Nanostructured ZnO-Based Electrochemical Sensor with Anionic Surfactant for the Electroanalysis of Trimethoprim
Abstract
1. Introduction
2. Experimental Section
2.1. Chemicals and Reagents
2.2. Instrumentation
2.3. Preparation of Pharmaceutical Sample
2.4. Preparation of Urine Samples
2.5. Synthesis of Nanostructure ZnO Nanoparticle
2.6. Fabrication of Electrode
2.7. Experimental Procedure
3. Results and Discussion
3.1. Surface Area of Electrode and ZnO Characterization
3.2. Characterisation of Modifier
3.3. Electrochemical Detection of TMP
3.4. Immersion Time
3.5. pH Study
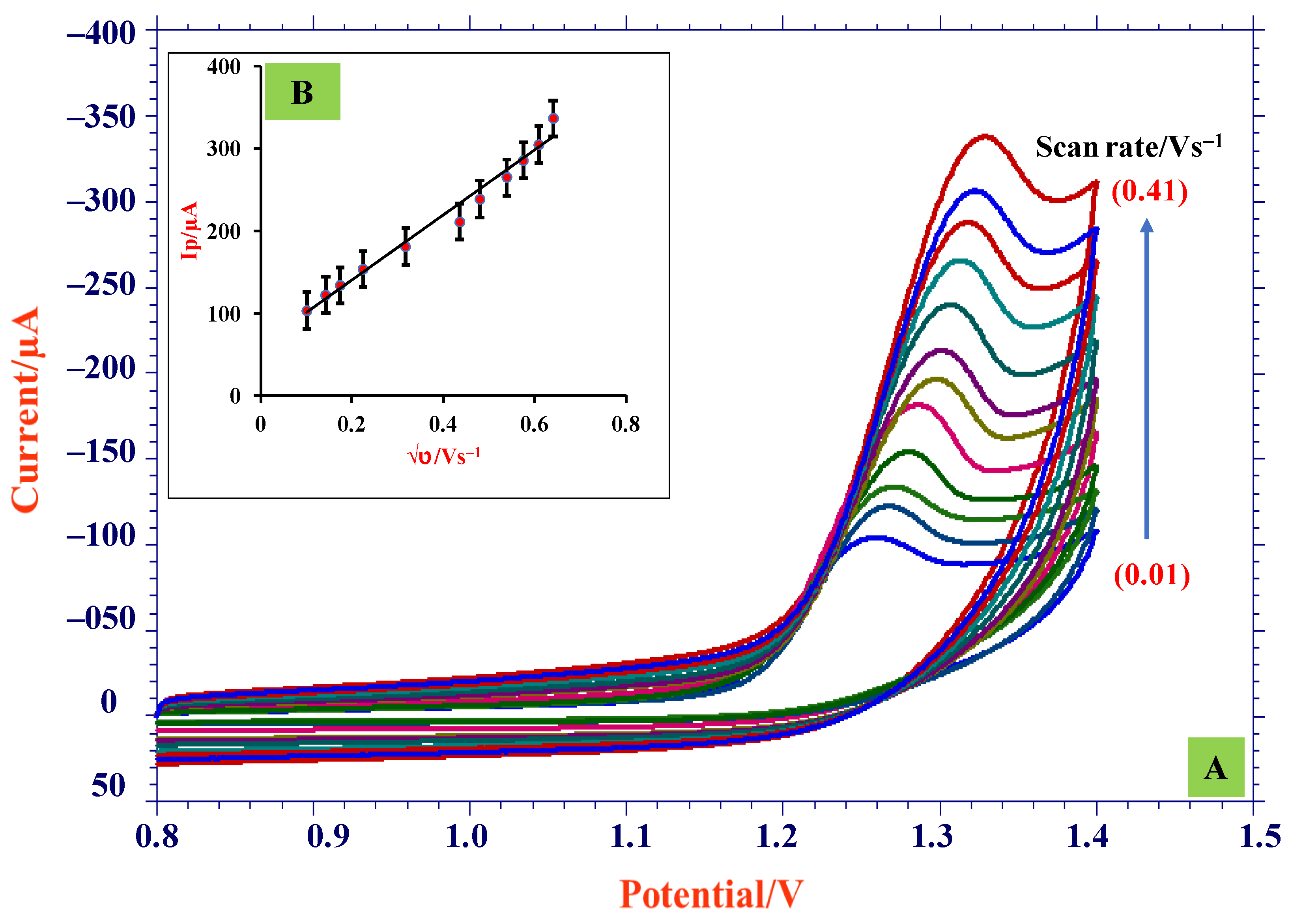
3.6. Scan Rate Study
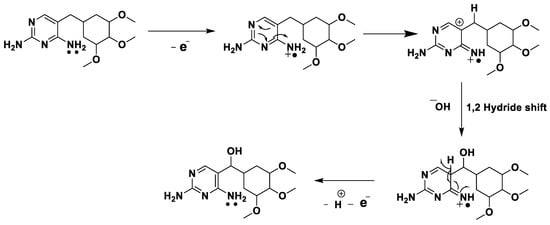
3.7. Possible Electrode Mechanism
4. Analytical Applications
4.1. Variation in TMP Concentration
4.2. Pharmaceutical Sample Analysis
4.3. Analysis of Urine Sample
4.4. Effect of Interference Molecules
4.5. Repeatability and Reproducibility
5. Conclusions
Supplementary Materials
Author Contributions
Funding
Institutional Review Board Statement
Informed Consent Statement
Data Availability Statement
Acknowledgments
Conflicts of Interest
References
- Akinyele, O.F.; Adejayan, S.B.; Durosinmi, L.M.; Ayeni, A.O.; Ajayeoba, T.A. Interactions of Metal ions withTrimethoprim and Metformin. Int. J. ChemTech Res. 2020, 13, 38–46. [Google Scholar] [CrossRef]
- Minato, Y.; Dawadi, S.; Kordus, S.; Sivanandam, A.; Aldrich, C.C.; Baughn, A.D. Mutual potentiation drives synergy between trimethoprim and sulfamethoxazole. Nat. Commun. 2018, 9, 1003. [Google Scholar] [CrossRef] [PubMed]
- He, Q.; Ma, X.; Feng, S.; Miao, Y.; Du, M.; Xu, Y.; Wang, F. The performance and evolution of bacterial community of activated sludge exposed to trimethoprim in a sequencing batch reactor. Bioresour. Technol. 2017, 244, 872–879. [Google Scholar]
- Rajith, L.; Kumar, K.G. Electroanalysis of trimethoprim on metalloporphyrin incorporated glassy carbon electrode. Drug Test. Anal. 2010, 2, 436–441. [Google Scholar] [CrossRef]
- Fekry, A.; Abdel-Gawad, S.; Tammam, R.; Zayed, M. An electrochemical sensor for creatinine based on carbon nanotubes/folic acid/silver nanoparticles modified electrode. Measurement 2020, 163, 107958. [Google Scholar] [CrossRef]
- Sarpong, K.A.; Zhang, K.; Luan, Y.; Cao, Y.; Xu, W. Development and application of a novel electrochemical sensor based on AuNPS and difunctional monomer-MIPs for the selective determination of Tetrabromobisphenol-S in water samples. Microchem. J. 2020, 154, 104526. [Google Scholar] [CrossRef]
