Biomechanical Comparisons between One- and Two-Compartment Devices for Reconstructing Vertebrae by Kyphoplasty
Abstract
1. Introduction
2. Materials and Methods
2.1. Cadaveric Specimens
2.2. Mounting and Embedding Specimens
2.3. Creating Incomplete Burst Fractures
2.4. Kyphoplasty
2.5. Radiographic Assessment of Vertebral Height Reconstruction
2.6. Cyclic Loading Test of Load-Bearing Capacity
2.7. Statistics
3. Results
3.1. Specimens
3.2. Decreased Vertebral Height after Compression
3.3. Balloon-Filling and Cement Volumes
3.4. Cyclic Loading
3.5. Correlations between Applied Load and Applied Cycles at Time of Failure with Cement Volume
4. Discussion
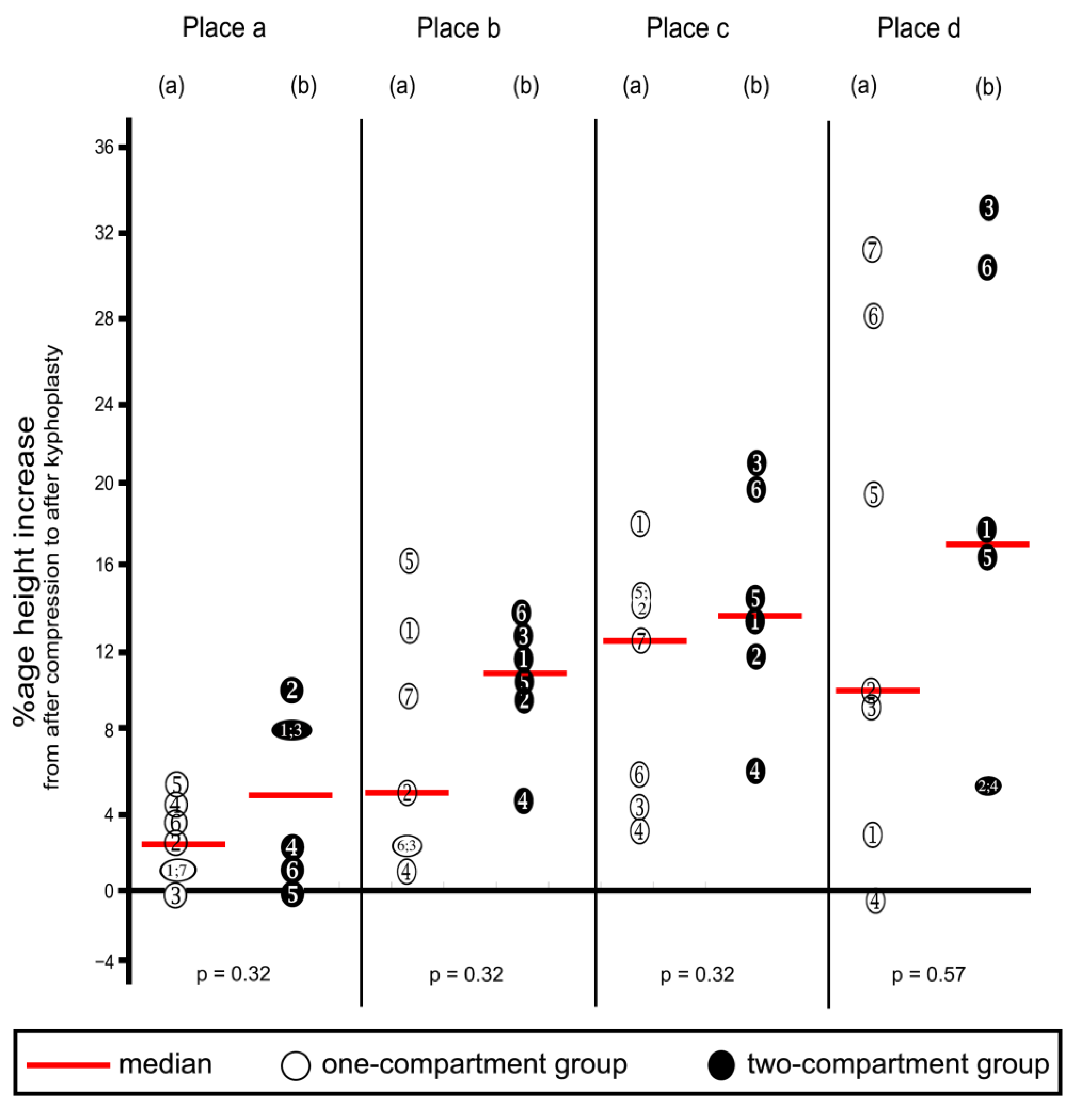
4.1. Vertebral Height Reconstruction
4.2. Vertebral Height Preservation
4.3. Volume of Cement Correlates with Risk of Adjacent Fracture
4.4. Limitations
5. Conclusions
Author Contributions
Funding
Institutional Review Board Statement
Informed Consent Statement
Data Availability Statement
Acknowledgments
Conflicts of Interest
References
- Wilke, H.-J.; Mehnert, U.; Claes, L.E.; Bierschneider, M.M.; Jaksche, H.; Boszczyk, B.M. Biomechanical evaluation of vertebroplasty and kyphoplasty with polymethyl methacrylate or calcium phosphate cement under cyclic loading. Spine 2006, 31, 2934–2941. [Google Scholar] [CrossRef] [PubMed]
- Verlaan, J.-J.; Dhert, W.J.A.; Oner, F.C. Intervertebral disc viability after burst fractures of the thoracic and lumbar spine treated with pedicle screw fixation and direct end-plate restoration. Spine J. 2013, 13, 217–221. [Google Scholar] [CrossRef] [PubMed]
- Krüger, A.; Zettl, R.; Ziring, E.; Mann, D.; Schnabel, M.; Ruchholtz, S. Kyphoplasty for the treatment of incomplete osteoporotic burst fractures. Eur. Spine J. 2010, 19, 893–900. [Google Scholar] [CrossRef] [PubMed]
- Centers for Medicare & Medicaid Services. Percutaneous Kyphoplasty for Vertebral Fractures Caused by Osteoporosis and Malignancy: Technology Assessment. 2005. Available online: https://www.cms.gov/medicare-coverage-database/view/technology-assessments.aspx?taid=25 (accessed on 26 February 2024).
