Post-Stroke Functional Changes: In-Depth Analysis of Clinical Tests and Motor-Cognitive Dual-Tasking Using Wearable Sensors
Abstract
1. Introduction
2. Materials and Methods
2.1. Participants
2.2. Study Approach
2.2.1. Procedural Details of Clinical Assessments
2.2.2. Experimental Design and Independent Factors
2.3. Signal Processing and Feature Extraction
2.3.1. TUG Test
2.3.2. STS Test
2.3.3. 10MWT
2.4. Statistical Analysis
3. Results
4. Discussion
5. Conclusions
Author Contributions
Funding
Institutional Review Board Statement
Informed Consent Statement
Data Availability Statement
Conflicts of Interest
References
- Tsao, C.W.; Aday, A.W.; Almarzooq, Z.I.; Anderson, C.A.; Arora, P.; Avery, C.L.; Baker-Smith, C.M.; Beaton, A.Z.; Boehme, A.K.; Buxton, A.E.; et al. Heart disease and stroke statistics—2023 update: A report from the American Heart Association. Circulation 2023, 147, e93–e621. [Google Scholar] [PubMed]
- Yang, Q.; Tong, X.; Schieb, L.; Vaughan, A.; Gillespie, C.; Wiltz, J.L.; King, S.C.; Odom, E.; Merritt, R.; Hong, Y.; et al. Vital signs: Recent trends in stroke death rates—United States, 2000–2015. Morb. Mortal. Wkly. Rep. 2017, 66, 933. [Google Scholar] [CrossRef] [PubMed]
- Walsh, M.E.; Horgan, N.F.; Walsh, C.D.; Galvin, R. Systematic review of risk prediction models for falls after stroke. J. Epidemiol. Community Health 2016, 70, 513–519. [Google Scholar] [CrossRef]
- Nowak, D.A. The impact of stroke on the performance of grasping: Usefulness of kinetic and kinematic motion analysis. Neurosci. Biobehav. Rev. 2008, 32, 1439–1450. [Google Scholar] [CrossRef]
- Abdollahi, M.; Whitton, N.; Zand, R.; Dombovy, M.; Parnianpour, M.; Khalaf, K.; Rashedi, E. A Systematic Review of Fall Risk Factors in Stroke Survivors: Towards Improved Assessment Platforms and Protocols. Front. Bioeng. Biotechnol. 2022, 10, 910698. [Google Scholar] [CrossRef] [PubMed]
- Abdollahi, M.; Kuber, P.M.; Hoang, C.; Shiraishi, M.; Soangra, R.; Rashedi, E. Kinematic Assessment of Turning and Walking Tasks Among Stroke Survivors by Employing Wearable Sensors and Pressure Platform. In Proceedings of the 2021 43rd Annual International Conference of the IEEE Engineering in Medicine & Biology Society (EMBC), Mexico, NA, USA, 1–5 November 2021; pp. 6635–6638. [Google Scholar]
- Bonnyaud, C.; Pradon, D.; Vaugier, I.; Vuillerme, N.; Bensmail, D.; Roche, N. Timed Up and Go test: Comparison of kinematics between patients with chronic stroke and healthy subjects. Gait Posture 2016, 49, 258–263. [Google Scholar] [CrossRef] [PubMed]
- Dennis, A.; Dawes, H.; Elsworth, C.; Collett, J.; Howells, K.; Wade, D.T.; Izadi, H.; Cockburn, J. Fast walking under cognitive-motor interference conditions in chronic stroke. Brain Res. 2009, 1287, 104–110. [Google Scholar] [CrossRef] [PubMed]
