Attention-ProNet: A Prototype Network with Hybrid Attention Mechanisms Applied to Zero Calibration in Rapid Serial Visual Presentation-Based Brain–Computer Interface
Abstract
1. Introduction
2. Materials and Methods
2.1. Dataset 1
2.1.1. Participants and Data Acquisition
2.1.2. Data Preprocess
2.2. Dataset 2
2.2.1. Participants and Data Acquisition
2.2.2. Data Preprocess
2.3. Network Architecture
2.3.1. Prototypes of ERPs
2.3.2. EEG Feature Extraction
2.3.3. Feature-Level Attention Module
2.3.4. Subject-Level Attention Module
2.4. Loss Function Definition
2.5. Meta-Training
2.6. Evaluation Metrics
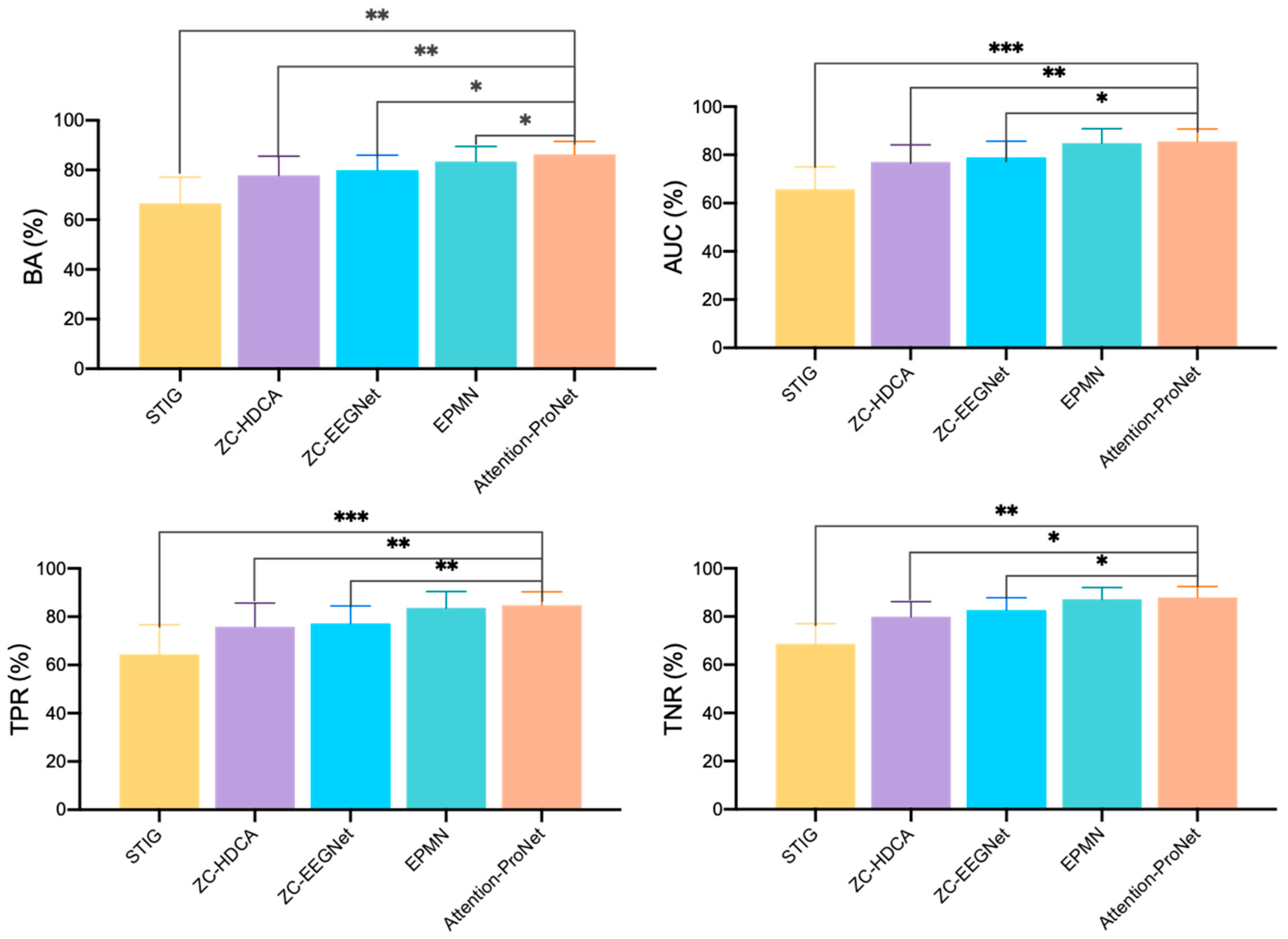
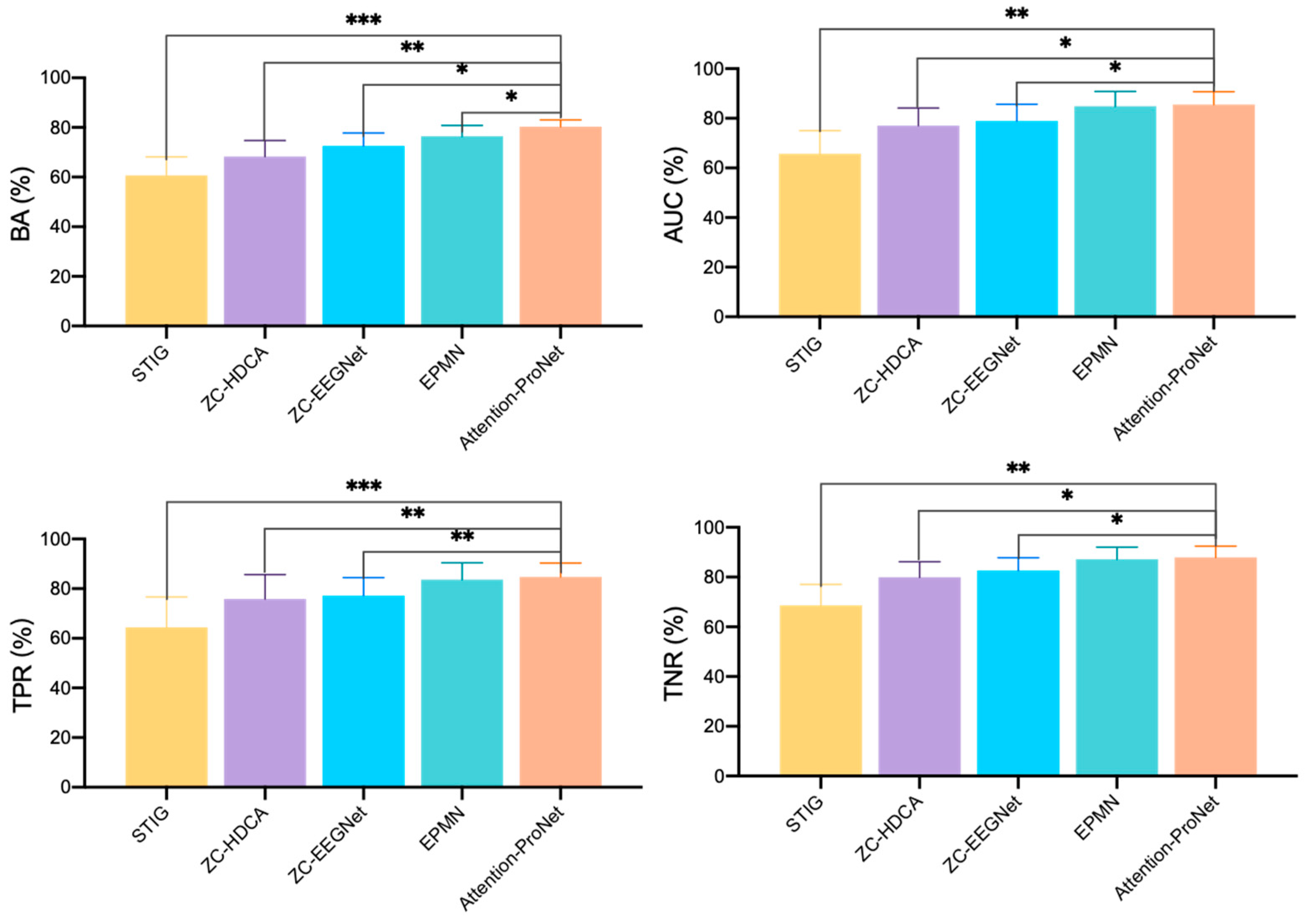
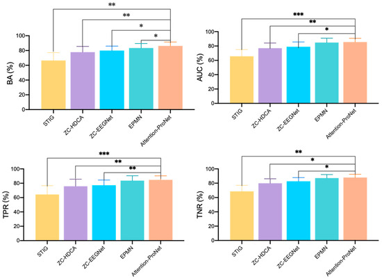
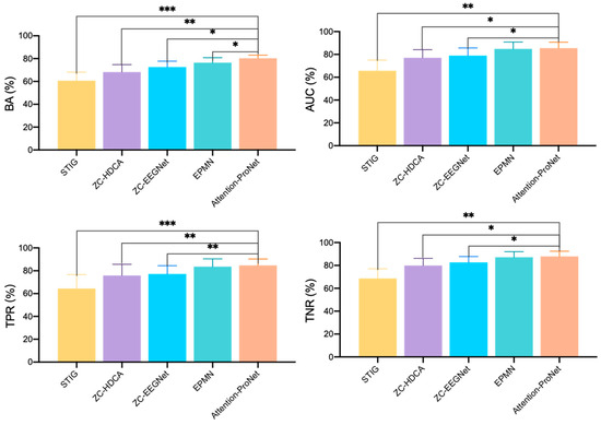
3. Results
3.1. Experimental Setting
3.2. Comparable Experiment Networks
3.3. Results of the Source-Domain-Selection Experiment
3.4. Ablation Study
4. Discussion
4.1. Cross-Day Performance
4.2. Channel Selection
4.3. Data Augmentation
4.4. Limitations
5. Conclusions
Author Contributions
Funding
Institutional Review Board Statement
Informed Consent Statement
Data Availability Statement
Conflicts of Interest
References
- Gerson, A.D.; Parra, L.C.; Sajda, P. Cortically coupled computer vision for rapid image search. IEEE Trans. Neural Syst. Rehabil. Eng. 2006, 14, 174–179. [Google Scholar] [CrossRef] [PubMed]
- Lees, S.; Dayan, N.; Cecotti, H.; McCullagh, P.; Maguire, L.; Lotte, F.; Coyle, D. A review of rapid serial visual presentation-based brain–computer interfaces. J. Neural Eng. 2018, 15, 021001. [Google Scholar] [CrossRef]
- Wang, Z.; Healy, G.; Smeaton, A.F.; Ward, T.E. A review of feature extraction and classification algorithms for image RSVP based BCI. In Signal Processing and Machine Learning for Brain-Machine Interfaces; The Institute of Engineering and Technology: London, UK, 2018; pp. 243–270. [Google Scholar]
- Chen, X.; Wang, Y.; Gao, S.; Jung, T.-P.; Gao, X. Filter bank canonical correlation analysis for implementing a high-speed SSVEP-based brain–computer interface. J. Neural Eng. 2015, 12, 046008. [Google Scholar] [CrossRef]