- Otten, L.A.; Bornemnn, R.; Jansen, T.R.; Kabir, K.; Pennekamp, P.H.; Wirtz, D.C.; Stuwe, B.; Pflugmacher, R. Comparison of balloon kyphoplasty with the new Kiva® VCF system for the treatment of vertebral compression fractures. Pain Physician 2013, 16, E505–E512. [Google Scholar] [CrossRef] [PubMed]
- Vanni, D.; Galzio, R.; Kazakova, A.; Pantalone, A.; Grillea, G.; Bartolo, M.; Salini, V.; Magliani, V. Third-generation percutaneous vertebral augmentation systems. J. Spine Surg. 2016, 2, 13–20. [Google Scholar] [CrossRef] [PubMed]
- Sietsma, M.S.; Hosman, A.J.F.; Verdonschot, N.J.J.; Aalsma, A.M.M.; Veldhuizen, A.G. Biomechanical evaluation of the vertebral jack tool and the inflatable bone tamp for reduction of osteoporotic spine fractures. Spine 2009, 34, E640–E644. [Google Scholar] [CrossRef] [PubMed]
- Wang, D.; Zheng, S.; Liu, A.; Xu, J.; Du, X.; Wang, Y.; Wang, L. The Role of Minimally Invasive Vertebral Body Stent on Reduction of the Deflation Effect After Kyphoplasty: A Biomechanical Study. Spine 2018, 43, E341–E347. [Google Scholar] [CrossRef] [PubMed]
- Kim, J.-M.; Shin, D.A.; Byun, D.-H.; Kim, H.-S.; Kim, S.; Kim, H.-I. Effect of bone cement volume and stiffness on occurrences of adjacent vertebral fractures after vertebroplasty. J. Korean Neurosurg. Soc. 2012, 52, 435–440. [Google Scholar] [CrossRef]
- Oberkircher, L.; Struewer, J.; Bliemel, C.; Buecking, B.; Eschbach, D.-A.; Ruchholtz, S.; Krueger, A. Height restoration and preservation in osteoporotic vertebral compression fractures: A biomechanical analysis of standard balloon kyphoplasty versus radiofrequency kyphoplasty in a cadaveric model. J. Spinal Disord. Tech. 2014, 27, 283–289. [Google Scholar] [CrossRef]
- Hoffmann, J.; Preston, G.; Whaley, J.; Khalil, J.G. Vertebral Augmentation in Spine Surgery. J. Am. Acad. Orthop. Surg. 2023, 31, 477–489. [Google Scholar] [CrossRef]
- Krüger, A.; Bäumlein, M.; Knauf, T.; Pascal-Moussellard, H.; Ruchholtz, S.; Oberkircher, L. Height and volume restoration in osteoporotic vertebral compression fractures: A biomechanical comparison of standard balloon kyphoplasty versus Tektona® in a cadaveric fracture model. BMC Musculoskelet. Disord. 2021, 22, 76. [Google Scholar] [CrossRef] [PubMed]
