Mathematical Model-Based Optimization of Trace Metal Dosage in Anaerobic Batch Bioreactors
Abstract
1. Introduction
2. Materials and Methods
2.1. Experimental Data
2.2. Numerical Simulation of the AD Process
- Initial influent concentrations of 13 types of bacteria in the feeding substrate, and concentrations of three types of enzymes in the feeding substrate for degrading carbohydrates, proteins, and lipids, ;
- Thirteen maximal microbial grow rates at optimal temperature, 13 microbial decays as a percentage of maximal microbial growth rates ; 26 parameters (, ,) which are included in the function describing the effects on the growth rate using the Michaelis function; 13 parameters ; 13 optimal temperatures and 13 maximal temperatures for the growth rate of microbial type;
- Hydrolysis rate constants and three Michaelis–Menten half-saturation constants ;
- Sixteen Monod saturation constants related to various substrates and bacteria: and ;
- Twenty-six inhibition constants related to (a) VFA inhibition of hydrolysis process and (b) compound and metal ion inhibition of the growth of various bacteria and and two limitation factors of inorganic nitrogen () and inorganic phosphorus () related to all microbial growth rates;
- Ten parameters of mass transfer rates from liquid to gas phase and ;
- Twenty precipitation rate constants , and .
2.3. Optimization of the AD Process
2.4. Solution Procedure
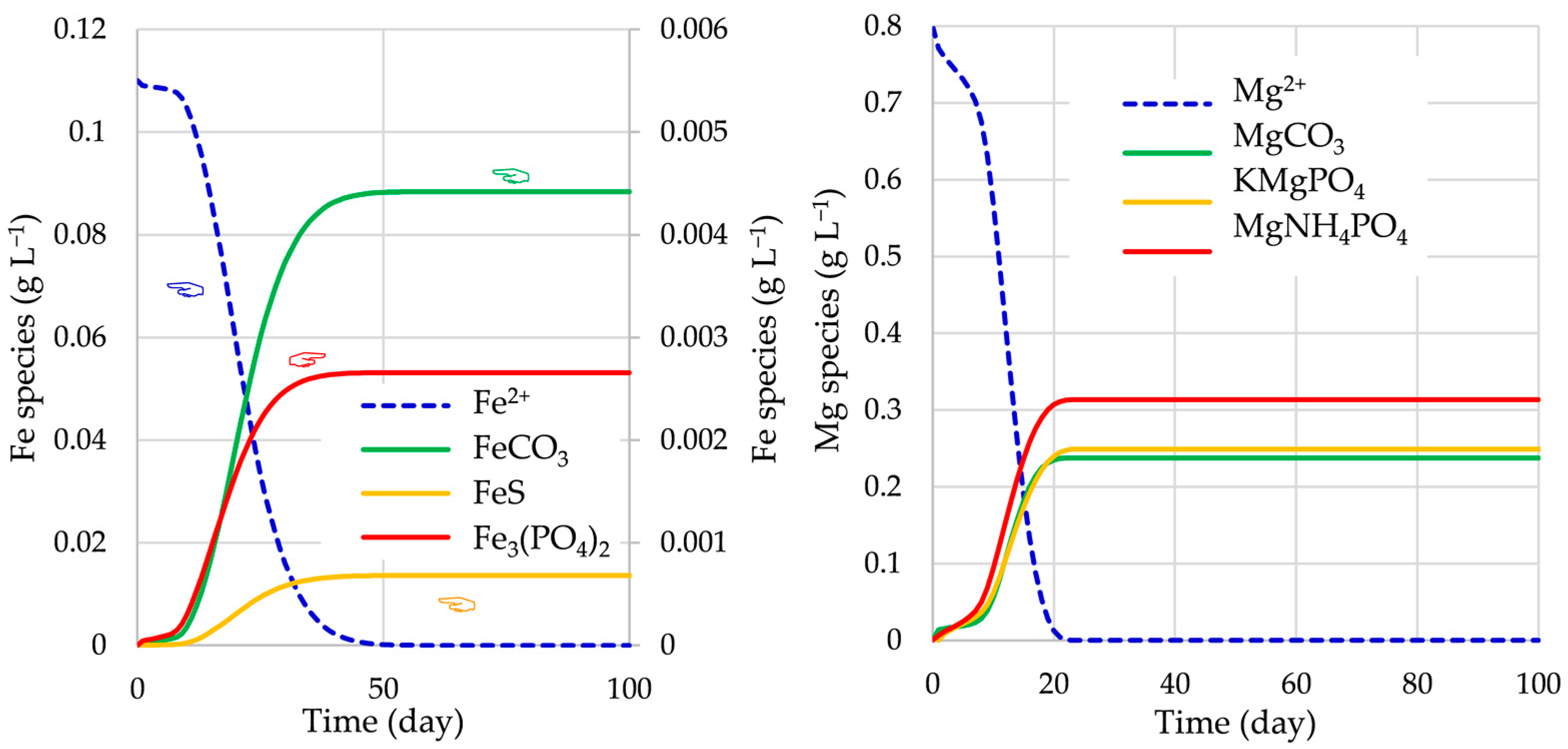
3. Results and Discussion
3.1. Sensitivity Analysis
3.2. BioModel Calibration
3.3. BioModel Validation
3.4. Importance of Accurate Calibration of BioModel Parameters
3.5. Optimized AD Process
4. Conclusions
Author Contributions
Funding
Informed Consent Statement
Data Availability Statement
Conflicts of Interest
Appendix A
| Parameter | Optimal Value | Parameter | Optimal Value | ||||||
|---|---|---|---|---|---|---|---|---|---|
| 1 | 1 | 10 | 5.28848 | 95 | 10 | 100 | 55.0005 | ||
| 2 | 1 | 10 | 6.07000 | 96 | 10 | 100 | 54.9998 | ||
| 3 | 1 | 10 | 6.53405 | 97 | 500 | 1000 | 750.386 | ||
| 4 | 0.1 | 0.6 | 0.27516 | 98 | 50 | 100 | 74.9785 | ||
| 5 | 0.01 | 0.9 | 0.47075 | 99 | 50 | 100 | 59.3824 | ||
| 6 | 0.01 | 0.9 | 0.52991 | 100 | 50 | 100 | 74.3711 | ||
| 7 | 0.01 | 0.9 | 0.56099 | 101 | 50 | 100 | 74.9990 | ||
| 8 | 0.01 | 0.9 | 0.41827 | 102 | 50 | 200 | 76.4582 | ||
| 9 | 0.01 | 0.9 | 0.44331 | 103 | 50 | 200 | 124.992 | ||
| 10 | 0.01 | 0.9 | 0.51747 | 104 | 4.5 | 5.5 | 4.98825 | ||
| 11 | 0.01 | 0.9 | 0.12073 | 105 | 7.5 | 8.5 | 8.27958 | ||
| 12 | 0.01 | 0.9 | 0.09301 | 106 | 4.5 | 5.5 | 4.98971 | ||