- Chen, J.; Wang, D.; Yi, W.; Xu, M.; Tan, X. Filter bank sinc-convolutional network with channel self-attention for high performance motor imagery decoding. J. Neural Eng. 2023, 20, 026001. [Google Scholar] [CrossRef]
- Panwar, S.; Rad, P.; Jung, T.-P.; Huang, Y. Modeling EEG data distribution with a Wasserstein generative adversarial network to predict RSVP events. IEEE Trans. Neural Syst. Rehabil. Eng. 2020, 28, 1720–1730. [Google Scholar] [CrossRef]
- Pourpanah, F.; Abdar, M.; Luo, Y.; Zhou, X.; Wang, R.; Lim, C.P.; Wang, X.-Z.; Wu, Q.J. A review of generalized zero-shot learning methods. IEEE Trans. Pattern Anal. Mach. Intell. 2022, 45, 4051–4070. [Google Scholar] [CrossRef]
- Wang, X.; Liu, A.; Wu, L.; Li, C.; Liu, Y.; Chen, X. A Generalized Zero-Shot Learning Scheme for SSVEP-Based BCI System. IEEE Trans. Neural Syst. Rehabil. Eng. 2023, 31, 863–874. [Google Scholar] [CrossRef] [PubMed]
- McCartney, B.; Martinez-del-Rincon, J.; Devereux, B.; Murphy, B. A zero-shot learning approach to the development of brain-computer interfaces for image retrieval. PLoS ONE 2019, 14, e0214342. [Google Scholar] [CrossRef] [PubMed]
- Hwang, S.; Hong, K.; Son, G.; Byun, H. EZSL-GAN: EEG-based zero-shot learning approach using a generative adversarial network. In Proceedings of the 2019 7th International Winter Conference on Brain-Computer Interface (BCI), Gangwon, Republic of Korea, 18–20 February 2019; pp. 1–4. [Google Scholar]
- Waytowich, N.R.; Lawhern, V.J.; Bohannon, A.W.; Ball, K.R.; Lance, B.J. Spectral transfer learning using information geometry for a user-independent brain-computer interface. Front. Neurosci. 2016, 10, 430. [Google Scholar] [CrossRef]
- Xiao, X.; Xu, M.; Jin, J.; Wang, Y.; Jung, T.-P.; Ming, D. Discriminative canonical pattern matching for single-trial classification of ERP components. IEEE Trans. Biomed. Eng. 2019, 67, 2266–2275. [Google Scholar] [CrossRef]
- Lee, J.; Won, K.; Kwon, M.; Jun, S.C.; Ahn, M. CNN with large data achieves true zero-training in online P300 brain-computer interface. IEEE Access 2020, 8, 74385–74400. [Google Scholar] [CrossRef]