- Marie-Hardy, L.; Mohsinaly, Y.; Pietton, R.; Stencel-Allemand, M.; Khalifé, M.; Bonaccorsi, R.; Barut, N.; Pascal-Moussellard, H. Efficiency of a novel vertebral body augmentation system (Tektona™) in non-osteoporotic spinal fractures. BMC Musculoskelet. Disord. 2022, 23, 356. [Google Scholar] [CrossRef] [PubMed]
- Holyoak, D.T.; Andreshak, T.G.; Hopkins, T.J.; Brook, A.L.; Frohbergh, M.E.; Ong, K.L. Height restoration and sustainability using bilateral vertebral augmentation systems for vertebral compression fractures: A cadaveric study. Spine J. 2022, 22, 2072–2081. [Google Scholar] [CrossRef] [PubMed]
- Liang, L.; Chen, X.; Jiang, W.; Li, X.; Chen, J.; Wu, L.; Zhu, Y. Balloon kyphoplasty or percutaneous vertebroplasty for osteoporotic vertebral compression fracture? An updated systematic review and meta-analysis. Ann. Saudi Med. 2016, 36, 165–174. [Google Scholar] [CrossRef] [PubMed]
- Joline GmbH & Co. KG. Spine Portfolio 2024: Quattroplasty™. 2024. Available online: https://www.joline.de/wp-content/uploads/2019/11/JOL755-Spine-maincat-GB-2024_WTK_LR.pdf (accessed on 22 July 2024).
- Spiegl, U.J.; Josten, C.; Devitt, B.M.; Heyde, C.-E. Incomplete burst fractures of the thoracolumbar spine: A review of literature. Eur. Spine J. 2017, 26, 3187–3198. [Google Scholar] [CrossRef] [PubMed]
- Hartensuer, R.; Gasch, A.; Gehweiler, D.; Schanz, S.; Schulze, M.; Matuszewski, L.; Langer, M.; Raschke, M.J.; Vordemvenne, T. Experimentally induced incomplete burst fractures—A novel technique for calf and human specimens. BMC Musculoskelet. Disord. 2012, 13, 45. [Google Scholar] [CrossRef]
- Vaccaro, A.R.; Oner, C.; Kepler, C.K.; Dvorak, M.; Schnake, K.; Bellabarba, C.; Reinhold, M.; Aarabi, B.; Kandziora, F.; Chapman, J.; et al. AOSpine thoracolumbar spine injury classification system: Fracture description, neurological status, and key modifiers. Spine 2013, 38, 2028–2037. [Google Scholar] [CrossRef] [PubMed]
- Wilke, H.J.; Wenger, K.; Claes, L. Testing criteria for spinal implants: Recommendations for the standardization of in vitro stability testing of spinal implants. Eur. Spine J. 1998, 7, 148–154. [Google Scholar] [CrossRef] [PubMed]
- American College of Radiology. ACR–SPR–SSR Practice Parameter for the Performance of Quantitative Computed Tomography (QCT) Bone Mineral Density. 2024. Available online: https://www.acr.org (accessed on 22 July 2024).
