Effect of Vest Load Carriage on Cardiometabolic Responses with Load Position, Load Mass, and Walking Conditions for Young Adults
Abstract
1. Introduction
2. Methods
2.1. Experimental Design
2.1.1. Load Placement Trial
2.1.2. Load Mass Trial
2.1.3. Walking Conditions Trial
2.2. Participants
2.3. Experimental Protocol
2.4. Data Analysis
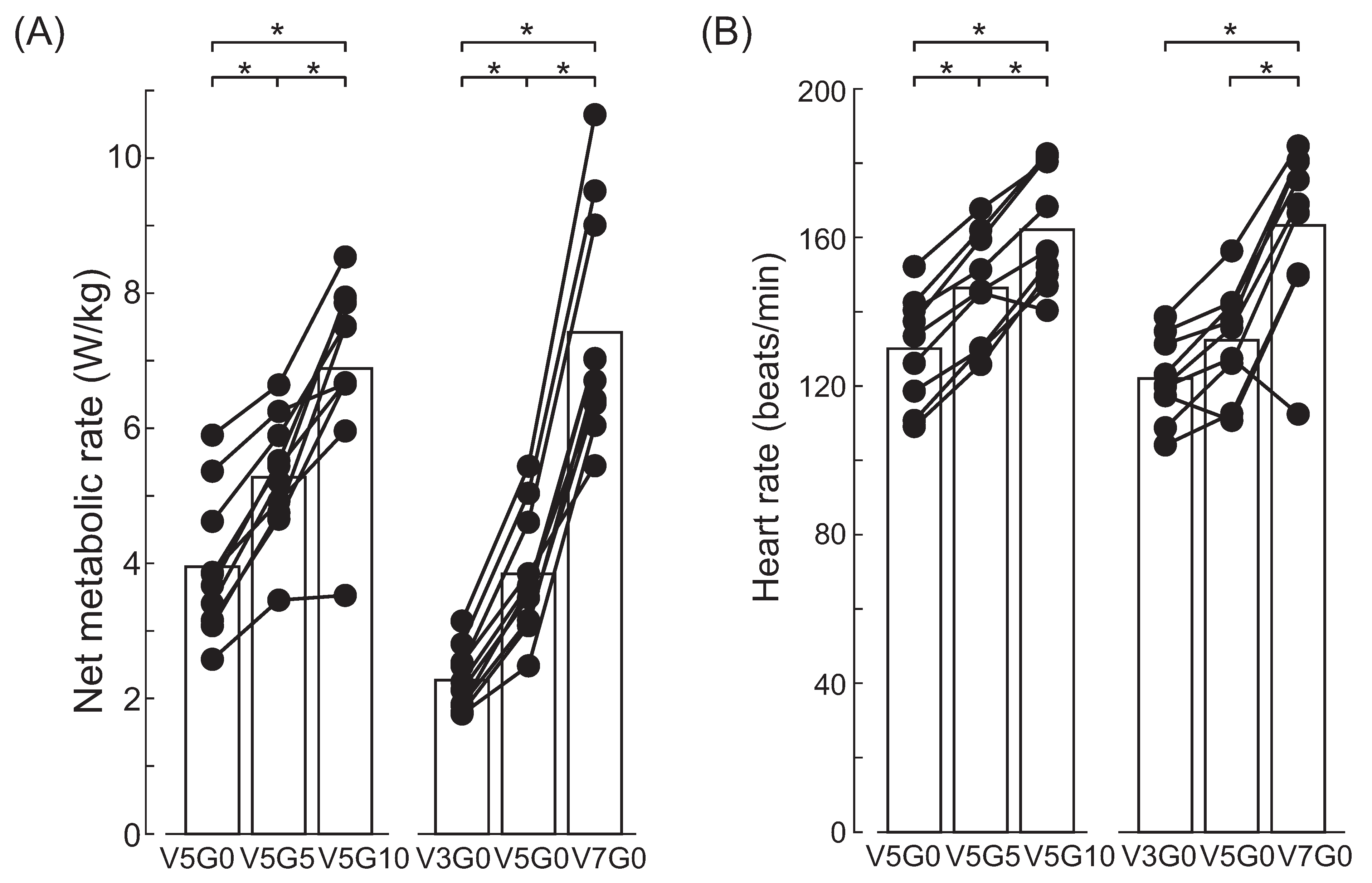
3. Results
4. Discussion
5. Conclusions
Author Contributions
Funding
Institutional Review Board Statement
Informed Consent Statement
Data Availability Statement
Conflicts of Interest
References
- Lobb, N.J.; Fain, A.C.; Seymore, K.D.; Brown, T.N. Sex and stride length impact leg stiffness and ground reaction forces when running with body borne load. J. Biomech. 2019, 86, 96–101. [Google Scholar] [CrossRef] [PubMed]
- Loverro, K.L.; Hasselquist, L.; Lewis, C.L. Females and males use different hip and knee mechanics in response to symmetric military-relevant loads. J. Biomech. 2019, 95, 109280. [Google Scholar] [CrossRef] [PubMed]
- Kasović, M.; Bilobrk, M.; Sladin, D.; Štefan, A.; Štefan, L. How Different Load Carriage Scenarios Impact the Gait in Police Officers. Appl. Sci. 2022, 13, 144. [Google Scholar] [CrossRef]
- LaGoy, A.D.; Johnson, C.; Allison, K.F.; Flanagan, S.D.; Lovalekar, M.T.; Nagai, T.; Connaboy, C. Compromised dynamic postural stability under increased load carriage magnitudes. J. Appl. Biomech. 2020, 36, 27–32. [Google Scholar] [CrossRef] [PubMed]
- Hudson, S.; Cooke, C.; Davies, S.; West, S.; Gamieldien, R.; Low, C.; Lloyd, R. A comparison of economy and sagittal plane trunk movements among back-, back/front-and head-loading. Ergonomics 2018, 61, 1216–1222. [Google Scholar] [CrossRef]
- Wendland, R.; Bossi, L.; Oliver, M. Biomechanical and physiological effects of female soldier load carriage: A scoping review. Appl. Ergon. 2022, 105, 103837. [Google Scholar] [CrossRef]
- James, S.; Damian, C.; Mathew, B. Energy cost and knee extensor strength changes following multiple day military load carriage. Appl. Ergon. 2021, 97, 103503. [Google Scholar] [CrossRef]
- Huang, T.W.P.; Kuo, A.D. Mechanics and energetics of load carriage during human walking. J. Exp. Biol. 2014, 217, 605–613. [Google Scholar] [CrossRef]
- Pihlainen, K.; Santtila, M.; Häkkinen, K.; Lindholm, H.; Kyröläinen, H. Cardiorespiratory responses induced by various military field tasks. Mil. Med. 2014, 179, 218–224. [Google Scholar] [CrossRef]
- Dempsey, A.M.; Yegian, A.K.; Sibson, B.E.; Lieberman, D.E. The effect of vertical load placement on metabolic rate during loaded walking in humans. Ergonomics 2023, 66, 849–858. [Google Scholar] [CrossRef]
- Hudson, S.; Vanwanseele, B.; Barwood, M.; Low, C.; Cooke, C.; Lloyd, R. The energetic, kinematic and kinetic responses to load carried on the back, on the head and in a doublepack. Ergonomics 2021, 64, 1191–1204. [Google Scholar] [CrossRef] [PubMed]
- Simpson, K.M.; Munro, B.J.; Steele, J.R. Does load position affect gait and subjective responses of females during load carriage? Appl. Ergon. 2012, 43, 479–485. [Google Scholar] [CrossRef] [PubMed]