- Li, X.; Qiu, S.; Wei, W.; He, H. A Zero-Training Method for RSVP-Based Brain Computer Interface. In Proceedings of the Chinese Conference on Pattern Recognition and Computer Vision (PRCV), Shenzhen, China, 14–17 October 2022; pp. 113–125. [Google Scholar]
- Hospedales, T.; Antoniou, A.; Micaelli, P.; Storkey, A. Meta-learning in neural networks: A survey. IEEE Trans. Pattern Anal. Mach. Intell. 2021, 44, 5149–5169. [Google Scholar] [CrossRef] [PubMed]
- Koch, G.; Zemel, R.; Salakhutdinov, R. Siamese neural networks for one-shot image recognition. In Proceedings of the ICML Deep Learning Workshop, Lille, France, 6–11 July 2015. [Google Scholar]
- Vinyals, O.; Blundell, C.; Lillicrap, T.; Wierstra, D. Matching networks for one shot learning. Adv. Neural Inf. Process. Syst. 2016, 29, 1–9. [Google Scholar]
- Wei, W.; Qiu, S.; Zhang, Y.; Mao, J.; He, H. ERP prototypical matching net: A meta-learning method for zero-calibration RSVP-based image retrieval. J. Neural Eng. 2022, 19, 026028. [Google Scholar] [CrossRef] [PubMed]
- Manor, R.; Geva, A.B. Convolutional neural network for multi-category rapid serial visual presentation BCI. Front. Comput. Neurosci. 2015, 9, 146. [Google Scholar] [CrossRef] [PubMed]
- Zhang, S.; Wang, Y.; Zhang, L.; Gao, X. A benchmark dataset for RSVP-based brain–computer interfaces. Front. Neurosci. 2020, 14, 568000. [Google Scholar] [CrossRef] [PubMed]
- Gao, T.; Han, X.; Liu, Z.; Sun, M. Hybrid attention-based prototypical networks for noisy few-shot relation classification. In Proceedings of the AAAI Conference on Artificial Intelligence, Honolulu, HI, USA, 27 January–1 February 2019; pp. 6407–6414. [Google Scholar]
- Xu, M.; Wang, D.; Li, Z.-y.; Chen, Y.-f. IncepA-EEGNet: P300 signal detection method based on fusion of Inception network and attention mechanism. J. ZheJiang Univ. (Eng. Sci.) 2022, 56, 745–753, 782. [Google Scholar]
- Hu, J.; Shen, L.; Sun, G. Squeeze-and-excitation networks. In Proceedings of the IEEE Conference on Computer Vision and Pattern Recognition, Salt Lake City, UT, USA, 18–22 June 2018; pp. 7132–7141. [Google Scholar]
- Wang, Q.; Wu, B.; Zhu, P.; Li, P.; Zuo, W.; Hu, Q. ECA-Net: Efficient channel attention for deep convolutional neural networks. In Proceedings of the IEEE/CVF Conference on Computer Vision and Pattern Recognition, Seattle, WA, USA, 13–19 June 2020; pp. 11534–11542. [Google Scholar]