| 13 | 0.01 | 0.9 | 0.07857 | 107 | 7.5 | 8.5 | 8.48995 | ||
| 14 | 0.01 | 0.9 | 0.07034 | 108 | 4.5 | 5.5 | 5.02014 | ||
| 15 | 0.01 | 0.9 | 0.47785 | 109 | 7.5 | 8.5 | 8.22301 | ||
| 16 | 0.01 | 0.9 | 0.25675 | 110 | 4.5 | 5.5 | 5.04878 | ||
| 17 | 0.01 | 0.9 | 0.31965 | 111 | 7.5 | 8.5 | 8.45347 | ||
| 18 | 0.01 | 0.9 | 0.53034 | 112 | 5.5 | 6.5 | 6.40484 | ||
| 19 | 0.01 | 0.3 | 0.58207 | 113 | 8.0 | 9.0 | 8.20391 | ||
| 20 | 0.01 | 0.9 | 0.41420 | 114 | 5.5 | 6.5 | 6.31587 | ||
| 21 | 0.01 | 0.9 | 0.35448 | 115 | 8.0 | 9.0 | 8.61508 | ||
| 22 | 0.01 | 0.9 | 0.44256 | 116 | 5.5 | 6.5 | 6.13055 | ||
| 23 | 0.01 | 0.9 | 0.45450 | 117 | 8.0 | 9.0 | 8.53030 | ||
| 24 | 0.01 | 0.9 | 0.45174 | 118 | 5.5 | 6.5 | 6.00441 | ||
| 25 | 0.01 | 0.9 | 0.51131 | 119 | 8.0 | 9.0 | 8.34907 | ||
| 26 | 0.01 | 0.9 | 0.58076 | 120 | 5.5 | 6.5 | 6.04491 | ||
| 27 | 0.01 | 0.9 | 0.43723 | 121 | 8.0 | 9.0 | 8.48158 | ||
| 28 | 0.01 | 0.9 | 0.45489 | 122 | 5.5 | 6.5 | 5.96875 | ||
| 29 | 0.01 | 0.9 | 0.49740 | 123 | 7.5 | 8.5 | 8.07330 | ||
| 30 | 0.001 | 0.01 | 0.00513 | 124 | 5.5 | 6.5 | 6.21593 | ||
| 31 | 0.001 | 0.01 | 0.00536 | 125 | 7.5 | 8.5 | 8.00344 | ||
| 32 | 0.01 | 0.9 | 0.45069 | 126 | 5.5 | 6.5 | 5.64308 | ||
| 33 | 0.01 | 0.9 | 0.38091 | 127 | 7.5 | 8.5 | 7.64437 | ||
| 34 | 0.01 | 0.9 | 0.28036 | 128 | 5.5 | 6.5 | 6.02774 | ||
| 35 | 0.01 | 0.9 | 0.02559 | 129 | 7.5 | 8.5 | 7.98378 | ||
| 36 | 0.01 | 0.9 | 0.72705 | 130 | 0.00015 | 0.00019 | 0.00055 | ||
| 37 | 0.01 | 0.9 | 0.86578 | 131 | 0.00015 | 0.00019 | 0.00055 | ||
| 38 | 0.01 | 0.9 | 0.65487 | 132 | 0.00015 | 0.00019 | 0.00055 | ||
| 39 | 0.01 | 0.9 | 0.89994 | 133 | 0.00015 | 0.00019 | 0.00055 | ||
| 40 | 0.01 | 0.9 | 0.70222 | 134 | 0.00015 | 0.00019 | 0.00055 | ||
| 41 | 0.01 | 0.9 | 0.09066 | 135 | 0.00016 | 0.00020 | 0.00055 | ||
| 42 | 0.01 | 0.9 | 0.58511 | 136 | 0.00016 | 0.00020 | 0.00055 | ||
| 43 | 0.01 | 0.9 | 0.61723 | 137 | 0.00015 | 0.00019 | 0.00054 | ||
| 44 | 0.01 | 0.9 | 0.24452 | 138 | 0.00015 | 0.00019 | 0.00055 | ||
| 45 | (g L−1) | 0.01 | 0.9 | 0.24192 | 139 | 0.00016 | 0.00020 | 0.00055 | |
| 46 | 0.01 | 0.9 | 0.33351 | 140 | 0.00016 | 0.00020 | 0.00055 | ||
| 47 | 0.01 | 0.9 | 0.34444 | 141 | 0.00016 | 0.00020 | 0.00055 | ||
| 48 | 1 | 10 | 7.27177 | 142 | 0.00016 | 0.00020 | 0.00055 | ||
| 49 | 1 | 10 | 9.99998 | 143 | 50 | 60 | 54.9854 | ||
| 50 | 1 | 10 | 9.18755 | 144 | 60 | 70 | 65.0000 | ||
| 51 | 1 | 10 | 9.91931 | 145 | 50 | 60 | 54.9685 | ||
| 52 | 1 | 10 | 3.51354 | 146 | 60 | 70 | 65.0000 | ||
