Machine Learning for the Diagnosis of Orthodontic Extractions: A Computational Analysis Using Ensemble Learning
Abstract
1. Introduction
2. Materials and Methods
2.1. Data Collection and Feature Selection
2.2. Computational Analysis
3. Results
3.1. Exploratory Analysis
3.2. Machine Learning Models
3.2.1. Single Classifiers
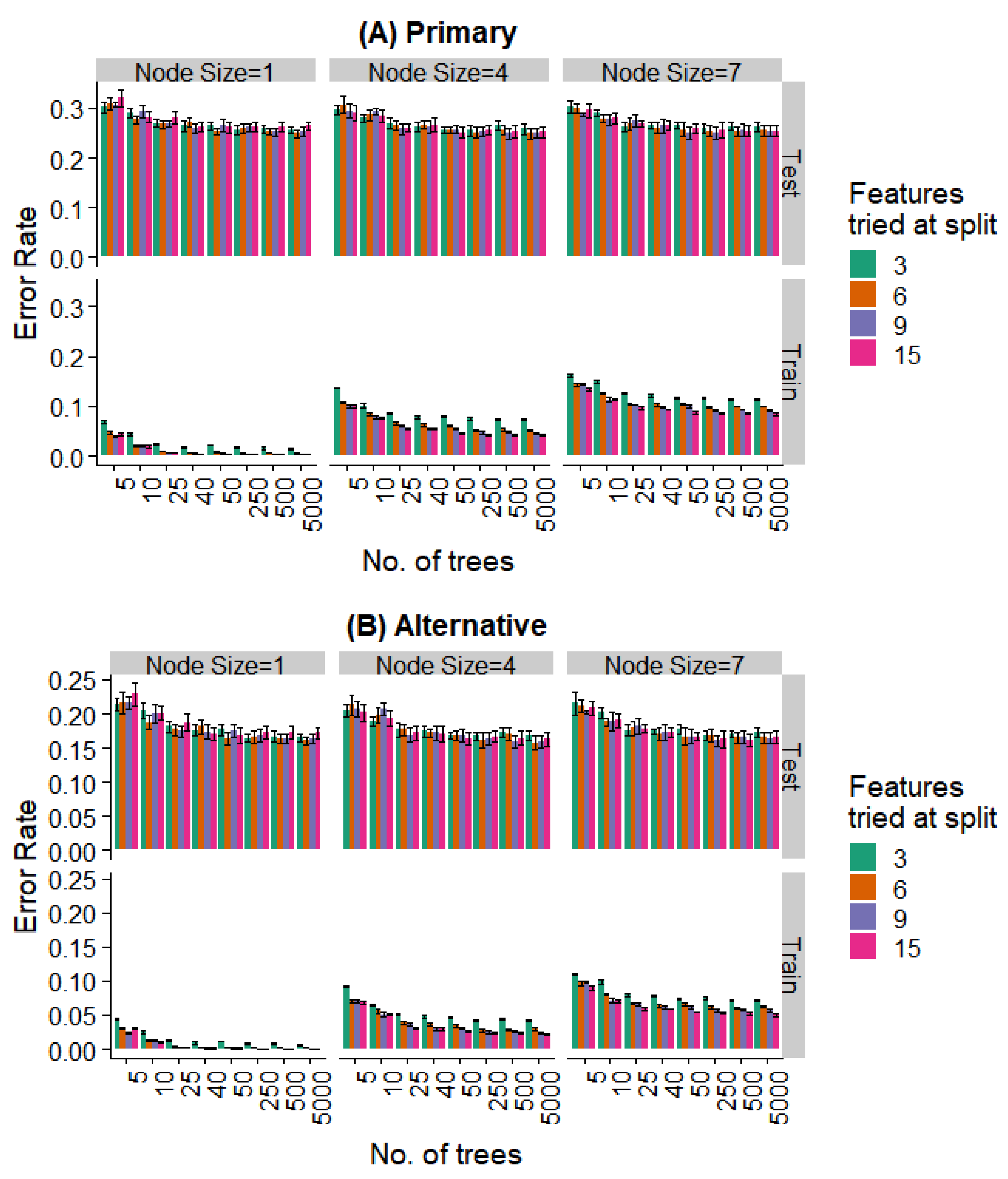
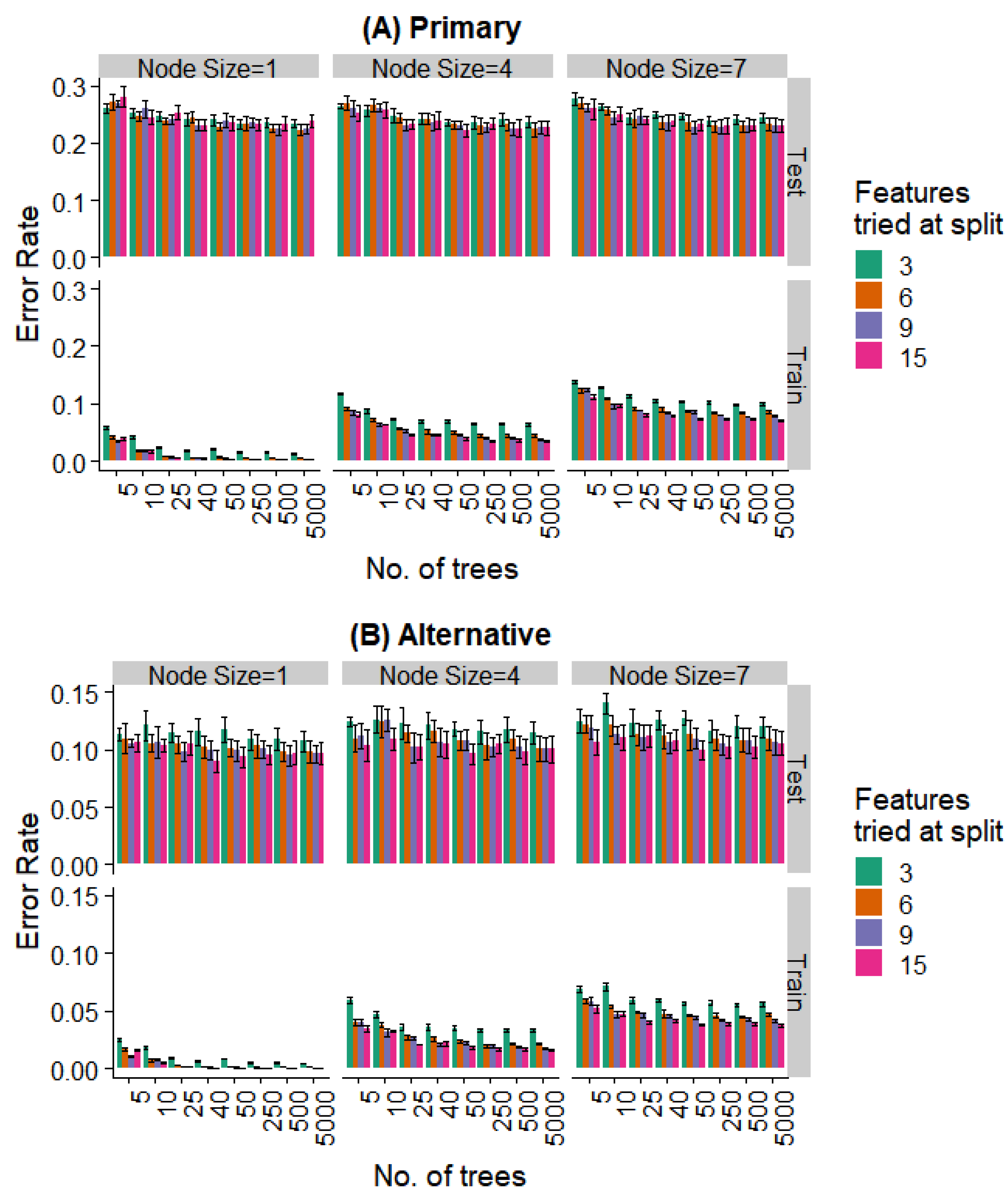
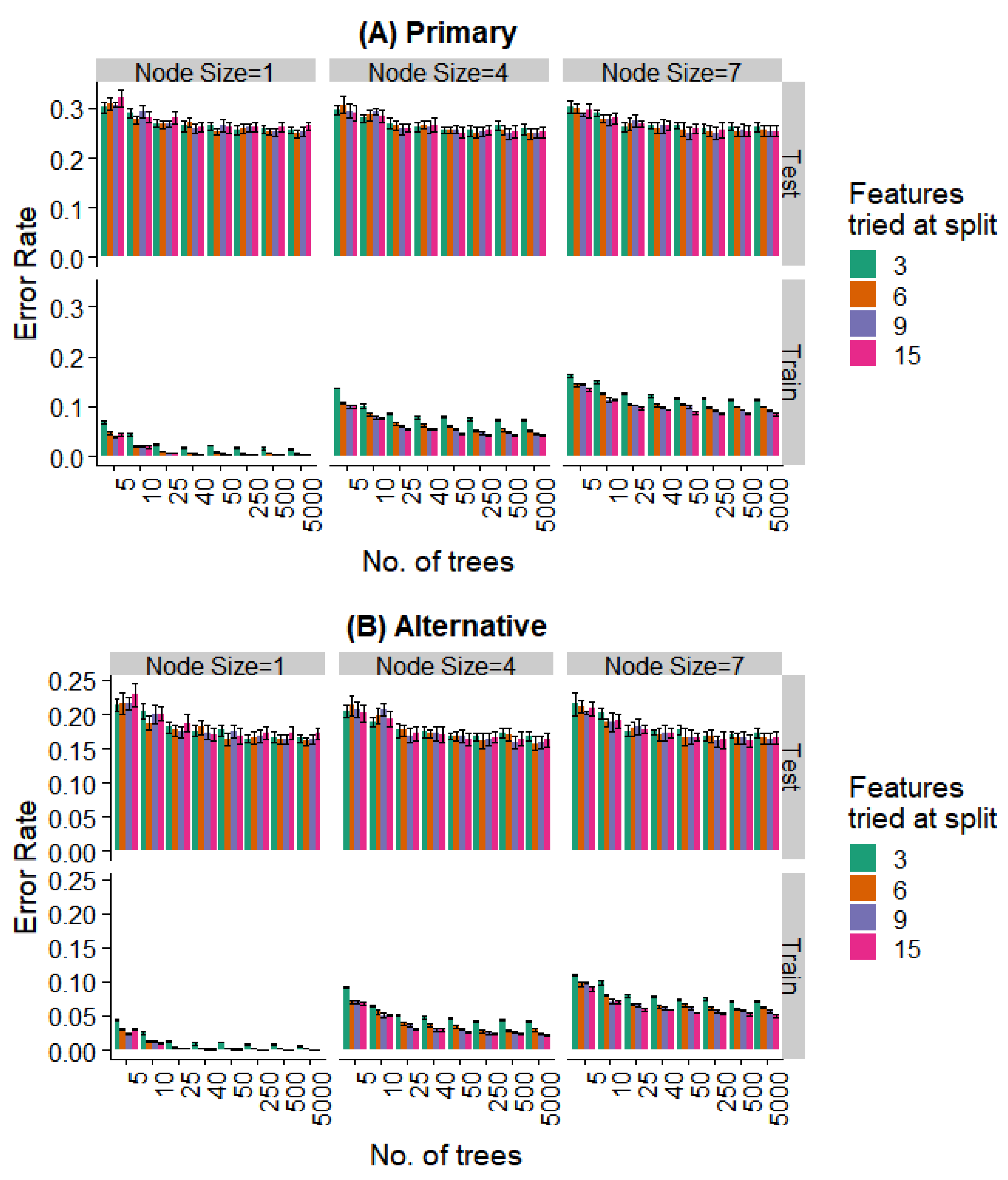
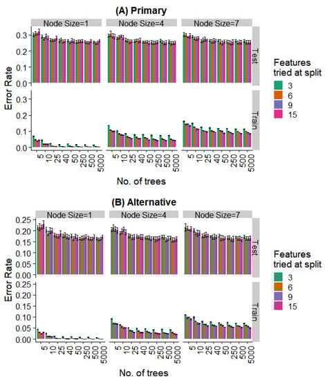
3.2.2. Random Forest as an Ensemble Classifier
3.2.3. Effects of Individual Features
4. Discussion
Supplementary Materials
Supplementary File 1Author Contributions
Funding
Conflicts of Interest
References
- Weintraub, J.A.; Vig, P.S.; Brown, C.; Kowalski, C.J. The prevalence of orthodontic extractions. Am. J. Orthod. Dentofac. Orthop. 1989, 96, 462–466. [Google Scholar] [CrossRef]
- Burrow, S.J. To extract or not to extract: A diagnostic decision, not a marketing decision. Am. J. Orthod. 2008, 133, 341–342. [Google Scholar] [CrossRef] [PubMed]
- Ribarevski, R.; Vig, P.; Vig, K.D.; Weyant, R.; O’Brien, K. Consistency of orthodontic extraction decisions. Eur. J. Orthod. 1996, 18, 77–80. [Google Scholar] [CrossRef]
- Dunbar, A.C.; Bearn, D.; McIntyre, G. The influence of using digital diagnostic information on orthodontic treatment planning—A pilot study. J. Healthc. Eng. 2014, 5, 411–427. [Google Scholar] [CrossRef] [PubMed]
