Batch-Scale Simulation of Heat and Mass Transfer of Coffee Roasting in Spouted Bed Roasters
Abstract
1. Introduction
1.1. Coffee’s Physicochemical Transformation
1.2. Modelling and Simulation of Coffee Roasting
2. Materials and Methods
- Data from our previous study [30] that detailed the physicochemical transformation of coffee during roasting are collated.
- Empirical data from roasting experiments are visualised to outline the evolution of temperature and physicochemical properties under different roasting conditions that establish the fundamental characteristics of the roaster.
- Physicochemical properties are correlated to generate equations that estimate more difficult-to-measure properties.
- Kinetic models of mass and moisture are developed using chemical reaction analogies with Arrhenius-type, temperature-dependent reaction rates and calibrated using the experimental data, with estimation of relevant rate coefficients that depend on process parameters.
- A zero-dimensional, batch-scale simulation of coffee’s thermal evolution during roasting was formulated via energy balance.
- The sensitivity of the simulations to input factors (process parameters) and system-dependent parameters are assessed.
- The thermal model is then calibrated using empirical measurements of both the process and product as they evolve during roasting.
- After developing subroutines to correlate the estimated parameters with the input variables, predicted time–temperature profiles and corresponding physicochemical transformation rates are plotted for each of the case studies.
2.1. Experimental Procedure
2.1.1. Green Coffee
2.1.2. Process Specification and Roasting Conditions
- (i) Case study I—Variation in constant inlet air temperature for a specified batch size and constant airflow.
- (ii) Case study II—Variation in batch size and airflow at a specified constant inlet air temperature.
2.1.3. Product Characterisation
2.2. Modelling
2.2.1. Coffee’s Physicochemical Development
2.2.2. Thermal Balance at the Batch Scale
- Heat transfer between the roaster’s internal metal surfaces and the beans (i.e., conductive heat transfer) is negligible, as the metal–bean contact areas and times are low in spouted bed roasters—thus .
- Exothermic reactions are negligible prior to first crack (FC)—thus for , .
- Roasting conditions induce particle dynamics that create a thermally homogenous bean bed, so bean-to-bean conductive and radiative heat transfer are negligible.
- The measured coffee bean moisture content, density, specific heat capacity and thermal conductivity correspond to the batch mean and they are representative of the total batch and are uniform within the bean.
- An equivalent coffee bean diameter represents the characteristic length for Nusselt number approximations, which were evaluated for spherical particles.
- Water enthalpy of vaporisation was assumed to occur at saturation pressure, dependent on water temperature; water temperature was assumed equal to that of the simulated bean (i.e., particle) temperature.
2.2.3. Implementation of Physicochemical Transformation Models
2.2.4. Implementation of the Zero-Dimensional Heat Transfer Model
| Property | Units | Value |