- Knapik, J.J.; Ang, P.; Meiselman, H.; Johnson, W.; Kirk, J.; Bensel, C.; Hanlon, W. Soldier performance and strenuous road marching: Influence of load mass and load distribution. Mil. Med. 1997, 162, 62–67. [Google Scholar] [CrossRef] [PubMed]
- Legg, S.; Mahanty, A. Energy cost of backpacking in heavy boots. Ergonomics 1986, 29, 433–438. [Google Scholar] [CrossRef]
- Martin, P.E. Mechanical and physiological responses to lower extremity loading during running. Med. Sci. Sports Exerc. 1985, 17, 427–433. [Google Scholar] [CrossRef]
- Francis, K.; Hoobler, T. Changes in oxygen consumption associated with treadmill walking and running with light hand-carried weights. Ergonomics 1986, 29, 999–1004. [Google Scholar] [CrossRef]
- Birrell, S.; Haslam, R. The influence of rifle carriage on the kinetics of human gait. Ergonomics 2008, 51, 816–826. [Google Scholar] [CrossRef]
- Maloiy, G.; Heglund, N.C.; Prager, L.; Cavagna, G.A.; Taylor, C.R. Energetic cost of carrying loads: Have African women discovered an economic way? Nature 1986, 319, 668–669. [Google Scholar] [CrossRef]
- Heglund, N.C.; Willems, P.A.; Penta, M.; Cavagna, G.A. Energy-saving gait mechanics with head-supported loads. Nature 1995, 375, 52–54. [Google Scholar] [CrossRef]
- Looney, D.P.; Doughty, E.M.; Figueiredo, P.S.; Vangala, S.V.; Pryor, J.L.; Santee, W.R.; McClung, H.L.; Potter, A.W. Effects of modern military backpack loads on walking speed and cardiometabolic responses of US Army Soldiers. Appl. Ergon. 2021, 94, 103395. [Google Scholar] [CrossRef]
- Genitrini, M.; Dotti, F.; Bianca, E.; Ferri, A. Impact of backpacks on ergonomics: Biomechanical and physiological effects: A narrative review. Int. J. Environ. Res. Public Health 2022, 19, 6737. [Google Scholar] [CrossRef]
- Beekley, M.D.; Alt, J.; Buckley, C.M.; Duffey, M. Effects of heavy load carriage during constant-speed, simulated, road marching. Mil. Med. 2007, 172, 592–595. [Google Scholar] [CrossRef] [PubMed]
- Lloyd, R.; Cooke, C. The oxygen consumption with unloaded walking and load carriage using two different backpack designs. Eur. J. Appl. Physiol. 2000, 81, 486–492. [Google Scholar] [PubMed]
- Abe, D.; Yanagawa, K.; Niihata, S. Effects of load carriage, load position, and walking speed on energy cost of walking. Appl. Ergon. 2004, 35, 329–335. [Google Scholar] [CrossRef] [PubMed]
- Abe, D.; Muraki, S.; Yasukouchi, A. Ergonomic effects of load carriage on the upper and lower back on metabolic energy cost of walking. Appl. Ergon. 2008, 39, 392–398. [Google Scholar]
- Lloyd, R.; Cooke, C. Biomechanical differences associated with two different load carriage systems and their relationship to economy. Hum. Mov. 2011, 12, 65–74. [Google Scholar]
- Arcidiacono, D.M.; Lavoie, E.M.; Potter, A.W.; Vangala, S.V.; Holden, L.D.; Soucy, H.Y.; Karis, A.J.; Friedl, K.E.; Santee, W.R.; Looney, D.P. Peak performance and cardiometabolic responses of modern US army soldiers during heavy, fatiguing vest-borne load carriage. Appl. Ergon. 2023, 109, 103985. [Google Scholar]