- Chen, J.; Wu, X.-M.; Li, Y.; Li, Q.; Zhan, L.-M.; Chung, F.-l. A closer look at the training strategy for modern meta-learning. Adv. Neural Inf. Process. Syst. 2020, 33, 396–406. [Google Scholar]
- Ravichandran, A.; Bhotika, R.; Soatto, S. Few-shot learning with embedded class models and shot-free meta training. In Proceedings of the IEEE/CVF International Conference on Computer Vision, Seoul, Republic of Korea, 27 October–2 November 2019; pp. 331–339. [Google Scholar]
- Sajda, P.; Pohlmeyer, E.; Wang, J.; Parra, L.C.; Christoforou, C.; Dmochowski, J.; Hanna, B.; Bahlmann, C.; Singh, M.K.; Chang, S.-F. In a blink of an eye and a switch of a transistor: Cortically coupled computer vision. Proc. IEEE 2010, 98, 462–478. [Google Scholar] [CrossRef]
- Lawhern, V.J.; Solon, A.J.; Waytowich, N.R.; Gordon, S.M.; Hung, C.P.; Lance, B.J. EEGNet: A compact convolutional neural network for EEG-based brain–computer interfaces. J. Neural Eng. 2018, 15, 056013. [Google Scholar] [CrossRef]
- Zheng, L.; Sun, S.; Zhao, H.; Pei, W.; Chen, H.; Gao, X.; Zhang, L.; Wang, Y. A cross-session dataset for collaborative brain-computer interfaces based on rapid serial visual presentation. Front. Neurosci. 2020, 14, 579469. [Google Scholar] [CrossRef] [PubMed]
- Wu, W.; Gao, S. Learning event-related potentials (ERPs) from multichannel EEG recordings: A spatio-temporal modeling framework with a fast estimation algorithm. In Proceedings of the 2011 Annual International Conference of the IEEE Engineering in Medicine and Biology Society, Boston, MA, USA, 30 August–3 September 2011; pp. 6959–6962. [Google Scholar]
- Xu, M.; Chen, Y.; Wang, Y.; Wang, D.; Liu, Z.; Zhang, L. BWGAN-GP: An EEG data generation method for class imbalance problem in RSVP tasks. IEEE Trans. Neural Syst. Rehabil. Eng. 2022, 30, 251–263. [Google Scholar] [CrossRef] [PubMed]
- Xu, M.; Chen, Y.; Wang, D.; Wang, Y.; Zhang, L.; Wei, X. Multi-objective optimization approach for channel selection and cross-subject generalization in RSVP-based BCIs. J. Neural Eng. 2021, 18, 046076. [Google Scholar] [CrossRef] [PubMed]









