Abstract
Low Impact Development (LID) is one of the current research interests toward green infrastructures and urban flood control that have the capability to return developed watersheds to pre-development hydrological conditions, bringing numerous water quantity and quality benefits, while being cheaper than their traditional counterparts. However, there is a current research gap about LIDs within tropical regions. This study aims to evaluate the cost efficiency of LID scenarios in varying surface areas through a cost-effectiveness (C/E) analysis and to assess flow reduction and infiltration improvement of the cost-effective LID scenarios using US EPA Stormwater Management Model (SWMM) in a tropical residential catchment receiving an annual rainfall of 1780.5 mm (70.1″), under a Type 1 Philippine Climate. Results have shown that the Weibull plotting position generated the largest rainfall amounts. A total of 2112 manually simulated LID scenarios were modeled to obtain the cost-effective or optimal LID scenarios, where they can generate a maximum of 38.67% flow reduction and 29.73% peak flow reduction, all observed in the multiple LID scenarios. At high rainfall amounts, the multiple LID scenarios can also peak at a 1113% increase in total infiltration in the given sub-catchments. Determining the target capture goal, applicable LID types, and cost estimations from a pilot project are vital components in the future application of LIDs in these regions.
1. Introduction
The incessant global urban development is a result of the continuous technological, economic, and social advancements of the modern world. The rising trend of urbanization over the past few decades has been closely linked with the growing population and the gradual shift in rural-urban migration of both developed and underdeveloped countries [1], where most of the increase is expected in tropical and sub-tropical regions [2,3]. The expansion of impervious surfaces from this constant development has placed the natural ecosystem, hydrology, and resources under an extensive amount of anthropogenic pressure, especially from stormwater-induced risks [4,5,6]. These stormwater risks are expected to be more severe in tropical regions as the response of the tropical rainfall characteristics toward the warming climate is intensified rainfall and more frequent rarer floods [7]. In adapting to the rapidly occurring urbanization and changing climate conditions, sustainable and climate responsive design approaches, including sustainable infrastructures, optimal land use allocations, and decentralized water systems, have been recommended at a neighborhood level within these urbanized regions [3].
Conventional or traditional stormwater management systems, in the form of curbs, gutters, and other similar gray infrastructure, together with the changing climate conditions, led to a decrease in natural infiltration, increased peak flows, intensified urban flooding, and redistribution of the natural water balance [8]. To address the physical, environmental, and economic impacts of outdated stormwater control systems, the inclusion of the natural ecosystem and common landscape planning practices has become a common trend in several countries. This has been termed soft engineering, or sometimes called the nature-based approach, and one of the research interests in the application of soft engineering in stormwater infrastructure is Low Impact Development (LID). LID techniques pertain to the small, site-scale practices that mimic the predeveloped condition of an area, thereby restoring its natural hydrologic regime. This process further minimizes the developmental impacts through the reduction of built impervious material and the preservation of the natural processes [9]. Well-known examples of LID structures include pervious pavements, rain gardens, infiltration trenches, vegetative swales, and bioretentions [4,7,8], which have a recurring performance in improving groundwater recharge, reducing runoff pollutant levels, addressing the effects of climate change, and alleviating flood-related issues [10]. The use of LID techniques is also presently supported due to their ease of use, efficiency, and comparatively low cost [11]. The study by dos Santos et al. [12] has assessed a business-as-usual (BAU), infiltration well (IW), and LID scenario using life cycle cost analysis and hydrological modeling, where the LID scenario yielded the least costs after a performance-based analysis was conducted. Ariaratnam [13] has also studied the cost-effectiveness of green roofs and permeable pavements with a traditional stormwater conduit system, with results showing that life cycle costs of the LID methods yield cost savings that can range from 18.7% to 27.2% for a 50-year and 25-year service life, respectively. The comparison of these LID types has also been studied by other research [14] using cost to determine the cost-benefit of its application in various sites. While the distribution pattern of LID controls remains one of the major considerations in planning [15], the decentralization of these stormwater structures has been highlighted as it can reduce peak flow and peak flow time [16,17], and runoff pollutants [18]. Moreover, the difficulty in maximizing the use of LID practices has led to multiobjective optimization analyses through the use of approaches such as genetic algorithms and evolutionary algorithms [19], and the Electimize optimization algorithm [20], to name a few. Most of these LID optimization studies have focused on the design (LID type and area) and cost optimization as well as performance evaluation of multiple LIDs and uncertain parameters [21].
While the application of LID technology is utilized and studied in a variety of developed countries such as Japan, China, and the USA [22], expertise about LIDs in tropical countries is not yet explored. Modeling approaches have then been adopted in many studies for preliminary assessments and comparison with post LID applications, where the Stormwater Management Model (SWMM) has been widely used for a variety of stormwater-related research. Tobio, Maniquiz-Redillas, and Kim [23] used SWMM to evaluate the performance of a storage-infiltration system and tree box filter, where the LID controls attained a volume reduction ranging from 65.3–83.6%, a total suspended solid reduction ranging from 62.8–83.5%, and heavy metal reduction ranging from 38.3–67.9%. Bae and Lee [24] have simulated green roof and permeable pavement LID controls based on previous flood events using an SWMM model, with the LID scenario generating reduced runoff, flood volume, and peak flow while showing that its application can have the same effect with enlarging the area of the receiving conduits by 11–13%. Rong et al. [25] have modeled vegetative swales, sunken green spaces, rain barrels, and combined LID practices, where it netted a 5 to 35% peak flow reduction and over a 70% volume reduction with increasing return periods. The use of these modeling techniques can bridge the current research gap of LID application in these tropical locations.