- Gerhart, H.D.; Pressl, R.; Storti, K.L.; Bayles, M.P.; Seo, Y. The effects of a loaded rucksack and weighted vest on metabolic cost and stride frequency in female adults. Ergonomics 2020, 63, 145–151. [Google Scholar]
- Seay, J.F.; Fellin, R.E.; Sauer, S.G.; Frykman, P.N.; Bensel, C.K. Lower extremity biomechanical changes associated with symmetrical torso loading during simulated marching. Mil. Med. 2014, 179, 85–91. [Google Scholar]
- Park, H.; Branson, D.; Petrova, A.; Peksoz, S.; Jacobson, B.; Warren, A.; Goad, C.; Kamenidis, P. Impact of ballistic body armour and load carriage on walking patterns and perceived comfort. Ergonomics 2013, 56, 1167–1179. [Google Scholar]
- Henry, C. Basal metabolic rate studies in humans: Measurement and development of new equations. Public Health Nutr. 2005, 8, 1133–1152. [Google Scholar] [PubMed]
- Brockway, J. Derivation of formulae used to calculate energy expenditure in man. Hum. Nutrition. Clin. Nutr. 1987, 41, 463–471. [Google Scholar]
- Blacker, S.D.; Fallowfield, J.L.; Bilzon, J.L.; Willems, M.E. Physiological responses to load carriage during level and downhill treadmill walking. Med. Sport. 2009, 13, 116–124. [Google Scholar]
- Lidstone, D.E.; Stewart, J.A.; Gurchiek, R.; Needle, A.R.; Van Werkhoven, H.; McBride, J.M. Physiological and biomechanical responses to prolonged heavy load carriage during level treadmill walking in females. J. Appl. Biomech. 2017, 33, 248–255. [Google Scholar]
- Stuempfle, K.J.; Drury, D.G.; Wilson, A.L. Effect of load position on physiological and perceptual responses during load carriage with an internal frame backpack. Ergonomics 2004, 47, 784–789. [Google Scholar]
- Knapik, J.J.; Reynolds, K.L.; Harman, E. Soldier load carriage: Historical, physiological, biomechanical, and medical aspects. Mil. Med. 2004, 169, 45–56. [Google Scholar]
- Bastien, G.J.; Willems, P.A.; Schepens, B.; Heglund, N.C. Effect of load and speed on the energetic cost of human walking. Eur. J. Appl. Physiol. 2005, 94, 76–83. [Google Scholar]
- Quesada, P.M.; Mengelkoch, L.J.; Hale, R.C.; Simon, S.R. Biomechanical and metabolic effects of varying backpack loading on simulated marching. Ergonomics 2000, 43, 293–309. [Google Scholar]
- Brown, P.I.; McConnell, A.K. Respiratory-related limitations in physically demanding occupations. Aviat. Space Environ. Med. 2012, 83, 424–430. [Google Scholar] [CrossRef]
- Majumdar, D.; Srivastava, K.; Purkayastha, S.; Pichan, G.; Selvamurthy, W. Physiological effects of wearing heavy body armour on male soldiers. Int. J. Ind. Ergon. 1997, 20, 155–161. [Google Scholar]
- Hudson, S.; Cooke, C.; Davies, S.; West, S.; Gamieldien, R.; Low, C.; Lloyd, R. Inter-individual variability in load carriage economy and comparisons between different load conditions. Appl. Ergon. 2020, 82, 102968. [Google Scholar] [CrossRef] [PubMed]




| Metabolic Rate | Heart Rate | |||||
|---|---|---|---|---|---|---|