| 53 | 1 | 10 | 1.62130 | 147 | 50 | 60 | 54.9975 | ||
| 54 | 1 | 10 | 2.94090 | 148 | 60 | 70 | 65.0000 | ||
| 55 | 1 | 10 | 5.46362 | 149 | 50 | 60 | 54.9941 | ||
| 56 | 1 | 10 | 3.64307 | 150 | 60 | 70 | 65.0000 | ||
| 57 | 1 | 10 | 5.63776 | 151 | 50 | 60 | 54.9866 | ||
| 58 | 1 | 10 | 1.17762 | 152 | 60 | 70 | 65.0000 | ||
| 59 | 1 | 10 | 9.34170 | 153 | 55 | 65 | 60.0039 | ||
| 60 | 1 | 10 | 6.70977 | 154 | 65 | 75 | 70.0000 | ||
| 61 | 0.01 | 0.05 | 0.02996 | 155 | 55 | 65 | 60.0130 | ||
| 62 | 0.01 | 0.05 | 0.02684 | 156 | 65 | 75 | 70.0000 | ||
| 63 | 0.01 | 0.05 | 0.02985 | 157 | 50 | 60 | 54.9936 | ||
| 64 | 0.01 | 0.05 | 0.03009 | 158 | 60 | 70 | 65.0000 | ||
| 65 | 0.01 | 0.05 | 0.01590 | 159 | 50 | 60 | 55.0023 | ||
| 66 | 0.01 | 0.05 | 0.04289 | 160 | 60 | 70 | 65.0000 | ||
| 67 | 0.01 | 0.05 | 0.02859 | 161 | 30 | 40 | 35.1549 | ||
| 68 | 0.01 | 0.05 | 0.01980 | 162 | 60 | 70 | 65.0022 | ||
| 69 | 0.01 | 0.05 | 0.04300 | 163 | 30 | 40 | 35.0021 | ||
| 70 | 0.01 | 0.05 | 0.03071 | 164 | (°C) | 60 | 70 | 65.0000 | |
| 71 | 0.01 | 0.05 | 0.03000 | 165 | 30 | 40 | 36.2293 | ||
| 72 | 0.01 | 0.05 | 0.02867 | 166 | 60 | 70 | 65.0008 | ||
| 73 | 0.01 | 0.05 | 0.02999 | 167 | 30 | 40 | 34.9999 | ||
| 74 | 1 | 5 | 3.59248 | 168 | 60 | 70 | 64.9999 | ||
| 75 | 10 | 20 | 14.97329 | 169 | 0.00001 | 0.001 | 0.00009 | ||
| 76 | 1 | 5 | 2.97810 | 170 | 0.00001 | 0.001 | 0.00024 | ||
| 77 | 10 | 20 | 14.99536 | 171 | 0.00001 | 0.001 | 0.00053 | ||
| 78 | 0.0001 | 0.001 | 0.00086 | 172 | 0.1 | 0.5 | 0.26646 | ||
| 79 | 0.001 | 0.01 | 0.00641 | 173 | 0.1 | 0.5 | 0.49999 | ||
| 80 | 0.0001 | 0.001 | 0.00053 | 174 | 0.1 | 0.5 | 0.35606 | ||
| 81 | 0.001 | 0.01 | 0.00565 | 175 | 0.1 | 0.5 | 0.48358 | ||
| 82 | 0.0001 | 0.001 | 0.00055 | 176 | 0.1 | 0.5 | 0.10110 | ||
| 83 | 0.001 | 0.01 | 0.00550 | 177 | 0.1 | 0.5 | 0.20184 | ||
| 84 | 1 | 10 | 2.26219 | 178 | 0.1 | 0.5 | 0.14735 | ||
| 85 | 1 | 10 | 6.23296 | 179 | 0.1 | 0.5 | 0.10001 | ||
| 86 | 1 | 10 | 2.45088 | 180 | 0.1 | 0.5 | 0.31548 | ||
| 87 | 1 | 10 | 5.34170 | 181 | 0.1 | 0.5 | 0.25498 | ||
| 88 | 1 | 10 | 2.21574 | 182 | 0.1 | 0.5 | 0.10000 | ||
| 89 | 1 | 10 | 5.47297 | 183 | 0.1 | 0.5 | 0.41458 | ||
| 90 | 1 | 10 | 2.61502 | 184 | 0.1 | 0.5 | 0.34090 | ||
| 91 | 1 | 10 | 4.96625 | 185 | 0.00001 | 0.001 | 0.00063 | ||
| 92 | 1000 | 5000 | 2999.88 | 186 | 0.00001 | 0.001 | 0.00046 | ||
| 93 | 500 | 1000 | 2999.88 | 187 | 0.00001 | 0.001 | 0.00054 | ||
| 94 | 500 | 1000 | 749.971 |
References
