Performance of Nuclear Magnetic Resonance-Based Estimated Glomerular Filtration Rate in a Real-World Setting
Abstract
1. Introduction
2. Materials and Methods
2.1. Study Design and Participants
2.2. Sample Collection and Storage
2.3. Laboratory Methods
2.4. Statistical Analysis
3. Results
3.1. Patient Characteristics
3.2. Performance of eGFR Equations in Routine Clinical Samples
3.2.1. Bias, Precision, and Accuracy
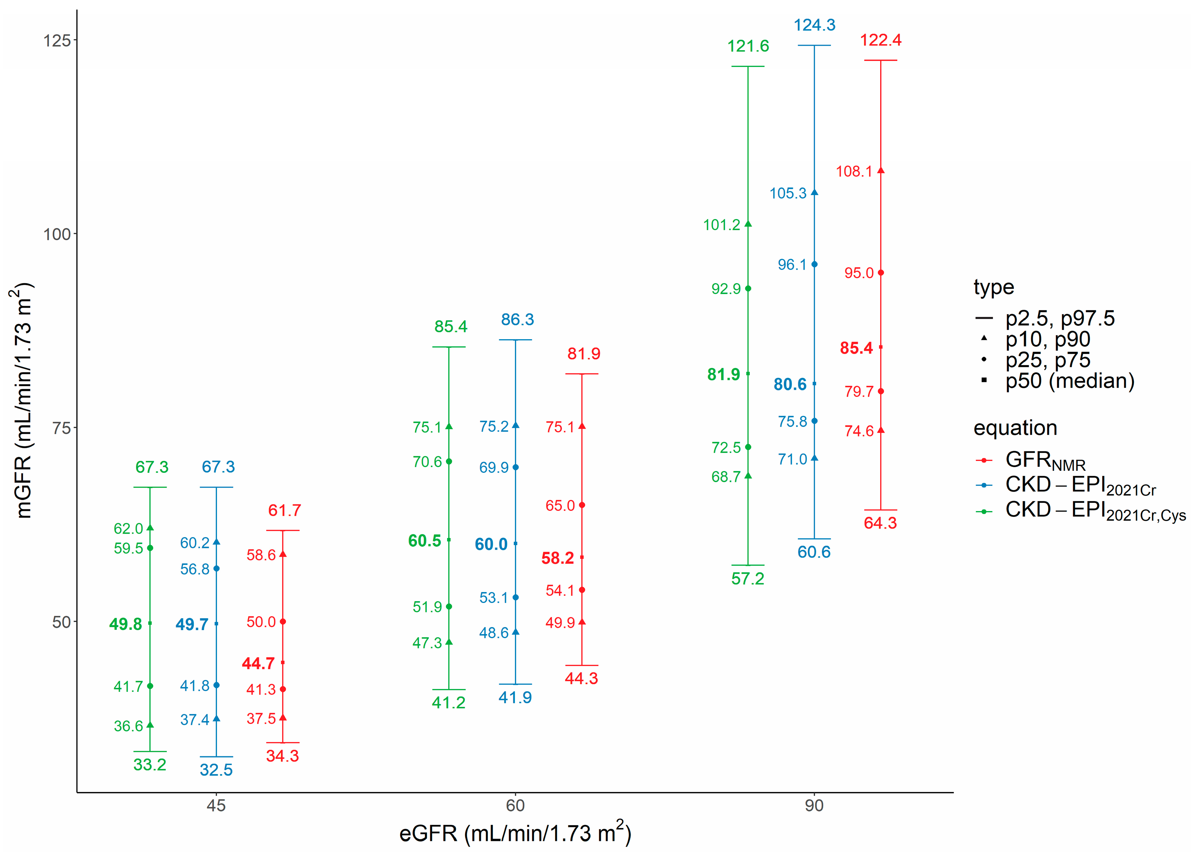