- Plummer, P.; Zukowski, L.A.; Feld, J.A.; Najafi, B. Cognitive-motor dual-task gait training within 3 years after stroke: A randomized controlled trial. Physiother. Theory Pract. 2022, 38, 1329–1344. [Google Scholar] [CrossRef] [PubMed]
- Cramer, S.C.; Wolf, S.L.; Adams, H.P.; Chen, D.; Dromerick, A.W.; Dunning, K.; Ellerbe, C.; Grande, A.; Janis, S.; Lansberg, M.G.; et al. Stroke Recovery and Rehabilitation Research: Issues, Opportunities, and the National Institutes of Health StrokeNet. Stroke 2017, 48, 813–819. [Google Scholar] [CrossRef] [PubMed]
- Chan, P.P.; Tou, J.I.S.; Tse, M.M.; Ng, S.S. Reliability and Validity of the Timed Up and Go Test With a Motor Task in People With Chronic Stroke. Arch. Phys. Med. Rehabil. 2017, 98, 2213–2220. [Google Scholar] [CrossRef] [PubMed]
- Kim, G.Y.; Han, M.R.; Lee, H.G. Effect of dual-task rehabilitative training on cognitive and motor function of stroke patients. J. Phys. Ther. Sci. 2014, 26, 1–6. [Google Scholar] [CrossRef] [PubMed]
- Persson, C.U.; Danielsson, A.; Sunnerhagen, K.S.; Grimby-Ekman, A.; Hansson, P.-O. Timed Up & Go as a measure for longitudinal change in mobility after stroke—Postural Stroke Study in Gothenburg (POSTGOT). J. NeuroEng. Rehabil. 2014, 11, 83. [Google Scholar]
- Sibley, K.M.; Straus, S.E.; Inness, E.L.; Salbach, N.M.; Jaglal, S.B. Balance assessment practices and use of standardized balance measures among Ontario physical therapists. Phys. Ther. 2011, 91, 1583–1591. [Google Scholar] [CrossRef] [PubMed]
- Plummer-D’amato, P.; Altmann, L.J.; Saracino, D.; Fox, E.; Behrman, A.L.; Marsiske, M. Interactions between cognitive tasks and gait after stroke: A dual task study. Gait Posture 2008, 27, 683–688. [Google Scholar] [CrossRef] [PubMed]
- Muir-Hunter, S.; Wittwer, J. Dual-task testing to predict falls in community-dwelling older adults: A systematic review. Physiotherapy 2016, 102, 29–40. [Google Scholar] [CrossRef] [PubMed]
- Mori, T.; Takeuchi, N.; Izumi, S.-I. Prefrontal cortex activation during a dual task in patients with stroke. Gait Posture 2018, 59, 193–198. [Google Scholar] [CrossRef]
- Subramaniam, S.; Hui-Chan, C.W.-Y.; Bhatt, T. Effect of dual tasking on intentional vs. reactive balance control in people with hemiparetic stroke. J. Neurophysiol. 2014, 112, 1152–1158. [Google Scholar] [CrossRef]
- Hwang, W.J.; Cho, M.K.; Chung, Y. Relationship between anticipatory postural adjustment of the trunk, dual tasks and physical performance with chronic stroke survivors: A pilot test. Phys. Ther. Rehabil. Sci. 2015, 4, 44–48. [Google Scholar] [CrossRef]
