A Comprehensive AI Framework for Superior Diagnosis, Cranial Reconstruction, and Implant Generation for Diverse Cranial Defects
Abstract
1. Introduction
1.1. AI Framework for Superior Diagnosis
1.2. Cranial Reconstruction
1.3. Implant Generation for Diverse Cranial Defects
1.4. Materials for Cranial Implants
1.5. Overview of the CRIGNet Framework
- Mechanical Validation of Implants: The framework includes finite element analysis (FEA) to validate implant accuracy, strength, and load-bearing capacity, addressing gaps in biomechanical assessments from prior studies.
- Augmented Dataset Creation: The study augments the MUG500+ dataset, consisting of 500 skulls. A total of 360 healthy skulls were extracted for further processing and injected with defects to form 2160 data pairs with diverse geometries. This dataset enables robust training and testing, overcoming limitations in dataset variability observed in prior works [11].
2. Materials and Methods
2.1. Dataset Description
2.2. Proposed End-to-End Framework for Cranial Reconstruction and Implant Generation
2.2.1. Preprocessing Pipeline
2.2.2. Defect Generation
2.2.3. Proposed Model CRIGNet
2.3. Assessment of CRIGNet-Generated Implants for Suitable Fitment: Geometrical Accuracy and Mechanical Strength
3. Results
3.1. Experimental Setup
3.2. Preprocessing Results
3.3. Data Augmentation by Defect Generation
3.4. CRIGNet-Based Reconstruction and Implant Generation
Performance Analysis of CRIGNet-Based Cranial Reconstruction
- DSC: Measures the overlap between predicted and ground truth regions, ranging from 0 (no overlap) to 1 (perfect overlap).
- JSC (IoU): Calculates the ratio of intersection to union between predicted and ground truth regions, ranging from 0 (no overlap) to 1 (complete overlap).
- HD: Quantifies the maximum spatial deviation between predicted and ground truth regions, ranging from 0 (perfect alignment) to ∞ (maximum discrepancy).
- Precision: The proportion of true positives out of all positive predictions, ranging from 0 to 1, with 1 indicating no false positives.
- Recall: The ability to correctly identify all relevant positive regions, ranging from 0 (no recall) to 1 (perfect recall).
- Specificity: The ability to correctly identify all relevant negative regions (true negative rate), ranging from 0 to 1.
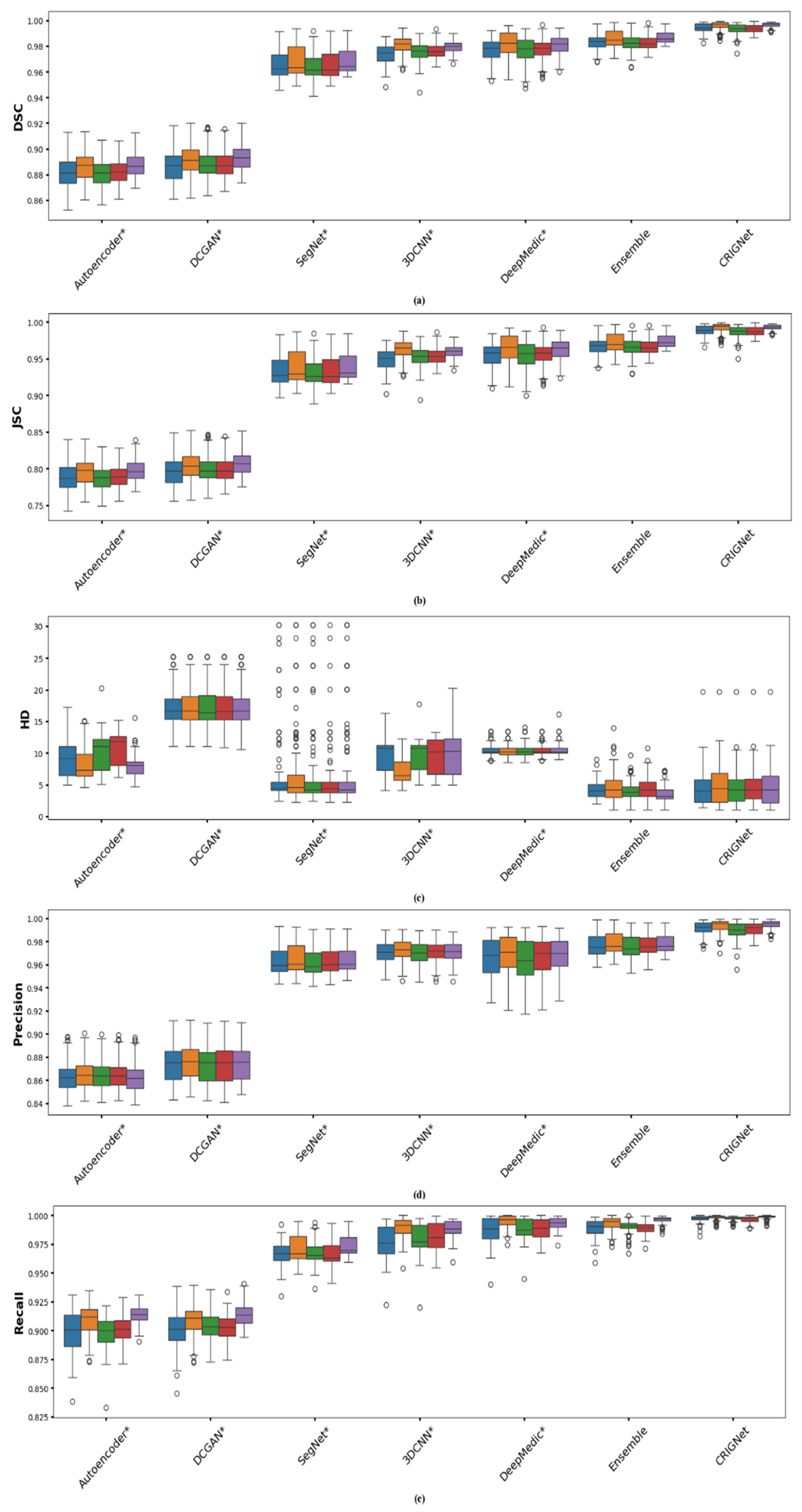
3.5. Comparative Analysis of CRIGNet and Other AI Models
- Autoencoder [11]*: A compact encoder–decoder architecture using 3D convolutions and Max-Pooling, ending with a Sigmoid activation for voxel intensity normalisation.
- DCGAN [44]*: Incorporates 3D convolutional blocks with Leaky ReLU for feature extraction, a modified discriminator with 64 initial channels, and a Sigmoid-activated decoder.
- SegNet [28]*:A 3D adaptation of SegNet, replacing 2D operations with 3D convolutions and Max-Unpooling, ending with Sigmoid activation for binary outputs.
- 3DCNN [6]*: A simplified architecture with two 3D convolutional layers in both the encoder and decoder, concluding with Sigmoid activation.