|---|---|---|
| Moisture, | kg kg−1 | 0.1006 |
| Dimension a | mm | 6.18 |
| Dimension b | mm | 3.84 |
| Dimension c | mm | 8.54 |
| Equivalent Diameter, | mm | 5.87 |
| Packing Density | kg−1 | 10,224 |
| Bean Temperature, | °C | 20 |
2.2.5. Validation of the Numerical Scheme
2.2.6. Determination of Model Parameter Bounds
3. Results
3.1. Changes in Temperature and Physicochemical Properties with Time

3.2. Calibration of Kinetic Models of Mass and Moisture Loss
3.2.1. Mass Loss
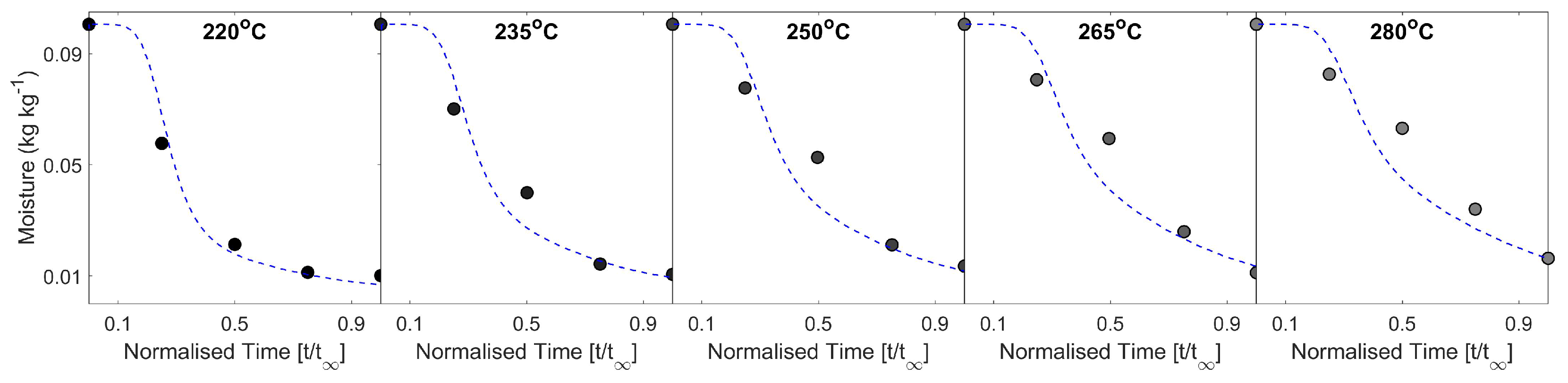
3.2.2. Moisture Loss
3.3. Calibration of the Thermal Model
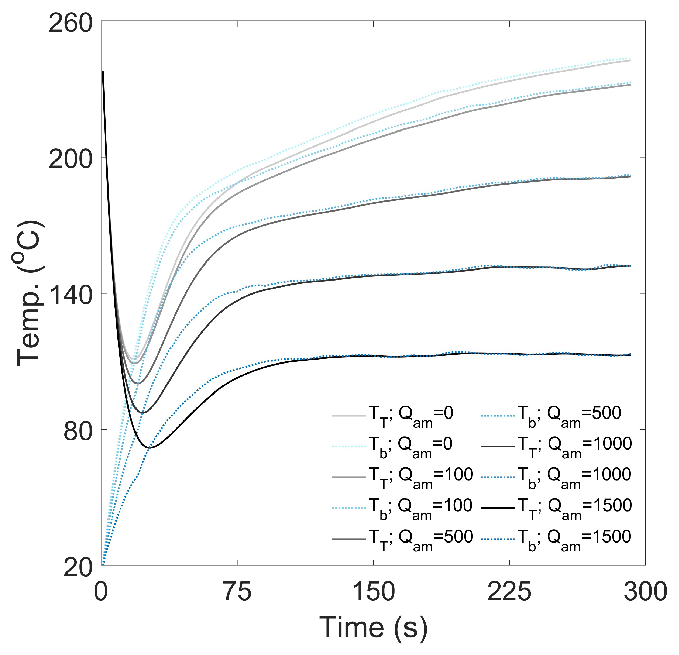
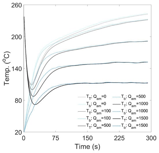
3.3.1. Case Study I—Variation in Constant Inlet Air Temperature
3.3.2. Case Study II—Variation in Batch Size and Airflow
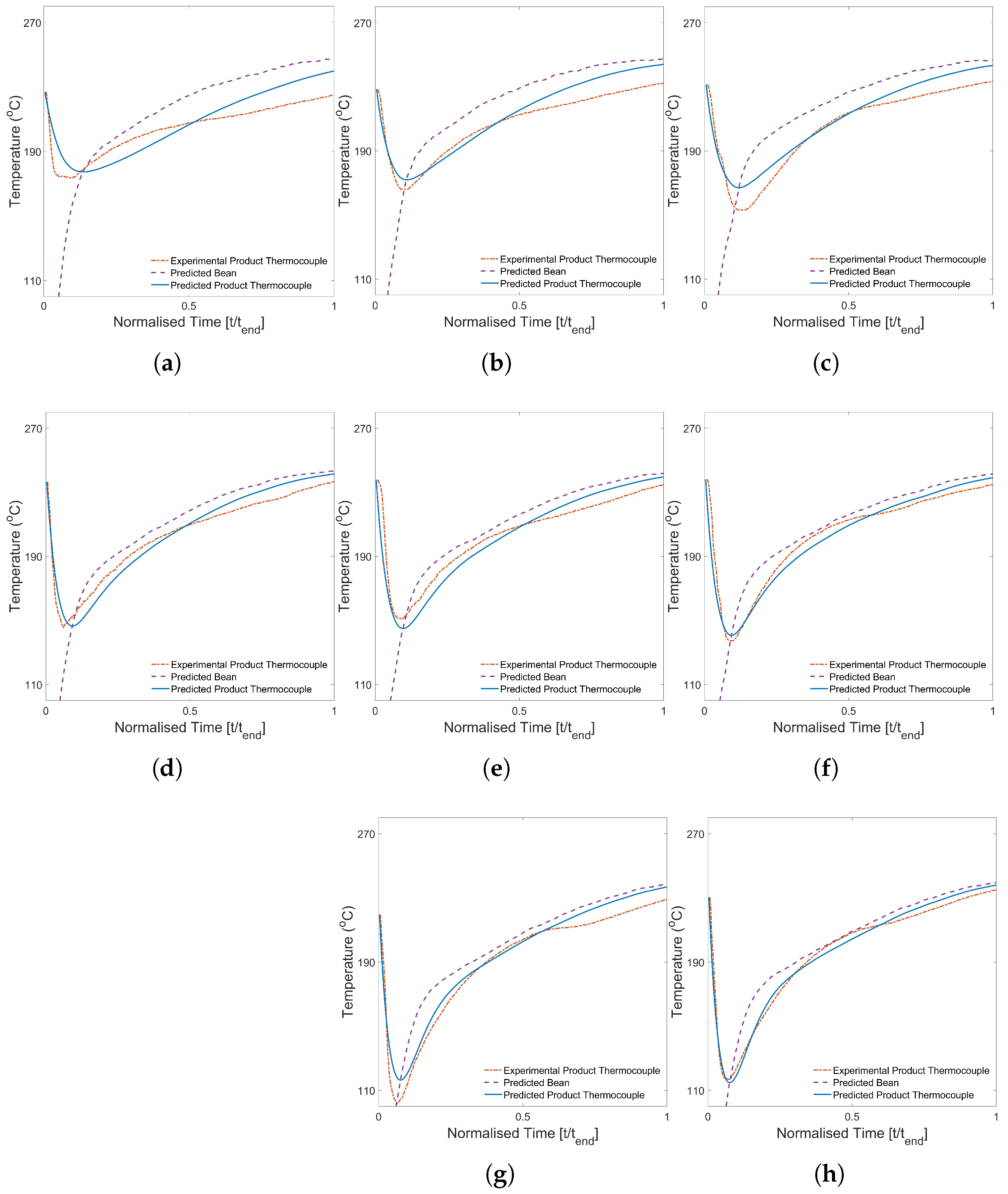
3.4. Prediction of Coffee’s Physicochemical Transformation
4. Discussion
4.1. Limitations and Robustness
4.2. Tools for Process and Product Development
5. Conclusions
Author Contributions
Funding
Institutional Review Board Statement
Informed Consent Statement
Data Availability Statement
Conflicts of Interest
Nomenclature
| Definition | Term | Units |
| Time | t | s |
| Dimensionless property | Y | |
| Fan frequency | f | Hz |
| Mass loss | % | |
| Batch size | kg | |
| Initial batch size | kg | |
| Batch size (dry basis) | kg | |
| Principal dimensions | mm | |
| Bean moisture | kg kg−1 | |
| Bean diameter | m | |
| Bean temperature | K | |
| Actual bean temperature | K | |
| Measured bean temperature | K | |
| Bean volume | m3 | |
| Bean surface area | m2 | |
| Bean intrinsic density | kg m−3 | |
| Bean individual mass | kg | |
| Bean packing density | kg−1 | |
| Bean bulk density | kg m−3 | |
| Bean thermal diffusivity | mm2 s−1 | |
| Bean thermal conductivity | W m−1 K−1 | |
| Bean specific heat capacity | J kg−1 K−1 | |
| Air mass flow rate | kg s−1 | |
| Air velocity | m s−1 | |
| Inlet air temperature | K | |
| Outlet air temperature | K | |
| Air temperature | K | |
| Air pressure | Pa | |
| Air thermal conductivity | W m−1 K−1 | |
| Air specific heat capacity | J kg−1 K−1 | |
| Air viscosity | Pa s | |
| Air density | kg m−3 | |
| Gas constant for air | J kg−1 K−1 | |
| Overall air-to-bean heat transfer coefficient | W m−2 K−1 | |
| Air-to-bean heat transfer coefficient | W m−2 K−1 | |
| Air-to-bean heat transfer effectiveness factor | ||
| Air-to-bean heat transfer area | m2 | |
| Bean-to-thermocouple heat transfer coefficient | W m−2 K−1 | |
| Bean-to-thermocouple heat transfer area | m2 | |
| Air-to-metal heat transfer coefficient | W m−2 K−1 | |
| Air-to-metal heat transfer area | m2 | |
| Metal surface temperature | K | |
| Metal-to-bean heat transfer coefficient | W m−2 K−1 | |
| Metal-to-bean heat transfer area | m2 | |
| Latent heat of vaporisation of water | J kg−1 | |
| Latent heat of reaction | J kg−1 | |
| Nusselt number | ||
| Reynolds number | ||
| Prandtl | ||
| Biot number | ||
| Activation energy of property Y | J kg−1 | |
| Reaction order index | n | |
| Thermocouple temperature | K | |
| Thermal response coefficient | K | s−1 |
| Specific transfer rate into the beans | W kg−1 | |