The main objective of this study was to investigate the hydrological performance and decentralized modeling approach using the Stormwater Management Model (SWMM). The specific objectives of this study were (1) to characterize the rainfall using different plotting positions, (2) to evaluate the cost-efficiency of LID scenarios in varying surface areas through a cost-effectiveness analysis, and (3) to assess flow reduction and infiltration improvement of the cost-effective LID scenarios through simulations. The results of this study could be useful in understanding the efficiency of LID controls in varying rainfall amounts, which could be beneficial in pilot studies that lack preliminary site data. Likewise, the incorporation of cost-effectiveness analysis in LID projects could assist policymakers and urban planners in the optimization of LID selection and sizing.
2. Materials and Methods
The methodology of the study is shown in Figure 1, where site, rainfall, and cost data were collected to determine the scenarios for simulation and analysis. The LID and design rainfall scenarios were used in the SWMM model to obtain the flow reduction, whereas the cost data were used for estimating the optimistic and pessimistic life cycle costs of the LIDs. These flow reduction and cost estimate results were then used for the cost-effectiveness analysis, which will dictate the cost-effective or optimal LID scenarios in the site for further assessment.
Figure 1.
Flowchart of the research methodology.
2.1. Study Area
A residential subdivision located in Bacoor, Cavite, Philippines was selected as the site area for this study (14°27′6.3432″, 120°56′48.264″). Figure 2 shows the geographic location of the study area. The province of Cavite is under a tropical monsoon climate, which receives an annual rainfall of 1780.5 mm (70.1″) and has a temperature that ranges from 25.6 °C to 28.9 °C (78.0 °F to 84.0 °F). The area has been undergoing huge amounts of urbanization over the past few years, with its focus shifted to the residential sector. Residential areas already take up more than 72.67% of the existing land in 2015 and are proposed to expand to 77.45% by 2024, according to a local report [26].
Figure 2.
The geographical location of the study area in Bacoor, Cavite, Philippines.
The selected catchment in Cavite has an estimated area of 12,884 m2 (1.29 hectares). The catchment is almost fully impervious except for a small park (1151 m2) in the middle. This was selected as the proposed LID application area. The distribution of land types in the park area includes the parking lot (13.2%), lawn (27.0%), greeneries (8.33%), and pool area (42.7%), with only 38.7% of its total area categorized as green space.
2.2. Design Rainfall Scenarios
Daily rainfall data from the nearest rain gauge of the study area for the years 1975 to 2019 from the Philippine Atmospheric, Geophysical, and Astronomical Services Administration (PAGASA) were used in this study. The collected data for the years 1979, 1980, 1991, 2014, and 2015 were omitted, however, as they had missing daily data. Thus, a 40-year rainfall analysis was performed on the data of the chosen station. The 80th, 90th, 95th, and 99th rainfall percentiles were taken from this accumulated rainfall data through the use of plotting positions, as used by another study [27], for input in the model. Five different rainfall plotting positions, namely the California, Hazen, Weibull, Chegodayev, and Blom estimation methods [28,29], were compared for assessment. Equation (1) shows the formula for California, Equation (2) for Hazen, Equation (3) for Weibull, Equation (4) for Chegodayev, and Equation (5) for Blom plotting positions.
where is the probability of exceedance of the mth observation, is the rank, and is the number of observations.
2.3. Hydrologic Model
The US EPA SWMM is an open-source software used for modeling in this study. SWMM is used for single-event or long-term simulations of water runoff and is widely used for urban and non-urban zones to conduct planning, analysis, and design related to address stormwater runoff problems [30]. The integrated LID module in the software makes SWMM a commonly used model of much LID-related research [31,32,33,34,35,36,37], and it has also been coupled with other models such as PCSWMM [35] for additional calibration analyses.
The SWMM model of this study is composed of 6 sub-catchments, 1 conduit link, 1 junction, 1 outfall, and 1 rain gauge, as shown in Figure 3. Only one conduit was placed in the model as it was the only proven drainage line from the site investigation. In this assessment, it was presumed that the whole swimming area was completely impervious. The runoff that will accumulate on the surrounding impervious areas such as the residential roofs and roads was neglected in the model as the park area is elevated, implying that runoff from these areas was not to be treated by the LID controls to be placed. Therefore, the scope was limited to the park area only. The summary of the sub-catchment parameters is summarized in Table 1. Dynamic wave routing was selected as the flow routing method for the model because it was utilized in a previous LID study with a similar catchment land use [38], and it was noted as the routing method that can produce the most theoretically accurate results [30]. The Horton Infiltration Model was used as the infiltration model utilized by the previous research [33,34,35,38].
Figure 3.
Location of the greenery, parking lot, and lawn area in the study site and the decentralized SWMM model.
Table 1.
Model characteristics of the study site.
2.4. Low Impact Development Strategies
The selection of LID structures for this study was based on site limitations and availability in the SWMM software. The bioretention [14,31,33,39,40], infiltration trench [39], and permeable pavement [24,32,33,34], as identified in other studies, were taken as the LID controls to be used for simulation. Single LIDs and the combination scenarios of different LIDs were selected as scenarios for this study as in other studies [14,25] to compare the water quantity and overall effectiveness of each placement concerning its cost and to determine the optimal combination given the assessed parameters. Table 2 shows the summary of the scenarios used in this study. It was assessed that the implementation of LID controls was only possible for the lawn, greenery, and parking lot areas of the study site. The largest area was presumed to be captured by the bioretention in the lawn area and was closely followed by the infiltration trench through the surrounding greenery spaces. The permeable pavement, which was to be placed on the parking lot, catches the smallest portion of the park area at 14%. The application of all three LIDs in the site would dictate that the whole study site was treated by the LID controls.