- DeepMedic [29]*: Focused on high-resolution pathways without residual connections, using 1 × 1 × 1 convolutions and Sigmoid activation for binary classification.
- Ensemble: Combines predictions from CRIGNet, SegNet, DeepMedic, and 3DCNN through a meta model with 3D convolution and Sigmoid activation for final output.
3.6. Geometrical Accuracy and Load Testing of PEEK Based Implants for Validation
3.6.1. CAD-Generated Implant
3.6.2. Geometrical Accuracy
3.6.3. Implant Edge Gap Measurement
3.6.4. Load Testing Through Simulation
3.6.5. Time Efficiency
4. Discussion
5. Conclusions and Future Scope
Author Contributions
Funding
Institutional Review Board Statement
Informed Consent Statement
Data Availability Statement
Acknowledgments
Conflicts of Interest
Abbreviations
| AI | Artificial Intelligence |
| APDL | ANSYS Parametric Design Language |
| Back | Occipital |
| CAD | Computer–Aided Design |
| CCA | Connected Component Analysis |
| CNN | Convolutional Neural Network |
| CRIGNet | Cranial Reconstruction and Implant Generation Network |
| CT | Computed Tomography |
| DICOM | Digital Imaging and Communications in Medicine |
| DSC | Dice Similarity Coefficient |
| FEA | Finite Element Analysis |
| Front | Frontal |
| GANs | Generative Adversarial Networks |
| HD | Hausdorff distance |
| IoU | Intersection to Union |
| IQR | Interquartile Range |
| JSC | Jaccard Similarity Coefficient |
| Left | Left Parietal Temporal |
| MONAI | Medical Open Network for Artificial Intelligence |
| MRI | Magnetic resonance imaging |
| NRRD | Nearly Raw Raster Data |
| PCA | Principal Component Analysis |
| PEEK | Polyether-Ether-Ketone |
| Right | Right Parietal Temporal |
| RNN | Recurrent Neural Network |
| SSM | Statistical Shape Models |
| STEP | Standard for the Exchange of Product Data |
| Top | Parietal |
References
- Lee, M.-Y.; Chang, C.-C.; Lin, C.-C.; Lo, L.-J.; Chen, Y.-R. Custom implant design for patients with cranial defects. IEEE Eng. Med. Biol. Mag. 2002, 21, 38–44. [Google Scholar] [CrossRef] [PubMed]
- Jardini, A.L.; Larosa, M.A.; Maciel Filho, R.; Zavaglia, C.A.; Bernardes, L.F.; Lambert, C.S.; Calderoni, D.R.; Kharmandayan, P. Cranial reconstruction: 3D biomodel and custom-built implant created using additive manufacturing. J. Craniomaxillofac. Surg. 2014, 42, 1877–1884. [Google Scholar] [CrossRef] [PubMed]
- Oh, J.H. Recent advances in the reconstruction of cranio-maxillofacial defects using computer-aided design/computer-aided manufacturing. Maxillofac. Plast. Reconstr. Surg. 2018, 40, 2. [Google Scholar] [CrossRef] [PubMed]
- van de Belt, H.; Neut, D.; Schenk, W.; van Horn, J.R.; van der Mei, H.C.; Busscher, H.J. Infection of orthopaedic implants and the use of antibiotic-loaded bone cements: A review. Acta Orthop. Scand. 2001, 72, 557–571. [Google Scholar] [CrossRef]
- Rudman, K.; Hoekzema, C.; Rhee, J. Computer-assisted innovations in craniofacial surgery. Facial Plast. Surg. 2011, 27, 358–365. [Google Scholar] [CrossRef]