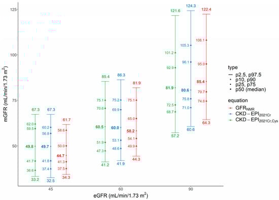
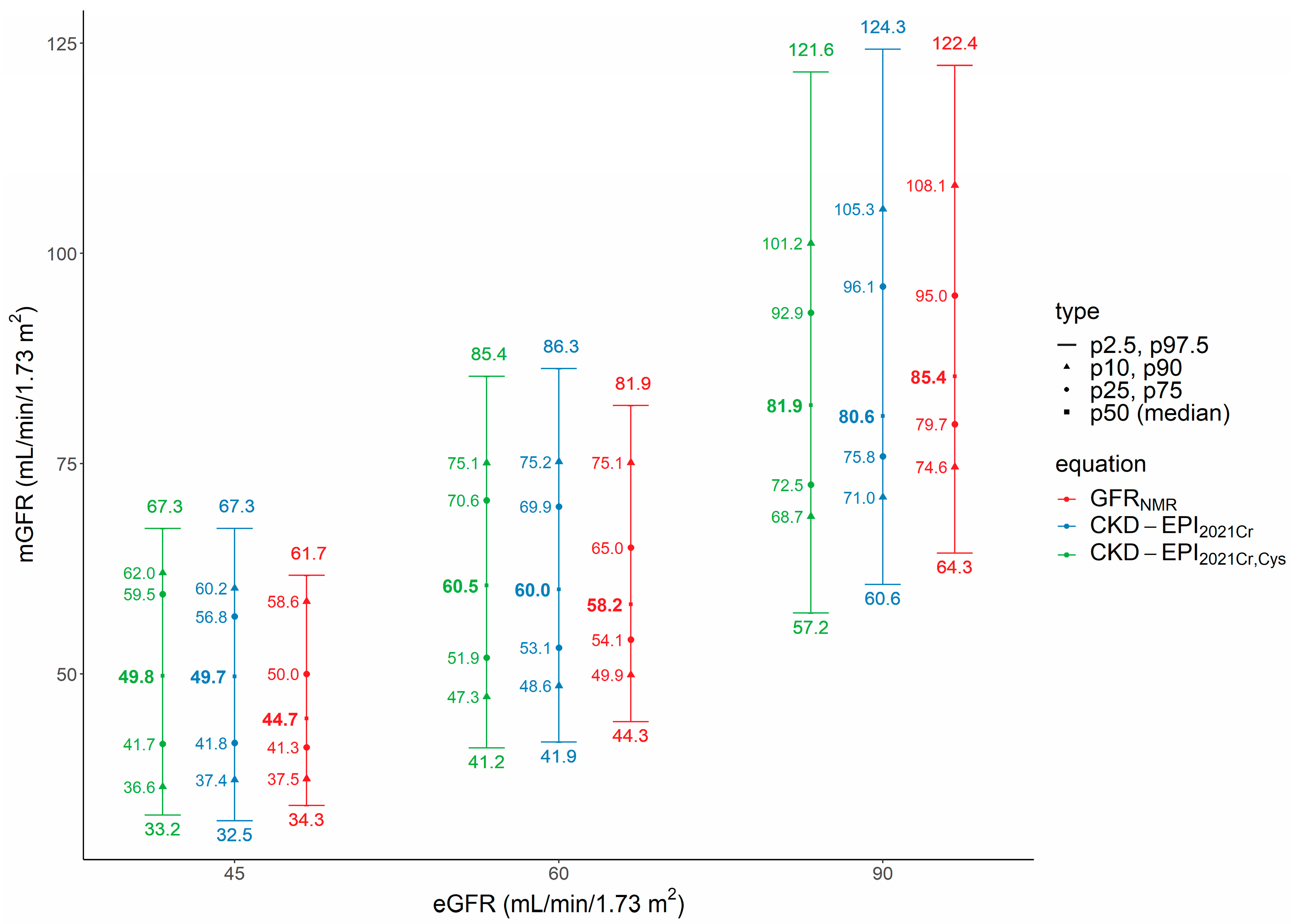
3.2.2. Prediction Intervals
3.3. Impact of Disease, Comorbidities and Medication on the Performance of eGFR Equations
4. Discussion
5. Conclusions
Author Contributions
Funding
Institutional Review Board Statement
Informed Consent Statement
Data Availability Statement
Acknowledgments
Conflicts of Interest
References
- Guidelines–KDIGO. Available online: https://kdigo.org/guidelines/ (accessed on 21 February 2023).