Table 2.
LID scenarios used in the study.
2.5. Cost-Effectiveness Analysis
The cost performance of a given product or service can be generally computed by dividing the cost over its effectiveness, or inversely, effectiveness over its cost [25]. This study adopts the equation used in the study of Yang et al. [14], which divides this present value cost (PVC) over its present value benefit (PVB). The cost-effectiveness (C/E) ratio is shown in Equation (6). The inverse of this equation has been used in other LID-related studies such as those performed by previous studies [33]. The PVC selected for this study is the life cycle cost, while the PVB was based on the flow reductions for each scenario and rainfall percentile specified in the preceding sections.
where is the cost-effectiveness, is the present value cost, and is the present value benefit.
The capital costs, maintenance costs, and LID lifespan data estimated from previous studies in other countries [14,31,33,39,41] were used in this study as there are currently no available costing data for LIDs in the Philippines. The estimation of the optimistic and pessimistic cost estimates, as also performed by another study [12], were used in this assessment to determine the potential price ranges and the difference in sizing in the LID selection based on the lowest and highest taken costs. The bioretentions generally had the highest construction (64.52–158.9 USD/m2) and maintenance costs (3.55–7.19 USD/m2), followed by the infiltration trenches whose cost was middling in both the capital (65–123.6 USD/m2) and maintenance costs (1.86–6.18 USD/m2). The permeable pavements, which were the least costly control in terms of maintenance (0.28–1.57 USD/m2), had the largest capital cost range (28–150 USD/m2) as observed from different studies. These collected values were used as the basis for the maximum potential costs of the selected LIDs in the Philippines. Lower LID construction and maintenance costs are expected in the country due to its low gross domestic product (GDP) compared with the countries where data came from [42].
The life cycle cost (LCC) was then computed using these data to obtain the PVC values for each varying size. The LCC is an index that incorporates all costs throughout the lifetime of a material or service, including the capital, operation, maintenance, replacement, and salvage value cost. Equation (7) shows the computation of a product’s life cycle [43] and Equation (8) shows the computation for the real discount rate [44]. The nominal interest rate and inflation rate were based on historical data in the country since 2016, while the pessimistic LCC estimates of the selected LID controls were roughly 100–400% larger than the optimistic LCC estimates.
where represents the life cycle cost or present worth value, for the initial construction cost ($), for the annual maintenance cost ($), for the real discount rate, for the design life in years, is the inflation rate, and is the nominal interest rate.
3. Results and Discussion
3.1. Runoff Reduction with Respect to Design Rainfall
The design rainfall was identified by ranking the daily rainfall amount for each year through a plot, where the probability percentages were based on the selected plotting positions specified in Equations (1)–(5). The average of each year was then interpolated for each percentile to obtain the estimated rainfall amounts, as shown in Table 3. The Weibull distribution generated the largest amounts from the assessment, and this was closely followed by the Chegodayev, Blom, Hazen, and lastly, by the California plotting positions in all rainfall percentiles. These values were 0.65% to 3% larger than the other methods for the 80th percentile and around 5.22% to 15.44% larger in the 99th percentile, indicating that the difference was much more significant in higher rainfall percentiles.
Table 3.
Corresponding rainfall amount for each plotting position.
Figure 4 shows the distribution of the 40-year rainfall data using the Weibull distribution method, where most observed events had a value of less than 50 mm accumulated within the 80% to 90% probability. The total rainfall amount calculated by the distribution method and used in the simulation are as follows: 4.517 mm for the 80th percentile, 16.64 mm for the 90th percentile, 35.44 mm for the 95th percentile, and 99.44 mm for the 99th percentile. Since it produced the highest values in the assessment, the Weibull values were selected over other methods to prevent the underestimation of input rainfall in the model. Murugappan, Sivaprakasam, and Mohan [28] have also stated that the Weibull plotting position is the best distribution type in the frequency analysis of hydrologic data. Furthermore, this plotting position was used by another study in their rainfall analysis before LID modeling [27]. As this was still the daily amount, rainfall disaggregation using the Triangle method was performed on the 40-year rainfall data, where it was further distributed over a 24 h period as used by Frias and Maniquiz-Redillas [27].
Figure 4.
Weibull plotting position of all collected daily rainfall data for the years 1975 to 2019.
The computed rainfall values were placed in the model and then simulated to obtain the flow reductions for each scenario. Arbitrary LID surface areas in the form of surface area/catchment area (SA/CA) ratios were initially set in the model based on the limit on the available area to understand the flow reduction trend of increasing ratios, as used in similar studies [45,46]. Figure 5 presents a regression analysis of the flow reduction comparison of all LID controls used in the study with respect to SA/CA ratio for the corresponding 90th, 95th, and 99th rainfall percentiles. Results have indicated that increasing flow reduction could be achieved with increasing SA/CA ratios for each LID scenario. Higher flow reduction (more than 70%) was generally observed in lower rainfall percentiles (90th) for SA/CA ratio of at least 1.6.
Figure 5.
Regression analysis of the flow reduction of the bioretention (BR), infiltration trench (IT), and permeable pavement (PP) LID practices in the site area with respect to SA/CA ratio for the corresponding 90th, 95th, and 99th rainfall percentiles.
The current available surface areas on the sites have SA/CA ratios of 0.652, 0.209, and 1 for the BR, IT, and PP, respectively, and were enough to reach the maximum reduction capability in the site area, although it was generally not obtained in higher rainfall percentiles. The small size requirements to attain the maximum reduction capability were likely due to the small areas of the respective sub-catchments. Barring the limitations of capturing the 99th percentile, which did not attain this maximum reduction capability in any scenario, this showed that there was sufficient space to maximize the effectivity of the LID in the site area without completely occupying the available space.