- Piadeh, F.; Offie, I.; Behzadian, K.; Rizzuto, J.P.; Bywater, A.; Córdoba-Pachón, J.R.; Walker, M. A critical review for the impact of anaerobic digestion on the sustainable development goals. J. Environ. Manag. 2024, 349, 119458. [Google Scholar] [CrossRef] [PubMed]
- Liao, N.; Bolyard, S.C.; Lü, F.; Yang, N.; Zhang, H.; Shao, L.; He, P. Can waste management system be a Greenhouse Gas sink? Perspective from Shanghai, China. Resour. Conserv. Recycl. 2022, 180, 106170. [Google Scholar] [CrossRef]
- Mata-Alvarez, J.; Macé, S.; Llabrés, P. Anaerobic digestion of organic solid wastes. An overview of research achievements and perspectives. Bioresour. Technol. 2000, 74, 3–16. [Google Scholar] [CrossRef]
- Wu, D.; Peng, X.; Li, L.; Yang, P.; Peng, Y.; Liu, H.; Wang, X. Commercial biogas plant: Review on operational parameters and guide for performance optimization. Fuel 2021, 303, 121282. [Google Scholar] [CrossRef]
- IRENA. Global Renewables Outlook, Energy Transformation 2050; International Renewable Energy Agency: Masdar City, Abu Dhabi, 2020. [Google Scholar]
- Kegl, T.; Torres Jiménez, E.; Kegl, B.; Kovač Kralj, A.; Kegl, M. Modeling and optimization of anaerobic digestion technology: Current status and future outlook. Prog. Energy Combust. Sci. 2025, 106, 101199. [Google Scholar] [CrossRef]
- Mihi, M.; Ouhammou, B.; Aggour, M.; Daouchi, B.; Naaim, S.; El Mers, E.M.; Kousksou, T. Modeling and forecasting biogas production from anaerobic digestion process for sustainable resource energy recovery. Heliyon 2024, 10, e38472. [Google Scholar] [CrossRef]
- Myszograj, S.; Stadnik, A.; Płuciennik-Koropczuk, E. The Influence of Trace Elements on Anaerobic Digestion Process. Civ. Environ. Eng. Rep. 2018, 28, 105–115. [Google Scholar] [CrossRef]
- Choong, Y.Y.; Norli, I.; Abdullah, A.Z.; Yhaya, M.F. Impacts of trace element supplementation on the performance of anaerobic digestion process: A critical review. Bioresour. Technol. 2016, 209, 369–379. [Google Scholar] [CrossRef] [PubMed]
- Paritosh, K.; Yadav, M.; Chawade, A.; Sahoo, D.; Kesharwani, N.; Pareek, N.; Vivekanand, V. Additives as a support structure for specific biochemical activity boosts in anaerobic digestion: A review. Front. Energy Res. 2020, 8, 88. [Google Scholar] [CrossRef]
- Romero-Güiza, M.S.; Vila, J.; Mata-Alvarez, J.; Chimenos, J.M.; Astals, S. The role of additives on anaerobic digestion: A review. Renew. Sustain. Energy Rev. 2016, 5, 1486–1499. [Google Scholar] [CrossRef]
- Thanh, P.M.; Ketheesan, B.; Yan, Z.; Stuckey, D. Trace metal speciation and bioavailability in anaerobic digestion: A review. Biotechnol. Adv. 2016, 34, 122–136. [Google Scholar] [CrossRef] [PubMed]
