Flow and Heat Transfer of CoFe2O4-Blood Due to a Rotating Stretchable Cylinder under the Influence of a Magnetic Field
Abstract
1. Introduction
- To investigate the flow and thermal characteristics of biomagnetic fluid that contains magnetic particles.
- The rotating stretching cylinder is used to check the flow analysis.
- The ferrohydrodynamics principle is taken into consideration when presenting the mathematical formulation.
- Strong magnetic field effects are discussed in light of their physical characteristics.
- To obtain the solutions for the present governing problem, a two-point boundary value technique based on a common finite difference scheme is used for the numerical treatment.
2. Mathematical Model with Flow Geometry
- are the fluid velocity components along the axial, tangential, and radial directions of the cylindrical surface, respectively, i.e., .
- The radius of a cylinder is and its surface are stretched along an axial direction with velocity .
- The cylinder rotates with a constant angular velocity about the axis .
- Due to axisymmetric flow, the variation with respect to coordinate is ignored.
- The temperature of surface is constant, and it is about , while the fluid temperature far away from the sheet is , such that .
- An external magnetic field is applied in the radial and tangential directions. As a result, the rotational velocity of magnetic particles in the base fluid is different from the vortices in the flow domain.
3. Similarity Transformations
4. Physical Quantities of Interest
5. Computational Technique
- (i)
- It is based on common finite difference with central differencing.
- (ii)
- Manipulation of tridiagonal matrices
- (iii)
- Implementation of an iterative procedure.
6. Numerical Validation and Parameters Value Estimation
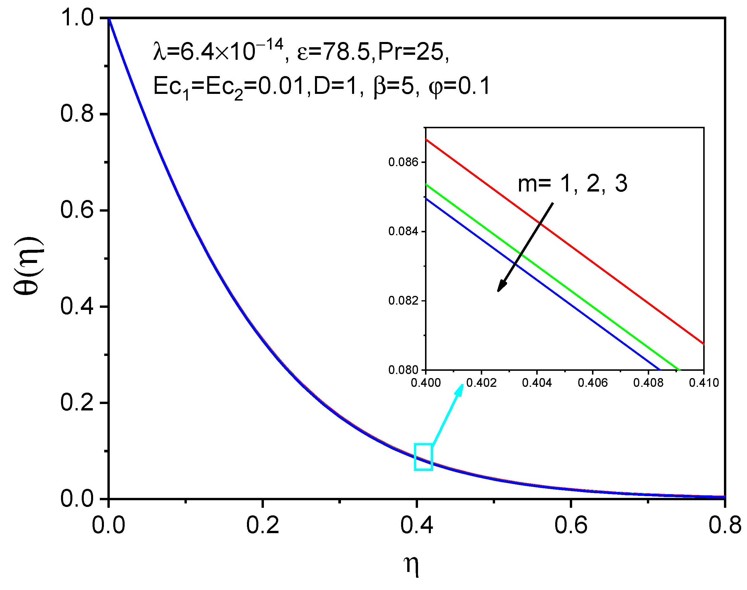
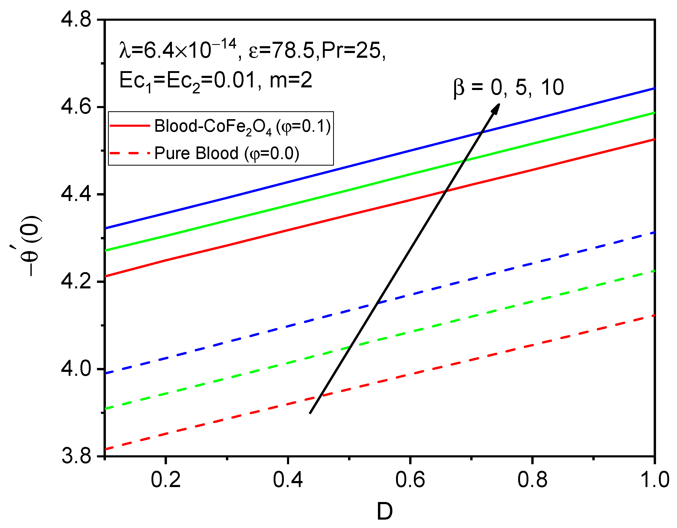
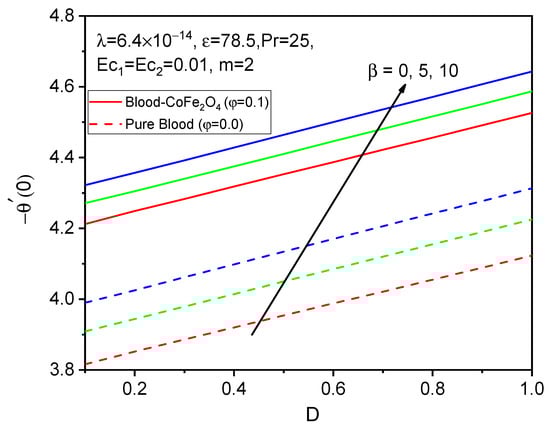
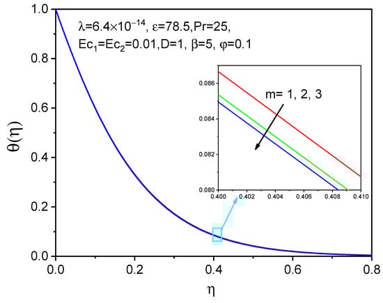
7. Results and Discussion
8. Conclusions
- (i)
- With rising values of the ferromagnetic interaction parameter and effective magnetic number, the tangential velocity is reduced, whereas the axial and temperature distributions are accelerated.