- Sasaki, A.C.; Pinto, E.B.; de Matos Sousa, M.C.; Monteiro, M.; Oliveira-Filho, J.; Júnior, A.D. Dual Task Performance Between Adults and Elderly Post Stroke Patients. Braz. J. Med. Hum. Health 2010, 24, 783–790. [Google Scholar] [CrossRef][Green Version]
- Yang, L.; Lam, F.M.H.; Liao, L.R.; Huang, M.Z.; He, C.Q.; Pang, M.Y.C. Psychometric properties of dual-task balance and walking assessments for individuals with neurological conditions: A systematic review. Gait Posture 2017, 52, 110–123. [Google Scholar] [CrossRef]
- Zhou, Q.; Yang, H.; Zhou, Q.; Pan, H. Effects of cognitive motor dual-task training on stroke patients: A RCT-based meta-analysis. J. Clin. Neurosci. 2021, 92, 175–182. [Google Scholar] [CrossRef] [PubMed]
- Patterson, K.K.; Gage, W.H.; Brooks, D.; Black, S.E.; McIlroy, W.E. Changes in gait symmetry and velocity after stroke: A cross-sectional study from weeks to years after stroke. Neurorehabilit. Neural Repair 2010, 24, 783–790. [Google Scholar] [CrossRef] [PubMed]
- Bae, J.; Kong, K.; Byl, N.; Tomizuka, M. A mobile gait monitoring system for abnormal gait diagnosis and rehabilitation: A pilot study for Parkinson disease patients. J. Biomech. Eng. 2011, 133, 041005. [Google Scholar] [CrossRef] [PubMed]
- Choi, W.; Lee, G.; Lee, S. Effect of the cognitive-motor dual-task using auditory cue on balance of surviviors with chronic stroke: A pilot study. Clin. Rehabil. 2015, 29, 763–770. [Google Scholar] [CrossRef] [PubMed]
- Deblock-Bellamy, A.; Lamontagne, A.; McFadyen, B.J.; Ouellet, M.C.; Blanchette, A.K. Dual-Task Abilities During Activities Representative of Daily Life in Community-Dwelling Stroke Survivors: A Pilot Study. Front. Neurol. 2022, 13, 855226. [Google Scholar] [CrossRef] [PubMed]
- Baek, C.Y.; Yoon, H.S.; Kim, H.D.; Kang, K.Y. The effect of the degree of dual-task interference on gait, dual-task cost, cognitive ability, balance, and fall efficacy in people with stroke: A cross-sectional study. Medicine 2021, 100, e26275. [Google Scholar] [CrossRef] [PubMed]
- Denneman, R.P.M.; Kal, E.C.; Houdijk, H.; van der Kamp, J. Over-focused? The relation between patients’ inclination for conscious control and single- and dual-task motor performance after stroke. Gait Posture 2018, 62, 206–213. [Google Scholar] [CrossRef] [PubMed]
- Pumpho, A.; Chaikeeree, N.; Saengsirisuwan, V.; Boonsinsukh, R. Selection of the Better Dual-Timed Up and Go Cognitive Task to Be Used in Patients With Stroke Characterized by Subtraction Operation Difficulties. Front. Neurol. 2020, 11, 499761. [Google Scholar] [CrossRef] [PubMed]
- Rice, J.; Corp, D.T.; Swarowsky, A.; Cahalin, L.P.; Cabral, D.F.; Nunez, C.; Koch, S.; Rundek, T.M.; Gomes-Osman, J. Greater Cognitive-Motor Interference in Individuals Post-Stroke during More Complex Motor Tasks. J. Neurol. Phys. Ther. 2022, 46, 26–33. [Google Scholar] [CrossRef] [PubMed]