- Baumrind, S. The decision to extract: Part I—Inter-clinician agreement. Am. J. Orthod. Dentofac. Orthop. 1996, 109, 297–309. [Google Scholar] [CrossRef]
- R Core Team. R: A language and Environment for Statistical Computing. R Foundation for Statistical Computing. Vienna, Austria, 2018. Available online: https://www.R-project.org/ (accessed on 1 May 2020).
- Venables, W.N.; Ripley, B.D. Modern Applied Statistics with S, 4th ed.; Springer: Berlin/Heidelberg, Germany, 2002; ISBN 0-387-95457-0. [Google Scholar]
- Liaw, A.; Wiener, M. Classification and Regression by randomForest. R News 2002, 2, 18–22. [Google Scholar]
- Xie, X.; Wang, L.; Wang, A. Artificial neural network modeling for deciding if extractions are necessary prior to orthodontic treatment. Angle Orthod. 2010, 80, 262–266. [Google Scholar] [CrossRef] [PubMed]
- Jung, S.K.; Kim, T.W. New approach for the diagnosis of extractions with neural network machine learning. Am. J. Orthod. Dentofac. Orthop. 2016, 149, 127–133. [Google Scholar] [CrossRef] [PubMed]
- Konstantonis, D.; Anthopoulou, C.; Makou, M. Extraxxtion decision and identification of treatment predictors in class I malocclusions. Prog. Orthod. 2013, 14, 1–8. [Google Scholar] [CrossRef]