- Li, J.; von Campe, G.; Pepe, A.; Gsaxner, C.; Wang, E.; Chen, X.; Zefferer, U.; Tödtling, M.; Krall, M.; Deutschmann, H.; et al. Automatic skull defect restoration and cranial implant generation for cranioplasty. Med. Image Anal. 2021, 73, 102171. [Google Scholar] [CrossRef] [PubMed]
- Wu, C.-T.; Yang, Y.-H.; Chang, Y.-Z. Three-dimensional deep learning to automatically generate cranial implant geometry. Sci. Rep. 2022, 12, 2683. [Google Scholar] [CrossRef] [PubMed]
- Li, J.; Pepe, A.; Schwarz-Gsaxner, C.; Egger, J. An Online Platform for Automatic Skull Defect Restoration and Cranial Implant Design. Proc. SPIE 2021, 11598, 115981Q. [Google Scholar] [CrossRef]
- Kodym, O.; Španěl, M.; Herout, A. Skull shape reconstruction using cascaded convolutional networks. Comput. Biol. Med. 2020, 123, 103886. [Google Scholar] [CrossRef] [PubMed]
- Wodzinski, M.; Daniol, M.; Socha, M.; Hemmerling, D.; Stanuch, M.; Skalski, A. Deep learning-based framework for automatic cranial defect reconstruction and implant modelling. Comput. Methods Programs Biomed. 2022, 226, 107173. [Google Scholar] [CrossRef] [PubMed]
- Li, J.; Ferreira, A.; Puladi, B.; Alves, V.; Kamp, M.; Kim, M.; Nensa, F.; Kleesiek, J.; Ahmadi, S.-A.; Egger, J. Open-source skull reconstruction with MONAI. Softw. X 2023, 23, 101432. [Google Scholar] [CrossRef]
- Wodzinski, M.; Hemmerling, D.; Daniol, M. Automatic Cranial Defect Reconstruction with Self-Supervised Deep Deformable Masked Autoencoders. arXiv 2024, arXiv:2404.13106. [Google Scholar] [CrossRef]
- Matzkin, F.; Newcombe, V.; Glocker, B.; Ferrante, E. Cranial Implant Design via Virtual Craniectomy with Shape Priors. In Lecture Notes in Computer Science (Including Subseries Lecture Notes in Artificial Intelligence and Lecture Notes in Bioinformatics; Springer Science and Business Media Deutschland GmbH: Berlin, Germany, 2020; Volume 12439 LNCS, pp. 37–46. [Google Scholar] [CrossRef]
- Kwarciak, K.; Wodziński, M. Deep Generative Networks for Heterogeneous Augmentation of Cranial Defects. In Proceedings of the 2023 IEEE/CVF International Conference on Computer Vision Workshops (ICCVW), Paris, France, 2–6 October 2023. [Google Scholar]
- Yang, B.; Fang, K.; Li, X. Cranial implant prediction by learning an ensemble of slice-based skull completion networks. In Lecture Notes in Computer Science; Springer: Berlin/Heidelberg, Germany, 2021; pp. 95–104. [Google Scholar] [CrossRef]
- Resmi, S.; Singh, R.P.; Palaniappan, K. Automatic skull shape completion of defective skulls using transformers for cranial implant design. Procedia Comput. Sci. 2024, 235, 3305–3314. [Google Scholar] [CrossRef]
- Li, J.; Ellis, D.G.; Pepe, A.; Gsaxner, C.; Aizenberg, M.R.; Kleesiek, J.; Egger, J. Back to the roots: Reconstructing large and complex cranial defects using an image-based statistical shape model. J. Med. Syst. 2024, 48, 55. [Google Scholar] [CrossRef] [PubMed]
- Bogu, V.P.; Kumar, Y.R.; Khanara, A.K. Modelling and structural analysis of skull/cranial implant: Beyond midline deformities. Acta Bioeng. Biomech. 2017, 19, 125–131. [Google Scholar] [CrossRef]