- Shanbhag, M.M.; Ilager, D.; Mahapatra, S.; Shetti, N.P.; Chandra, P. Amberlite XAD-4 based electrochemical sensor for diclofenac detection in urine and commercial tablets. Mater. Chem. Phys. 2021, 273, 125044. [Google Scholar] [CrossRef]
- Yang, Z.; Zhang, X.; Guo, J. Functionalized Carbon-Based Electrochemical Sensors for Food and Alcoholic Beverage Safety. Appl. Sci. 2022, 12, 9082. [Google Scholar] [CrossRef]
- Patil, V.B.; Malode, S.J.; Mangasuli, S.N.; Tuwar, S.M.; Mondal, K.; Shetti, N.P. An Electrochemical Electrode to Detect Theophylline Based on Copper Oxide Nanoparticles Composited with Graphene Oxide. Micromachines 2022, 13, 1166. [Google Scholar] [CrossRef]
- Shetti, N.P.; Malode, S.J.; Nandibewoor, S.T. Electro-oxidation of captopril at a gold electrode and its determination in pharmaceuticals and human fluids. Anal. Methods 2015, 7, 8673–8682. [Google Scholar] [CrossRef]
- Ilager, D.; Malode, S.J.; Shetti, N.P. Development of 2D graphene oxide sheets-based voltammetric sensor for electrochemical sensing of fungicide, carbendazim. Chemosphere 2022, 303, 134919. [Google Scholar] [CrossRef] [PubMed]
- Shetti, N.P.; Sampangi, L.V.; Hegde, R.N.; Nandibewoor, S.T. Electrochemical oxidation of loop diuretic furosemide at gold electrode and its analytical applications. Int. J. Electrochem. Sci. 2009, 4, 104–121. [Google Scholar]
- Hsueh, H.T.; Chang, S.J.; Hung, F.Y.; Weng, W.Y.; Hsu, C.L.; Hsueh, T.J.; Tsai, T.Y.; Dai, B.T. Fabrication of coaxial p-Cu2/n-ZnO nanowire photodiodes. Super Lattices Microstruct. 2011, 49, 572–580. [Google Scholar] [CrossRef]
- Karimi, M.; Saydi, J.; Mahmoodi, M.; Seidi, J.; Ezzati, M.; Anari, S.S.; Ghasemian, M.B. A comparative study on ethanol gas sensing properties of ZnO and Zn0.94Cd0.06O nanoparticles. J. Phys. Chem. Solids 2013, 74, 1392–1398. [Google Scholar] [CrossRef]
- Chandrashekar, B.N.; Swamy, B.E.K. Electrocatalysis of SDS surfactant Modified Carbon Paste Electrode for the Simultaneous Determination of Ascorbic Acid, Norepinephrine and Folic Acid. Anal. Bioanal. Electrochem. 2016, 3, 345–357. [Google Scholar]
- Deepa, S.; Swamy, B.K.; Pai, K.V. A surfactant SDS modified carbon paste electrode as an enhanced and effective electrochemical sensor for the determination of doxorubicin and dacarbazine its applications: A voltammetric study. J. Electroanal. Chem. 2020, 879, 114748. [Google Scholar] [CrossRef]
- Zhang, S.H.; Wu, K.B. Square Wave Voltammetric Determination of Indole-3-acetic Acid Based on the Enhancement Effect of Anionic Surfactant at the Carbon Paste Electrode. Bull. Korean Chem. Soc. 2004, 25, 1321–1325. [Google Scholar]