- Ifekwunigwe, J.O.; Wagner, J.K.; Yu, J.-H.; Harrell, T.M.; Bamshad, M.J.; Royal, C.D. A Qualitative Analysis of How Anthropologists Interpret the Race Construct. Am. Anthropol. 2017, 119, 422–434. [Google Scholar] [CrossRef]
- Inker, L.A.; Eneanya, N.D.; Coresh, J.; Tighiouart, H.; Wang, D.; Sang, Y.; Crews, D.C.; Doria, A.; Estrella, M.M.; Froissart, M.; et al. New Creatinine- and Cystatin C-Based Equations to Estimate GFR without Race. N. Engl. J. Med. 2021, 385, 1737–1749. [Google Scholar] [CrossRef]
- Diao, J.A.; Wu, G.J.; Wang, J.K.; Kohane, I.S.; Taylor, H.A.; Tighiouart, H.; Levey, A.S.; Inker, L.A.; Powe, N.R.; Manrai, A.K. National Projections for Clinical Implications of Race-Free Creatinine-Based GFR Estimating Equations. J. Am. Soc. Nephrol. 2023, 34, 309–321. [Google Scholar] [CrossRef]
- Abate, M.; Jandovitz, N.; Hirsch, J.S.; Breslin, N.; Lau, L.; Fahmy, A.E.; Jhaveri, K.D.; Richardson, S.; Alsalmay, Y.; Baez, A.; et al. The Effect of Race Coefficients on Preemptive Listing for Kidney Transplantation. Clin. Kidney J. 2022, 15, 942–950. [Google Scholar] [CrossRef]
- Hoenig, M.P.; Mann, A.; Pavlakis, M. Removal of the Black Race Coefficient from the Estimated Glomerular Filtration Equation Improves Transplant Eligibility for Black Patients at a Single Center. Clin. Transplant. 2022, 36, e14467. [Google Scholar] [CrossRef] [PubMed]
- Zelnick, L.R.; Leca, N.; Young, B.; Bansal, N. Association of the Estimated Glomerular Filtration Rate With vs Without a Coefficient for Race with Time to Eligibility for Kidney Transplant. JAMA Netw. Open 2021, 4, e2034004. [Google Scholar] [CrossRef] [PubMed]
- Meeusen, J.W.; Kasozi, R.N.; Larson, T.S.; Lieske, J.C. Clinical Impact of the Refit CKD-EPI 2021 Creatinine-Based EGFR Equation. Clin. Chem. 2022, 68, 534–539. [Google Scholar] [CrossRef] [PubMed]
- Miller, W.G.; Kaufman, H.W.; Levey, A.S.; Straseski, J.A.; Wilhelms, K.W.; Yu, H.-Y.E.; Klutts, J.S.; Hilborne, L.H.; Horowitz, G.L.; Lieske, J.; et al. National Kidney Foundation Laboratory Engagement Working Group Recommendations for Implementing the CKD-EPI 2021 Race-Free Equations for Estimated Glomerular Filtration Rate: Practical Guidance for Clinical Laboratories. Clin. Chem. 2022, 68, 511–520. [Google Scholar] [CrossRef]
- Delgado, C.; Baweja, M.; Crews, D.C.; Eneanya, N.D.; Gadegbeku, C.A.; Inker, L.A.; Mendu, M.L.; Miller, W.G.; Moxey-Mims, M.M.; Roberts, G.V.; et al. A Unifying Approach for GFR Estimation: Recommendations of the NKF-ASN Task Force on Reassessing the Inclusion of Race in Diagnosing Kidney Disease. Am. J. Kidney Dis. 2022, 79, 268–288.e1. [Google Scholar] [CrossRef]