- Sato, K.; Kikuchi, S.; Yonezawa, T. In vivo intradiscal pressure measurement in healthy individuals and in patients with ongoing back problems. Spine 1999, 24, 2468–2474. [Google Scholar] [CrossRef]
- Wilke, H.J.; Neef, P.; Caimi, M.; Hoogland, T.; Claes, L.E. New in vivo measurements of pressures in the intervertebral disc in daily life. Spine 1999, 24, 755–762. [Google Scholar] [CrossRef]
- Belkoff, S.M.; Jasper, L.E.; Stevens, S.S. An ex vivo evaluation of an inflatable bone tamp used to reduce fractures within vertebral bodies under load. Spine 2002, 27, 1640–1643. [Google Scholar] [CrossRef] [PubMed][Green Version]
- Rotter, R.; Martin, H.; Fuerderer, S.; Gabl, M.; Roeder, C.; Heini, P.; Mittlmeier, T. Vertebral body stenting: A new method for vertebral augmentation versus kyphoplasty. Eur. Spine J. 2010, 19, 916–923. [Google Scholar] [CrossRef] [PubMed]
- Gordon, M.; Peppelman, W.C.; Beutler, W.; O’Halloran, D.; Chinthakunta, S.R.; Bucklen, B. An In Vitro Evaluation of Fracture Reduction Achieved by Inflatable Bone Tamps Under Simulated Physiological Load. Clin. Spine Surg. 2017, 30, E31–E37. [Google Scholar] [CrossRef] [PubMed]
- Rasband, W. ImageJ; U.S. National Institutes of Health: Bethesda, MD, USA, 2018; Available online: https://imagej.net/ij/ (accessed on 1 July 2024).
- McKiernan, F.; Faciszewski, T.; Jensen, R. Reporting height restoration in vertebral compression fractures. Spine 2003, 28, 2517–2521. [Google Scholar] [CrossRef] [PubMed]
- Achatz, G.; Riesner, H.-J.; Friemert, B.; Lechner, R.; Graf, N.; Wilke, H.-J. Biomechanical in vitro comparison of radiofrequency kyphoplasty and balloon kyphoplasty. Eur. Spine J. 2017, 26, 3225–3234. [Google Scholar] [CrossRef] [PubMed]
- Huber, G.; Nagel, K.; Skrzypiec, D.M.; Klein, A.; Püschel, K.; Morlock, M.M. A description of spinal fatigue strength. J. Biomech. 2016, 49, 875–880. [Google Scholar] [CrossRef] [PubMed]
- Kolb, J.P.; Weiser, L.; Kueny, R.A.; Huber, G.; Rueger, J.M.; Lehmann, W. Zementaugmentation an der Wirbelsäule : Was ist biomechanisch zu beachten? Orthopade 2015, 44, 672–680. [Google Scholar] [CrossRef] [PubMed]
- Schulte, T.L.; Keiler, A.; Riechelmann, F.; Lange, T.; Schmoelz, W. Biomechanical comparison of vertebral augmentation with silicone and PMMA cement and two filling grades. Eur. Spine J. 2013, 22, 2695–2701. [Google Scholar] [CrossRef] [PubMed]
- Disch, A.C.; Schmoelz, W. Cement augmentation in a thoracolumbar fracture model: Reduction and stability after balloon kyphoplasty versus vertebral body stenting. Spine 2014, 39, E1147–E1153. [Google Scholar] [CrossRef]
- Germaneau, A.; Vendeuvre, T.; Saget, M.; Doumalin, P.; Dupré, J.C.; Brémand, F.; Hesser, F.; Couvertier, M.; Brèque, C.; Maxy, P.; et al. A novel approach for biomechanical spine analysis: Mechanical response of vertebral bone augmentation by kyphoplasty to stabilise thoracolumbar burst fractures. J. Mech. Behav. Biomed. Mater. 2016, 59, 291–303. [Google Scholar] [CrossRef]