| Specific transfer rate from air to beans | W kg−1 | |
| Specific transfer rate from air to metal | W kg−1 | |
| Specific transfer rate from metal to beans | W kg−1 | |
| Specific transfer rate of exothermic reactions | W kg−1 | |
| Specific transfer rate of endothermic reactions | W kg−1 |
Appendix A
Appendix A.1. Airflow Calibration
Governing Equations

Anemometer Installation

Appendix A.2. Thermophysical Properties of Air

Appendix A.3. Enthalpy of Vaporisation of Water
Appendix A.4. Comparison of Surface Area Approximation

Appendix A.5. Modelling Coffee’s Physicochemical Transformation
Appendix A.5.1. Mass Loss
Appendix A.5.2. Moisture Loss
Appendix A.6. Validation of the Model’s Numerical Scheme




Appendix A.7. Determination of Model Parameter Bounds
Appendix A.7.1. Thermal Response Coefficient

Appendix A.7.2. Air-to-Metal Heat Transfer

Appendix A.7.3. Heat Transfer Effectiveness

References
- Heyd, B.; Broyart, B.; Hernandez, J.A.; Valdovinos-Tijerino, B.; Trystram, G. Physical Model of Heat and Mass Transfer in a Spouted Bed Coffee Roaster. Dry. Technol. 2007, 25, 1243–1248. [Google Scholar] [CrossRef]
- Wang, N. Physicochemical Changes of Coffee Beans During Roasting. Ph.D. Thesis, University of Guelph, Guelph, ON, Canada, 2012. [Google Scholar]
- Geiger, R. Development of Coffee Bean Structure During Roasting–Investigations on Resistance and Driving Forces. Ph.D. Thesis, ETH Zurich, Zurich, Switzerland, 2004. [Google Scholar] [CrossRef]
- Rao, S. The Coffee Roaster’s Companion; Scott Rao: Boulder, CO, USA, 2014. [Google Scholar]
- Anokye-Bempah, L.; Styczynski, T.; de Andrade Teixeira Fernandes, N.; Gervay-Hague, J.; Ristenpart, W.D.; Donis-González, I.R. The effect of roast profiles on the dynamics of titratable acidity during coffee roasting. Sci. Rep. 2024, 14, 8237. [Google Scholar] [CrossRef] [PubMed]
- Obando, A.M.; Figueroa, J.G. Effect of Roasting Level on the Development of Key Aroma-Active Compounds in Coffee. Molecules 2024, 29, 4723. [Google Scholar] [CrossRef] [PubMed]
- Perrone, D.; Donangelo, R.; Donangelo, C.M.; Farah, A. Modeling Weight Loss and Chlorogenic Acids Content in Coffee during Roasting. J. Agric. Food Chem. 2010, 58, 12238–12243. [Google Scholar] [CrossRef]
- Wang, X.; Lim, L.T. Investigation of CO2 precursors in roasted coffee. Food Chem. 2017, 219, 185–192. [Google Scholar] [CrossRef]
- Baggenstoss, J. Coffee Roasting and Quenching Technology–Formation and Stability of Aroma Compounds. Ph.D. Thesis, ETH Zurich, Zurich, Switzerland, 2008. [Google Scholar] [CrossRef]
- Bustos-Vanegas, J.; Correa, P.; Martins, M.; Baptestini, F.; Campos, R.; Horta de Oliveira, G.; Nunes, E. Developing predictive models for determining physical properties of coffee beans during the roasting process. Ind. Crops Prod. 2018, 112, 839–845. [Google Scholar] [CrossRef]
- Marek, G.; Dobrzański, B.; Oniszczuk, T.; Combrzyński, M.; Ćwikła, D.; Rusinek, R. Detection and Differentiation of Volatile Compound Profiles in Roasted Coffee Arabica Beans from Different Countries Using an Electronic Nose and GC-MS. Sensors 2020, 20, 2124. [Google Scholar] [CrossRef]