- Stämmler, F.; Grassi, M.; Meeusen, J.W.; Lieske, J.C.; Dasari, S.; Dubourg, L.; Lemoine, S.; Ehrich, J.; Schiffer, E. Estimating Glomerular Filtration Rate from Serum Myo-Inositol, Valine, Creatinine and Cystatin C. Diagnostics 2021, 11, 2291. [Google Scholar] [CrossRef]
- Fuhrmann, M.; Schwaeble Santamaria, A.; Scott, R.; Meeusen, J.W.; Fernandes, M.; Venz, J.; Rothe, V.; Stämmler, F.; Ehrich, J.; Schiffer, E. Analytical Validation of GFRNMR: A Blood-Based Multiple Biomarker Assay for Accurate Estimation of Glomerular Filtration Rate. Diagnostics 2022, 12, 1120. [Google Scholar] [CrossRef]
- Meeusen, J.W.; Stämmler, F.; Dasari, S.; Schiffer, E.; Lieske, J.C. Serum Myo-Inositol and Valine Improve Metabolomic-Based Estimated Glomerular Filtration Rate among Kidney Transplant Recipients. Front. Med. 2022, 9, 988989. [Google Scholar] [CrossRef]
- Seegmiller, J.C.; Burns, B.E.; Fauq, A.H.; Mukhtar, N.; Lieske, J.C.; Larson, T.S. Iothalamate Quantification by Tandem Mass Spectrometry to Measure Glomerular Filtration Rate. Clin. Chem. 2010, 56, 568–574. [Google Scholar] [CrossRef] [PubMed]
- Piéroni, L.; Delanaye, P.; Boutten, A.; Bargnoux, A.-S.; Rozet, E.; Delatour, V.; Carlier, M.-C.; Hanser, A.-M.; Cavalier, E.; Froissart, M.; et al. A Multicentric Evaluation of IDMS-Traceable Creatinine Enzymatic Assays. Clin. Chim. Acta 2011, 412, 2070–2075. [Google Scholar] [CrossRef] [PubMed]
- Grubb, A.; Blirup-Jensen, S.; Lindström, V.; Schmidt, C.; Althaus, H.; Zegers, I.; IFCC Working Group on Standardisation of Cystatin C (WG-SCC). First Certified Reference Material for Cystatin C in Human Serum ERM-DA471/IFCC. Clin. Chem. Lab. Med. 2010, 48, 1619–1621. [Google Scholar] [CrossRef]
- Ehrich, J.; Dubourg, L.; Hansson, S.; Pape, L.; Steinle, T.; Fruth, J.; Höckner, S.; Schiffer, E. Serum Myo-Inositol, Dimethyl Sulfone, and Valine in Combination with Creatinine Allow Accurate Assessment of Renal Insufficiency-A Proof of Concept. Diagnostics 2021, 11, 234. [Google Scholar] [CrossRef]
- Machin, D.; Campbell, M.J.; Tan, S.-B.; Tan, S.-H. Sample Size Tables for Clinical Studies, 3rd ed.; Wiley: Hoboken, NJ, USA, 2009; ISBN 978-1-4443-0072-7. [Google Scholar]
- R Core Team. R: The R Project for Statistical Computing. R Package Version 4.0.2. 2020. Available online: https://www.r-project.org/ (accessed on 14 July 2022).
- Chambers, J.M. Data for Models. In Statistical Models in S; Chambers, J.M., Hastie, T.J., Eds.; Wadsworth and Brooks/Cole: Pacific Grove, CA, USA, 1992; ISBN 0-534-16765-9. [Google Scholar]
- Dowle, M.; Srinivasan, A.; Gorecki, J.; Chirico, M.; Stetsenko, P.; Short, T.; Lianoglou, S.; Antonyan, E.; Bonsch, M.; Parsonage, H.; et al. Data.Table: Extension of “Data.Frame”. R Package Version 1.13.2. 2020. Available online: https://CRAN.R-project.org/package=data.table (accessed on 14 July 2022).