- Glass, J.B.; Orphan, V.J. Trace metal requirements for microbial enzymes involved in the production and consumption of methane and nitrous oxide. Front. Microbiol. 2021, 3, 61. [Google Scholar] [CrossRef] [PubMed]
- Xing, B.S.; Su, Y.M.; Fu, Y.L.; Wu, Y.F.; Yan, C.H.; Wang, X.C.; Li, Y.Y.; Chen, R. Comparison of the short- and long-term effects of zinc ions on the anaerobic mesophilic co-digestion of food waste and waste activated sludge: Digester performance, antibiotic resistance gene reduction and the microbial community. J. Hazard. Mater. 2024, 480, 136119. [Google Scholar] [CrossRef] [PubMed]
- Frunzo, L.; Fermoso, F.G.; Luongo, V.; Mattei, M.R.; Esposito, G. ADM1-based mechanistic model for the role of trace elements in anaerobic digestion processes. J. Environ. Manag. 2019, 241, 587–602. [Google Scholar] [CrossRef]
- Zhang, H.; Tian, Y.; Wang, L.; Mi, X.; Chai, Y. Effect of ferrous chloride on biogas production and enzymatic activities during anaerobic fermentation of cow dung and Phragmites straw. Biodegradation 2016, 27, 69–82. [Google Scholar] [CrossRef] [PubMed]
- Westerholm, M.; Müller, B.; Isaksson, S.; Schnürer, A. Trace element and temperature effects on microbial communities and links to biogas digester performance at high ammonia levels. Biotechnol. Biofuels 2015, 8, 154. [Google Scholar] [CrossRef]
- Chen, Y.; Cheng, J.J.; Creamer, K.S. Inhibition of anaerobic digestion process: A review. Bioresour. Technol. 2008, 99, 4044–4064. [Google Scholar] [CrossRef]
- Geng, H.; Xu, Y.; Dai, X.; Yang, D. Abiotic and biotic roles of metals in the anaerobic digestion of sewage sludge: A review. Sci. Total Environ. 2024, 912, 169313. [Google Scholar] [CrossRef] [PubMed]
- Abdel-Shafy, H.I.; Mansour, M.S.M. Biogas production as affected by heavy metals in the anaerobic digestion of sludge. Egypt. J. Pet. 2014, 23, 409–417. [Google Scholar] [CrossRef]
- Jha, P.; Schmidt, S. Reappraisal of chemical interference in anaerobic digestion processes. Renewable and Sustainable Energy Reviews 2017, 75, 954–971. [Google Scholar] [CrossRef]
- Wang, X.; Gong, Y.; Sun, C.; Wang, Z.; Sun, Y.; Yu, Q.; Zhang, Y. New insights into inhibition of high Fe(III) content on anaerobic digestion of waste-activated sludge. Sci. Total Environ. 2024, 916, 170147. [Google Scholar] [CrossRef] [PubMed]
- Angelidaki, I.; Ellegaard, L.; Ahring, B.K. A comprehensive model of anaerobic bioconversion of complex substrates to biogas. Biotechnol. Bioeng. 1999, 63, 363–372. [Google Scholar] [CrossRef]