- Gancarz, M.; Dobrzański, B.; Malaga-Toboła, U.; Tabor, S.; Combrzyński, M.; Ćwikła, D.; Strobel, W.R.; Oniszczuk, A.; Karami, H.; Darvishi, Y.; et al. Impact of Coffee Bean Roasting on the Content of Pyridines Determined by Analysis of Volatile Organic Compounds. Molecules 2022, 27, 1559. [Google Scholar] [CrossRef]
- Várady, M.; Tauchen, J.; Fraňková, A.; Klouček, P.; Popelka, P. Effect of method of processing specialty coffee beans (natural, washed, honey, fermentation, maceration) on bioactive and volatile compounds. LWT 2022, 172, 114245. [Google Scholar] [CrossRef]
- Febrianto, N.A.; Zhu, F. Coffee bean processing: Emerging methods and their effects on chemical, biological and sensory properties. Food Chem. 2023, 412, 135489. [Google Scholar] [CrossRef] [PubMed]
- Santanatoglia, A.; Alessandroni, L.; Fioretti, L.; Sagratini, G.; Vittori, S.; Maggi, F.; Caprioli, G. Discrimination of Filter Coffee Extraction Methods of a Medium Roasted Specialty Coffee Based on Volatile Profiles and Sensorial Traits. Foods 2023, 12, 3199. [Google Scholar] [CrossRef]
- Louzada Pereira, L.; Rizzo Moreira, T. Quality Determinants in Coffee Production; Springer: Berlin/Heidelberg, Germany, 2021. [Google Scholar]
- Seninde, D.R.; Chambers, E. Coffee Flavor: A Review. Beverages 2020, 6, 44. [Google Scholar] [CrossRef]
- Tsiafitsa, A.; Oikonomopoulou, V.; Stramarkou, M.; Krokida, M.; Papassiopi, N. Effect of heat treatment on physicochemical and sensory properties of selected coffee varieties. Eur. Food Res. Technol. 2022, 248, 2009–2020. [Google Scholar] [CrossRef]
- Dutra, E.R.; Oliveira, L.S.; Franca, A.S.; Ferraz, V.P.; Afonso, R.J.C.F. A preliminary study on the feasibility of using the composition of coffee roasting exhaust gas for the determination of the degree of roast. J. Food Eng. 2001, 47, 241–246. [Google Scholar] [CrossRef]
- Wang, X.; Lim, L.T. A Kinetics and Modeling Study of Coffee Roasting Under Isothermal Conditions. Food Bioprocess Technol. 2014, 7, 621–632. [Google Scholar] [CrossRef]
- Schenker, S. Investigations on the Hot Air Roasting of Coffee Beans. Ph.D. Thesis, ETH Zurich, Zurich, Switzerland, 2000. [Google Scholar] [CrossRef]
- Alessandrini, L.; Romani, S.; Pinnavaia, G.; Rosa, M.D. Near infrared spectroscopy: An analytical tool to predict coffee roasting degree. Anal. Chim. Acta 2008, 625, 95–102. [Google Scholar] [CrossRef]
- Vargas-Elias, G.; Correa, P.; de Souza, N.; Melo, E. Kinetics of Mass Loss of Arabica Coffee During Roasting Process. Eng. Agríc. 2016, 36, 300–308. [Google Scholar] [CrossRef]
- Pramudita, D.; Araki, T.; Sagara, Y.; Tambunan, A.H. Roasting and Colouring Curves for Coffee Beans with Broad Time-Temperature Variations. Food Bioprocess Technol. 2017, 10, 1509–1520. [Google Scholar] [CrossRef]
- Baggenstoss, J.; Poisson, L.; Kaegi, R.; Perren, R.; Escher, F. Roasting and aroma formation: Effect of initial moisture content and steam treatment. J. Agric. Food Chem. 2008, 56, 5847–5851. [Google Scholar] [CrossRef]
- de Oliveira, G.H.H.; Corrêa, P.C.; Oliveira, A.P.L.R.d.; Baptestini, F.M.; Vargas-Elías, G.A. Roasting, Grinding, and Storage Impact on Thermodynamic Properties and Adsorption Isotherms of Arabica Coffee. J. Food Process. Preserv. 2017, 41, e12779. [Google Scholar] [CrossRef]