- Biecek, P.; Kosiński, M. Archivist: An R Package for Managing, Recording and Restoring Data Analysis Results. J. Stat. Softw. 2017, 82, 1–28. [Google Scholar] [CrossRef]
- Davison, A.C.; Hinkley, D.V. Bootstrap Methods and Their Application; Cambridge Series in Statistical and Probabilistic Mathematics; Cambridge University Press: Cambridge, MA, USA, 1997; ISBN 0-521-57391-2. Available online: http://statwww.epfl.ch/davison/BMA/ (accessed on 26 July 2021).
- Canty, A.; Ripley, B.D. Boot: Bootstrap R (S-Plus) Functions. R Package Version 1.3-25. 2020. Available online: http://statwww.epfl.ch/davison/BMA/library.html (accessed on 14 July 2022).
- Wickham, H. Ggplot2: Elegant Graphics for Data Analysis, 2nd ed.; Use R!; Springer International Publishing: Cham, Switzerland, 2016; ISBN 978-3-319-24275-0. [Google Scholar]
- Wilcoxon, F. Individual Comparisons by Ranking Methods. Biom. Bull. 1945, 1, 80–83. [Google Scholar] [CrossRef]
- Siegel, S. Nonparametric Statistics for the Behavioral Sciences; McGraw-Hill: New York, NY, USA, 1956; ISBN 978-0-07-085689-9. [Google Scholar]
- Benjamini, Y.; Hochberg, Y. Controlling the False Discovery Rate: A Practical and Powerful Approach to Multiple Testing. J. R. Stat. Soc. Ser. B. 1995, 57, 289–300. [Google Scholar] [CrossRef]
- Yekutieli, D.; Benjamini, Y. Resampling-Based False Discovery Rate Controlling Multiple Test Procedures for Correlated Test Statistics. J. Stat. Plan. Inference 1999, 82, 171–196. [Google Scholar] [CrossRef]
- McNemar, Q. Note on the Sampling Error of the Difference between Correlated Proportions or Percentages. Psychometrika 1947, 12, 153–157. [Google Scholar] [CrossRef]
- Pencina, M.J.; D’Agostino, R.B.; D’Agostino, R.B.; Vasan, R.S. Evaluating the Added Predictive Ability of a New Marker: From Area under the ROC Curve to Reclassification and Beyond. Stat. Med. 2008, 27, 157–172; discussion 207–212. [Google Scholar] [CrossRef]
- Dreiseitl, S.; Ohno-Machado, L.; Binder, M. Comparing Three-Class Diagnostic Tests by Three-Way ROC Analysis. Med. Decis. Mak. 2000, 20, 323–331. [Google Scholar] [CrossRef]
- Nakas, C.T.; Yiannoutsos, C.T. Ordered Multiple-Class ROC Analysis with Continuous Measurements. Stat. Med. 2004, 23, 3437–3449. [Google Scholar] [CrossRef] [PubMed]
- Shafi, T.; Zhu, X.; Lirette, S.T.; Rule, A.D.; Mosley, T.; Butler, K.R.; Hall, M.E.; Vaitla, P.; Wynn, J.J.; Tio, M.C.; et al. Quantifying Individual-Level Inaccuracy in Glomerular Filtration Rate Estimation: A Cross-Sectional Study. Ann. Intern. Med. 2022, 175, 1073–1082. [Google Scholar] [CrossRef] [PubMed]