- Adegoke, O.A.; Babalola, C.P.; Kotila, O.A.; Obuebhor, O. Simultaneous spectrophotometric determination of trimethoprim and sulphamethoxazole following charge-transfer complexation with chloranilic acid. Arab. J. Chem. 2017, 10, S3848–S3860. [Google Scholar] [CrossRef]
- Hassib, S.T.; Farag, A.E.; Elkady, E.F. Bull, Liquid chromatographic and spectrophotometric methods for the determination of erythromycin sterate and trimethoprim in tablets. Facual. Pharm. 2011, 49, 81–89. [Google Scholar]
- Hajjan, R.; Haghighi, R.; Shams, N. Combination of ratio derivative spectrophotometry with simultaneous standard additions method for determination of sulfamethoxazole and trimethoprim. Asian J. Chem. 2010, 22, 6569. [Google Scholar]
- Stojković, G.; Dimitrieska-Stojković, E.; Soklevska, M.; Velev, R. Optimization, Validation and Application of UV-Vis Spectrophotometric-Colorimetric Methods for Determination of Trimethoprim in Different Medicinal Products. Maced. Veter Rev. 2016, 39, 65–76. [Google Scholar] [CrossRef][Green Version]
- Lecours, M.-A.; Eysseric, E.; Yargeau, V.; Lessard, J.; Brisard, G.M.; Segura, P.A. Electrochemistry-High Resolution Mass Spectrometry to Study Oxidation Products of Trimethoprim. Environments 2018, 5, 18. [Google Scholar] [CrossRef]
- Raauf, A.M.R.; Ali, H.M.; Hameid, H. Spectrophotometric Determination of Trimethoprim in Pharmaceutical Formulation via Schiff base Reaction using Prepared Organic Reagents, Tikrit. J. Pharm. Sci. 2012, 8, 209–220. [Google Scholar]
- Nagaraja, P.; Shrestha, A.; Shivakumar, A.; Gowda, A. Spectrophotometric determination of chloroquine, pyrimethamine and trimethoprim by ion pair extraction in pharmaceutical formulation and urine. J. Food Drug Anal. 2010, 18, 7. [Google Scholar] [CrossRef]
- Yang, Y.-J.; Liu, X.-W.; Li, B.; Li, S.-H.; Kong, X.-J.; Qin, Z.; Li, J.-Y. Simultaneous determination of diaveridine, trimethoprim and ormetoprim in feed using high performance liquid chromatography tandem mass spectrometry. Food Chem. 2016, 212, 358–366. [Google Scholar] [CrossRef]
- Berzas, J.J.; Penalvo, G.C.; Bernardo, F.J.G. Determination of sulfamethoxazole, sulfadiazine and associated compounds in pharmaceutical preparations by capillary zone electrophoresis. J. Chromatogr. A 2001, 918, 205. [Google Scholar] [CrossRef]
- Beletskaya, I.; Tyurin, V.S.; Tsivadze, A.Y.; Guilard, R.; Stern, C. Supramolecular Chemistry of Metalloporphyrins. Chem. Rev. 2009, 109, 1659–1713. [Google Scholar] [CrossRef] [PubMed]
- Andrade, L.S.; de Moraes, M.C.; Rocha-Filho, R.C.; Fatibello-Filho, O.; Cass, Q.B. A multidimensional high performance liquid chromatography method coupled with amperometric detection using a boron-doped diamond electrode for the simultaneous determination of sulfamethoxazole and trimethoprim in bovine milk. Anal. Chim. Acta 2009, 654, 127–132. [Google Scholar] [CrossRef]