- Rodrigues, C.; Correia, F.; Mendes, T.; Medina, J.; Figueira, C. CHAPTER 9 Post-roasting Processing: Grinding, Packaging and Storage. In Coffee: Production, Quality and Chemistry; The Royal Society of Chemistry: London, UK, 2019; pp. 258–271. [Google Scholar] [CrossRef]
- Chu, B.; Yu, K.; Zhao, Y.; He, Y. Development of Noninvasive Classification Methods for Different Roasting Degrees of Coffee Beans Using Hyperspectral Imaging. Sensors 2018, 18, 1259. [Google Scholar] [CrossRef] [PubMed]
- Chindapan, N.; Soydok, S.; Devahastin, S. Roasting Kinetics and Chemical Composition Changes of Robusta Coffee Beans During Hot Air and Superheated Steam Roasting. J. Food Sci. 2019, 84, 292–302. [Google Scholar] [CrossRef] [PubMed]
- Al-Shemmeri, M.; Fryer, P.; Farr, R.; Lopez-Quiroga, E. Development of Coffee Bean Porosity and Thermophysical Properties During Roasting. J. Food Eng. 2024, 378, 112096. [Google Scholar] [CrossRef]
- Fabbri, A.; Cevoli, C.; Alessandrini, L.; Romani, S. Numerical modeling of heat and mass transfer during coffee roasting process. J. Food Eng. 2011, 105, 264–269. [Google Scholar] [CrossRef]
- Fadai, N.T.; Melrose, J.; Please, C.P.; Schulman, A.; Van Gorder, R.A. A heat and mass transfer study of coffee bean roasting. Int. J. Heat Mass Transf. 2017, 104, 787–799. [Google Scholar] [CrossRef]
- Corradini, M.G.; Peleg, M. Prediction of vitamins loss during non-isothermal heat processes and storage with non-linear kinetic models. Trends Food Sci. Technol. 2006, 17, 24–34. [Google Scholar] [CrossRef]
- Corradini, M.G.; Peleg, M. Linear and non-linear kinetics in the synthesis and degradation of acrylamide in foods and model systems. Crit. Rev. Food Sci. Nutr. 2006, 46, 489–517. [Google Scholar] [CrossRef]
- Oliveira, L.; Hudebine, D.; Guillaume, D.; Verstraete, J. A Review of Kinetic Modeling Methodologies for Complex Processes. Oil Gas Sci. Technol. 2016, 71, 45. [Google Scholar] [CrossRef]
- Schwartzberg, H. Modeling Bean Heating during Batch Roasting of Coffee Beans. In Engineering and Food for the 21st Century; CRC Press: Boca Raton, FL, USA, 2002. [Google Scholar] [CrossRef]
- Zhu, M.; Long, Y.; Ma, Y.; Huang, Y.; Wan, Y.; Yu, Q.; Xie, J.; Chen, Y. Investigation of thermal contaminants in coffee beans induced by roasting: A kinetic modeling approach. Food Chem. 2022, 378, 132063. [Google Scholar] [CrossRef]
- Schwartzberg, H. Modeling Exothermic Heat Generation during the Roasting of Coffee. In Proceedings of the 21st International Conference on Coffee Science, Montpellier, France, 11–15 September 2006. [Google Scholar]
- Schwartzberg, H. Batch Coffee Roasting; Roasting Energy Use; Reducing That Use. In Advances in Food Process Engineering Research and Applications; Springer US: Boston, MA, USA, 2013; pp. 173–195. [Google Scholar]
- Bottazzi, D.; Farina, S.; Milani, M.; Montorsi, L. A numerical approach for the analysis of the coffee roasting process. J. Food Eng. 2012, 112, 243–252. [Google Scholar] [CrossRef]
- Schwartzberg, H. Improving Industrial Measurement of the Temperature of Roasting Coffee Beans. In Proceedings of the 21st International Conference on Coffee Science, Montpellier, France, 11–15 September 2006. [Google Scholar]