- (ii)
- We observe a favorable behavior in cases of adding particles to the base fluid compared to that of pure fluid.
- (iii)
- As the values of the curvature parameter rise, both axial velocity and temperature increase.
- (iv)
- The heat transfer of fluid decline as the values of the Prandtl number and Eckert numbers rise.
- (v)
- For larger values of the ferromagnetic interaction parameter and the curvature parameter, the skin friction coefficient and the rate of heat transfer increase.
Author Contributions
Funding
Institutional Review Board Statement
Informed Consent Statement
Data Availability Statement
Acknowledgments
Conflicts of Interest
Nomenclature
| Radial direction (m) | Radius of the cylinder (m) | ||
| Axial direction (m) | Magnetic field intensity (Am−1) | ||
| Tangential direction (rad) | Effective magnetization parameter | ||
| Radial velocity (ms−1) | Thermal conductivity (Wm−1K−1) | ||
| Axial velocity (ms−1) | Angular velocity (rad s−1) | ||
| Tangential velocity (ms−1) | Blood temperature (K) | ||
| Dimensionless component of axial velocity | Rotating cylinder temperature (K) | ||
| Dimensionless component of tangential velocity | Curie temperature or blood temperature away from the surface (K) | ||
| Viscosity of blood (Kgm−1s−1) | Gradient operator (m−1) | ||
| Density of blood(Kgm−3) | Magnetization (Am−1) | ||
| Magnetic permeability of free space (Hm−1) | Particles volume fraction | ||
| Ferromagnetic interaction parameter | Dimensionless temperature parameter | ||
| Prandtl number | Curvature parameter | ||
| Viscous dissipation parameter | Eckert number | ||
| Dimensionless temperature | Specific heat (JKg−1 K−1) | ||
| Proyamagnetic coefficient | Magnetic fluid | ||
| Base fluid (blood) | Magnetic particles (CoFe2O4) |
References
- Von Karman, T. Uber laminare und turbulente Reibung. Z. Angew. Math. Mech. 1921, 1, 233–252. [Google Scholar] [CrossRef]
- Crane, L.J. Flow past a stretching plate. J. Appl. Math. Phys. 1970, 21, 645–647. [Google Scholar] [CrossRef]
- Zhang, X.; Zheng, L.; Ming, C. Steady flow and heat transfer of the power-law fluid over a rotating disk. Int. Commun. Heat Mass Transf. 2011, 38, 280–2843. [Google Scholar]
- Wang, C.Y. The three-dimensional flow due to a stretching fat surface. Phys. Fluids 1984, 27, 1915–1917. [Google Scholar] [CrossRef]
- Fang, T. Flow over a stretchable disk. Phys. Fluids 2007, 19, 128105. [Google Scholar] [CrossRef]
- Fang, T.; Tao, H. Unsteady viscous flow over a rotating stretchable disk with deceleration. Comm. Nonlinear Sci. Numer. Simul. 2012, 17, 5064–5072. [Google Scholar] [CrossRef]
- Kudenatti, R.B.; Kirsur, S.R.; Achala, L.N.; Bujurke, N.M. MHD boundary layer flow over a non-linear stretching boundary with suction and injection. Int. J. Non-Linear Mech. 2013, 50, 58–68. [Google Scholar] [CrossRef]
- Hayat, T.; Naseem, A.; Farooq, M.; Alsaedi, A. Unsteady MHD three dimensional flow with viscous dissipation and Joule heating. Eur. Phys. J. Plus 2013, 128, 158. [Google Scholar] [CrossRef]
- Khan, M.; Sarfraz, M.; Mehmood, S.; Ullah, M.Z. Irreversibility process analysis for SiO2-MoS2/water-based flow over a rotating and stretching cylinder. J. Appl. Biomater. Funct. Mater. 2022, 20, 22808000221120329. [Google Scholar] [CrossRef]