- Austin, P.C.; Tu, J.V.; Daly, P.A.; Alter, D.A. The Use of Quantile Regression in Health Care Research: A Case Study Examining Gender Differences in the Timeliness of Thrombolytic Therapy. Stat. Med. 2005, 24, 791–816. [Google Scholar] [CrossRef]
- Levin, A.S.; Bilous, R.W.; Coresh, J. KDIGO 2012 Clinical Practice Guideline for the Evaluation and Management of Chronic Kidney Disease-Chapter 1: Definition and Classification of CKD. Kidney Int. Suppl. 2013, 3, 19–62. [Google Scholar] [CrossRef]
- Sehgal, A.R. Race and the False Precision of Glomerular Filtration Rate Estimates. Ann. Intern. Med. 2020, 173, 1008–1009. [Google Scholar] [CrossRef]
- Levey, A.S.; Tighiouart, H.; Inker, L.A. Improving Glomerular Filtration Rate Estimation-Across the Age and Diversity Spectrum. Ann. Intern. Med. 2021, 174, 265–267. [Google Scholar] [CrossRef] [PubMed]
- Steubl, D.; Inker, L.A. How Best to Estimate Glomerular Filtration Rate? Novel Filtration Markers and Their Application. Curr. Opin. Nephrol. Hypertens 2018, 27, 398–405. [Google Scholar] [CrossRef]
- Schnaper, H.W.; Furth, S.L.; Yao, L.P. Defining New Surrogate Markers for CKD Progression. Pediatr. Nephrol. 2015, 30, 193–198. [Google Scholar] [CrossRef] [PubMed]
- Wilkinson, R. Beta-Blockers and Renal Function. Drugs 1982, 23, 195–206. [Google Scholar] [CrossRef] [PubMed]
- Hart, P.D.; Bakris, G.L. Should Beta-Blockers Be Used to Control Hypertension in People with Chronic Kidney Disease? Semin. Nephrol. 2007, 27, 555–564. [Google Scholar] [CrossRef] [PubMed]
- Johns, E.J.; Kopp, U.C.; DiBona, G.F. Neural Control of Renal Function. Compr. Physiol. 2011, 1, 731–767. [Google Scholar] [CrossRef]
- Kwong, Y.-T.D.; Stevens, L.A.; Selvin, E.; Zhang, Y.L.; Greene, T.; Van Lente, F.; Levey, A.S.; Coresh, J. Imprecision of Urinary Iothalamate Clearance as a Gold-Standard Measure of GFR Decreases the Diagnostic Accuracy of Kidney Function Estimating Equations. Am. J. Kidney Dis. 2010, 56, 39–49. [Google Scholar] [CrossRef]
- Soveri, I.; Berg, U.B.; Björk, J.; Elinder, C.-G.; Grubb, A.; Mejare, I.; Sterner, G.; Bäck, S.-E. SBU GFR Review Group Measuring GFR: A Systematic Review. Am. J. Kidney Dis. 2014, 64, 411–424. [Google Scholar] [CrossRef]




| Study Population, N (%) | 115 (100.0%) |
|---|---|
| Sex, N (%) | |
| Female | 50 (43.5%) |
| Male | 65 (56.5%) |
| Age group in years, N (%) | |
| <50 | 37 (32.2%) |
| 50–64 | 55 (47.8%) |
| ≥65 | 23 (20.0%) |
| Age in years, Mean ± SD (range) | 54.9 ± 10.6 (32.0–78.0) |
| Height in cm, Mean ± SD (range) 1 | 171.7 ± 9.9 (148.0–195.0) |
| Weight in kg, Mean ± SD (range) 1 | 87.9 ± 20.8 (51.0–161.0) |
| Ethnicity, N (%) | |
| White | 112 (97.4%) |
| Asian | 1 (0.9%) |
| Black or African American | 1 (0.9%) |
| Not disclosed | 1 (0.9%) |