- Bopape, N.; van der Merwe, A.; Vosloo, J.; Ross, R.G. Validation and Improvement of Heat and Mass Transfer Model in Prediciting the Coffee Roasting Profile. In Proceedings of the International Conference on Advances in Science, Engineering, Technology and Natural Resources, Parys, South Africa, 24–25 November 2016; pp. 225–232. [Google Scholar] [CrossRef]
- Hernández Pérez, J.A. Modelling and Determining Coffee Roasting Quality on Line. Ph.D. Thesis, ENSIA (AgroParisTech), Paris, Fance, 2002. Available online: https://pastel.hal.science/pastel-00003699 (accessed on 15 October 2025).
- Palma, F.D.; Iacono, F.; Toffanin, C.; Ziccardi, A.; Magni, L. Scalable model for industrial coffee roasting chamber. Procedia Comput. Sci. 2021, 180, 122–131. [Google Scholar] [CrossRef]
- Vosloo, J. Heat and Mass Transfer Model for a Coffee Roasting Process. Master’s Thesis, North-West University, Potchefstroom, South Africa, 2017. [Google Scholar]
- Uren, K.R.; Vosloo, J.; van der Merwe, A.F.; van Schoor, G. Heat and mass transfer modeling of an artisan coffee roasting process: A comparative study. Dry. Technol. 2023, 41, 1697–1713. [Google Scholar] [CrossRef]
- Alonso-Torres, B.; Hernández-Pérez, J.A.; Sierra-Espinoza, F.; Schenker, S.; Yeretzian, C. Modeling and Validation of Heat and Mass Transfer in Individual Coffee Beans during the Coffee Roasting Process Using Computational Fluid Dynamics (CFD). Chimia 2013, 67, 291–294. [Google Scholar] [CrossRef] [PubMed]
- Oliveros, N.O.; Hernández, J.A.; Sierra-Espinosa, F.Z.; Guardián-Tapia, R.; Pliego-Solórzano, R. Experimental study of dynamic porosity and its effects on simulation of the coffee beans roasting. J. Food Eng. 2017, 199, 100–112. [Google Scholar] [CrossRef]
- Al-Shemmeri, M.; Windows-Yule, K.; Lopez-Quiroga, E.; Fryer, P.J. Coffee bean particle motion in a spouted bed measured using Positron Emission Particle Tracking (PEPT). J. Food Eng. 2021, 311, 110709. [Google Scholar] [CrossRef]
- Al-Shemmeri, M.; Windows-Yule, K.; Lopez-Quiroga, E.; Fryer, P.J. Coffee bean particle motion in a rotating drum measured using Positron Emission Particle Tracking (PEPT). Food Res. Int. 2023, 163, 112253. [Google Scholar] [CrossRef]
- Che, H.; Al-Shemmeri, M.; Fryer, P.J.; Lopez-Quiroga, E.; Kokalova Wheldon, T.; Windows-Yule, K. PEPT validated CFD-DEM model of aspherical particle motion in a spouted bed. Chem. Eng. J. 2023, 453, 139689. [Google Scholar] [CrossRef]
- Bustos-Vanegas, J.D.; Collazos-Escobar, G.A.; Gutiérrez-Guzmán, N.; Campos, T. Mathematical Modeling in Coffee Roasting: The Science Behind the Art. In Proceedings of the Selected Topics in Food Process Engineering; Vega-Castro, O.A., Simpson, R., Pilar Buera, M.d., Granda-Restrepo, D.M., Villa Zabala, C.C., Pinzón-Fandiño, M.I., Gutiérrez-López, G.F., Barbosa-Cánovas, G.V., Eds.; Springer: Cham, Switzerland, 2025; pp. 361–383. [Google Scholar]
- Intercontinental Exchange. Coffee “C” Futures Contract Rules (NYBOT No. 8); Technical Report; U.S. Commodity Futures Trading Commission: Washington, DC, USA, 2024. Available online: https://www.cftc.gov/sites/default/files/files/submissions/dcodcm/dcmnybotvcoffeec.pdf (accessed on 15 October 2025).