- Jindal, P.; Chaitanya; Bharadwaja, S.S.S.; Rattra, S.; Pareek, D.; Gupta, V.; Breedon, P.; Reinwald, Y.; Juneja, M. Optimising Cranial Implant and Fixture Design Using Different Materials in Cranioplasty. Proc. Inst. Mech. Eng. Part L J. Mater. Des. Appl. 2023, 237, 107–121. [Google Scholar] [CrossRef]
- Mallya, P.K.; Juneja, M. Rapid Prototyping of Orthopaedic Implant Materials for Cranio-Facial Reconstruction: A Survey. Mater. Today Proc. 2021, 45, 5207–5213. [Google Scholar] [CrossRef]
- Ma, H.; Suonan, A.; Zhou, J.; Yuan, Q.; Liu, L.; Zhao, X.; Lou, X.; Yang, C.; Li, D.; Zhang, Y.-G. PEEK (Polyether-Ether Ketone) and Its Composite Materials in Orthopaedic Implantation. Arab. J. Chem. 2021, 14, 1–19. [Google Scholar] [CrossRef]
- Zhang, J.; Tian, W.; Chen, J.; Yu, J.; Zhang, J.; Chen, J. The Application of Polyetheretherketone (PEEK) Implants in Cranioplasty. Brain Res. Bull. 2019, 153, 143–149. [Google Scholar] [CrossRef] [PubMed]
- Jindal, P.; Bharadwaja, S.S.S.; Rattra, S.; Chaitanya; Gupta, V.; Breedon, P.; Reinwald, Y.; Juneja, M. Designing cranial fixture shapes and topologies for optimising PEEK implant thickness in cranioplasty. Proc. Inst. Mech. Eng. Part L J. Mater. Des. Appl. 2023, 237, 1752–1770. [Google Scholar] [CrossRef]
- Haleem, A.; Javaid, M. Polyether Ether Ketone (PEEK) and Its 3D Printed Implants Applications in the Medical Field: An Overview. Clin. Epidemiol. Global Health 2019, 7, 571–577. [Google Scholar] [CrossRef]
- Verma, S.; Sharma, N.; Kango, S.; Sharma, S. Developments of PEEK (Polyetheretherketone) as a Biomedical Material: A Focused Review. Eur. Polym. J. 2021, 147, 110295. [Google Scholar] [CrossRef]
- de Ruiter, L.; Janssen, D.; Briscoe, A.; Verdonschot, N. The Mechanical Response of a Polyetheretherketone Femoral Knee Implant under a Deep Squatting Loading Condition. Proc. Inst. Mech. Eng. Part H 2017, 231, 1204–1212. [Google Scholar] [CrossRef] [PubMed]
- Mian, S.H.; Moiduddin, K.; Elseufy, S.M.; Alkhalefah, H. Adaptive Mechanism for Designing a Personalized Cranial Implant and Its 3D Printing Using PEEK. Polymers 2022, 14, 1266. [Google Scholar] [CrossRef] [PubMed]
- Badrinarayanan, V.; Kendall, A.; Cipolla, R. SegNet: A Deep Convolutional Encoder-Decoder Architecture for Image Segmentation. arXiv 2015, arXiv:1511.00561. [Google Scholar] [CrossRef]
- Kamnitsas, K.; Ledig, C.; Newcombe, V.F.J.; Simpson, J.P.; Kane, A.D.; Menon, D.K.; Rueckert, D.; Glocker, B. Efficient multi-scale 3D CNN with fully connected CRF for accurate brain lesion segmentation. Med. Image Anal. 2017, 36, 61–78. [Google Scholar] [CrossRef]
- Fedorov, A.; Beichel, R.; Kalpathy-Cramer, J.; Finet, J.; Fillion-Robin, J.-C.; Pujol, S.; Bauer, C.; Jennings, D.; Fennessy, F.M.; Sonka, M.; et al. 3D Slicer as an Image Computing Platform for the Quantitative Imaging Network. Magn. Reson. Imaging 2012, 30, 1323–1341. [Google Scholar] [CrossRef] [PubMed]
- Li, J.; Krall, M.; Trummer, F.; Memon, A.R.; Pepe, A.; Gsaxner, C.; Jin, Y.; Chen, X.; Deutschmann, H.; Zefferer, U.; et al. MUG500+: Database of 500 high-resolution healthy human skulls and 29 craniotomy skulls and implants. Data Brief 2021, 39, 107524. [Google Scholar] [CrossRef] [PubMed]