- Tang, P.F.; Yang, H.J.; Peng, Y.C.; Chen, H.Y. Motor dual-task Timed Up & Go test better identifies prefrailty individuals than single-task Timed Up & Go test. Geriatr. Gerontol. Int. 2015, 15, 204–210. [Google Scholar] [CrossRef] [PubMed]
- Tasseel-Ponche, S.; Roussel, M.; Toba, M.N.; Sader, T.; Barbier, V.; Delafontaine, A.; Meynier, J.; Picard, C.; Constans, J.-M.; Schnitzler, A.; et al. Dual-task versus single-task gait rehabilitation after stroke: The protocol of the cognitive-motor synergy multicenter, randomized, controlled superiority trial (SYNCOMOT). Trials 2023, 24, 172. [Google Scholar] [CrossRef] [PubMed]
- Yang, L.; He, C.; Pang, M.Y.C. Reliability and validity of dual-task mobility assessments in people with chronic stroke. PLoS ONE 2016, 11, e0147833. [Google Scholar] [CrossRef] [PubMed]
- Bowen, A.; Wenman, R.; Mickelborough, J.; Foster, J.; Hill, E.; Tallis, R. Dual-task effects of talking while walking on velocity and balance following a stroke. Age Ageing 2001, 30, 319–323. [Google Scholar] [CrossRef] [PubMed]
- Hollands, K.L.; Agnihotri, D.; Tyson, S.F. Effects of dual task on turning ability in stroke survivors and older adults. Gait Posture 2014, 40, 564–569. [Google Scholar] [CrossRef] [PubMed]
- Plummer-D’Amato, P.; Altmann, L.J.; Behrman, A.L.; Marsiske, M. Interference between cognition, double-limb support, and swing during gait in community-dwelling individuals poststroke. Neurorehabilit. Neural Repair 2010, 24, 542–549. [Google Scholar] [CrossRef] [PubMed]
- Bower, K.; Thilarajah, S.; Pua, Y.-H.; Williams, G.; Tan, D.; Mentiplay, B.; Denehy, L.; Clark, R. Dynamic balance and instrumented gait variables are independent predictors of falls following stroke. J. NeuroEng. Rehabil. 2019, 16, 3. [Google Scholar] [CrossRef] [PubMed]
- Abdollahi, M.; Kuber, P.M.; Shiraishi, M.; Soangra, R.; Rashedi, E. Kinematic Analysis of 360◦ Turning in Stroke Survivors Using Wearable Motion Sensors. Sensors 2022, 22, 385. [Google Scholar] [CrossRef] [PubMed]
- Mao, Y.R.; Wu, X.Q.; Zhao, J.L.; Lo, W.L.A.; Chen, L.; Ding, M.H.; Xu, Z.Q.; Bian, R.H.; Huang, D.F.; Li, L. The crucial changes of sit-to-stand phases in subacute stroke survivors identified by movement decomposition analysis. Front. Neurol. 2018, 9, 185. [Google Scholar] [CrossRef] [PubMed]
- Kirkland, M.C.; Wallack, E.M.; Rancourt, S.N.; Ploughman, M. Comparing three dual-task methods and the relationship to physical and cognitive impairment in people with multiple sclerosis and controls. Mult. Scler. Int. 2015, 2015, 650645. [Google Scholar] [CrossRef] [PubMed]