| Model | Without the ECA Attention Mechanism, IncepA-EEGNet | IncepA-EEGNet | Feature-Level Attention | Subject-Level Attention | BA (%) Mean ± Std | p-Value |
|---|---|---|---|---|---|---|
| A | ✓ | × | × | × | 81.22 ± 7.86 | ** |
| B | ✓ | ✓ | × | × | 85.78 ± 6.26 | ** |
| C | × | ✓ | ✓ | × | 85.90 ± 6.12 | * |
| D | × | ✓ | × | ✓ | 86.14 ± 5.91 | * |
| E | × | ✓ | ✓ | ✓ | 86.33 ± 5.18 | - |
| Model | Dataset | Before Channel Selection (%) | After Channel Selection (%) |
|---|---|---|---|
| STIG | Dataset 1 | 66.89 ± 10.64 | 69.25 ± 9.51 ** |
| Dataset 2 | 60.67 ± 8.52 | 62.75 ± 7.77 ** | |
| ZC-HDCA | Dataset 1 | 77.92 ± 7.65 | 81.43 ± 6.61 ** |
| Dataset 2 | 68.23 ± 6.56 | 70.65 ± 6.43 ** | |
| ZC-EEGNet | Dataset 1 | 79.87 ± 6.19 | 81.00 ± 5.85 * |
| Dataset 2 | 72.54 ± 5.22 | 74.12 ± 5.07 * | |
| EPMN | Dataset 1 | 85.42 ± 6.10 | 87.08 ± 4.21 * |
| Dataset 2 | 76.43± 4.44 | 77.92 ± 4.19 * | |
| Attention-ProNet | Dataset 1 | 86.33 ± 5.18 | 87.27 ± 5.56 * |
| Dataset 2 | 80.29 ± 2.79 | 82.15 ± 2.38 * |
| Model | Dataset | Before Data Augmentation (%) | After Data Augmentation (%) | Before Data Augmentation and Channel Selection (%) |
|---|---|---|---|---|
| STIG | Dataset 1 | 66.89 ± 10.64 | 67.50 ± 10.21 * | 70.11 ± 8.79 +++ |
| Dataset 2 | 60.67 ± 8.52 | 61.34 ± 9.88 * | 63.85 ± 9.88 +++ | |
| ZC-HDCA | Dataset 1 | 77.92 ± 7.65 | 78.16 ± 4.98 * | 80.67 ± 5.23 ++ |
| Dataset 2 | 68.23 ± 6.56 | 69.81 ± 5.34 * | 70.67 ± 5.02 ++ | |
| ZC-EEGNet | Dataset 1 | 79.87 ± 6.19 | 83.90 ± 4.82 ** | 84.88 ± 4.45 ++ |
| Dataset 2 | 72.54 ± 5.22 | 74.06 ±3.65 ** | 75.75 ± 3.43 ++ | |
| EPMN | Dataset 1 | 85.42 ± 6.10 | 86.19 ± 4.77 ** | 87.20 ± 4.79 + |
| Dataset 2 | 76.43 ± 4.44 | 77.38 ± 3.72 ** | 79.20 ± 3.09 + | |
| Attention-ProNet | Dataset 1 | 86.33 ± 5.18 | 87.40 ± 4.94 ** | 88.65 ± 4.66 |
| Dataset 2 | 80.29 ± 2.79 | 81.23 ± 2.61 ** | 82.41 ± 1.89 |
| Model | Dataset | BA Mean (%) | Parameters (1 × 103) | Training Time (s) | Testing Time (s) |
|---|---|---|---|---|---|
| STIG | Dataset 1 | 66.52 | - | 5.23 | 1.59 |
| Dataset 2 | 60.67 | 9.41 | 1.44 | ||
| ZC-HDCA | Dataset 1 | 77.92 | - | 139.32 | 2.38 |