- Kaur, R.; Juneja, M.; Mandal, A.K. A comprehensive review of denoising techniques for abdominal CT images. Multimedia Tools Appl. 2018, 77, 22735–22770. [Google Scholar] [CrossRef]
- Juneja, M.; Saini, S.K.; Kaul, S.; Acharjee, R.; Thakur, N.; Jindal, P. Denoising of magnetic resonance imaging using Bayes shrinkage-based fused wavelet transform and autoencoder-based deep learning approach. Biomed. Signal Process. Control 2021, 69, 102844. [Google Scholar] [CrossRef]
- Majanga, V.; Viriri, S. Dental images’ segmentation using threshold connected component analysis. Comput. Intell. Neurosci. 2021, 2021, 2921508. [Google Scholar] [CrossRef]
- Wu, C.-T.; Yang, Y.-H.; Chang, Y.-Z. Creating high-resolution 3D cranial implant geometry using deep learning techniques. Front. Bioeng. Biotechnol. 2023, 11, 1297933. [Google Scholar] [CrossRef]
- Li, J.; Gsaxner, C.; Pepe, A.; Morais, A.; Alves, V.; von Campe, G.; Wallner, J.; Egger, J. Synthetic skull bone defects for automatic patient-specific craniofacial implant design. Sci. Data 2021, 8, 36. [Google Scholar] [CrossRef] [PubMed]
- Diakogiannis, F.I.; Waldner, F.; Caccetta, P.; Wu, C. ResUNet-a: A deep learning framework for semantic segmentation of remotely sensed data. ISPRS J. Photogramm. Remote Sens. 2020, 162, 94–114. [Google Scholar] [CrossRef]
- Bjorck, N.; Gomes, C.P.; Selman, B.; Weinberger, K.Q. Understanding Batch Normalisation. In Advances in Neural Information Processing Systems; Bengio, S., Wallach, H., Larochelle, H., Grauman, K., Cesa-Bianchi, N., Garnett, R., Eds.; Curran Associates, Inc.: Red Hook, NY, USA, 2018; Volume 31. [Google Scholar]
- Agarap, A.F. Deep Learning Using Rectified Linear Units (ReLU). arXiv 2018, arXiv:1803.08375. [Google Scholar] [CrossRef]
- Sharma, S.; Sharma, S.; Athaiya, A. Activation Functions in Neural Networks. Int. J. Eng. Appl. Sci. Technol. 2017, 6, 310–316. [Google Scholar] [CrossRef]
- Vani, S.; Rao, T.V.M. An experimental approach towards the performance assessment of various optimizers on convolutional neural network. In Proceedings of the 2019 3rd International Conference on Trends in Electronics and Informatics (ICOEI), Tirunelveli, India, 23–25 April 2019; pp. 331–336. [Google Scholar] [CrossRef]
- Huttenlocher, D.P.; Klanderman, G.A.; Rucklidge, W.J. Comparing images using the Hausdorff distance. IEEE Trans. Pattern Anal. Mach. Intell. 1993, 15, 850–863. [Google Scholar] [CrossRef]
- Juneja, M.; Thakur, N.; Thakur, S.; Uniyal, A.; Wani, A.; Jindal, P. GC-NET for classification of glaucoma in the retinal fundus image. Mach. Vis. Appl. 2020, 31, 38. [Google Scholar] [CrossRef]
- Ahmadian, H.; Mageswaran, P.; Walter, B.A.; Blakaj, D.M.; Bourekas, E.C.; Mendel, E.; Marras, W.S.; Soghrati, S. Toward an artificial intelligence-assisted framework for reconstructing the digital twin of vertebrae and predicting its fracture response. Int. J. Numer. Methods Biomed. Eng. 2022, 38, e3601. [Google Scholar] [CrossRef] [PubMed]
- 3D Slicer Image Computing Platform. Available online: https://www.slicer.org/ (accessed on 20 December 2024).