- Petrillo, K.; Javed, B.; Toosizadeh, N. Association between dual-task function and neuropsychological testing in older adults with cognitive impairment. Exp. Gerontol. 2023, 178, 112223. [Google Scholar] [CrossRef] [PubMed]
- Muir, S.W.; Speechley, M.; Wells, J.; Borrie, M.; Gopaul, K.; Montero-Odasso, M. Gait assessment in mild cognitive impairment and Alzheimer’s disease: The effect of dual-task challenges across the cognitive spectrum. Gait Posture 2012, 35, 96–100. [Google Scholar] [CrossRef]
- Fok, P.; Farrell, M.; McMeeken, J. Prioritizing gait in dual-task conditions in people with Parkinson’s. Hum. Mov. Sci. 2010, 29, 831–842. [Google Scholar] [CrossRef] [PubMed]
- Karvekar, S.; Abdollahi, M.; Rashedi, E. Smartphone-based human fatigue level detection using machine learning approaches. Ergonomics 2021, 64, 600–612. [Google Scholar] [CrossRef] [PubMed]
- Karvekar, S.; Abdollahi, M.; Rashedi, E. A Data-Driven Model to Identify Fatigue Level Based on the Motion Data from a Smartphone. bioRxiv 2019, 796854. [Google Scholar] [CrossRef]
- Lee, J.B.; Mellifont, R.B.; Burkett, B.J. The use of a single inertial sensor to identify stride, step, and stance durations of running gait. J. Sci. Med. Sport 2010, 13, 270–273. [Google Scholar] [CrossRef] [PubMed]
- Benson, L.C.; Clermont, C.A.; Watari, R.; Exley, T.; Ferber, R. Automated accelerometer-based gait event detection during multiple running conditions. Sensors 2019, 19, 1483. [Google Scholar] [CrossRef] [PubMed]
- Cohen, J. Statistical Power Analysis for the Behavioral Sciences; Academic Press: Cambridge, MA, USA, 2013. [Google Scholar]
- Abdollahi, M.; Kuber, P.M.; Pierce, M.; Cristales, K.; Dombovy, M.; LaLonde, J.; Rashedi, E. Motor-Cognitive Dual-Task Paradigm Affects Timed Up & Go (TUG) Test Outcomes in Stroke Survivors. In Proceedings of the 2023 11th International IEEE/EMBS Conference on Neural Engineering (NER), Baltimore, MD, USA, 24–27 April 2023; pp. 1–4. [Google Scholar]
- Cho, K.; Lee, G. Impaired dynamic balance is associated with falling in post-stroke patients. Tohoku J. Exp. Med. 2013, 230, 233–239. [Google Scholar] [CrossRef] [PubMed]
- An, H.-J.; Kim, J.-I.; Kim, Y.-R.; Lee, K.-B.; Kim, D.-J.; Yoo, K.-T.; Choi, J.-H. The effect of various dual task training methods with gait on the balance and gait of patients with chronic stroke. J. Phys. Ther. Sci. 2014, 26, 1287–1291. [Google Scholar] [CrossRef] [PubMed]
- Haggard, P.; Cockburn, J.; Cock, J.; Fordham, C.; Wade, D. Interference between gait and cognitive tasks in a rehabilitating neurological population. J. Neurol. Neurosurg. Psychiatry 2000, 69, 479–486. [Google Scholar] [CrossRef] [PubMed]