- Ananthakrishnan, D.; Berven, S.; Deviren, V.; Cheng, K.; Lotz, J.C.; Xu, Z.; Puttlitz, C.M. The effect on anterior column loading due to different vertebral augmentation techniques. Clin. Biomech. 2005, 20, 25–31. [Google Scholar] [CrossRef] [PubMed]
- Wong, E.K.Y.; Whyne, C.M.; Singh, D.; Ford, M. A Biomechanical Assessment of Kyphoplasty as a Stand-Alone Treatment in a Human Cadaveric Burst Fracture Model. Spine 2015, 40, E808–E813. [Google Scholar] [CrossRef] [PubMed]
- Yao, R.; Yin, P.; Zhang, Y.; Li, D.; Zhang, X.-N.; Tao, L.; Zhou, J.; Su, Q. Is there a risk of further displacement of the fractured fragment into the spinal canal in osteoporotic vertebral burst fractures after unilateral PKP? A prospective study. Spine J. 2023, 24, 1077–1086. [Google Scholar] [CrossRef] [PubMed]
- Sun, N.; Zhang, Y.; Xie, D.; Chen, Y.; Liu, Y. Enhancing percutaneous kyphoplasty efficacy in elderly osteoporotic fractures through optimal cement filling ratio. Front. Endocrinol. 2024, 15, 1359550. [Google Scholar] [CrossRef] [PubMed]
- Krüger, A.; Baroud, G.; Noriega, D.; Figiel, J.; Dorschel, C.; Ruchholtz, S.; Oberkircher, L. Height restoration and maintenance after treating unstable osteoporotic vertebral compression fractures by cement augmentation is dependent on the cement volume used. Clin. Biomech. 2013, 28, 725–730. [Google Scholar] [CrossRef] [PubMed]
- Alamin, T.; Kleimeyer, J.P.; Woodall, J.R.; Agarwal, V.; Don, A.; Lindsey, D. Improved biomechanics of two alternative kyphoplasty cementation methods limit vertebral recollapse. J. Orthop. Res. 2018, 36, 3225–3230. [Google Scholar] [CrossRef]
- Adida, S.; Taori, S.; Wong, V.R.; Tang, A.; Sefcik, R.K.; Zhang, X.; Gerszten, P.C. Analysis of injected cement volume and clinical outcomes following balloon-assisted kyphoplasty in a series of 368 patients. Clin. Neurol. Neurosurg. 2024, 243, 108367. [Google Scholar] [CrossRef] [PubMed]
- He, X.; Li, H.; Meng, Y.; Huang, Y.; Hao, D.-J.; Wu, Q.; Liu, J. Percutaneous Kyphoplasty Evaluated by Cement Volume and Distribution: An Analysis of Clinical Data. Pain Physician 2016, 19, 495–506. [Google Scholar] [PubMed]
- Röder, C.; Boszczyk, B.; Perler, G.; Aghayev, E.; Külling, F.; Maestretti, G. Cement volume is the most important modifiable predictor for pain relief in BKP: Results from SWISSspine, a nationwide registry. Eur. Spine J. 2013, 22, 2241–2248. [Google Scholar] [CrossRef]
- Ko, B.-S.; Cho, K.-J.; Park, J.-W. Early Adjacent Vertebral Fractures after Balloon Kyphoplasty for Osteoporotic Vertebral Compression Fractures. Asian Spine J. 2019, 13, 210–215. [Google Scholar] [CrossRef]