- Batstone, D.J.; Amerlinck, Y.; Ekam, G.; Goel, R.; Grau, P.; Johnson, B.; Kaya, I.; Steyer, J.P.; Tait, S.; Takács, I.; et al. Towards a generalized physicochemical framework. Water Sci. Technol. 2012, 66, 1147–1161. [Google Scholar] [CrossRef]
- Cai, Y.; Janke, L.; Meng, X.; Zheng, Z.; Zhao, X.; Pröter, J.; Schäfer, F. The absolute concentration and bioavailability of trace elements: Two vital parameters affecting anaerobic digestion performance of chicken manure leachate. Bioresour. Technol. 2022, 350, 126909. [Google Scholar] [CrossRef]
- Flores-Alsina, X.; Solon, K.; Kazadi Mbamba, C.; Tait, S.; Gernaey, K.V.; Jeppsson, U.; Batstone, D.J. Modelling phosphorus (P), sulfur (S) and iron (Fe) interactions for dynamic simulations of anaerobic digestion processes. Water Res. 2016, 95, 370–382. [Google Scholar] [CrossRef]
- Kegl, T.; Kovač Kralj, A. Multi-objective optimization of anaerobic digestion process using a gradient-based algorithm. Energy Convers. Manag. 2020, 226, 113560. [Google Scholar] [CrossRef]
- Kegl, T.; Kovač Kralj, A. An enhanced anaerobic digestion BioModel calibrated by parameters optimization based on measured biogas plant data. Fuel 2022, 322, 122984. [Google Scholar] [CrossRef]
- Kegl, T. Consideration of biological and inorganic additives in upgraded anaerobic digestion BioModel. Bioresour. Technol. 2022, 355, 127252. [Google Scholar] [CrossRef] [PubMed]
- Kegl, T. Anaerobic digestion BioModel upgraded by various inhibition types. Renew. Energy 2024, 226, 20427. [Google Scholar] [CrossRef]
- Kegl, T.; Kegl, B.; Kegl, M. Improvement of biogas production utilizing a complex anaerobic digestion model and gradient-based optimization. Energies 2024, 17, 1279. [Google Scholar] [CrossRef]
- Maharaj, B.C.; Mattei, M.R.; Frunzo, L.; van Hullebusch, E.D.; Esposito, G. ADM1 based mathematical model of trace element precipitation/dissolution in anaerobic digestion processes. Bioresour. Technol. 2018, 267, 666–676. [Google Scholar] [CrossRef] [PubMed]
- Maharaj, B.C.; Mattei, M.R.; Frunzo, L.; van Hullenbusch, E.D.; Esposito, G. ADM1 based mathematical model of trace element complexation in anaerobic digestion processes. Bioresour. Technol. 2019, 276, 253–259. [Google Scholar] [CrossRef]
- Maharaj, B.C.; Mattei, M.R.; Frunzo, L.; van Hullebusch, E.D.; Esposito, G. A general framework to model the fate of trace elements in anaerobic digestion environments. Sci. Rep. 2021, 11, 7476. [Google Scholar] [CrossRef]