- Hyndman, D.; Ashburn, A.; Yardley, L.; Stack, E. Interference between balance, gait and cognitive task performance among people with stroke living in the community. Disabil. Rehabil. 2006, 28, 849–856. [Google Scholar] [CrossRef]
- Heinzel, S.; Maechtel, M.; Hasmann, S.E.; Hobert, M.A.; Heger, T.; Berg, D.; Maetzler, W. Motor dual-tasking deficits predict falls in Parkinson’s disease: A prospective study. Park. Relat. Disord. 2016, 26, 73–77. [Google Scholar] [CrossRef] [PubMed]
- Abdollahi, M.; Rashedi, E.; Jahangiri, S.; Kuber, P.M.; Azadeh-Fard, N.; Dombovy, M. Fall Risk Assessment in Stroke Survivors: A Machine Learning Model Using Detailed Motion Data from Common Clinical Tests and Motor-Cognitive Dual-Tasking. Sensors 2024, 24, 812. [Google Scholar] [CrossRef] [PubMed]
- Jahangiri, S.; Abdollahi, M.; Patil, R.; Rashedi, E.; Azadeh-Fard, N. An inpatient fall risk assessment tool: Application of machine learning models on intrinsic and extrinsic risk factors. Mach. Learn. Appl. 2024, 15, 100519. [Google Scholar] [CrossRef]




| Parameters | Stroke (N = 21) | Control (N = 20) | p-Value (t-Test) |
|---|---|---|---|
| Gender | 11 males 10 females | 8 males 12 females | - |
| Age (year) | 66 (10) | 60 (8) | 0.053 |
| Height (cm) | 173.8 (8.4) | 172.6 (9.6) | 0.669 |
| Weight (kg) | 86.3 (14.7) | 81.8 (18.2) | 0.39 |
| BMI (kg/s2) | 28.5 (4) | 27.2 (3.9) | 0.288 |
| Measures | Group | η2 | CL | η2 | Group × CL | η2 |
|---|---|---|---|---|---|---|
| TUG Test | ||||||
| Total time (s) | <0.001 | 0.244 (L) | <0.001 | 0.085 (M) | 0.124 | 0.004 (S) |
| Sit-to-stand (s) | 0.036 | 0.079 (M) | 0.056 | 0.023 (S) | 0.542 | 0.002 (S) |
| Walk toward cone (s) | 0.003 | 0.166 (L) | <0.001 | 0.059 (S) | 0.396 | 0.003 (S) |
| Turn around the cone (s) | 0.035 | 0.069 (M) | 0.005 | 0.068 (M) | 0.116 | 0.020 (S) |
| Walk toward chair (s) | 0.006 | 0.152 (L) | <0.001 | 0.067 (M) | 0.140 | 0.007 (S) |
| Turn and sit (s) | 0.001 | 0.206 (L) | 0.008 | 0.033 (S) | 0.835 | <0.001 (S) |
| Steps toward cone | 0.002 | 0.202 (L) | 0.113 | 0.005 (S) | 0.371 | 0.001 (S) |
| Steps toward chair | 0.005 | 0.170 (L) | 0.022 | 0.018 (S) | 0.440 | 0.001 (S) |
| Cadence toward cone (step/min) | 0.916 | 0.001 (S) | <0.001 | 0.107 (L) | 0.592 | <0.001 (S) |
| Cadence toward chair (step/min) | 0.434 | 0.014 (S) | 0.002 | 0.058 (S) | 0.405 | 0.005 (S) |
| STS (×5) Test | ||||||
| Total time (s) | 0.289 | 0.019 (S) | 0.150 | 0.002 (S) | 0.215 | 0.008 (S) |
| Mean STS (s) | 0.289 | 0.019 (S) | 0.150 | 0.002 (S) | 0.215 | 0.008 (S) |
| Mean STS up (s) | 0.166 | 0.038 (S) | 0.353 | 0.001 (S) | 0.288 | 0.005 (S) |
| Mean STS down (s) | 0.481 | 0.006 (S) | 0.061 | 0.002 (S) | 0.199 | 0.009 (S) |
| RMS of ang vel thorax (deg/s) | 0.003 | 0.187 (L) | 0.390 | <0.001 (S) | 0.464 | 0.001 (S) |