| Mean | SD | CV (%) | Mean | SD | CV (%) | |
| Load position | ||||||
| UB | 2.99 | 0.37 | 12.37 | 112.95 | 10.69 | 9.46 |
| LB | 2.96 | 0.38 | 12.84 | 114.37 | 10.59 | 9.26 |
| ULB | 2.99 | 0.37 | 12.37 | 115.13 | 10.28 | 8.93 |
| UBC | 3.00 | 0.35 | 11.67 | 114.62 | 10.60 | 9.25 |
| LBC | 3.03 | 0.38 | 12.54 | 114.81 | 11.12 | 9.69 |
| ULBC | 2.90 | 0.46 | 15.86 | 115.40 | 11.20 | 9.71 |
| Load weight | ||||||
| 0 kg | 3.87 | 1.02 | 26.45 | 110.98 | 14.55 | 13.11 |
| 5 kg | 4.09 | 1.05 | 25.66 | 117.42 | 17.02 | 14.50 |
| 10 kg | 4.35 | 1.06 | 24.28 | 119.77 | 15.80 | 13.19 |
| 15 kg | 4.80 | 1.38 | 28.74 | 122.64 | 16.63 | 13.56 |
| 20 kg | 5.07 | 1.39 | 27.49 | 125.11 | 16.07 | 12.84 |
| 25 kg | 5.54 | 1.34 | 24.25 | 129.39 | 16.40 | 12.67 |
| 30 kg | 6.29 | 1.10 | 17.48 | 136.20 | 17.30 | 12.70 |
| Gait condition | ||||||
| V5G0 | 3.95 | 1.00 | 25.20 | 130.06 | 14.04 | 10.79 |
| V5G5 | 5.27 | 0.86 | 16.30 | 146.35 | 14.35 | 9.81 |
| V5G10 | 6.88 | 1.34 | 19.41 | 162.12 | 15.46 | 9.53 |
| V3G0 | 2.27 | 0.44 | 19.31 | 122.04 | 10.81 | 8.86 |
| V5G0 | 3.84 | 0.88 | 22.78 | 132.30 | 13.86 | 10.47 |
| V7G0 | 7.42 | 1.61 | 21.74 | 163.26 | 21.57 | 13.22 |
| Net Metabolic Rate | Heart Rate | |||
|---|---|---|---|---|
| Linear | Quadratic | Linear | Quadratic | |
| AIC | −2.49 | −12.87 | 27.94 | 29.12 |
| 0.96 | 0.99 | 0.97 | 0.97 | |
Disclaimer/Publisher’s Note: The statements, opinions and data contained in all publications are solely those of the individual author(s) and contributor(s) and not of MDPI and/or the editor(s). MDPI and/or the editor(s) disclaim responsibility for any injury to people or property resulting from any ideas, methods, instructions or products referred to in the content. |
© 2025 by the authors. Licensee MDPI, Basel, Switzerland. This article is an open access article distributed under the terms and conditions of the Creative Commons Attribution (CC BY) license (https://creativecommons.org/licenses/by/4.0/).
Share and Cite
Jing, Z.; Han, H.; Han, J.; Zhang, J. Effect of Vest Load Carriage on Cardiometabolic Responses with Load Position, Load Mass, and Walking Conditions for Young Adults. Bioengineering 2025, 12, 202. https://doi.org/10.3390/bioengineering12020202
Jing Z, Han H, Han J, Zhang J. Effect of Vest Load Carriage on Cardiometabolic Responses with Load Position, Load Mass, and Walking Conditions for Young Adults. Bioengineering. 2025; 12(2):202. https://doi.org/10.3390/bioengineering12020202
Chicago/Turabian StyleJing, Zhibo, Hong Han, Jianda Han, and Juanjuan Zhang. 2025. "Effect of Vest Load Carriage on Cardiometabolic Responses with Load Position, Load Mass, and Walking Conditions for Young Adults" Bioengineering 12, no. 2: 202. https://doi.org/10.3390/bioengineering12020202
APA StyleJing, Z., Han, H., Han, J., & Zhang, J. (2025). Effect of Vest Load Carriage on Cardiometabolic Responses with Load Position, Load Mass, and Walking Conditions for Young Adults. Bioengineering, 12(2), 202. https://doi.org/10.3390/bioengineering12020202