- Ahmed, W.; Rodríguez, J. Generalized parameter estimation and calibration for biokinetic models using correlation and single variable optimisations: Application to sulfate reduction modelling in anaerobic digestion. Water Res. 2017, 122, 407–418. [Google Scholar] [CrossRef]
- Keshtkar, A.; Ghaforian, H.; Abolhamd, G.; Meyssami, B. Dynamic simulation of cyclic batch anaerobic digestion of cattle manure. Bioresour. Technol. 2001, 80, 9–17. [Google Scholar] [CrossRef] [PubMed]
- Hossain, S.; Karim, T.; Onik, M.H.; Kumar, D.; Rahman, A.; Yousuf, A.; Uddin, M.R. Impact of temperature, inoculum flow pattern, inoculum type, and their ratio on dry anaerobic digestion for biogas production. Sci. Rep. 2022, 12, 6162. [Google Scholar] [CrossRef]
- Abdelsalam, E.; Samer, M.; Abdel-Hadi, M.A.; Hassan, H.E.; Badr, Y. The effect of buffalo dung treatment with paunch fluid on biogas production. Misr J. Agric. Eng. 2015, 32, 807–826. [Google Scholar] [CrossRef]
- Kegl, M.; Oblak, M.M. Optimization of mechanical systems: On non-linear first-order approximation with an additive convex term. Commun. Numer. Methods Eng. 1997, 13, 13–20. [Google Scholar] [CrossRef]
- Kegl, M.; Butinar, B.J.; Kegl, B. An efficient gradient-based optimization algorithm for mechanical systems. Commun. Numer. Methods Eng. 2002, 18, 363–371. [Google Scholar] [CrossRef]









| Bioreactor | |||
|---|---|---|---|
| Parameter | B1 | B2 | B3 |
| 8.00 | 8.00 | 7.4 | |
| 35.00 | 37.00 | 38.5 | |
| 1.00 | 0.25 | 4.5 | |
| 0.10 | 0.20 | 3.5 | |
| 1.0059 | 1.0059 | 1.0073 | |
| Parameter | Value |
|---|---|
| 15.0000 | |
| 35.0000 | |
| 3.0000 | |
| 50.0000 | |
| 2.5000 | |
| 2.0000 | |
| 2.6000 | |
| 0.1000 | |
| 0.5000 | |
| 0.0080 | |
| 3.0000 | |
| 0.0200 | |
| 0.0030 | |
| 0.0100 | |
| 0.1100 | |
| 3.2000 | |
| 0.8000 | |
| 0.3000 | |
| 0.0010 | |
| 0.0002 | |
| 0.0500 |
| Set | ||||
|---|---|---|---|---|
| 1 | 0.2 | 17 | 16 | 0.25700 |
| 2 | 0.1 | 30 | 59 | 0.05285 |
| 3 | 0.001 | 89 | 78 | 0.02280 |
| 4 (ODcal) | 0 | 187 | 190 | 0.01185 |
| SIs | BioModel Calibration, Bioreactor B1 | ||||
|---|---|---|---|---|---|
| IDcal | Set 1 | Set 2 | Set 3 | ODcal | |
| 0.0583 | 0.0250 | 0.0144 | 0.0102 | 0.0074 | |
| 0.2933 | 0.08438 | 0.0382 | 0.0252 | 0.0181 | |
| 0.2374 | 0.6491 | 0.9360 | 0.9810 | 0.9855 | |
| 0.4872 | 0.8440 | 0.9774 | 0.9902 | 0.9953 | |
| SIs | B2 | B3 |
|---|---|---|
| 0.0033 | 0.0654 | |
| 0.0111 | 0.1817 | |
| 0.9780 | 0.9775 | |
| 0.9877 | 0.9931 |
| Bioreactor | Design | SIs | |||
|---|---|---|---|---|---|
| B2 | ODcal | 0.0033 | 0.0111 | 0.9780 | 0.9877 |
| ODcal ± 1% | 0.0036 | 0.0113 | 0.9712 | 0.9866 | |