- Essibayi, M.A.; Mortezaei, A.; Azzam, A.Y.; Bangash, A.H.; Eraghi, M.M.; Fluss, R.; Brook, A.; Altschul, D.J.; Yassari, R.; Chandra, R.V.; et al. Risk of adjacent level fracture after percutaneous vertebroplasty and kyphoplasty vs natural history for the management of osteoporotic vertebral compression fractures: A network meta-analysis of randomized controlled trials. Eur. Radiol. 2024. [Google Scholar] [CrossRef] [PubMed]
- Teuber, H.; Tiziani, S.; Halvachizadeh, S.; Frey, D.; Sprengel, K.; Pape, H.-C.; Osterhoff, G. Single-level vertebral kyphoplasty is not associated with an increased risk of symptomatic secondary adjacent osteoporotic vertebral compression fractures: A matched case-control analysis. Arch. Osteoporos. 2018, 13, 82. [Google Scholar] [CrossRef]
- Yang, S.; Liu, Y.; Yang, H.; Zou, J. Risk factors and correlation of secondary adjacent vertebral compression fracture in percutaneous kyphoplasty. Int. J. Surg. 2016, 36, 138–142. [Google Scholar] [CrossRef] [PubMed]
- Yi, X.; Lu, H.; Tian, F.; Wang, Y.; Li, C.; Liu, H.; Liu, X.; Li, H. Recompression in new levels after percutaneous vertebroplasty and kyphoplasty compared with conservative treatment. Arch. Orthop. Trauma Surg. 2014, 134, 21–30. [Google Scholar] [CrossRef] [PubMed]
- Li, Y.-X.; Guo, D.-Q.; Zhang, S.-C.; Liang, D.; Yuan, K.; Mo, G.-Y.; Li, D.-X.; Guo, H.-Z.; Tang, Y.; Luo, P.-J. Risk factor analysis for re-collapse of cemented vertebrae after percutaneous vertebroplasty (PVP) or percutaneous kyphoplasty (PKP). Int. Orthop. 2018, 42, 2131–2139. [Google Scholar] [CrossRef] [PubMed]
- Berlemann, U.; Ferguson, S.J.; Nolte, L.P.; Heini, P.F. Adjacent vertebral failure after vertebroplasty. A biomechanical investigation. J. Bone Jt. Surg. Br. 2002, 84, 748–752. [Google Scholar] [CrossRef]
- Molloy, S.; Mathis, J.M.; Belkoff, S.M. The Effect of Vertebral Body Percentage Fill on Mechanical Behavior During Percutaneous Vertebroplasty. Spine 2003, 28, 1549–1554. [Google Scholar] [CrossRef]
- Liebschner, M.A.; Rosenberg, W.S.; Keaveny, T.M. Effects of bone cement volume and distribution on vertebral stiffness after vertebroplasty. Spine 2001, 26, 1547–1554. [Google Scholar] [CrossRef]
- Zhang, X.; Chen, T.; Meng, F.; Li, S.; Xu, G.; Yan, J.; Zhao, W. A finite element analysis on different bone cement forms and injection volumes injected into lumbar vertebral body in percutaneous kyphoplasty. BMC Musculoskelet. Disord. 2022, 23, 621. [Google Scholar] [CrossRef]
- Macciacchera, M.; McDonnell, J.M.; Amir, A.; Sowa, A.; Cunniffe, G.; Darwish, S.; Murphy, C.; Butler, J.S. Mechanical Vertebral Body Augmentation Versus Conventional Balloon Kyphoplasty for Osteoporotic Thoracolumbar Compression Fractures: A Systematic Review and Meta-Analysis of Outcomes. Glob. Spine J. 2024, 21925682241261988. [Google Scholar] [CrossRef]