| Dataset 2 | 68.23 | 74.37 | 1.85 | ||
| ZC-EEGNet | Dataset 1 | 79.87 | 4.07 | 123.54 | 0.19 |
| Dataset 2 | 72.54 | 72.89 | 0.07 | ||
| EPMN | Dataset 1 | 85.42 | 72.50 | 19.34 | 0.35 |
| Dataset 2 | 76.43 | 7.41 | 0.22 | ||
| Attention-ProNet | Dataset 1 | 86.33 | 141.23 | 28.59 | 0.39 |
| Dataset 2 | 80.29 | 12.54 | 0.26 |
Disclaimer/Publisher’s Note: The statements, opinions and data contained in all publications are solely those of the individual author(s) and contributor(s) and not of MDPI and/or the editor(s). MDPI and/or the editor(s) disclaim responsibility for any injury to people or property resulting from any ideas, methods, instructions or products referred to in the content. |
© 2024 by the authors. Licensee MDPI, Basel, Switzerland. This article is an open access article distributed under the terms and conditions of the Creative Commons Attribution (CC BY) license (https://creativecommons.org/licenses/by/4.0/).
Share and Cite
Zhang, B.; Xu, M.; Zhang, Y.; Ye, S.; Chen, Y. Attention-ProNet: A Prototype Network with Hybrid Attention Mechanisms Applied to Zero Calibration in Rapid Serial Visual Presentation-Based Brain–Computer Interface. Bioengineering 2024, 11, 347. https://doi.org/10.3390/bioengineering11040347
Zhang B, Xu M, Zhang Y, Ye S, Chen Y. Attention-ProNet: A Prototype Network with Hybrid Attention Mechanisms Applied to Zero Calibration in Rapid Serial Visual Presentation-Based Brain–Computer Interface. Bioengineering. 2024; 11(4):347. https://doi.org/10.3390/bioengineering11040347
Chicago/Turabian StyleZhang, Baiwen, Meng Xu, Yueqi Zhang, Sicheng Ye, and Yuanfang Chen. 2024. "Attention-ProNet: A Prototype Network with Hybrid Attention Mechanisms Applied to Zero Calibration in Rapid Serial Visual Presentation-Based Brain–Computer Interface" Bioengineering 11, no. 4: 347. https://doi.org/10.3390/bioengineering11040347
APA StyleZhang, B., Xu, M., Zhang, Y., Ye, S., & Chen, Y. (2024). Attention-ProNet: A Prototype Network with Hybrid Attention Mechanisms Applied to Zero Calibration in Rapid Serial Visual Presentation-Based Brain–Computer Interface. Bioengineering, 11(4), 347. https://doi.org/10.3390/bioengineering11040347