The IT practices generated the largest flow reductions among all three single LID scenarios, reaching a 47.2% reduction in the 80th percentile, 31.2% reduction in the 90th percentile, 21.4% reduction in the 95th percentile, and 17.6% reduction in the 99th percentile in their maximum SA/CA ratios. These high percentages in comparison with other practices in this study were attributed to its large capture area from the delineation and impervious-heavy sub-catchments that it treats. This was followed by the BR practices, whose reductions can range from 26 to 45%, given that it has a larger green space available for construction. The PP practices tended to yield the least amount of flow reduction in the site even in higher SA/CA ratios, peaking only at around 15–18% in all four percentiles, due to its comparatively small space. In addition to these simulations, combination LID scenarios were also modeled in SWMM for comparison with the single LID scenarios.
3.2. Sizing Selection Based on Cost-Effectiveness Analysis
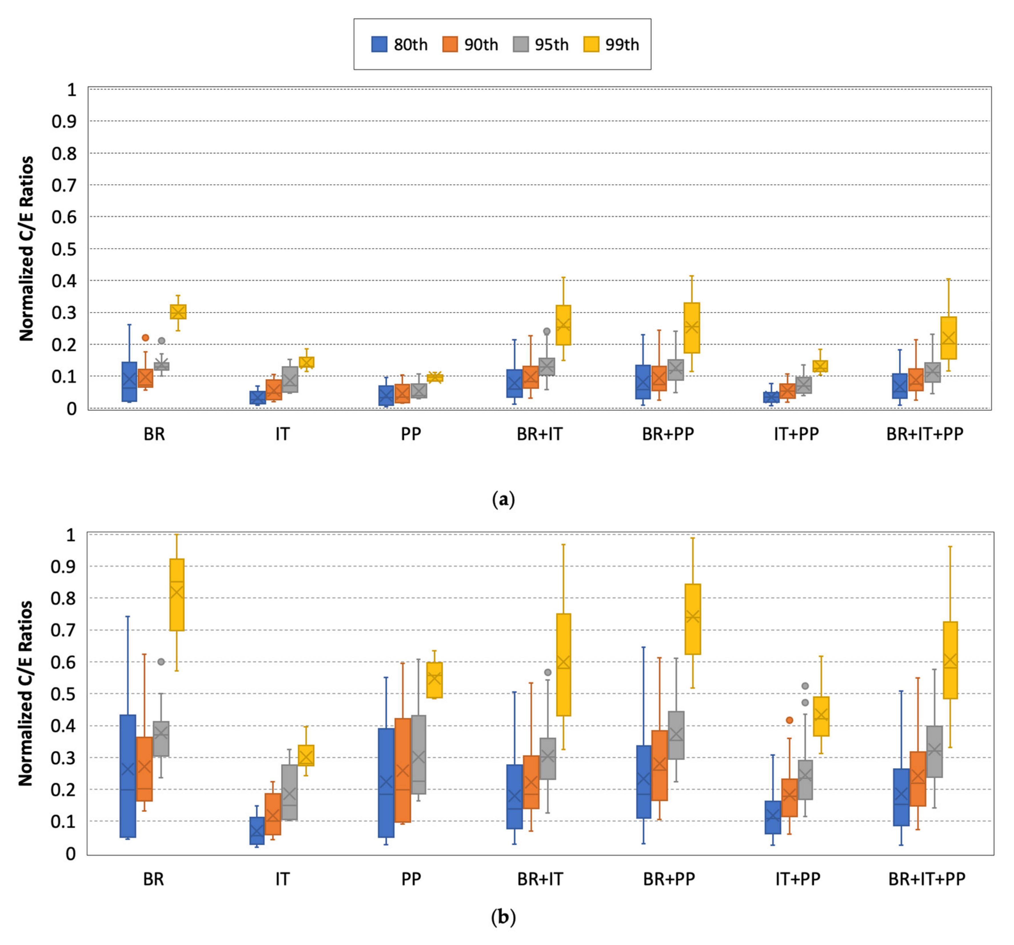
The cost-effectiveness assessment (C/E) of LID controls has been performed in other studies to assess their effectiveness in terms of water quality reduction [15,38] or water quantity improvement [12,13] with regard to the cost in the selection of optimal LID controls in their respective area. In this study, the C/E assessment was performed on all varying rainfall percentiles, LID scenarios, surface areas, and life cycle cost estimate to determine the most cost-effective sizes and combination of LID controls suited to the site area. This totaled to around 2112 manually simulated LID scenarios for assessment, with 4 additional baseline or no LID scenarios of each selected rainfall percentile for flow comparison. The normalized cost-effectiveness analysis results were presented in a box plot, as shown in Figure 6a,b for the optimistic and pessimistic estimate box plots, respectively.
Figure 6.
Box plot of the cost-effectiveness of the (a) optimistic estimate and (b) pessimistic estimate optimal scenarios.