| CKD Stage, N (%) 2 | |
| G1 | 13 (11.3%) |
| G2 | 48 (41.7%) |
| G3a | 36 (31.3%) |
| G3b | 15 (13.0%) |
| G4 | 3 (2.6%) |
| G5 | 0 (0.0%) |
| Underlying disease or condition, N (%) | |
| Solid-organ transplantation (n missing = 13) 1 | 102 (88.7%) |
| Kidney transplantation 3 | 69 (60.0%) |
| Chronic kidney disease (CKD) (n missing = 3) 1 | 76 (66.1%) |
| Liver disease | 33 (28.7%) |
| Nephrectomy (n missing = 1) 1 | 13 (11.3%) |
| Concomitant disease, N (%) | |
| Hypertension | 80 (69.6%) |
| Dyslipidemia | 75 (65.2%) |
| Hyperlipidemia | 67 (60.0%) |
| Diabetes mellitus (n missing = 1) 1 | 26 (22.6%) |
| Cardiovascular disease (n missing = 2) 1 | 22 (19.1%) |
| Medication, N (%) | |
| Immunosuppressive agents (n missing = 1) 1 | 101 (87.8%) |
| Corticosteroids (n missing = 2) 1 | 55 (47.8%) |
| Beta-blocker (n missing = 2) 1 | 41 (35.7%) |
| ACE inhibitor (n missing = 2) 1 | 21 (18.3%) |
| Antidiabetics (n missing = 2) 1 | 22 (19.1%) |
| Measured GFR (mGFR), Mean (SD) 4 | 64.2 (20.8) |
| Estimated GFR (eGFR), Mean (SD) 4 | |
| CKD-EPI2021Cr | 63.6 (20.2) |
| CKD-EPI2021CrCys | 63.8 (21.5) |
| GFRNMR | 64.1 (18.7) |
| Variable | Performance Value |
|---|---|
| Median signed bias to mGFR (95% CI) 1 | |
| CKD-EPI2021Cr | 1.0 (0.3; 6.8) |
| CKD-EPI2021CrCys | 0.4 (−2.1; 3.3) |
| GFRNMR | 2.0 (1.0; 4.0) |
| Precision—IQR of the difference to mGFR (95% CI) 1 | |
| CKD-EPI2021Cr | 16.8 (12.9; 19.9) * |
| CKD-EPI2021CrCys | 17.9 (14.0; 21.9) * |
| GFRNMR | 10.5 (5.5; 13.0) |
| Accuracy—P15 (95% CI) [%] 2 | |
| CKD-EPI2021Cr | 52.2 (43.5; 60.9) * |
| CKD-EPI2021CrCys | 48.7 (39.2; 57.4) ** |
| GFRNMR | 66.1 (57.4; 74.8) |
| Accuracy—P20 (95% CI) [%] 2 | |
| CKD-EPI2021Cr | 73.0 (64.3; 80.9) |
| CKD-EPI2021CrCys | 60.0 (51.3; 68.7) *** |
| GFRNMR | 80.0 (73.0; 87.0) |
| Accuracy—P30 (95% CI) [%] 2 | |
| CKD-EPI2021Cr | 87.0 (80.9; 93.0) * |
| CKD-EPI2021CrCys | 86.1 (80.0; 92.2) ** |
| GFRNMR | 95.7 (92.2; 100.0) |
| Variable | eGFR Equation | |||
|---|---|---|---|---|
| GFRNMR | CKD—EPI2021Cr | CKD—EPI2021CrCys | ||
| CKD | Yes (n = 76) | 0.5 (−2.0; 2.0) | 1.3 (−1.2; 5.8) | 2.1 (−0.8; 6.4) |
| No (n = 39) | 2.0 (−1.0; 7.0) | −6.9 (−15.6; −2.6) | −2.4 (−7.9; 5.2) | |
| p-value 1 | 0.96 | 0.12 | 0.29 | |
| Kidney transplantation | Yes (n = 69) | 1.0 (−1.0; 3.0) | 1.5 (−1.1; 6.1) | 2.3 (−1.3; 6.8) |
| No (n = 46) | 2.0 (−1.0; 5.0) | −6.4 (−14.7; −2.4) | −2.2 (−6.6; 5.5) | |
| p-value 1 | 0.94 | 0.12 | 0.18 | |
| Hypertension | Yes (n = 80) | 0.5 (−2.0; 2.0) | 1.1 (−0.9; 5.4) | 0.6 (−2.7; 4.4) |
| No (n = 35) | 2.0 (−2.0; 4.0) | −4.7 (−13.5; −2.3) | −0.9 (−8.4; 2.8) | |
| p-value 1 | 0.33 | 0.78 | 0.79 | |