- Jusoh, R.; Nazar, R.; Pop, I. Magnetohydrodynamic rotating flow and heat transfer of ferrofluid due to an exponentially permeable stretching/shrinking sheet. J. Magn. Magn. Mater. 2018, 465, 365–374. [Google Scholar] [CrossRef]
- Zhang, J.; Ahmed, A.; Khan, M.N.; Wang, F.; Abdelmohsen, S.A.M.; Tariq, H. Swirling flow of fluid containing (SiO2) and (MoS2) nanoparticles analyze via Cattaneo-Christov theory. J. Appl. Biomater. Funct. Mater. 2022, 20, 22808000221094685. [Google Scholar] [CrossRef] [PubMed]
- Ahmad, S.; Hayat, T.; Alsaedi, A.; Ullah, H.; Shah, F. Computational modeling and analysis for the effect of magnetic field on rotating and stretched disk flow with heat transfer. Propuls. Power Res. 2021, 10, 48–57. [Google Scholar] [CrossRef]
- Krishna, M.V.; Chamkha, A.J. Hall and ion slip effects on MHD rotating flow of elastico-viscous fluid through porous medium. Int. Commun. Heat Mass Trans. 2020, 113, 104494. [Google Scholar] [CrossRef]
- Choi, S.U.S.; Zhang, Z.G.; Yu, W.; Lockwood, F.E.; Grulke, E.A. Anomalous thermal conductivity enhancement in nanotube suspensions. Appl. Phys. Lett. 2001, 79, 2252–2254. [Google Scholar] [CrossRef]
- Wang, F.; Tarakaramu, N.; Kumar, N.S.; SatyaNarayan, P.V.; Babu, D.H.; Ramalingam, S. Three dimensional nanofluid motion with convective boundary condition in presents of nonlinear thermal radiation via stretching sheet. J. Indian Chem. Soc. 2023, 100, 100887. [Google Scholar] [CrossRef]
- Kumar, R.; Mehta, R.; Mehta, T. MHD stagnation point flow and heat transfer of a nanofluid over a stretching sheet fixed in porous medium with effect of thermal radiation, Joule heating and heat source/sink. J. Comput. Anal. Appl. 2023, 31, 294–316. [Google Scholar]
- Shah, Z.; Rooman, M.; Shutaywi, M. Computational analysis of radiative engine oil-based Prandtl-Eyring hybrid nanofluid flow with variable heat transfer using Cattaneo-Christov heat flux model. R. Soc. Chem. 2023, 13, 3552–3560. [Google Scholar] [CrossRef]
- Bafakeeh, O.T.; Al-Khaled, K.; Khan, S.U.; Abbasi, A.; Ganteda, C.; Khan, M.I.; Guedri, K.; Eldin, S.M. On the Bioconvective Aspect of Viscoelastic Micropolar Nanofluid Referring to Variable Thermal Conductivity and Thermo-Diffusion Characteristics. Bioengineering 2023, 10, 73. [Google Scholar] [CrossRef]
- Zainodin, S.; Jamaludin, A.; Nazar, R.; Pop, I. Effects of higher order chemical reaction and slip conditions on mixed convection hybrid ferrofluid flow in a Darcy porous medium. Alex. Eng. J. 2023, 68, 111–126. [Google Scholar] [CrossRef]
- Alam, J.; Murtaza, M.G.; Tzirtzilakis, E.E.; Ferdows, M. Magnetohydrodynamic and ferrohydrodynamic interactions on the biomagnetic flow and heat transfer containing magnetic particles along a stretched cylinder. Eur. J. Comput. Mech. 2022, 31, 1–40. [Google Scholar] [CrossRef]
- Ferdows, M.; Alam, J.; Murtaza, M.G.; Tzirtzilakis, E.E.; Sun, S. Biomagnetic flow with CoFe2O4 magnetic particles through an unsteady stretching/shrinking cylinder. Magnetochemistry 2022, 8, 27. [Google Scholar] [CrossRef]
- Khashi’ie, N.S.; Waini, I.; Hamzah, K.B.; Mukhtar, M.F.; Kasim, A.R.M.; Arifin, M.; Pop, I. Numerical solution and statistical analysis of the unsteady hybrid ferrofluid flow with heat generation subject to a rotating disk. Z. Angew. Math. Mech. 2023, 103, e202200384. [Google Scholar] [CrossRef]