The assessment of the obtained values can be separated from the differences in the cost estimates, rainfall percentiles, and LID scenarios. Comparing the two cost estimates, it was observed that the C/E ratios doubled from the optimistic to the pessimistic estimate. The optimistic estimate peaked at around 0.40 while the pessimistic estimate peaked at the largest normalized C/E ratio. The largest change was observed in the PP scenario, where it peaked at 0.10 in the optimistic estimate but reached a value of 0.60 in the pessimistic estimate, reflecting its huge price range from previous studies. The wide difference between the optimistic and pessimistic C/E ratios is an indication that there is a large range of variations for that specific structure. The permeable pavement structures, which attained this largest difference in this study, have many different variations in the form of concrete pavers, porous asphalt, and pervious concrete to name a few [4]. LID controls with large differences offer a distinct advantage as planners have multiple options for selection in application, although decision-making can become difficult if there are too many alternatives to choose from. In the comparison of the rainfall percentiles, it was revealed that the 80th, 90th, and 95th percentiles have average cost-effectiveness ratios near each other in all scenarios, with the 99th percentile being the outlier in the data group. This implied that capturing a rainfall percentile near this amount may not be sustainable and the optimal capture range would be between these three percentiles. Slightly larger costs and lesser reductions, however, were expected as the percentiles increased. The selection of the best rainfall percentile for capture would still be dependent on the location due to diverse rainfall amounts in the Philippines. In comparing the LID scenarios, it was observed that scenarios with multiple LID controls (BR + IT, BR + PP, IT + PP, and BR + IT + PP scenarios) generally have a smaller ‘box’ as opposed to single LID scenarios (BR, IT, and PP scenarios), indicating that the payoff for these scenarios is typically better despite the higher initial costs. The average cost-effectiveness ratio was also observed to be lower than in single LID scenarios, which makes the multiple LID scenarios a more efficient choice. The lowest ratios, however, were still observed within the single LID practices. The averages and minimum values of the IT + PP scenarios were also observed as the lowest in most scenarios presented, indicating that it is the most cost-efficient scenario regardless of size. The same scenario had the lowest medians as well in some percentiles, alongside the single LID IT and PP scenarios. The scenarios with the BR, including the BR, BR + PP, and BR + IT scenarios, tended to have the highest C/E ratios in all parameters and rainfall percentiles, indicating that it is the least cost-friendly scenario. The BR + IT + PP scenario, despite having the highest reductions among all seven, did not attain a high C/E value. This result where all LID scenarios did not attain the highest C/E ratios were also observed in another study [14].
The selection of the cost-effective scenarios, denoted as the optimal scenarios for assessment in this study, were based on the lowest ratios for each scenario in each percentile, as these were deemed as the most cost-effective scenarios. One sizing value was taken from each percentile, LID scenario, and optimistic and pessimistic estimate. The sizes of the optimal scenarios are presented in Table 4 for the optimistic and pessimistic cost estimates. The low SA/CA results were due to the sub-catchment area, whose value might change if this was applied in a larger site or catchment. Different LID sizes were noted for the combination LIDs between the two cost estimates, while the same sizes were considered for the single LID scenarios. In both estimates, it was observed that the BR was kept at the minimum simulation size (0.011) in all scenarios likely because of its high construction and maintenance cost. Varying permeable pavement sizes were observed in the optimistic estimate and varying infiltration trench sizes were seen in the pessimistic estimate, which further emphasizes the low LCCs of the two LIDs as opposed to the other structures in their respective cost valuations.
Table 4.
Sizing of the optimal scenarios using optimistic and pessimistic cost estimates.
3.3. Rainfall-Runoff Characteristics of Each LID Scenario
The comparison of the scenarios to the no LID scenario for the 80th, 90th, 95th, and 99th percentile can be seen in Figure 7a–h for the optimistic optimal scenarios and pessimistic optimal scenarios, respectively. The application of the optimal LID practices has shown a decrease in the flows and peaks. Due to the small sizes and SA/CA ratios of the optimal scenarios, low reductions were observed in high rainfall percentiles. The largest peak flow reductions were seen in the 80th percentile, where it can reach a 29.73% reduction, and it progressively becomes lower as the target goal or rainfall percentile becomes larger, attaining only a 13.81% reduction at the BR + IT + PP scenario. Despite the similar results of the 80th percentile, peak flow reductions in the pessimistic estimate were 3% and 11% better than the optimistic estimates in the 90th and 99th percentiles, while 2% worse in the 95th percentiles. The time lag of the peak flow compared to the no LID scenario was also observed in some cases, where the BR + IT + PP and PP + IT scenarios have delayed the peak by 1 h in the 80th percentile in both cost estimates, demonstrating the LID scenarios’ capability in delaying the pipe’s maximum capacity in storm events [32]. This delay of peak flow, however, was not as apparent as the hydrographs in other studies [24,31] because this study used low SA/CA ratios for the optimal LID assessment.

Figure 7.
Hydrographs of the optimal scenarios in the (a) 80th, (b) 90th, (c) 95th, and (d) 99th percentiles for the optimistic estimate and (e) 80th, (f) 90th, (g) 95th, and (h) 99th percentiles for the pessimistic estimate.
3.4. Hydrologic and Hydraulic Performance of the Optimal Scenarios
3.4.1. Flow Reduction
The radar chart comparing the inflow, outflow, and peak flow comparisons is shown in Figure 8a–h. The rainfall amount was a determining factor in the overall flow reductions, given that higher reductions were observed in the 80th percentile (30–55%) than in the 99th percentile (2–20%) between the two cost estimates. The combination LID scenarios, particularly the BR + IT + PP scenario, appeared to have the best reductions for each parameter and percentile in both cost estimates due to its large theoretical capture area. Conversely, due to the small capture areas of the single LID scenarios, they were regarded as less effective in terms of flow reduction. Values obtained for the BR were the lowest in all given scenarios, with reductions ranging only from 1–10%, as its optimal SA/CA ratio was only at 0.011. This trend, where the multiple LID scenarios yielded better reductions as opposed to the single LID scenarios, was also seen in other studies, where the multiple LID scenarios yielded the best runoff [17], peak flow, and volume reductions [14]. In the comparison of the two cost estimates, better flow results were observed in most cases for the optimistic cost estimate (2–39%) than the pessimistic cost estimate (10–28%) across the 90th to 99th rainfall percentiles. Studies have also assessed the flow reduction of LID scenarios in larger predominantly impervious catchments, where it can reach a flow reduction of 21 to 50% [47,48], although larger LID sizes may be required to treat a higher influx of runoff.