| ODcal ± 5% | 0.0087 | 0.0303 | 0.8681 | 0.9261 | |
| B3 | ODcal | 0.0654 | 0.1817 | 0.9775 | 0.9931 |
| ODcal ± 1% | 0.0850 | 0.2544 | 0.9571 | 0.9869 | |
| ODcal ± 5% | 0.2010 | 0.6241 | 0.8090 | 0.9311 | |
| No. | TM | ID | OD Case A | OD Case B | OD Case C | ||
|---|---|---|---|---|---|---|---|
| 1 | 0.30000 | 4.00000 | 3.00000 | 3.9870 | 2.2957 | 3.1290 | |
| 2 | 0.32000 | 4.20000 | 3.20000 | 3.2587 | 3.2263 | 3.1430 | |
| 3 | 0.08000 | 1.80000 | 0.80000 | 1.7868 | 1.7970 | 0.0887 | |
| 4 | 0.03000 | 0.80000 | 0.30000 | 0.3000 | 0.3000 | 0.3000 | |
| 5 | 0.01100 | 5.11000 | 0.11000 | 5.0431 | 5.1100 | 5.1099 | |
| 6 | 0.00200 | 0.12000 | 0.02000 | 0.0251 | 0.0229 | 0.0239 | |
| 7 | 0.30000 | 103.000 | 3.00000 | 0.3342 | 0.3000 | 0.3000 | |
| 8 | 0.10000 | 101.000 | 1.00000 | 0.1113 | 0.1000 | 0.1000 | |
| 9 | 0.02000 | 100.200 | 0.20000 | 0.0218 | 0.0200 | 0.0200 | |
| 10 | 1.00000 | 110.000 | 10.00000 | 1.1192 | 1.0001 | 1.0001 | |
| 11 | 5.00000 | 150.000 | 50.00000 | 5.9228 | 5.0003 | 5.0010 |
Disclaimer/Publisher’s Note: The statements, opinions and data contained in all publications are solely those of the individual author(s) and contributor(s) and not of MDPI and/or the editor(s). MDPI and/or the editor(s) disclaim responsibility for any injury to people or property resulting from any ideas, methods, instructions or products referred to in the content. |
© 2025 by the authors. Licensee MDPI, Basel, Switzerland. This article is an open access article distributed under the terms and conditions of the Creative Commons Attribution (CC BY) license (https://creativecommons.org/licenses/by/4.0/).
Share and Cite
Kegl, T.; Paramasivan, B.; Maharaj, B.C. Mathematical Model-Based Optimization of Trace Metal Dosage in Anaerobic Batch Bioreactors. Bioengineering 2025, 12, 117. https://doi.org/10.3390/bioengineering12020117
Kegl T, Paramasivan B, Maharaj BC. Mathematical Model-Based Optimization of Trace Metal Dosage in Anaerobic Batch Bioreactors. Bioengineering. 2025; 12(2):117. https://doi.org/10.3390/bioengineering12020117
Chicago/Turabian StyleKegl, Tina, Balasubramanian Paramasivan, and Bikash Chandra Maharaj. 2025. "Mathematical Model-Based Optimization of Trace Metal Dosage in Anaerobic Batch Bioreactors" Bioengineering 12, no. 2: 117. https://doi.org/10.3390/bioengineering12020117
APA StyleKegl, T., Paramasivan, B., & Maharaj, B. C. (2025). Mathematical Model-Based Optimization of Trace Metal Dosage in Anaerobic Batch Bioreactors. Bioengineering, 12(2), 117. https://doi.org/10.3390/bioengineering12020117