- Fada, R.; Shahgholi, M.; Azimi, R.; Babadi, N.F. Estimation of Porosity Effect on Mechanical Properties in Calcium Phosphate Cement Reinforced by Strontium Nitrate Nanoparticles: Fabrication and FEM Analysis. Arab. J. Sci. Eng. 2024, 49, 1815–1825. [Google Scholar] [CrossRef]
- Hansson, T.H.; Keller, T.S.; Spengler, D.M. Mechanical behavior of the human lumbar spine. II. Fatigue strength during dynamic compressive loading. J. Orthop. Res. 1987, 5, 479–487. [Google Scholar] [CrossRef] [PubMed]
- Oakland, R.J.; Furtado, N.R.; Wilcox, R.K.; Timothy, J.; Hall, R.M. Preliminary biomechanical evaluation of prophylactic vertebral reinforcement adjacent to vertebroplasty under cyclic loading. Spine J. 2009, 9, 174–181. [Google Scholar] [CrossRef] [PubMed]
- Kim, M.J.; Lindsey, D.P.; Hannibal, M.; Alamin, T.F. Vertebroplasty versus kyphoplasty: Biomechanical behavior under repetitive loading conditions. Spine 2006, 31, 2079–2084. [Google Scholar] [CrossRef] [PubMed]











| Place * in Vertebra L1 | a | b | c | d | |||||
|---|---|---|---|---|---|---|---|---|---|
| Height (mm) | Height (mm) | Height (mm) | Height (mm) | ||||||
| Before | After | Before | After | Before | After | Before | After | ||
| Group | Specimen | compression | compression | compression | compression | ||||
| one compartment | 1 | 23.84 | 24.47 † | 24.87 | 19.31 | 24.36 | 17.63 | 20.68 | 21.25 † |
| 2 | 26.91 | 26.49 | 24.85 | 22.28 | 24.26 | 20.57 | 22.07 | 19.99 | |
| 3 | 28.12 | 27.22 | 27.21 | 21.86 | 26.52 | 20.95 | 24.26 | 18.70 | |
| 4 | 28.32 | 26.03 | 25.62 | 22.92 | 25.31 | 22.43 | 27.52 | 27.02 | |
| 5 | 28.84 | 27.12 | 22.97 | 19.86 | 21.80 | 18.31 | 22.47 | 18.80 | |
| 6 | 28.97 | 23.88 | 27.41 | 20.01 | 26.28 | 18.47 | 27.02 | 18.26 | |
| 7 | 29.10 | 27.06 | 27.22 | 21.17 | 27.23 | 20.90 | 26.80 | 19.86 | |
| two compartment | 1 | 27.91 | 23.24 | 24.19 | 18.52 | 24.82 | 18.56 | 26.11 | 19.06 |
| 2 | 28.31 | 24.87 | 27.44 | 22.11 | 26.98 | 21.97 | 25.77 | 21.94 | |
| 3 | 28.37 | 24.83 | 27.09 | 20.60 | 26.26 | 19.13 | 27.77 | 16.94 | |
| 4 | 28.63 | 26.59 | 26.50 | 22.37 | 25.72 | 21.45 | 25.10 | 19.81 | |
| 5 | 28.84 | 26.07 | 26.95 | 19.03 | 26.26 | 17.29 | 26.44 | 16.48 | |
| 6 | 30.29 | 28.34 | 26.93 | 22.00 | 25.86 | 19.92 | 28.42 | 19.64 | |
| Comparison between before and after compression by using Mann–Whitney U-Test | p = 0.86 | p = 0.32 | p = 0.39 | p = 0.86 | |||||
| Place * in Vertebra L1 | a | b | c | d | |||||
|---|---|---|---|---|---|---|---|---|---|
| Height (mm) | Height (mm) | Height (mm) | Height (mm) | ||||||
| Before | After | Before | After | Before | After | Before | After | ||
| Group | Specimen | kyphoplasty | kyphoplasty | kyphoplasty | kyphoplasty | ||||
| One compartment | 1 | 24.47 | 24.76 | 19.31 | 21.88 | 17.63 | 20.87 | 21.25 | 21.91 |