- Liu, L.; Wan, Q.; Xu, X.; Duan, S.; Yang, C. Combination of micelle collapse and field-amplified sample stacking in capillary electrophoresis for determination of trimethoprim and sulfamethoxazole in animal-originated foodstuffs. Food Chem. 2017, 219, 7–12. [Google Scholar] [CrossRef] [PubMed]
- Rebelo, T.S.; Almeida, S.A.; Guerreiro, J.R.L.; Montenegro, M.C.B.; Sales, M.G.F. Trimethoprim-selective electrodes with molecularly imprinted polymers acting as ionophores and potentiometric transduction on graphite solid-contact. Microchem. J. 2011, 98, 21–28. [Google Scholar] [CrossRef]
- Pedroso, R.C.R.; Peralba, M.D.R.; Santos, J.H.Z.d.; Pizzolato, T.M.; Froehlich, P.E. Desenvolvimento de metodos de analise Por CLAE-UV para os antimicrobianos tetraciclina, sulfamethoxazole e trimethoprim utilized materials a base de silica Como sistemas de pre-concentrical. Quim. Nova. 2011, 34, 206–212. [Google Scholar] [CrossRef]
- Hussein, Z.M.; Rasheed, A.S. A Reliable Quantification Method for Trimethoprim in Pharmaceutical Samples by HILIC-HPLC. Indian J. Forensic Med. Toxic. 2021, 15, 2403. [Google Scholar]
- Patil, V.B.; Malode, S.J.; Tuwar, S.M.; Shetti, N.P. Graphene sheet-based electrochemical sensor with cationic surfactant for sensitive detection of atorvastatin. Sensors Int. 2022, 3, 100198. [Google Scholar] [CrossRef]
- Shanbhag, M.M.; Shetti, N.P.; Kalanur, S.S.; Pollet, B.G.; Upadhyaya, K.P.; Ayachit, N.H.; Aminabhavi, T.M. Hf-Doped Tungsten Oxide Nanorods as Electrode Materials for Electrochemical Detection of Paracetamol and Salbutamol. ACS Appl. Nano Mater. 2021, 5, 1263–1275. [Google Scholar] [CrossRef]
- Huang, L.; Bu, L.; Zhao, F.; Zeng, B. Voltammetric behaviour of ethopropazine and the influence of sodium dodecyl sulphate on its accumulation on gold electrodes. J. Solid State Electrochem. 2004, 8, 976–981. [Google Scholar] [CrossRef]
- Ilager, D.; Malode, S.J.; Kulkarni, R.M.; Shetti, N.P. Electrochemical sensor based on Ca- doped ZnO nanostructured carbon matrix for algicide dichlone. J. Hazard. Mater. Adv. 2022, 7, 100132. [Google Scholar] [CrossRef]
- Erady, V.; Mascarenhas, R.J.; Satpati, A.K.; Bhakta, A.K.; Mekhalif, Z.; Delhalle, J.; Dhason, A. Carbon paste modified with Bi decorated multi-walled carbon nanotubes and CTAB as a sensitive voltammetric sensor for the detection of Caffeic acid. Microchem. J. 2019, 146, 73–82. [Google Scholar] [CrossRef]
- Gosser, D.K. Cyclic Voltammetry: Simulation and Analysis of Reaction Mechanisms; VCH: New York, NY, USA, 1993. [Google Scholar]