| Hyperlipidemia | Yes (n = 67) | 0.0 (−3.0; 1.0) | −1.0 (−4.7; 4.0) | −0.8 (−5.2; 2.0) |
| No (n = 48) | 2.0 (−1.0; 4.5) | 1.7 (−0.4; 9.5) | 0.9 (−5.1; 5.7) | |
| p-value 1 | 0.41 | 0.64 | 0.50 | |
| Immunosuppressive agents | Yes (n = 101) | 2.0 (1.0; 4.0) | 1.2 (−1.5; 5.5) | 1.9 (−1.0; 6.0) |
| No (n = 14) | 0.5 (−5.0; 13.0) | −11.8 (−21.1; −9.4) | −10.7 (−17.8; −5.6) | |
| p-value 1 | 0.21 | 0.002 | 0.007 | |
| Corticosteroids | Yes (n = 55) | 1.0 (−1.0; 3.0) | 1.6 (−3.1; 6.4) | 2.3 (−0.8; 6.8) |
| No (n = 60) | 2.0 (0.0; 5.0) | −3.7 (−9.2; −0.3) | −2.0 (−6.9; 3.8) | |
| p-value 1 | 0.88 | 0.11 | 0.13 | |
| Beta blockers | Yes (n = 41) | 0.0 (−3.0; 4.0) | −0.2 (−3.6; 6.6) | −2.7 (−10.9; 2.1) |
| No (n = 74) | 2.0 (0.0; 4.0) | 1.1 (−1.6; 7.2) | 1.2 (−1.7; 4.5) | |
| p-value 1 | 0.05 | 0.43 | 0.22 | |
Disclaimer/Publisher’s Note: The statements, opinions and data contained in all publications are solely those of the individual author(s) and contributor(s) and not of MDPI and/or the editor(s). MDPI and/or the editor(s) disclaim responsibility for any injury to people or property resulting from any ideas, methods, instructions or products referred to in the content. |
© 2023 by the authors. Licensee MDPI, Basel, Switzerland. This article is an open access article distributed under the terms and conditions of the Creative Commons Attribution (CC BY) license (https://creativecommons.org/licenses/by/4.0/).
Share and Cite
Schwäble Santamaria, A.; Grassi, M.; Meeusen, J.W.; Lieske, J.C.; Scott, R.; Robertson, A.; Schiffer, E. Performance of Nuclear Magnetic Resonance-Based Estimated Glomerular Filtration Rate in a Real-World Setting. Bioengineering 2023, 10, 717. https://doi.org/10.3390/bioengineering10060717
Schwäble Santamaria A, Grassi M, Meeusen JW, Lieske JC, Scott R, Robertson A, Schiffer E. Performance of Nuclear Magnetic Resonance-Based Estimated Glomerular Filtration Rate in a Real-World Setting. Bioengineering. 2023; 10(6):717. https://doi.org/10.3390/bioengineering10060717
Chicago/Turabian StyleSchwäble Santamaria, Amauri, Marcello Grassi, Jeffrey W. Meeusen, John C. Lieske, Renee Scott, Andrew Robertson, and Eric Schiffer. 2023. "Performance of Nuclear Magnetic Resonance-Based Estimated Glomerular Filtration Rate in a Real-World Setting" Bioengineering 10, no. 6: 717. https://doi.org/10.3390/bioengineering10060717
APA StyleSchwäble Santamaria, A., Grassi, M., Meeusen, J. W., Lieske, J. C., Scott, R., Robertson, A., & Schiffer, E. (2023). Performance of Nuclear Magnetic Resonance-Based Estimated Glomerular Filtration Rate in a Real-World Setting. Bioengineering, 10(6), 717. https://doi.org/10.3390/bioengineering10060717

