An Explainable Machine-Learning Model for Compensatory Reserve Measurement: Methods for Feature Selection and the Effects of Subject Variability
Abstract
1. Introduction
1.1. Overview of Feature Extraction
1.2. Compensatory Reserve Measurement
2. Materials and Methods
2.1. Retrospective Analysis of Lower Body Negative Pressure Datasets
2.2. Pre-Processing Datasets
2.3. Feature Extraction Methodology
2.4. Machine-Learning Models
2.5. Deep-Learning Model
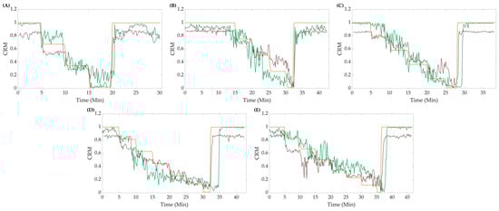
3. Results
3.1. Machine-Learning Model and Number of Features Selection
3.2. Effect of LBNP Final Step Reached on Model Performance
3.3. Differences in Features for Separate Models
3.4. Deep-Learning Results
4. Discussion
5. Conclusions
Supplementary Materials
Author Contributions
Funding
Institutional Review Board Statement
Informed Consent Statement
Data Availability Statement
Conflicts of Interest
DoD Disclaimer
References
- Townsend, S.; Lasher, W. The U.S. Army in Multi-Domain Operations 2028; U.S. Army: Arlington, VA, USA, 2018. [Google Scholar]
- Carius, B.M.; Naylor, J.F.; April, M.D.; Fisher, A.D.; Hudson, I.L.; Stednick, P.J.; Maddry, J.K.; Weitzel, E.K.; Convertino, V.A.; Schauer, S.G. Battlefield Vital Sign Monitoring in Role 1 Military Treatment Facilities: A Thematic Analysis of After-Action Reviews from the Prehospital Trauma Registry. Mil. Med. 2020, 187, e28–e33. [Google Scholar] [CrossRef]
- Ates, H.C.; Nguyen, P.Q.; Gonzalez-Macia, L.; Morales-Narváez, E.; Güder, F.; Collins, J.J.; Dincer, C. End-to-End Design of Wearable Sensors. Nat. Rev. Mater. 2022, 7, 887–907. [Google Scholar] [CrossRef] [PubMed]
- Castaneda, D.; Esparza, A.; Ghamari, M.; Soltanpur, C.; Nazeran, H. A Review on Wearable Photoplethysmography Sensors and Their Potential Future Applications in Health Care. Int. J. Biosens. Bioelectron. 2018, 4, 195–202. [Google Scholar] [CrossRef] [PubMed]
- Dias, D.; Paulo Silva Cunha, J. Wearable Health Devices—Vital Sign Monitoring, Systems and Technologies. Sensors 2018, 18, 2414. [Google Scholar] [CrossRef] [PubMed]
- Convertino, V.A.; Wirt, M.D.; Glenn, J.F.; Lein, B.C. The Compensatory Reserve for Early and Accurate Prediction of Hemodynamic Compromise: A Review of the Underlying Physiology. Shock 2016, 45, 580–590. [Google Scholar] [CrossRef]
- Convertino, V.A.; Koons, N.J.; Suresh, M.R. Physiology of Human Hemorrhage and Compensation. Compr. Physiol. 2011, 11, 1531–1574. [Google Scholar]
- Looney, D.P.; Buller, M.J.; Gribok, A.V.; Leger, J.L.; Potter, A.W.; Rumpler, W.V.; Tharion, W.J.; Welles, A.P.; Friedl, K.E.; Hoyt, R.W. Estimating Resting Core Temperature Using Heart Rate. J. Meas. Phys. Behav. 2018, 1, 79–86. [Google Scholar] [CrossRef]
- Daimiwal, N.; Sundhararajan, M.; Shriram, R. Respiratory Rate, Heart Rate and Continuous Measurement of BP Using PPG. In Proceedings of the 2014 International Conference on Communication and Signal Processing, Chennai, India, 3–5 April 2014; pp. 999–1002. [Google Scholar]
- Jeong, I.; Jun, S.; Um, D.; Oh, J.; Yoon, H. Non-Invasive Estimation of Systolic Blood Pressure and Diastolic Blood Pressure Using Photoplethysmograph Components. Yonsei Med. J. 2010, 51, 345–353. [Google Scholar] [CrossRef]
- Kurylyak, Y.; Lamonaca, F.; Grimaldi, D. A Neural Network-Based Method for Continuous Blood Pressure Estimation from a PPG Signal. In Proceedings of the 2013 IEEE International Instrumentation and Measurement Technology Conference (I2MTC), Minneapolis, MN, USA, 6–9 May 2013; pp. 280–283. [Google Scholar]