| 2 | 26.49 | 27.36 | 22.28 | 23.49 | 20.57 | 23.45 | 19.99 | 21.99 | |
| 3 | 27.22 | 27.12 ‡ | 21.86 | 22.30 | 20.95 | 21.91 | 18.70 | 20.39 | |
| 4 | 26.03 | 27.22 | 22.92 | 23.25 | 22.43 | 23.19 | 27.02 | 26.81 ‡ | |
| 5 | 27.12 | 28.64 | 19.86 | 23.14 | 18.31 | 20.97 | 18.80 | 22.47 | |
| 6 | 23.88 | 24.75 | 20.01 | 20.49 | 18.47 | 19.71 | 18.26 | 23.53 | |
| 7 | 27.06 | 27.54 | 21.17 | 23.37 | 20.90 | 23.50 | 19.86 | 26.02 | |
| Two compartment | 1 | 23.24 | 25.26 | 18.52 | 20.71 | 18.56 | 21.11 | 19.06 | 22.45 |
| 2 | 24.87 | 27.58 | 22.11 | 24.32 | 21.97 | 24.44 | 21.94 | 23.24 | |
| 3 | 24.83 | 26.80 | 20.60 | 23.17 | 19.13 | 23.20 | 16.94 | 22.59 | |
| 4 | 26.59 | 27.19 | 22.37 | 23.49 | 21.45 | 22.78 | 19.81 | 20.96 | |
| 5 | 26.07 | 26.00 ‡ | 19.03 | 21.18 | 17.29 | 19.72 | 16.48 | 19.21 | |
| 6 | 28.34 | 28.86 | 22.00 | 25.13 | 19.92 | 23.83 | 19.64 | 25.70 | |
| Comparison between before and after compression by using Mann–Whitney U-Test | p = 0.317 | p = 0.317 | p = 0.317 | p = 0.568 | |||||
Disclaimer/Publisher’s Note: The statements, opinions and data contained in all publications are solely those of the individual author(s) and contributor(s) and not of MDPI and/or the editor(s). MDPI and/or the editor(s) disclaim responsibility for any injury to people or property resulting from any ideas, methods, instructions or products referred to in the content. |
© 2024 by the authors. Licensee MDPI, Basel, Switzerland. This article is an open access article distributed under the terms and conditions of the Creative Commons Attribution (CC BY) license (https://creativecommons.org/licenses/by/4.0/).
Share and Cite
Riesenbeck, O.; Czarnowski, N.; Raschke, M.J.; Oeckenpöhler, S.; Hartensuer, R. Biomechanical Comparisons between One- and Two-Compartment Devices for Reconstructing Vertebrae by Kyphoplasty. Bioengineering 2024, 11, 795. https://doi.org/10.3390/bioengineering11080795
Riesenbeck O, Czarnowski N, Raschke MJ, Oeckenpöhler S, Hartensuer R. Biomechanical Comparisons between One- and Two-Compartment Devices for Reconstructing Vertebrae by Kyphoplasty. Bioengineering. 2024; 11(8):795. https://doi.org/10.3390/bioengineering11080795
Chicago/Turabian StyleRiesenbeck, Oliver, Niklas Czarnowski, Michael Johannes Raschke, Simon Oeckenpöhler, and René Hartensuer. 2024. "Biomechanical Comparisons between One- and Two-Compartment Devices for Reconstructing Vertebrae by Kyphoplasty" Bioengineering 11, no. 8: 795. https://doi.org/10.3390/bioengineering11080795
APA StyleRiesenbeck, O., Czarnowski, N., Raschke, M. J., Oeckenpöhler, S., & Hartensuer, R. (2024). Biomechanical Comparisons between One- and Two-Compartment Devices for Reconstructing Vertebrae by Kyphoplasty. Bioengineering, 11(8), 795. https://doi.org/10.3390/bioengineering11080795