- Levenspiel, O. Chemical reaction engineering. Ind. Eng. Chem. Res. 1999, 38, 4140–4143. [Google Scholar] [CrossRef]
- Peleg, M.; Normand, M.D.; Corradini, M.G. The Arrhenius equation revisited. Crit. Rev. Food Sci. Nutr. 2012, 52, 830–851. [Google Scholar] [CrossRef]
- Froessling, N. The Evaporation of Falling Drops; Defense Technical Information Center: Fort Belvoir, VA, USA, 1968; Volume 52, p. 37. [Google Scholar]
- Brown, S.; Lattimer, B. Transient gas-to-particle heat transfer measurements in a spouted bed. Exp. Therm. Fluid Sci. 2013, 44, 883–892. [Google Scholar] [CrossRef]
- Hobbie, M.; Eggers, R. The Influence of Endothermic and Exothermic Energies on the Temperature Field of Coffee Beans during the Roasting process. In Proceedings of the 19th International Scientific Colloquium on Coffee, Trieste, Italy, 14–18 May 2001. [Google Scholar]
- Singh, P.C.; Singh, R.K.; Bhamidipati, S.; Singh, S.N.; Barone, P. Thermophysical properties of fresh and roasted coffee powders. J. Food Process Eng. 1997, 20, 31–50. [Google Scholar] [CrossRef]
- Burmester, K.; Eggers, R. Heat and mass transfer during the coffee drying process. J. Food Eng. 2010, 99, 430–436. [Google Scholar] [CrossRef]
- Cardoso, D.B.; Andrade, E.T.d.; Calderón, R.A.A.; Rabelo, M.H.S.; Dias, C.d.A.; Lemos, I.A. Determination of thermal properties of coffee beans at different degrees of roasting. Coffee Sci. 2018, 13. Available online: https://coffeescience.ufla.br/index.php/Coffeescience/article/view/1491 (accessed on 15 October 2025). [CrossRef]
- Redgwell, R.J.; Trovato, V.; Curti, D.; Fischer, M. Effect of roasting on degradation and structural features of polysaccharides in Arabica coffee beans. Carbohydr. Res. 2002, 337, 421–431. [Google Scholar] [CrossRef]
- Bergman, T.L.; DeWitt, D.P.; Incropera, F.; Lavine, A.S. Fundamentals of Heat and Mass Transfer; John Wiley & Sons: Hoboken, NJ, USA, 2011; Volume 997. [Google Scholar]
- Engineering-ToolBox. Resources, Tools and Basic Information for Engineering and Design of Technical Applications, 2020. Available online: https://www.engineeringtoolbox.com/air-properties-d_156.html (accessed on 15 October 2025).