- Sun, S.; Bezemer, R.; Long, X.; Muehlsteff, J.; Aarts, R.M. Systolic Blood Pressure Estimation Using PPG and ECG during Physical Exercise. Physiol. Meas. 2016, 37, 2154. [Google Scholar] [CrossRef]
- Moulton, S.L.; Mulligan, J.; Grudic, G.Z.; Convertino, V.A. Running on Empty? The Compensatory Reserve Index. J. Trauma Acute Care Surg. 2013, 75, 1053–1059. [Google Scholar] [CrossRef]
- Techentin, R.W.; Felton, C.L.; Schlotman, T.E.; Gilbert, B.K.; Joyner, M.J.; Curry, T.B.; Convertino, V.A.; Holmes, D.R.; Haider, C.R. 1D Convolutional Neural Networks for Estimation of Compensatory Reserve from Blood Pressure Waveforms. In Proceedings of the 2019 41st Annual International Conference of the IEEE Engineering in Medicine and Biology Society (EMBC), Berlin, Germany, 23–27 July 2019; IEEE: New York, NY, USA, 2019; pp. 2169–2173. [Google Scholar]
- Shin, D. The Effects of Explainability and Causability on Perception, Trust, and Acceptance: Implications for Explainable AI. Int. J. Hum.-Comput. Stud. 2021, 146, 102551. [Google Scholar] [CrossRef]
- Amann, J.; Blasimme, A.; Vayena, E.; Frey, D.; Madai, V.I.; the Precise4Q consortium. Explainability for Artificial Intelligence in Healthcare: A Multidisciplinary Perspective. BMC Med. Inform. Decis. Mak. 2020, 20, 310. [Google Scholar] [CrossRef] [PubMed]
- Folke, T.; Yang, S.C.-H.; Anderson, S.; Shafto, P. Explainable AI for Medical Imaging: Explaining Pneumothorax Diagnoses with Bayesian Teaching. In Proceedings of the Artificial Intelligence and Machine Learning for Multi-Domain Operations Applications III, Online Only, 12–16 April 2021; SPIE: Bellingham, WA, USA, 2021; Volume 11746, pp. 644–664. [Google Scholar]
- Hatib, F.; Jian, Z.; Buddi, S.; Lee, C.; Settels, J.; Sibert, K.; Rinehart, J.; Cannesson, M. Machine-Learning Algorithm to Predict Hypotension Based on High-Fidelity Arterial Pressure Waveform Analysis. Anesthesiology 2018, 129, 663–674. [Google Scholar] [CrossRef] [PubMed]
- Krishnan, S.; Athavale, Y. Trends in Biomedical Signal Feature Extraction. Biomed. Signal Process. Control 2018, 43, 41–63. [Google Scholar] [CrossRef]
- Amin, H.U.; Malik, A.S.; Ahmad, R.F.; Badruddin, N.; Kamel, N.; Hussain, M.; Chooi, W.-T. Feature Extraction and Classification for EEG Signals Using Wavelet Transform and Machine Learning Techniques. Australas. Phys. Eng. Sci. Med. 2015, 38, 139–149. [Google Scholar] [CrossRef]
- Gupta, J.F.; Arshad, S.H.; Telfer, B.A.; Snider, E.J.; Convertino, V.A. Noninvasive Monitoring of Simulated Hemorrhage and Whole Blood Resuscitation. Biosensors 2022, 12, 1168. [Google Scholar] [CrossRef]
- Convertino, V.A.; Schauer, S.G.; Weitzel, E.K.; Cardin, S.; Stackle, M.E.; Talley, M.J.; Sawka, M.N.; Inan, O.T. Wearable Sensors Incorporating Compensatory Reserve Measurement for Advancing Physiological Monitoring in Critically Injured Trauma Patients. Sensors 2020, 20, 6413. [Google Scholar] [CrossRef]
- Goswami, N.; Blaber, A.P.; Hinghofer-Szalkay, H.; Convertino, V.A. Lower Body Negative Pressure: Physiological Effects, Applications, and Implementation. Physiol. Rev. 2019, 99, 807–851. [Google Scholar] [CrossRef]
- Eleti, A.A.; Zerek, A.R. FIR Digital Filter Design by Using Windows Method with MATLAB. In Proceedings of the 14th International Conference on Sciences and Techniques of Automatic Control & Computer Engineering-STA’2013, Sousse, Tunisia, 20–22 December 2013; IEEE: New York, NY, USA, 2013; pp. 282–287. [Google Scholar]