| RMS of ang vel pelvis (deg/s) | 0.182 | 0.037 (S) | 0.285 | 0.001 (S) | 0.143 | 0.005 (S) |
| RMS of ang vel right thigh (deg/s) | 0.569 | 0.004 (S) | 0.026 | 0.004 (S) | 0.204 | 0.005 (S) |
| RMS of ang vel left thigh (deg/s) | 0.391 | 0.013 (S) | 0.032 | 0.004 (S) | 0.261 | 0.005 (S) |
| 10MWT | ||||||
| Walk time (s) | 0.010 | 0.135 (M) | <0.001 | 0.064 (M) | 0.257 | 0.005 (S) |
| Steps | 0.019 | 0.124 (M) | <0.001 | 0.029 (S) | 0.504 | <0.001 (S) |
| Cadence (step/min) | 0.184 | 0.036 (S) | <0.001 | 0.070 (M) | 0.152 | 0.007 (S) |
| Mean swing total (%) | 0.133 | 0.050 (S) | <0.001 | 0.037 (S) | 0.076 | 0.007 (S) |
| Single support (%) | 0.781 | 0.001 (S) | 0.044 | 0.025 (S) | 0.178 | 0.008 (S) |
| Gait speed (m/s) | 0.012 | 0.124 (M) | <0.001 | 0.079 (M) | 0.528 | 0.001 (S) |
| Stride duration (s) | 0.111 | 0.050 (S) | <0.001 | 0.067 (M) | 0.113 | 0.010 (S) |
| Measures | Control (N = 20) | Stroke (N = 21) | Group (Control ST vs. Stroke ST) | CL (Control DT vs. Stroke DT) | ||
|---|---|---|---|---|---|---|
| Control ST | Control DT | Stroke ST | Stroke DT | |||
| TUG Test | ||||||
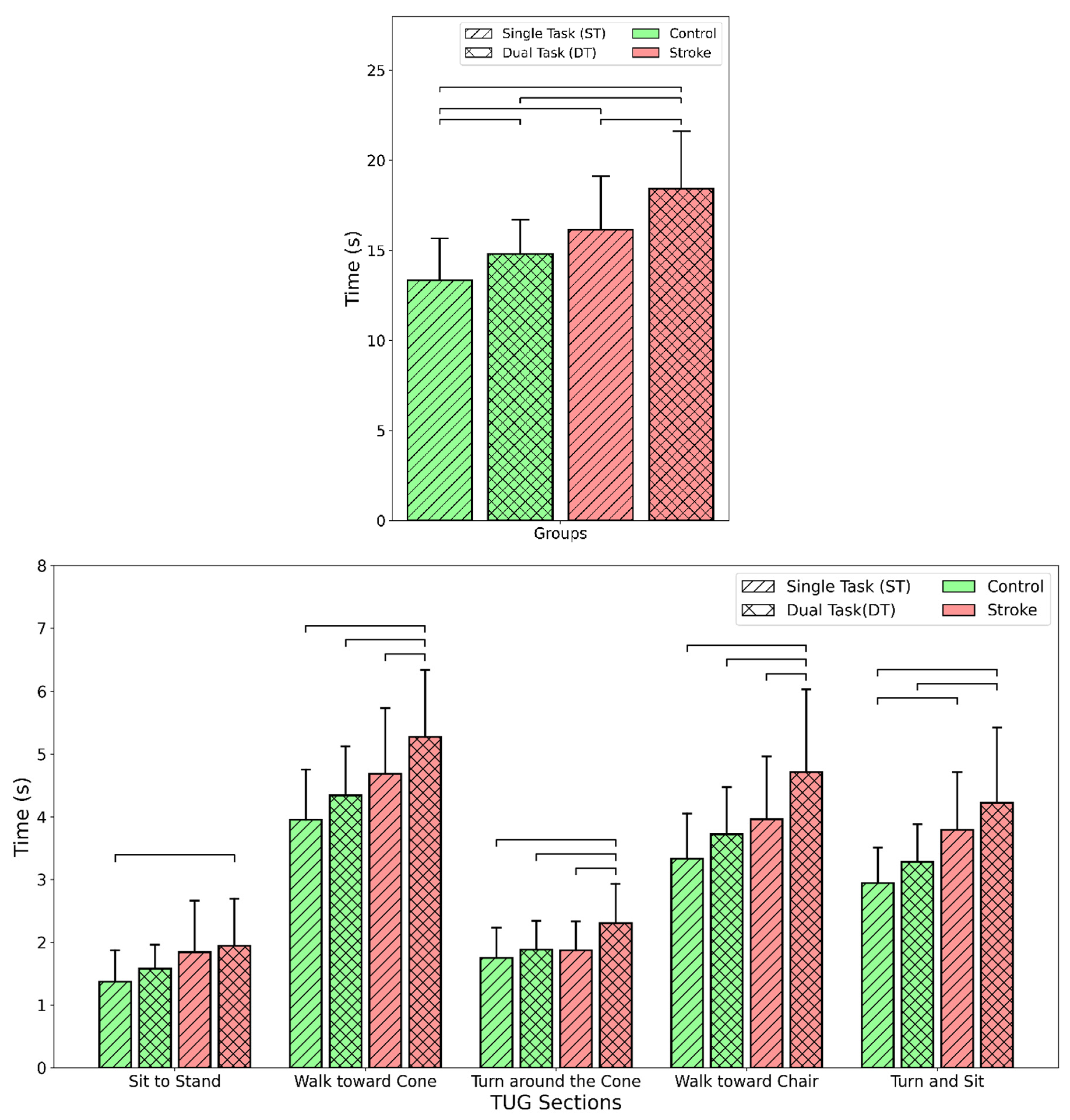
| Time total (s) | 13.34 (2.34) | 14.8 (1.91) | 16.15 (2.97) | 18.44 (3.17) | *** | *** |
| Sit-to-stand (s) | 1.37 (0.5) | 1.58 (0.38) | 1.84 (0.82) | 1.94 (0.75) | * | - |
| Walk toward cone (s) | 3.95 (0.8) | 4.34 (0.78) | 4.68 (1.05) | 5.27 (1.07) | ** | *** |
| Turn around the cone (s) | 1.75 (0.48) | 1.88 (0.46) | 1.87 (0.46) | 2.3 (0.63) | * | ** |
| Walk toward chair (s) | 3.33 (0.72) | 3.72 (0.75) | 3.96 (1) | 4.71 (1.32) | ** | *** |
| Turn and sit (s) | 2.94 (0.57) | 3.28 (0.6) | 3.79 (0.92) | 4.22 (1.2) | ** | ** |
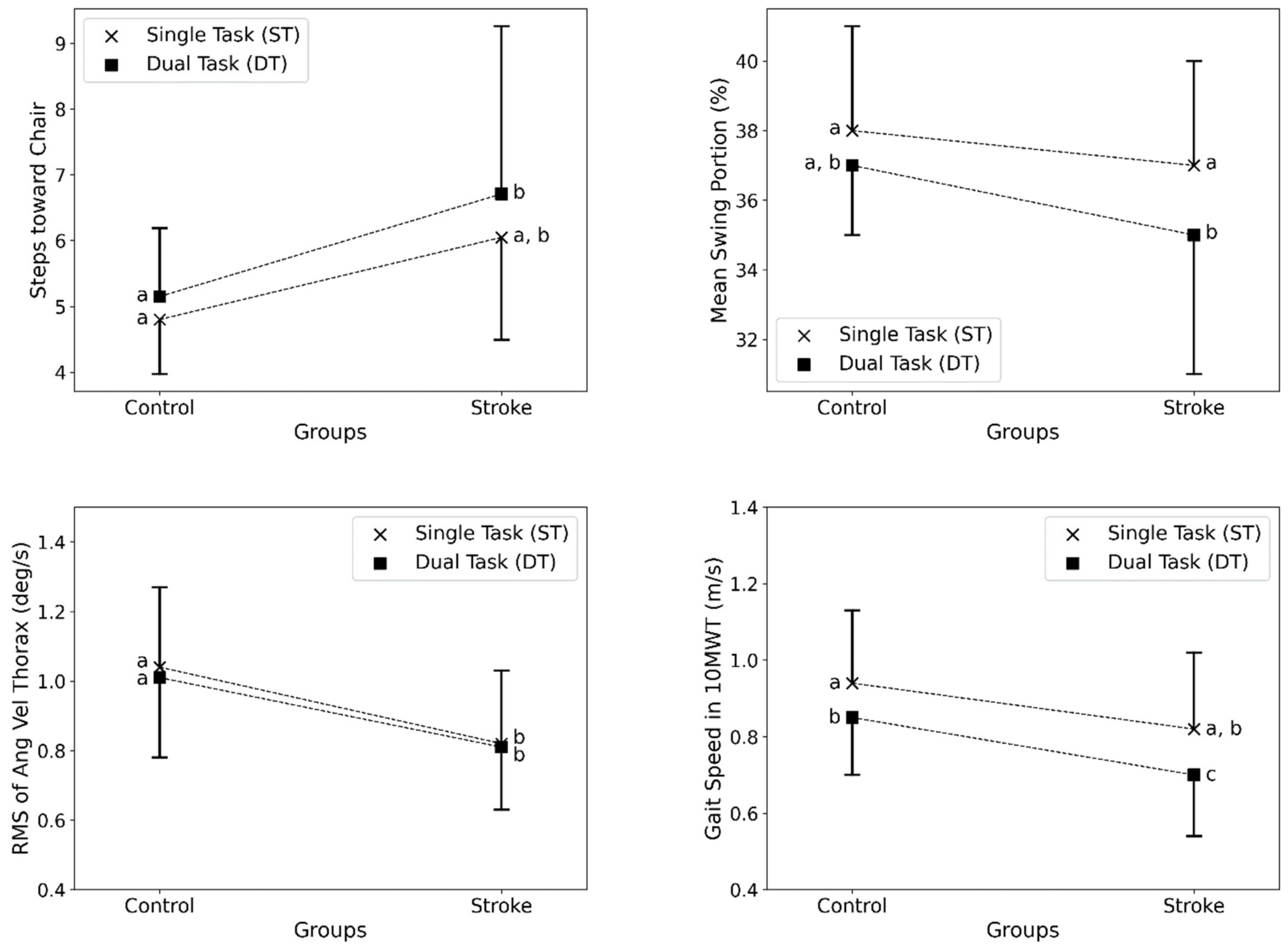
| Steps toward cone | 6.05 (1) | 6.15 (1.04) | 7.19 (1.54) | 7.57 (1.54) | ** | - |
| Steps toward chair | 4.8 (0.83) | 5.15 (1.04) | 6.05 (1.56) | 6.71 (2.55) | ** | * |
| Cadence toward cone (step/min) | 93.21 (12.11) | 85.43 (7.61) | 92.78 (9.97) | 87.47 (14.44) | - | *** |
| Cadence toward chair (step/min) | 88.08 (12.77) | 83.69 (10.61) | 92.21 (11.17) | 85.19 (15.83) | - | ** |
| STS (×5) Test | ||||||
| Time total (s) | 17.81 (3.23) | 19.06 (4.25) | 20.04 (6.59) | 20.6 (6.83) | - | - |
| Mean STS (s) | 3.56 (0.65) | 3.81 (0.85) | 4.01 (1.32) | 4.12 (1.37) | - | - |
| Mean STS up (s) | 1.75 (0.32) | 1.85 (0.42) | 2.01 (0.65) | 2.06 (0.63) | - | - |
| Mean STS down (s) | 1.81 (0.35) | 1.96 (0.45) | 2 (0.75) | 2.06 (0.79) | - | - |
| RMS of ang vel thorax (deg/s) | 1.04 (0.23) | 1.01 (0.23) | 0.82 (0.21) | 0.81 (0.18) | ** | - |
| RMS of ang vel pelvis (deg/s) | 0.91 (0.26) | 0.86 (0.23) | 0.78 (0.28) | 0.78 (0.25) | - | - |