- Ho, T.K. Random Decision Forests. In Proceedings of the 3rd International Conference on Document Analysis and Recognition, Montreal, QC, USA, 14–16 August 1995. [Google Scholar]
- Dietterich, T.G. Ensemble Methods in Machine Learning. In Multiple Classifier Systems. MCS 2000. Lecture Notes in Computer Science; Springer: Berlin/Heidelberg, Germany, 2020. [Google Scholar]
- Breiman, L. Random Forests. Mach. Learn. 2001, 45, 5. [Google Scholar] [CrossRef]
- Friedman, J.; Hastie, T.; Tibshirani, R. Additive logistic regression: A statistical view of boosting (with discussion and a rejoinder by the authors). Ann. Stat. 2000, 28, 337–407. [Google Scholar] [CrossRef]
- Nishimoto, S.; Sotsuka, Y.; Kawai, K.; Ishise, H.; Kakibuchi, M. Personal Computer-Based Cephalometric Landmark Detection With Deep Learning, Using Cephalograms on the Internet. J. Craniofacial Surg. 2019, 30, 91–95. [Google Scholar] [CrossRef] [PubMed]
- Lee, H.; Park, M.; Kim, J. Cephalometric landmark detection in dental x-ray images using convolutional neural networks. Proc. SPIE Med. Imaging 2017. [Google Scholar] [CrossRef]
- Ronneberger, O.; Fischer, P.; Brox, T. U-Net: Convolutional Networks for Biomedical Image Segmentation. In Proceedings of the Medical Image Computing and Computer-Assisted Intervention—MICCAI 2015, Munich, Germany, 5–9 October 2015. [Google Scholar]