Figure 8.
Reduction efficiencies of the optimal scenarios in the (a) 80th, (b), 90th, (c) 95th, and (d) 99th percentiles for the optimistic estimate and (e) 80th, (f) 90th, (g) 95th, and (h) 99th percentiles for the pessimistic estimate.
3.4.2. Infiltration Improvement
The improvement of the infiltration of the optimal scenarios from the no LID scenario was also explored, given its capability to further increase infiltration rates [48,49]. Figure 9a,b shows the results of infiltration for all scenarios for the optimistic and pessimistic cost estimates, respectively. The best infiltration simulations came from the BR + IT + PP scenario, with some of them generating an increase of more than 1000% despite the low SA/CA ratios. These results demonstrate that LID practices have a huge effect on total infiltration and groundwater recharge even with small LID surface areas. The other combination scenarios followed the BR + IT + PP scenario, and the scenarios that had the least infiltration were the single LID scenarios. The BR scenario had the worst infiltration improvements, all results of which yielded only about 2–3%, likely due to the existing pervious space of its catchment area which already percolates incoming stormwater. Higher infiltration rates were observed in higher rainfall percentiles in this assessment, which is the opposite from another study [50] whose infiltration gradually dropped as the rainfall intensity increased. This was due to the rainfall rate being higher than the maximum infiltration rate of the soil on that site, signifying that soil has a heavy influence on the overall infiltration. Infiltration results may also change if this was applied in a larger catchment, although the imperviousness of the catchment becomes a larger factor as higher infiltration rates are expected in urbanized catchments or more impervious regions [51].

Figure 9.
The improvement of infiltration using optimal scenarios under the (a) optimistic and (b) pessimistic cost estimate.
4. Conclusions
The selection for an optimal arrangement of LID requires many goals and aspects to consider prior to implementation due to the distinction of rainfall, imperviousness, land use, and availability of placement to name a few. This study assessed the application of LID technology within a tropical residential park area using varying rainfall percentiles, LID controls, surface areas, and cost estimates through a cost-effectiveness analysis and SWMM modeling. The IT + PP scenario was deemed the optimal scenario for the site area regardless of size due to their low average C/E ratios from the cost-effectiveness assessment. The use of optimistic cost estimates has shown that the permeable pavements were cost-effective, while the pessimistic cost estimates have shown that it was the infiltration trench instead. Despite the low SA/CA ratios obtained from the C/E assessment, the LID scenarios generated flow reductions to the receiving pipe, which is more evident in lower rainfall percentiles than in higher rainfall percentiles. The best flow reductions and infiltration capabilities were attributed to the BR + IT + PP scenario in both cost estimates. However, the PP and IT remained the least expensive options in terms of capital costs for the optimistic and pessimistic scenarios, respectively. Setting the capture goal to around the 90th and 95th percentile also appears to be the ideal choice in the site to maximize the capabilities of the LID in terms of water quantity reduction because the low rainfall of the 80th percentile allows it to be captured easily and the 99th rainfall is generally unsustainable in the long run. The cost-effectiveness results could be useful in identifying the viable LID combinations to be placed on a site given varying initial budgets and site limitations. These results, however, can still be expanded further in future studies as it is limited by the small catchment area for modeling and analysis, and calibration and validation are still lacking from the assessment.
Author Contributions
S.G.: Conceptualization, Data curation, Methodology, Formal Analysis, Investigation, Software, Visualization, Writing—original draft, Writing—review and editing. M.M.-R.: Conceptualization, Investigation, Methodology, Supervision, Visualization, Writing—review and editing. All authors have read and agreed to the published version of the manuscript.
Funding
The authors would like to thank the Department of Science and Technology-Engineering Research and Development for Technology (DOST-ERDT) for the funding of this research.
Institutional Review Board Statement
Not applicable.
Informed Consent Statement
Not applicable.
Data Availability Statement
Not applicable.
Acknowledgments
The authors would like to acknowledge the Philippine Atmospheric, Geophysical, and Astronomical Services Administration (PAGASA) for the rainfall data and the National Mapping and Resource Information Authority (NAMRIA) for the study site elevation data.
Conflicts of Interest
The authors declare no conflict of interest.
References
- Brueckner, J.K.; Lall, S.V. Chapter 21—Cities in Developing Countries: Fueled by Rural–Urban Migration, Lacking in Tenure Security, and Short of Affordable Housing. In Handbook of Regional and Urban Economics; Duranton, G., Henderson, J.V., Strange, W.C., Eds.; Elsevier: Amsterdam, The Netherlands, 2015; Volume 3, pp. 1399–1455. [Google Scholar] [CrossRef]
- United Nations. World Urbanization Prospects: The 2014 Revision. 2014. Available online: https://esa.un.org/unpd/wup/publications/files/wup2014-highlights.Pdf (accessed on 13 March 2022).