| RMS of ang vel right thigh (deg/s) | 1.03 (0.21) | 0.97 (0.21) | 0.97 (0.24) | 0.95 (0.21) | - | * |
| RMS of ang vel left thigh (deg/s) | 1.03 (0.21) | 0.98 (0.21) | 0.96 (0.23) | 0.93 (0.2) | - | * |
| 10MWT | ||||||
| Walk time (s) | 10.98 (2.12) | 12.18 (2.36) | 12.94 (3.41) | 15.1 (3.81) | ** | *** |
| Steps | 17.7 (2.3) | 18.8 (2.63) | 20.14 (4.04) | 21.57 (4.42) | * | *** |
| Cadence (step/min) | 98.05 (8.87) | 93.83 (9.1) | 95.58 (13.23) | 87.5 (12.81) | - | *** |
| Mean swing total (%) | 0.38 (0.03) | 0.37 (0.02) | 0.37 (0.03) | 0.35 (0.04) | - | *** |
| Single support (%) | 0.6 (0.06) | 0.6 (0.04) | 0.61 (0.04) | 0.58 (0.06) | - | * |
| Gait speed (m/s) | 0.94 (0.19) | 0.85 (0.15) | 0.82 (0.2) | 0.7 (0.16) | * | *** |
| Stride duration (s) | 1.21 (0.12) | 1.27 (0.13) | 1.26 (0.19) | 1.38 (0.21) | - | *** |
Disclaimer/Publisher’s Note: The statements, opinions and data contained in all publications are solely those of the individual author(s) and contributor(s) and not of MDPI and/or the editor(s). MDPI and/or the editor(s) disclaim responsibility for any injury to people or property resulting from any ideas, methods, instructions or products referred to in the content. |
© 2024 by the authors. Licensee MDPI, Basel, Switzerland. This article is an open access article distributed under the terms and conditions of the Creative Commons Attribution (CC BY) license (https://creativecommons.org/licenses/by/4.0/).
Share and Cite
Abdollahi, M.; Rashedi, E.; Kuber, P.M.; Jahangiri, S.; Kazempour, B.; Dombovy, M.; Azadeh-Fard, N. Post-Stroke Functional Changes: In-Depth Analysis of Clinical Tests and Motor-Cognitive Dual-Tasking Using Wearable Sensors. Bioengineering 2024, 11, 349. https://doi.org/10.3390/bioengineering11040349
Abdollahi M, Rashedi E, Kuber PM, Jahangiri S, Kazempour B, Dombovy M, Azadeh-Fard N. Post-Stroke Functional Changes: In-Depth Analysis of Clinical Tests and Motor-Cognitive Dual-Tasking Using Wearable Sensors. Bioengineering. 2024; 11(4):349. https://doi.org/10.3390/bioengineering11040349
Chicago/Turabian StyleAbdollahi, Masoud, Ehsan Rashedi, Pranav Madhav Kuber, Sonia Jahangiri, Behnam Kazempour, Mary Dombovy, and Nasibeh Azadeh-Fard. 2024. "Post-Stroke Functional Changes: In-Depth Analysis of Clinical Tests and Motor-Cognitive Dual-Tasking Using Wearable Sensors" Bioengineering 11, no. 4: 349. https://doi.org/10.3390/bioengineering11040349
APA StyleAbdollahi, M., Rashedi, E., Kuber, P. M., Jahangiri, S., Kazempour, B., Dombovy, M., & Azadeh-Fard, N. (2024). Post-Stroke Functional Changes: In-Depth Analysis of Clinical Tests and Motor-Cognitive Dual-Tasking Using Wearable Sensors. Bioengineering, 11(4), 349. https://doi.org/10.3390/bioengineering11040349