- Souayeh, B.; Ramesh, K.; Hdhiri, N.; Yasin, E.; Alam, M.W.; Alfares, K.; Yasin, A. Heat Transfer Attributes of Gold–Silver–Blood Hybrid Nanomaterial Flow in an EMHD Peristaltic Channel with Activation Energy. Nanomaterials 2022, 12, 1615. [Google Scholar] [CrossRef] [PubMed]
- Dinarvand, S.; Berrehal, H.; Pop, I.; Chamkha, A.J. Blood-based hybrid nanofluid flow through converging/diverging channel with multiple slips effect: A development of Jeffery-Hamel problem. Int. J. Numer. Methods Heat Fluid Flow 2023, 33, 1144–1160. [Google Scholar] [CrossRef]
- Ashorynejad, H.R.; Sheikholeslami, M.; Pop, I.; Ganji, D.D. Nanofluid flow and heat transfer due to a stretching cylinder in the presence of magnetic field. Heat Mass Transf. 2013, 49, 427–436. [Google Scholar] [CrossRef]
- Sheikholeslami, M.; Ashorynejad, H.R.; Domairry, G.; Hashim, I. Flow and heat transfer of Cu–water nanofluid between a stretching sheet and a porous surface in a rotating system. J. Appl. Math. 2012, 2012, 421320. [Google Scholar] [CrossRef]
- Alghamdi, W.; Alsubie, A.; Kumam, P.; Saeed, A.; Gul, T. MHD hybrid nanofluid flow comprising the medication through a blood artery. Sci. Rep. 2021, 11, 11621. [Google Scholar] [CrossRef] [PubMed]
- Ali, A.; Mebarek-Oudina, F.; Barman, A.; Das, S.; Ismail, A.I. Peristaltic transportation of hybrid nano-blood through a ciliated micro-vessel subject to heat source and Lorentz force. J. Therm. Anal. Calorim. 2023, 148, 7059–7083. [Google Scholar] [CrossRef]
- Maqbool, K.; Shaheen, S.; Siddiqui, A.M. Effect of nano-particles on MHD flow of tangent hyperbolic fluid in a ciliated tube: An application to fallopian tube. Math. Biosci. Eng. 2019, 16, 2927–2941. [Google Scholar] [CrossRef]
- Kumar, J.P.; Umavathi, J.C.; Dhone, A.S. Heat and mass transfer of CNTs blood-based casson nanoliquids MHD flow over a rotating stretchable disk with magnetic field and heat source. CFD Lett. 2023, 15, 116–135. [Google Scholar] [CrossRef]
- Qayyum, M.; Afzal, S.; Saeed, S.T.; Akgül, A.; Riaz, M.B. Unsteady hybrid nanofluid (Cu-UO2/blood) with chemical reaction and non-linear thermal radiation through convective boundaries: An application to bio-medicine. Heliyon 2023, 9, e16578. [Google Scholar] [CrossRef] [PubMed]
- Munawar, S.; Saleem, N.; Mehmood, A. Entropy production in the flow over a swirling stretchable cylinder. Thermophys. Aeromechanics 2016, 23, 435–444. [Google Scholar] [CrossRef]
- Shliomis, M.I.; Morozov, K.I. Negative viscosity of ferrofluid under alternating magnetic field. Phys. Fluids 1994, 6, 2855–2861. [Google Scholar] [CrossRef]
- Bacri, J.C.; Perzynski, R.; Shliomis, M.I.; Burde, G.I. Negative-viscosity effect in a magnetic fluid. Phys. Rev. Lett. 1995, 75, 2128–2131. [Google Scholar] [CrossRef] [PubMed]
- Bhandari, A.; Ram, P. Negative viscosity effects on ferrofluid flow due to a rotating disk. Int. J. Appl. Electromagn. Mech. 2013, 41, 467–478. [Google Scholar]
- Bhandari, A. Water-Based Fe3O4 Ferrofluid Flow between Two Rotating Disks with Variable Viscosity and Variable Thermal Conductivity. Int. J. Appl. Comput. Math. 2021, 7, 46. [Google Scholar] [CrossRef]
- Alam, J.; Murtaza, M.G.; Tzirtzilakis, E.E.; Ferdows, M. Applications of Biomagnetic fluid dynamics modeling for simulation of flow with magnetic particles and variable fluid properties over a stretching cylinder. Math. Comput. Simul. 2022, 199, 438–462. [Google Scholar] [CrossRef]