- Laviron, E. General expression of the linear potential sweep voltammogram in the case of diffusion less electrochemical systems. J. Electroanal. Chem. Interfacial Electrochem. 1979, 101, 19–28. [Google Scholar] [CrossRef]
- Madhusudhana; Manasa, G.; Bhakta, A.K.; Mekhalif, Z.; Mascarenhas, R.J. Bismuth-nanoparticles decorated multi-wall-carbon-nanotubes cast-coated on carbon paste electrode; an electrochemical sensor for sensitive determination of Gallic Acid at neutral pH. Mater. Sci. Energy Technol. 2020, 3, 174–182. [Google Scholar] [CrossRef]
- da Silva, H.; Pacheco, J.G.; Magalhães, J.M.; Viswanathan, S.; Delerue-Matos, C. MIP-graphene-modified glassy carbon electrode for the determination of trimethoprim. Biosens. Bioelectron. 2014, 52, 56–61. [Google Scholar] [CrossRef]
- Golinelli, D.L.; Machado, S.A.; Cesarino, I. Synthesis of Silver Nanoparticle-Graphene Composites for Electroanalysis Applications using Chemical and Electrochemical Methods. Electroanalysis 2017, 29, 1014–1021. [Google Scholar] [CrossRef]
- Yue, X.; Li, Z.; Zhao, S. A new electrochemical sensor for simultaneous detection of sulfamethoxazole and trimethoprim antibiotics based on graphene and ZnO nanorods modified glassy carbon electrode. Microchem. J. 2020, 159, 105440. [Google Scholar] [CrossRef]
- Kumari, C.T.R.; Mamatha, G.P.; Santhosh, H.M. Voltammetric detection of trimethoprim at CTAB modified carbon paste electrode. Chem. Sci. Trans. 2016, 5, 619–626. [Google Scholar]
- Guaraldo, T.T.; Goulart, L.A.; Moraes, F.C.; Lanza, M.R. Carbon black nanospheres modified with Cu (II)-phthalocyanine for electrochemical determination of Trimethoprim antibiotic. Appl. Surf. Sci. 2019, 470, 555–564. [Google Scholar] [CrossRef]
- Cesarino, I.; Cesarino, V.; Lanza, M.R. Carbon nanotubes modified with antimony nanoparticles in a paraffin composite electrode: Simultaneous determination of sulfamethoxazole and trimethoprim. Sensors Actuators B Chem. 2013, 188, 1293–1299. [Google Scholar] [CrossRef]









| Electrode Used | Technique Used | Linearity Range | LOD | References |
|---|---|---|---|---|
| Boron-doped diamond electrode | HPLC | 85–1300 µM | 5.5 µM | [24] |
| Methacrylic acid/molecularly imprinted polymer sensor | Potentiometry | 0.03–26 µM | 0.4 µM | [26] |
| molecularly imprinted polymer-graphene/Glassy carbon electrode | CV | 1.0–100 µM | 0.1 µM | [41] |
| Silver nanoparticle-graphene/Glassy carbon electrode | DPV | 1.0–10 µM | 0.4 µM | [42] |
| Graphene-Zinc oxide/Glassy carbon electrode | DPV | 1–180 µM | 0.3 µM | [43] |