- Kung, W.-M.; Tzeng, I.-S.; Lin, M.-S. Three-dimensional CAD in skull reconstruction: A narrative review with focus on cranioplasty and its potential relevance to brain sciences. Appl. Sci. 2020, 10, 1847. [Google Scholar] [CrossRef]
- Morselli, C.; Zaed, I.; Tropeano, M.P.; Cataletti, G.; Iaccarino, C.; Rossini, Z.; Servadei, F. Comparison between the Different Types of Heterologous Materials Used in Cranioplasty: A Systematic Review of the Literature. J. Neurosurg. Sci. 2019, 63, 723–736. [Google Scholar] [CrossRef] [PubMed]
- Ganatsios, S.; Maropoulos, S.; Tsouknidas, A.; Papanikolaou, S. Porosity-Mechanical Behaviour Correlation in Cranial Implants. Romanian Rev. Precision Mech. 2011, 39, 13–16. [Google Scholar]
- Juneja, M.; Bajaj, D.; Thakur, N.; Jindal, P. Reproduction of human dental models using different 3D printing techniques. Proc. Inst. Mech. Eng. Part E J. Process Mech. Eng. 2024. [Google Scholar] [CrossRef]
- Jindal, S.; Manzoor, F.; Haslam, N.; Mancuso, E. 3D Printed Composite Materials for Craniofacial Implants: Current Concepts, Challenges, and Future Directions. Int. J. Adv. Manuf. Technol. 2021, 112, 635–653. [Google Scholar] [CrossRef]
- Jindal, P.; Bharti, J.; Gupta, V.; Dhami, S.S. Mechanical behaviour of reconstructed defected skull with custom PEEK implant and titanium fixture plates under dynamic loading conditions using FEM. J. Mech. Behav. Biomed. Mater. 2023, 146, 106063. [Google Scholar] [CrossRef] [PubMed]
- Carpenter, R.D.; Klosterhoff, B.S.; Torstrick, F.B.; Foley, K.T.; Burkus, J.K.; Lee, C.S.; Gall, K.; Guldberg, R.E.; Safranski, D.L. Effect of Porous Orthopaedic Implant Material and Structure on Load Sharing with Simulated Bone Ingrowth: A Finite Element Analysis Comparing Titanium and PEEK. J. Mech. Behav. Biomed. Mater. 2018, 80, 68–76. [Google Scholar] [CrossRef] [PubMed]
- Sun, C.; Kang, J.; Yang, C.; Zheng, J.; Su, Y.; Dong, E.; Liu, Y.; Yao, S.; Shi, C.; Pang, H.; et al. Additive Manufactured Polyether-Ether-Ketone Implants for Orthopaedic Applications: A Narrative Review. Biomater. Transl. 2022, 3, 116–133. [Google Scholar] [CrossRef]
- Lambrecht, J.T.; Nyffeler, T.; Linder, M. Thermal Conduction of Titanium Implants Under CO2 Laser Irradiation In Vitro. Ann. Maxillofac. Surg. 2012, 2, 12–16. [Google Scholar] [CrossRef]
- Binhammer, A.; Jakubowski, J.; Antonyshyn, O.; Binhammer, P. Comparative Cost-Effectiveness of Cranioplasty Implants. Plast. Surg. 2020, 28, 29–39. [Google Scholar] [CrossRef]














| Year | Author | Dataset | Methodology | Merits | Demerits |
|---|---|---|---|---|---|
| 2020 | Kodym et al. [9] | CQ500 dataset, SkullBreak dataset | 3D CNN cascade with symmetrised low-resolution input, generative model | High resolution, clinically viable | Cross assessment may not be accurate |
| 2020 | Matzkin et al. [13] | CQ500 public database; training images: 100, test images: 110 | DE-UNet and DE-Shape-UNet models, incorporating shape priors for improved robustness | Better accuracy for in-distribution defects, improved robustness for out-of-distribution cases | Lower overall accuracy compared to DE-UNet |
| 2021 | Li et al. [6] | 167 healthy skulls segmented from head CT scans, additional data from craniotomy case | Data-driven 3D shape completion encoder–decoder and 3D CNN | Accurate fit in software, ability to generate multiple data pairs from one skull | Manual work is required for a 3D-printed implant |