- Kafoussias, N.G.; Williams, E.W. An improved approximation technique to obtain numerical solution of a class of two point boundary value similarity problems in fluid mechanics. Int. J. Numer. Methods Fluids 1993, 17, 145–162. [Google Scholar] [CrossRef]
- Tzirtzilakis, E.E. A mathematical model for blood flow in magnetic field. Phys. Fluids 2005, 17, 077103. [Google Scholar] [CrossRef]
- Tzirtzilakis, E.E.; Kafoussias, N.G. Three dimensional magnetic fluid boundary layer flow with linearly stretching sheet. J. Heat Transf. 2010, 132, 011702. [Google Scholar] [CrossRef]
- Muhammad, K.A.M.; Farah, N.A.; Salleh, M.Z. MHD boundary layer flow over a permeable flat plate in a ferrofluid with thermal radiation effect. J. Phys. Conf. Ser. 2019, 1366, 012014. [Google Scholar]
- Kumar, K.A.; Sandeep, N.; Sugunamma, V.; Animasaum, I.I. Effect of irregular heat source/sink on the radiative thin film flow of MHD hybrid ferrofluid. J. Therm. Anal. Calorim. 2020, 139, 2145–2153. [Google Scholar] [CrossRef]
- Kandasamy, R.; Palanimani, P.G. Effects of Chemical Reactions, Heat, and Mass Transfer on Nonlinear Magnetohydrodynamic Boundary Layer Flow over a Wedge with a Porous Medium in the Presence of Ohmic Heating and Viscous Dissipation. J. Porous Media 2007, 10, 489–502. [Google Scholar] [CrossRef]



















| Density | |
| Dynamic viscosity | |
| Heat capacity | |
| Thermal conductivity |
| Present Results | Munawar et al. [32] | |
|---|---|---|
| 0 | 0.65322 | 0.65421 |
| 0.5 | 0.58741 | 0.58756 |
| 2 | 0.25880 | 0.2578 |
| Properties | Base Fluid | Magnetic Particles |
|---|---|---|
| Blood | CoFe2O4 | |
| (JKg−1K−1) | ||
| (Kgm−3) | ||
| (Wm−1K−1) |
Disclaimer/Publisher’s Note: The statements, opinions and data contained in all publications are solely those of the individual author(s) and contributor(s) and not of MDPI and/or the editor(s). MDPI and/or the editor(s) disclaim responsibility for any injury to people or property resulting from any ideas, methods, instructions or products referred to in the content. |
© 2024 by the authors. Licensee MDPI, Basel, Switzerland. This article is an open access article distributed under the terms and conditions of the Creative Commons Attribution (CC BY) license (https://creativecommons.org/licenses/by/4.0/).
Share and Cite
Alam, J.; Murtaza, G.; Tzirtzilakis, E.E.; Sun, S.; Ferdows, M. Flow and Heat Transfer of CoFe2O4-Blood Due to a Rotating Stretchable Cylinder under the Influence of a Magnetic Field. Bioengineering 2024, 11, 317. https://doi.org/10.3390/bioengineering11040317
Alam J, Murtaza G, Tzirtzilakis EE, Sun S, Ferdows M. Flow and Heat Transfer of CoFe2O4-Blood Due to a Rotating Stretchable Cylinder under the Influence of a Magnetic Field. Bioengineering. 2024; 11(4):317. https://doi.org/10.3390/bioengineering11040317
Chicago/Turabian StyleAlam, Jahangir, Ghulam Murtaza, Efstratios E. Tzirtzilakis, Shuyu Sun, and Mohammad Ferdows. 2024. "Flow and Heat Transfer of CoFe2O4-Blood Due to a Rotating Stretchable Cylinder under the Influence of a Magnetic Field" Bioengineering 11, no. 4: 317. https://doi.org/10.3390/bioengineering11040317
APA StyleAlam, J., Murtaza, G., Tzirtzilakis, E. E., Sun, S., & Ferdows, M. (2024). Flow and Heat Transfer of CoFe2O4-Blood Due to a Rotating Stretchable Cylinder under the Influence of a Magnetic Field. Bioengineering, 11(4), 317. https://doi.org/10.3390/bioengineering11040317