- Gupta, J.F.; Telfer, B.A.; Convertino, V.A. Feature Importance Analysis for Compensatory Reserve to Predict Hemorrhagic Shock. In Proceedings of the 2022 44th Annual International Conference of the IEEE Engineering in Medicine & Biology Society (EMBC), Glasgow, UK, 11–15 July 2022; IEEE: New York, NY, USA; pp. 1747–1752. [Google Scholar]
- Ding, C.; Peng, H. Minimum Redundancy Feature Selection from Microarray Gene Expression Data. J. Bioinform. Comput. Biol. 2005, 3, 185–205. [Google Scholar] [CrossRef]
- Kern, C.; Klausch, T.; Kreuter, F. Tree-Based Machine Learning Methods for Survey Research. Surv. Res. Methods 2019, 13, 73–93. [Google Scholar]
- Kotsiantis, S.B.; Tsekouras, G.E.; Pintelas, P.E. Bagging Model Trees for Classification Problems. In Advances in Informatics, Proceedings of the 10th Panhellenic Conference On Informatics (Hci’99), Volas, Greece, 11–13 November 2005; Bozanis, P., Houstis, E.N., Eds.; Springer: Berlin/Heidelberg, Germany, 2005; pp. 328–337. [Google Scholar]
- Hayes, T.; Usami, S.; Jacobucci, R.; McArdle, J.J. Using Classification and Regression Trees (CART) and Random Forests to Analyze Attrition: Results from Two Simulations. Psychol. Aging 2015, 30, 911–929. [Google Scholar] [CrossRef] [PubMed]
- Convertino, V.A.; Koons, N.J. The Compensatory Reserve: Potential for Accurate Individualized Goal-Directed Whole Blood Resuscitation. Transfusion 2020, 60, S150–S157. [Google Scholar] [CrossRef] [PubMed]






| Feature Types | Description | Number of Features |
|---|---|---|
| Individual Features | Features from the arterial waveform consist of standard waveform measurements (such as pulse pressure [PP] and peak-to-peak interval [PPI]). | 7 |
| Time Duration Features | Duration of certain phases of the arterial waveform (such as time from half-rise to inflection point [HRIP] and duration of the systolic phase [t_sys]). | 6 |
| Average Pressure Features | Average pressures of different arterial waveform phases. | 5 |
| Area Under the Curve Features | Area under the curve of different waveform phases. | 5 |
| Normalized Features | Area features normalized by the number of samples in the waveform and phases. | 10 |
| NODIA Features | Area under the curve and normalized features subtracted by the waveform value of the inflection point. | 18 |
| Slope Features | Average slope of different phases of the arterial waveform. | 3 |
| 15 Features | ||||
| Training | Testing | |||
| Model | P-RMSE | P-R2 | P-RMSE | P-R2 |
| Linear Regression | 0.17865 | 0.74 | 0.17766 | 0.73 |
| Fine Tree | 0.10133 | 0.92 | 0.23274 | 0.54 |
| Medium Tree | 0.10176 | 0.92 | 0.21663 | 0.6 |
| Coarse Tree | 0.10957 | 0.9 | 0.20097 | 0.66 |
| Boosted Tree | 0.14322 | 0.83 | 0.15966 | 0.78 |
| Bagged Tree | 0.07762 | 0.95 | 0.17133 | 0.75 |
| 10 Features | ||||
| Training | Testing | |||
| Model | P-RMSE | P-R2 | P-RMSE | P-R2 |
| Linear Regression | 0.17865 | 0.74 | 0.18431 | 0.71 |
| Fine Tree | 0.10133 | 0.92 | 0.22312 | 0.58 |
| Medium Tree | 0.10306 | 0.91 | 0.20833 | 0.63 |
| Coarse Tree | 0.11149 | 0.9 | 0.19978 | 0.66 |
| Boosted Tree | 0.14582 | 0.83 | 0.16202 | 0.78 |
| Bagged Tree | 0.079094 | 0.95 | 0.17442 | 0.74 |
| 5 Features | ||||
| Training | Testing | |||
| Model | P-RMSE | P-R2 | P-RMSE | P-R2 |
| Linear Regression | 0.1948 | 0.69 | 0.17942 | 0.73 |
| Fine Tree | 0.12501 | 0.87 | 0.2225 | 0.58 |
| Medium Tree | 0.12229 | 0.88 | 0.20916 | 0.63 |
| Coarse Tree | 0.12754 | 0.87 | 0.1925 | 0.68 |
| Boosted Tree | 0.15704 | 0.8 | 0.16573 | 0.77 |
| Bagged Tree | 0.1035 | 0.91 | 0.17708 | 0.73 |
| 1 Feature | ||||
| Training | Testing | |||
| Model | P-RMSE | P-R2 | P-RMSE | P-R2 |
| Linear Regression | 0.19957 | 0.68 | 0.18441 | 0.71 |