| Cetyl trimethylammonium bromide/carbon paste electrode | CV | 0.2–1.0 µM | 0.1 µM | [44] |
| Printex L6 carbon black/copper (II) phthalocyanine film/Glassy carbon electrode | SWV | 0.4–1.1 µM | 0.6 µM | [45] |
| Multi-walled carbon nanotubes modified with antimony nanoparticles/CPE | DPV | 0.1–0.7 µM | 0.031 µM | [46] |
| ZnO/SDS/CPE | DPV | 0.8–10 µM | 0.025 µM | Present method |
| TMP | Observations |
|---|---|
| Labelled claim (mg) | 200 |
| Obtained amount(mg) | 198 |
| RSD % | 1.06 |
| Added (mg) | 1.0 |
| Obtained (mg) | 0.99 |
| Recovery % | 99.36 |
| TMP Sample | Added (×10−5 M) | Obtained | Recovery (%) | RSD% |
|---|---|---|---|---|
| 1 | 1.0 | 0.99 | 99 | 0.90 |
| 2 | 0.8 | 0.78 | 97.5 | 2.11 |
| 3 | 0.6 | 0.59 | 98.33 | 1.85 |
| Excipients | Potential Observed (Ep) | Change in Signal (%) |
|---|---|---|
| Citric acid | 1.190 | 1.01 |
| Lactose | 1.188 | 0.84 |
| Dextrose | 1.181 | 0.59 |
| Sucrose | 1.191 | 1.10 |
| Glycine | 1.184 | 0.50 |
| Glucose | 1.190 | 1.01 |
| Urea | 1.174 | −0.33 |
| Salts | ||
| Potassium chloride | 1.171 | −0.59 |
| Sodium chloride | 1.163 | −1.27 |
| Calcium chloride | 1.183 | 0.50 |
| Potassium sulphate | 1.192 | 1.18 |
Publisher’s Note: MDPI stays neutral with regard to jurisdictional claims in published maps and institutional affiliations. |
© 2022 by the authors. Licensee MDPI, Basel, Switzerland. This article is an open access article distributed under the terms and conditions of the Creative Commons Attribution (CC BY) license (https://creativecommons.org/licenses/by/4.0/).
Share and Cite
Patil, V.B.; Ilager, D.; Tuwar, S.M.; Mondal, K.; Shetti, N.P. Nanostructured ZnO-Based Electrochemical Sensor with Anionic Surfactant for the Electroanalysis of Trimethoprim. Bioengineering 2022, 9, 521. https://doi.org/10.3390/bioengineering9100521
Patil VB, Ilager D, Tuwar SM, Mondal K, Shetti NP. Nanostructured ZnO-Based Electrochemical Sensor with Anionic Surfactant for the Electroanalysis of Trimethoprim. Bioengineering. 2022; 9(10):521. https://doi.org/10.3390/bioengineering9100521
Chicago/Turabian StylePatil, Vinoda B., Davalasab Ilager, Suresh M. Tuwar, Kunal Mondal, and Nagaraj P. Shetti. 2022. "Nanostructured ZnO-Based Electrochemical Sensor with Anionic Surfactant for the Electroanalysis of Trimethoprim" Bioengineering 9, no. 10: 521. https://doi.org/10.3390/bioengineering9100521
APA StylePatil, V. B., Ilager, D., Tuwar, S. M., Mondal, K., & Shetti, N. P. (2022). Nanostructured ZnO-Based Electrochemical Sensor with Anionic Surfactant for the Electroanalysis of Trimethoprim. Bioengineering, 9(10), 521. https://doi.org/10.3390/bioengineering9100521