| Case Study | Batch Size (g) | Inlet Air Temp. (°C) | Fan Freq. (Hz) | Air Mass Flow Rate (kg s−1) | Roasting Times (s) |
|---|---|---|---|---|---|
| I | 350 | 220 | 48 | 0.0228 | 0, 175, 350, 525, 700 |
| I | 350 | 235 | 48 | 0.0228 | 0, 104, 208, 312, 415 |
| I | 350 | 250 | 48 | 0.0228 | 0, 69, 138, 209, 278 |
| I | 350 | 265 | 48 | 0.0228 | 0, 54, 108, 164, 218 |
| I | 350 | 280 | 48 | 0.0228 | 0, 42, 84, 126, 168 |
| II | 200 | 250 | 30 | 0.0141 | 0, 75, 150, 225 |
| II | 200 | 250 | 48 | 0.0228 | 0, 52, 143, 215 |
| II | 200 | 250 | 65 | 0.0141 | 0, 58, 117, 175 |
| II | 350 | 250 | 39 | 0.0185 | 0, 109, 219, 328 |
| II | 350 | 250 | 48 | 0.0228 | 0, 93, 185, 278 |
| II | 350 | 250 | 65 | 0.0310 | 0, 85, 170, 255 |
| II | 500 | 250 | 48 | 0.0228 | 0, 115, 230, 345 |
| II | 500 | 250 | 65 | 0.0310 | 0, 107, 213, 320 |
| Properties Correlated | Equation Number | R2 | RMSE |
|---|---|---|---|
| Density and moisture | (21) | 0.9775 | 28 kg m−3 |
| Volume and moisture | (22) | 0.9401 | 7.3 mm3 |
| Thermal conductivity and density | (23) | 0.9779 | 0.002 W m−1 K−1 |
| Specific heat capacity and density | (24) | 0.9704 | 27 J kg−1 K−1 |
| Inlet Air Temp. (°C) | Batch Size (kg) | Fan Freq. (Hz) | Thermal Response Coefficient (s−1) | Effectiveness Factor | RMSE (°C) |
|---|---|---|---|---|---|
| 220 | 0.35 | 48 | 0.034 ± 0.001 | 0.50 ± 0.01 | 4.4 |
| 235 | 0.35 | 48 | 0.036 ± 0.001 | 0.47 ± 0.01 | 4.7 |
| 250 | 0.35 | 48 | 0.037 ± 0.001 | 0.47 ± 0.01 | 4.9 |
| 265 | 0.35 | 48 | 0.041 ± 0.000 | 0.41 ± 0.01 | 4.3 |
| 280 | 0.35 | 48 | 0.048 ± 0.001 | 0.38 ± 0.02 | 5.1 |
| Inlet Air Temp. (°C) | Batch Size (kg) | Fan Freq. (Hz) | Thermal Response Coefficient (s−1) | Effectiveness Factor | RMSE (°C) |
|---|---|---|---|---|---|
| 250 | 0.20 | 30 | 0.021 ± 0.002 | 0.25 ± 0.03 | 8.4 |
| 250 | 0.20 | 48 | 0.031 ± 0.001 | 0.28 ± 0.01 | 4.3 |
| 250 | 0.20 | 65 | 0.045 ± 0.002 | 0.31 ± 0.02 | 4.2 |
| 250 | 0.35 | 39 | 0.038 ± 0.002 | 0.52 ± 0.02 | 6.5 |
| 250 | 0.35 | 48 | 0.035 ± 0.002 | 0.46 ± 0.02 | 5.7 |
| 250 | 0.35 | 65 | 0.049 ± 0.002 | 0.48 ± 0.02 | 4.8 |
| 250 | 0.50 | 48 | 0.063 ± 0.002 | 0.90 ± 0.02 | 4.1 |
| 250 | 0.50 | 65 | 0.059 ± 0.001 | 0.77 ± 0.02 | 3.3 |
Disclaimer/Publisher’s Note: The statements, opinions and data contained in all publications are solely those of the individual author(s) and contributor(s) and not of MDPI and/or the editor(s). MDPI and/or the editor(s) disclaim responsibility for any injury to people or property resulting from any ideas, methods, instructions or products referred to in the content. |
© 2025 by the authors. Licensee MDPI, Basel, Switzerland. This article is an open access article distributed under the terms and conditions of the Creative Commons Attribution (CC BY) license (https://creativecommons.org/licenses/by/4.0/).
Share and Cite
Al-Shemmeri, M.; Fryer, P.J.; Farr, R.; Lopez-Quiroga, E. Batch-Scale Simulation of Heat and Mass Transfer of Coffee Roasting in Spouted Bed Roasters. Beverages 2025, 11, 162. https://doi.org/10.3390/beverages11060162
Al-Shemmeri M, Fryer PJ, Farr R, Lopez-Quiroga E. Batch-Scale Simulation of Heat and Mass Transfer of Coffee Roasting in Spouted Bed Roasters. Beverages. 2025; 11(6):162. https://doi.org/10.3390/beverages11060162
Chicago/Turabian StyleAl-Shemmeri, Mark, Peter J. Fryer, Robert Farr, and Estefania Lopez-Quiroga. 2025. "Batch-Scale Simulation of Heat and Mass Transfer of Coffee Roasting in Spouted Bed Roasters" Beverages 11, no. 6: 162. https://doi.org/10.3390/beverages11060162
APA StyleAl-Shemmeri, M., Fryer, P. J., Farr, R., & Lopez-Quiroga, E. (2025). Batch-Scale Simulation of Heat and Mass Transfer of Coffee Roasting in Spouted Bed Roasters. Beverages, 11(6), 162. https://doi.org/10.3390/beverages11060162