- Butera, F.M. 1.3—Sustainable Neighborhood Design in Tropical Climates. In Urban Energy Transition, 2nd ed.; Droege, P., Ed.; Elsevier: Amsterdam, The Netherlands, 2018; pp. 51–73. [Google Scholar] [CrossRef]
- Goonetilleke, A.; Lampard, J. Stormwater Quality, Pollutant Sources, Processes, and Treatment Options. In Approaches Water Sensitive Urban Des; Sharma, A.K., Gardner, T., Begbie, D., Eds.; Woodhead Publishing: Cambridge, UK, 2019; pp. 49–74. [Google Scholar] [CrossRef]
- Todeschini, S. Hydrologic and Environmental Impacts of Imperviousness in an Industrial Catchment of Northern Italy. J. Hydrol. Eng. 2016, 21, 05016013. [Google Scholar] [CrossRef]
- Shuster, W.D.; Bonta, J.; Thurston, H.; Warnemuende, E.; Smith, D.R. Impacts of impervious surface on watershed hydrology: A review. Urban Water J. 2005, 2, 263–275. [Google Scholar] [CrossRef]
- Wasko, C.; Nathan, R.; Stein, L.; O’Shea, D. Evidence of shorter more extreme rainfalls and increased flood variability under climate change. J. Hydrol. 2021, 603, 126994. [Google Scholar] [CrossRef]
- Bolisetti, T.; Eckart, K.; McPhee, Z. Performance and implementation of low impact development—A review. Sci. Total Environ. 2017, 607–608, 413–432. [Google Scholar] [CrossRef]
- York, C.R.H.; Jacob, J.S. Chapter 8—Harnessing Green Infrastructure for Resilient, Natural Solutions. In Optimizing Community Infrastructure; Colker, R., Ed.; Butterworth-Heinemann: Woburn, MA, USA, 2020; pp. 147–164. [Google Scholar] [CrossRef]
- Newman, G.D. Chapter 5—Discovery initiatives. In Engaged Research for Community Resilience to Climate Change; Zandt, S.V., Masterson, J.H., Newman, G.D., Meyer, M.A., Eds.; Elsevier: Amsterdam, The Netherlands, 2020; pp. 57–73. [Google Scholar] [CrossRef]
- Manda, A.K.; Klein, W.A. Chapter 17—Adaptation Strategies to Address Rising Water Tables in Coastal Environments Under Future Climate and Sea-Level Rise Scenarios. In Coastal Zone Management; Ramkumar, M., James, R.A., Menier, D., Kumaraswamy, K., Eds.; Elsevier: Amsterdam, The Netherlands, 2019; pp. 403–409. [Google Scholar] [CrossRef]
- Dos Santos, M.F.N.; Barbassa, A.P.; Vasconcelos, A.F. Low impact development strategies for a low-income settlement: Balancing flood protection and life cycle costs in Brazil. Sustain. Cities Soc. 2021, 65, 102650. [Google Scholar] [CrossRef]
- Ariaratnam, S. Life cycle cost savings analysis on traditional drainage systems from low impact development strategies. Front. Eng. Manag. 2020, 8, 88–97. [Google Scholar] [CrossRef]
- Yang, W.; Brüggemann, K.; Seguya, K.D.; Ahmed, E.; Kaeseberg, T.; Dai, H.; Hua, P.; Zhang, J.; Krebs, P. Measuring performance of low impact development practices for the surface runoff management. Environ. Sci. Ecotechnol. 2020, 1, 100010. [Google Scholar] [CrossRef]
- Zhang, K.; Chui, T.F.M. A comprehensive review of spatial allocation of LID-BMP-GI practices: Strategies and optimization tools. Sci. Total Environ. 2018, 621, 915–929. [Google Scholar] [CrossRef]
- Bakhshipour, A.E.; Dittmer, U.; Haghighi, A.; Nowak, W. Hybrid green-blue-gray decentralized urban drainage systems design, a simulation-optimization framework. J. Environ. Manag. 2019, 249, 109364. [Google Scholar] [CrossRef]
- Wang, M.; Zhang, Y.; Zhang, D.; Zheng, Y.; Li, S.; Tan, S.K. Life-cycle cost analysis and resilience consideration for coupled grey infrastructure and low-impact development practices. Sustain. Cities Soc. 2021, 75, 103358. [Google Scholar] [CrossRef]
- Roseen, R.; Ballestero, T.; Houle, J.; Avelleneda, P.; Wildey, R.; Briggs, J. Storm Water Low-Impact Development, Conventional Structural, and Manufactured Treatment Strategies for Parking Lot Runoff: Performance Evaluations Under Varied Mass Loading Conditions. Transp. Res. Rec. 2006, 1984, 135–147. [Google Scholar] [CrossRef]
- Eckart, K.; McPhee, Z.; Bolisetti, T. Multiobjective optimization of low impact development stormwater controls. J. Hydrol. 2018, 562, 564–576. [Google Scholar] [CrossRef]
- Saadatpour, M.; Delkhosh, F.; Afshar, A.; Solis, S.S. Developing a simulation-optimization approach to allocate low impact development practices for managing hydrological alterations in urban watershed. Sustain. Cities Soc. 2020, 61, 102334. [Google Scholar] [CrossRef]
- Islam, A.; Hassini, S.; El-Dakhakhni, W. A systematic bibliometric review of optimization and resilience within low impact development stormwater management practices. J. Hydrol. 2021, 599, 126457. [Google Scholar] [CrossRef]
- Amoruso, F.M.; Hwang, K.; Schuetze, T. Flood Resilient and Sustainable Urban Regeneration Using the Example of an Industrial Compound Conversion in Seoul, South Korea. Sustainability 2020, 12, 918. [Google Scholar] [CrossRef]
- Tobio, J.A.S.; Maniquiz-Redillas, M.C.; Kim, L.H. Application of SWMM in Evaluating the Reduction Performance of Urban Runoff Treatment Systems with Varying Land Use. In International Low Impact Development Conference 2015; American Society of Civil Engineers/ASCE: New York, NY, USA, 2015. [Google Scholar] [CrossRef]
- Bae, C.; Lee, D.K. Effects of low-impact development practices for flood events at the catchment scale in a highly developed urban area. Int. J. Disaster Risk Reduct. 2020, 44, 101412. [Google Scholar] [CrossRef]
- Rong, G.; Hu, L.; Wang, X.; Jiang, H.; Gan, D.; Li, S. Simulation and evaluation of low-impact development practices in university construction: A case study of Anhui University of Science and Technology. J. Clean. Prod. 2021, 294, 126232. [Google Scholar] [CrossRef]
- City of Bacoor. Comprehensive Land Use Plan (2015–2024) and the Comprehensive Development Plan (2015–2020) of the City of Bacoor, Cavite. 2015. Available online: https://bacoor.gov.ph/wp-content/uploads/2017/04/CLUP-VOLUME-1-2015.pdf (accessed on 14 April 2021).