- Narayanan, B.N.; Hardie, R.C.; Kebede, T.M.; Sprague, M.J. Optimized feature selection-based clustering approach for computer-aided detection of lung nodules in different modalities. Pattern Anal. Appl. 2019, 22, 559–571. [Google Scholar] [CrossRef]
- Lambin, P.; Rios-Velazquez, E.; Leijenaar, R.; Carvalho, S.; Van Stiphout, R.G.; Granton, P.; Aerts, H.J. Radiomics: Extracting more information from medical images using advanced feature analysis. Eur. J. Cancer 2012, 48, 441–446. [Google Scholar] [CrossRef] [PubMed]
- Narayanan, B.N.; Hardie, R.C.; Kebede, T.M. Performance Analysis of Feature Selection Techniques for Support Vector Machine and its Application for Lung Nodule Detection. In Proceedings of the NAECON 2018-IEEE National Aerospace and Electronics Conference, Dayton, OH, USA, 23–26 July 2018. [Google Scholar]












| Expert 1 | Expert 2 | Expert 3 | Expert 4 | Expert 5 | |
|---|---|---|---|---|---|
| Expert 1 | 100.0% | 71.1% | 64.8% | 68.3% | 69.0% |
| Expert 2 | 71.1% | 100.0% | 70.7% | 71.8% | 78.0% |
| Expert 3 | 64.8% | 70.7% | 100.0% | 63.8% | 69.7% |
| Expert 4 | 68.3% | 71.8% | 63.8% | 100.0% | 70.4% |
| Expert 5 | 69.0% | 78.0% | 69.7% | 70.4% | 100.0% |
| Expert 1 | Expert 2 | Expert 3 | Expert 4 | Expert 5 | |
|---|---|---|---|---|---|
| Expert 1 | 100.0% | 95.5% | 94.4% | 95.5% | 96.5% |
| Expert 2 | 95.5% | 100.0% | 95.5% | 95.1% | 96.5% |
| Expert 3 | 94.4% | 95.5% | 100.0% | 93.0% | 96.2% |