| 2021 | Yang et al. [15] | AutoImplant 2021 challenge: 570 training cases, 100 evaluation samples | Ensemble of slice-based networks with CNN and RNN models | Improved performance with ensemble strategy and impurity filters | Isolated noise in predictions |
| 2022 | Wodzinski et al. [10] | AutoImplant 2021 challenge datasets: SkullBreak (Task 1), real cranial defects (Task 2), and SkullFix (Task 3) | U-Net with residual blocks | Modelled fast, fully automatic, personalised cranial implants | Quantitative results varied with defect size and position; fronto-orbital defects had lower scores |
| 2022 | Wu et al. [7] | DICOM metadata, Taiwan | 3D deep learning network based on an enhanced three-dimensional autoencoder | Little or no post-processing required, computationally efficient | Limited to the upper part of the cranium, post-processing required for clinical practice |
| 2023 | Li et al. [11] | MUG500+, SkullFix | Autoencoder model based on MONAI framework | Open source, easy integration with MONAI, efficient processing using GPUs | Not enough information about specific parameters provided |
| 2024 | Resmi et al. [16] | 2020 Auto Implant challenge | Skull reconstruction using integration of 3D U-Net with Transformers | Novel method addressed the limitations of traditional CAD techniques | Lower resolution images affected the generalizability of the results to high-resolution data |
| 2024 | Li et al. [17] | AutoImplant II challenge, MUG500+ dataset | Statistical Shape Model (SSM), Principal Component Analysis | Robust against large and complex defects, mathematically explicit shape representation | Suboptimal performance on synthetic defects compared to CNN-based approaches |
| 2024 | Wodzinski et al. [12] | SkullFix, SkullBreak | Deep deformable masked autoencoder | Efficient reconstruction in real time | No testing performed |
| Case No. | Case | DSC | JSC | HD | Precision | Recall | Specificity |
|---|---|---|---|---|---|---|---|
| 1 | Cylindrical Front | 0.9964 | 0.9928 | 4.5240 | 0.9942 | 0.9986 | 0.9996 |
| 2 | Cylindrical Left | 0.9895 | 0.9792 | 4.6443 | 0.9825 | 0.9966 | 0.9987 |
| 3 | Cylindrical Back | 0.9922 | 0.9845 | 4.3930 | 0.9893 | 0.9951 | 0.9992 |
| 4 | Cylindrical Top | 0.9961 | 0.9921 | 5.0810 | 0.9944 | 0.9978 | 0.9996 |
| 5 | Cylindrical Right | 0.9926 | 0.9854 | 4.4012 | 0.9920 | 0.9933 | 0.9994 |
| 6 | Spherical Front | 0.9919 | 0.9840 | 5.5218 | 0.9874 | 0.9966 | 0.9991 |
| 7 | Spherical Left | 0.9933 | 0.9867 | 4.7579 | 0.9890 | 0.9976 | 0.9992 |
| 8 | Spherical Back | 0.9953 | 0.9906 | 4.0946 | 0.9925 | 0.9980 | 0.9995 |
| 9 | Spherical Top | 0.9966 | 0.9933 | 4.3680 | 0.9951 | 0.9982 | 0.9997 |
| 10 | Spherical Right | 0.9928 | 0.9857 | 4.3359 | 0.9886 | 0.9971 | 0.9992 |
| 11 | Triangular Front | 0.9980 | 0.9959 | 3.8103 | 0.9965 | 0.9994 | 0.9998 |
| 12 | Triangular Left | 0.9973 | 0.9947 | 3.8993 | 0.9964 | 0.9983 | 0.9997 |
| 13 | Triangular Back | 0.9977 | 0.9954 | 3.9395 | 0.9963 | 0.9991 | 0.9997 |
| 14 | Triangular Top | 0.9982 | 0.9964 | 4.0790 | 0.9971 | 0.9993 | 0.9998 |
| 15 | Triangular Right | 0.9972 | 0.9944 | 4.1570 | 0.9958 | 0.9986 | 0.9997 |