| Fine Tree | 0.20607 | 0.66 | 0.19594 | 0.67 |
| Medium Tree | 0.18954 | 0.71 | 0.17926 | 0.73 |
| Coarse Tree | 0.18142 | 0.73 | 0.16995 | 0.75 |
| Boosted Tree | 0.17921 | 0.74 | 0.17351 | 0.74 |
| Bagged Tree | 0.18796 | 0.71 | 0.1774 | 0.73 |
| Step Subgroup | P-R2 | P-RMSE | R2 | RMSE |
|---|---|---|---|---|
| 4 | 0.52 | 0.20 | 0.83 | 0.20 |
| 5 | 0.69 | 0.19 | 0.84 | 0.19 |
| 6 | 0.84 | 0.13 | 0.89 | 0.13 |
| 7 | 0.71 | 0.17 | 0.83 | 0.17 |
| 8 | 0.74 | 0.16 | 0.85 | 0.15 |
| All Steps | 8 Steps | 7 Steps | 6 Steps | 5 Steps | 4 Steps | |
|---|---|---|---|---|---|---|
| Rank | Feature | Feature | Feature | Feature | Feature | Feature |
| 1 | HRIP | sys_rise_area_norm+52 | sys_rise_area_norm+52 | HRIP= | sys_rise_area_norm+52 | HRIP= |
| 2 | dec_area_nor | SI+16 | sys_rise_area_nodia+18 | avg_sys_rise+35 | slope_desc_sys+5 | avg_dia+33 |
| 3 | t_sys_rise | t_sys_rise= | t_sys_rise= | avg_sys_rise_nodia+10 | avg_sys_nodia+11 | avg_sys_dec_nodia+1 |
| 4 | avg_sys_dec_nodia | avg_sys_dec_nodia= | HRIP−3 | PP+6 | dec_area_nodia+2 | sys_rise_area_norm+49 |
| 5 | avg_dia_nodia | HRIP−4 | PP+5 | t_sys_rise−2 | HRIP−4 | slope_sys+12 |
| 6 | dec_area_nodia | dia_area_nodia+9 | dec_area_nodia= | sys_area_norm+16 | avg_sys_dec_nodia−2 | t_sys_rise−3 |
| 7 | slope_desc_sys | slope_dia+1 | sys_area+2 | sys_dec_area+16 | t_sys_rise−4 | t_sys+23 |
| 8 | slope_dia | slope_desc_sys−1 | avg_sys_dec_nodia−4 | slope_dia= | slope_dia= | slope_desc_sys−1 |
| 9 | sys_area | sys_area_nodia+11 | slope_sys+8 | pp_area_nodia+10 | PP+1 | sys_area= |
| 10 | PP | pp_area_nodia+9 | slope_desc_sys−3 | avg_sys_nodia+4 | PPI+1 | dec_area_nodia−4 |
Disclaimer/Publisher’s Note: The statements, opinions and data contained in all publications are solely those of the individual author(s) and contributor(s) and not of MDPI and/or the editor(s). MDPI and/or the editor(s) disclaim responsibility for any injury to people or property resulting from any ideas, methods, instructions or products referred to in the content. |
© 2023 by the authors. Licensee MDPI, Basel, Switzerland. This article is an open access article distributed under the terms and conditions of the Creative Commons Attribution (CC BY) license (https://creativecommons.org/licenses/by/4.0/).
Share and Cite
Bedolla, C.N.; Gonzalez, J.M.; Vega, S.J.; Convertino, V.A.; Snider, E.J. An Explainable Machine-Learning Model for Compensatory Reserve Measurement: Methods for Feature Selection and the Effects of Subject Variability. Bioengineering 2023, 10, 612. https://doi.org/10.3390/bioengineering10050612
Bedolla CN, Gonzalez JM, Vega SJ, Convertino VA, Snider EJ. An Explainable Machine-Learning Model for Compensatory Reserve Measurement: Methods for Feature Selection and the Effects of Subject Variability. Bioengineering. 2023; 10(5):612. https://doi.org/10.3390/bioengineering10050612
Chicago/Turabian StyleBedolla, Carlos N., Jose M. Gonzalez, Saul J. Vega, Víctor A. Convertino, and Eric J. Snider. 2023. "An Explainable Machine-Learning Model for Compensatory Reserve Measurement: Methods for Feature Selection and the Effects of Subject Variability" Bioengineering 10, no. 5: 612. https://doi.org/10.3390/bioengineering10050612
APA StyleBedolla, C. N., Gonzalez, J. M., Vega, S. J., Convertino, V. A., & Snider, E. J. (2023). An Explainable Machine-Learning Model for Compensatory Reserve Measurement: Methods for Feature Selection and the Effects of Subject Variability. Bioengineering, 10(5), 612. https://doi.org/10.3390/bioengineering10050612