| Expert 4 | 95.5% | 95.1% | 93.0% | 100.0% | 97.9% |
| Expert 5 | 96.5% | 96.5% | 96.2% | 97.9% | 100.0% |
© 2020 by the authors. Licensee MDPI, Basel, Switzerland. This article is an open access article distributed under the terms and conditions of the Creative Commons Attribution (CC BY) license (http://creativecommons.org/licenses/by/4.0/).
Share and Cite
Suhail, Y.; Upadhyay, M.; Chhibber, A.; Kshitiz. Machine Learning for the Diagnosis of Orthodontic Extractions: A Computational Analysis Using Ensemble Learning. Bioengineering 2020, 7, 55. https://doi.org/10.3390/bioengineering7020055
Suhail Y, Upadhyay M, Chhibber A, Kshitiz. Machine Learning for the Diagnosis of Orthodontic Extractions: A Computational Analysis Using Ensemble Learning. Bioengineering. 2020; 7(2):55. https://doi.org/10.3390/bioengineering7020055
Chicago/Turabian StyleSuhail, Yasir, Madhur Upadhyay, Aditya Chhibber, and Kshitiz. 2020. "Machine Learning for the Diagnosis of Orthodontic Extractions: A Computational Analysis Using Ensemble Learning" Bioengineering 7, no. 2: 55. https://doi.org/10.3390/bioengineering7020055
APA StyleSuhail, Y., Upadhyay, M., Chhibber, A., & Kshitiz. (2020). Machine Learning for the Diagnosis of Orthodontic Extractions: A Computational Analysis Using Ensemble Learning. Bioengineering, 7(2), 55. https://doi.org/10.3390/bioengineering7020055

