Nieder, R.; Benbi, D.K.; Reichl, F.X. (Eds.) Microelements and Their Role in Human Health. In Soil Components and Human Health; Springer: Dordrecht, The Netherlands, 2018; pp. 317–374. [Google Scholar]
- Ainyanbhor, I.E.; Edo, G.I.; Akpoghelie, P.O.; Owheruo, J.O.; Gaaz, T.S.; Yousif, E.; Isoje, E.F.; Igbuku, U.A.; Opiti, R.A.; Essaghah, A.E.A.; et al. A Review on Manganese and Its Effect on Health and Distribution in Selected African Countries. J. Trace Elem. Med. Biol. 2025, 91, 127707. [Google Scholar] [CrossRef]
- Tokarczyk, J.; Koch, W. Dietary Zn—Recent Advances in Studies on Its Bioaccessibility and Bioavailability. Molecules 2025, 30, 2742. [Google Scholar] [CrossRef] [PubMed]
- Gutiérrez-Guerra, M.A.; Puerto-Parejo, L.M.; Pastor-Ramón, E.; Pedrera-Canal, M.; Vera, V.; Pedrera-Zamorano, J.D.; Lavado-García, J.M.; López-Espuela, F.; Roncero-Martín, R.; Fabregat-Fernández, J.; et al. Dietary Copper Intake and Bone Health: A Systematic Review and Meta-Analysis of Observational Studies. Calcif. Tissue Int. 2025, 116, 149. [Google Scholar] [CrossRef] [PubMed]
- Piskin, E.; Cianciosi, D.; Gulec, S.; Tomas, M.; Capanoglu, E. Iron Absorption: Factors, Limitations, and Improvement Methods. ACS Omega 2022, 7, 20441–20456. [Google Scholar] [CrossRef] [PubMed]
- Kalman, D.; Hewlings, S.; Madelyn-Adjei, A.; Ebersole, B. Dietary Heme Iron: A Review of Efficacy, Safety and Tolerability. Nutrients 2025, 17, 2132. [Google Scholar] [CrossRef]
- Zambelli, B.; Ciurli, S. Nickel and Human Health. In Interrelations between Essential Metal Ions and Human Diseases; Sigel, A., Sigel, H., Sigel, R.K.O., Eds.; Springer: Dordrecht, The Netherlands, 2013; pp. 321–357. [Google Scholar]
- EFSA Panel on Contaminants in the Food Chain (CONTAM); Schrenk, D.; Bignami, M.; Bodin, L.; Chipman, J.K.; del Mazo, J.; Grasl-Kraupp, B.; Hogstrand, C.; Hoogenboom, L.R.; Leblanc, J.-C.; et al. Update of the Risk Assessment of Nickel in Food and Drinking Water. EFSA J. 2020, 18, e06268. [Google Scholar] [CrossRef]
- Bawiec, P.; Sawicki, J.; Łasińska-Pracuta, P.; Czop, M.; Sowa, I.; Helon, P.; Pietrzak, K.; Koch, W. In Vitro Evaluation of Bioavailability of Cr from Daily Food Rations and Dietary Supplements from the Polish Market. Nutrients 2024, 16, 1022. [Google Scholar] [CrossRef]
- Dietary Reference Values for Vitamin K. EFSA Journal—Wiley Online Library. 2017. Available online: https://efsa.onlinelibrary.wiley.com/doi/full/10.2903/j.efsa.2017.4780 (accessed on 14 January 2026).
- Assi, M.A.; Hezmee, M.N.M.; Haron, A.W.; Sabri, M.Y.M.; Rajion, M.A. The Detrimental Effects of Lead on Human and Animal Health. Vet. World 2016, 9, 660–671. [Google Scholar] [CrossRef]
- Regulation 2023/915-EN-EUR-Lex. Available online: https://eur-lex.europa.eu/eli/reg/2023/915/oj/eng (accessed on 28 May 2025).
- Ru, X.; Yang, L.; Shen, G.; Wang, K.; Xu, Z.; Bian, W.; Zhu, W.; Guo, Y. Microelement Strontium and Human Health: Comprehensive Analysis of the Role in Inflammation and Non-Communicable Diseases (NCDs). Front. Chem. 2024, 12, 1367395. [Google Scholar] [CrossRef]
- Podwika, W.; Kleszcz, K.; Krośniak, M.; Zagrodzki, P. Copper, Manganese, Zinc, and Cadmium in Tea Leaves of Different Types and Origin. Biol. Trace Elem. Res. 2018, 183, 389–395. [Google Scholar] [CrossRef]
- Długaszek, M.; Mierczyk, J. Elemental Composition of Green Tea Infusions Depending on the Method of Their Brewing. Eur. Food Res. Technol. 2024, 250, 301–309. [Google Scholar] [CrossRef]
- Deka, H.; Barman, T.; Sarmah, P.P.; Devi, A.; Tamuly, P.; Karak, T. Impact of Processing Method on Selected Trace Elements Content of Green Tea: Does CTC Green Tea Infusion Possess Risk towards Human Health? Food Chem. X 2021, 12, 100173. [Google Scholar] [CrossRef]





Disclaimer/Publisher’s Note: The statements, opinions and data contained in all publications are solely those of the individual author(s) and contributor(s) and not of MDPI and/or the editor(s). MDPI and/or the editor(s) disclaim responsibility for any injury to people or property resulting from any ideas, methods, instructions or products referred to in the content. |
© 2026 by the authors. Licensee MDPI, Basel, Switzerland. This article is an open access article distributed under the terms and conditions of the Creative Commons Attribution (CC BY) license.
Share and Cite
Szymczykowska, K.; Kupnicka, P.; Skonieczna-Żydecka, K.; Melkis, K.; Chlubek, D.; Jakubczyk, K. Elemental Composition of Japanese Matcha Powder and Infusions—Potential Role as a Functional Food in Metabolic Health. Beverages 2026, 12, 21. https://doi.org/10.3390/beverages12020021
Szymczykowska K, Kupnicka P, Skonieczna-Żydecka K, Melkis K, Chlubek D, Jakubczyk K. Elemental Composition of Japanese Matcha Powder and Infusions—Potential Role as a Functional Food in Metabolic Health. Beverages. 2026; 12(2):21. https://doi.org/10.3390/beverages12020021
Chicago/Turabian StyleSzymczykowska, Kinga, Patrycja Kupnicka, Karolina Skonieczna-Żydecka, Klaudia Melkis, Dariusz Chlubek, and Karolina Jakubczyk. 2026. "Elemental Composition of Japanese Matcha Powder and Infusions—Potential Role as a Functional Food in Metabolic Health" Beverages 12, no. 2: 21. https://doi.org/10.3390/beverages12020021
APA StyleSzymczykowska, K., Kupnicka, P., Skonieczna-Żydecka, K., Melkis, K., Chlubek, D., & Jakubczyk, K. (2026). Elemental Composition of Japanese Matcha Powder and Infusions—Potential Role as a Functional Food in Metabolic Health. Beverages, 12(2), 21. https://doi.org/10.3390/beverages12020021