| 16 | Cubical Front | 0.9973 | 0.9946 | 5.3278 | 0.9953 | 0.9993 | 0.9997 |
| 17 | Cubical Left | 0.9934 | 0.9869 | 5.1989 | 0.9890 | 0.9979 | 0.9992 |
| 18 | Cubical Back | 0.9925 | 0.9851 | 5.4119 | 0.9882 | 0.9968 | 0.9992 |
| 19 | Cubical Top | 0.9955 | 0.9910 | 5.2140 | 0.9919 | 0.9991 | 0.9994 |
| 20 | Cubical Right | 0.9917 | 0.9836 | 5.4810 | 0.9867 | 0.9969 | 0.9991 |
| Model | DSC | JSC | HD | Precision | Recall | Specificity |
|---|---|---|---|---|---|---|
| Autoencoder * | 0.8836 | 0.7917 | 9.2881 | 0.8640 | 0.9043 | 0.9898 |
| DCGAN * | 0.8899 | 0.8018 | 17.276 | 0.8748 | 0.9057 | 0.9908 |
| SegNet * | 0.9669 | 0.9361 | 6.3500 | 0.9643 | 0.9695 | 0.9974 |
| 3DCNN * | 0.9772 | 0.9555 | 9.2135 | 0.9713 | 0.9833 | 0.9980 |
| Deep Medic * | 0.9786 | 0.9582 | 10.404 | 0.9671 | 0.9905 | 0.9976 |
| Ensemble | 0.9844 | 0.9693 | 4.1297 | 0.9774 | 0.9915 | 0.9984 |
| CRIGNet | 0.9948 | 0.9897 | 4.6317 | 0.9920 | 0.9977 | 0.9994 |
| Cranial Implants/Side Measurement | L | R | T | B | Overall Average Gap |
|---|---|---|---|---|---|
| CAD-generated | 0.97 | 0.09 | 0.17 | 0.15 | 0.18 |
| CRIGNet-generated | 0.15 | 0.35 | 0.23 | 0.33 | 0.26 |
Disclaimer/Publisher’s Note: The statements, opinions and data contained in all publications are solely those of the individual author(s) and contributor(s) and not of MDPI and/or the editor(s). MDPI and/or the editor(s) disclaim responsibility for any injury to people or property resulting from any ideas, methods, instructions or products referred to in the content. |
© 2025 by the authors. Licensee MDPI, Basel, Switzerland. This article is an open access article distributed under the terms and conditions of the Creative Commons Attribution (CC BY) license (https://creativecommons.org/licenses/by/4.0/).
Share and Cite
Juneja, M.; Singla, I.; Poddar, A.; Pandey, N.; Goel, A.; Sudhir, A.; Bhatia, P.; Singh, G.; Kharbanda, M.; Kaur, A.; et al. A Comprehensive AI Framework for Superior Diagnosis, Cranial Reconstruction, and Implant Generation for Diverse Cranial Defects. Bioengineering 2025, 12, 188. https://doi.org/10.3390/bioengineering12020188
Juneja M, Singla I, Poddar A, Pandey N, Goel A, Sudhir A, Bhatia P, Singh G, Kharbanda M, Kaur A, et al. A Comprehensive AI Framework for Superior Diagnosis, Cranial Reconstruction, and Implant Generation for Diverse Cranial Defects. Bioengineering. 2025; 12(2):188. https://doi.org/10.3390/bioengineering12020188
Chicago/Turabian StyleJuneja, Mamta, Ishaan Singla, Aditya Poddar, Nitin Pandey, Aparna Goel, Agrima Sudhir, Pankhuri Bhatia, Gurzafar Singh, Maanya Kharbanda, Amanpreet Kaur, and et al. 2025. "A Comprehensive AI Framework for Superior Diagnosis, Cranial Reconstruction, and Implant Generation for Diverse Cranial Defects" Bioengineering 12, no. 2: 188. https://doi.org/10.3390/bioengineering12020188
APA StyleJuneja, M., Singla, I., Poddar, A., Pandey, N., Goel, A., Sudhir, A., Bhatia, P., Singh, G., Kharbanda, M., Kaur, A., Bhatia, I., Gupta, V., Dhami, S. S., Reinwald, Y., Jindal, P., & Breedon, P. (2025). A Comprehensive AI Framework for Superior Diagnosis, Cranial Reconstruction, and Implant Generation for Diverse Cranial Defects. Bioengineering, 12(2), 188. https://doi.org/10.3390/bioengineering12020188