- Frias, R.A.; Maniquiz-Redillas, M. Modelling the applicability of Low Impact Development (LID) technologies in a university campus in the Philippines using Storm Water Management Model (SWMM). IOP Conf. Ser. Mater. Sci. Eng. 2021, 1153, 012009. [Google Scholar] [CrossRef]
- Murugappan, A.; Sivaprakasam, S.; Mohan, S. Ranking of Plotting Position Formulae in Frequency Analysis of Annual and Seasonal Rainfall at Puducherry, South India. Glob. J. Eng. Sci. Res. 2017, 4, 67–76. [Google Scholar] [CrossRef]
- Adeboye, O.; Alatise, M. Performance of Probability Distributions and Plotting Positions in Estimating the Flood of River Osun at Apoje Sub-Basin, Nigeria. Agric. Eng. Int. CIGR J. 2007, 9. Available online: https://cigrjournal.org/index.php/Ejounral/article/download/879/873/0 (accessed on 18 April 2021).
- Rossman, L.A. Storm Water Management Model. User’s Manual Version 5.1. U.S. Environmental Protection Agency. 2015. Available online: https://www.epa.gov/sites/default/files/2019-02/documents/epaswmm5_1_manual_master_8-2-15.pdf (accessed on 18 April 2021).
- Li, Y.; Huang, J.J.; Hu, M.; Yang, H.; Tanaka, K. Design of low impact development in the urban context considering hydrological performance and life-cycle cost. J. Flood Risk Manag. 2020, 13, 12625. [Google Scholar] [CrossRef]
- Guo, X.; Guo, Q.; Zhou, Z.; Du, P.; Zhao, D. Degrees of hydrologic restoration by low impact development practices under different runoff volume capture goals. J. Hydrol. 2019, 578, 124069. [Google Scholar] [CrossRef]
- Mei, C.; Liu, J.; Wang, H.; Yang, Z.; Ding, X.; Shao, W. Integrated assessments of green infrastructure for flood mitigation to support robust decision-making for sponge city construction in an urbanized watershed. Sci. Total Environ. 2018, 639, 1394–1407. [Google Scholar] [CrossRef] [PubMed]
- Luan, Q.; Fu, X.; Song, C.; Wang, H.; Liu, J.; Wang, Y. Runoff Effect Evaluation of LID through SWMM in Typical Mountainous, Low-Lying Urban Areas: A Case Study in China. Water 2017, 9, 439. [Google Scholar] [CrossRef]
- Randall, M.; Sun, F.; Zhang, Y.; Jensen, M.B. Evaluating Sponge City volume capture ratio at the catchment scale using SWMM. J. Environ. Manag. 2019, 246, 745–757. [Google Scholar] [CrossRef]
- Dell, T.; Razzaghmanesh, M.; Sharvelle, S.; Arabi, M. Development and application of a SWMM-Based simulation model for municipal scale hydrologic assessments. Water 2021, 13, 1644. [Google Scholar] [CrossRef]
- Fassman-Beck, E.; Saleh, F. Sources and Impacts of Uncertainty in Uncalibrated Bioretention Models Using SWMM 5.1.012. J. Sustain. Water Built Environ. 2021, 7, 04021006. [Google Scholar] [CrossRef]
- Gorgoglione, A.; Bombardelli, F.A.; Pitton, B.J.L.; Oki, L.R.; Haver, D.L.; Young, T.M. Uncertainty in the parameterization of sediment build-up and wash-off processes in the simulation of sediment transport in urban areas. Environ. Model. Softw. 2019, 111, 170–181. [Google Scholar] [CrossRef]
- Leimgruber, J.; Krebs, G.; Camhy, D.; Muschalla, D. Model-Based Selection of Cost-Effective Low Impact Development Strategies to Control Water Balance. Sustainability 2019, 11, 2440. [Google Scholar] [CrossRef]
- Jeong, H.; Broesicke, O.; Drew, B.; Li, D.; Crittenden, J. Life cycle assessment of low impact development technologies combined with conventional centralized water systems for the City of Atlanta, Georgia. Front. Environ. Sci. Eng. 2016, 10, 1. [Google Scholar] [CrossRef]
- Shannak, S. Assessment of Low-Impact development for managing aquatic ecosystem. Ecol. Indic. 2021, 132, 108235. [Google Scholar] [CrossRef]
- WorldBank. GDP (Current US$)—Philippines; WorldBank: Washington, DC, USA, 2020; Available online: https://data.worldbank.org/indicator/NY.GDP.MKTP.CD?locations=PH (accessed on 1 April 2022).
- Lee, S.; Maniquiz-Redillas, M.; Lee, J.; Mun, H.; Kim, L.-H. Lifecycle cost assessment of best management practices for diffuse pollution control in Han River Basin. J. Wetl. Res. 2016, 18, 448–455. [Google Scholar] [CrossRef][Green Version]
- Jawad, D.; Ozbay, K. The Discount Rate in Life Cycle Cost Analysis of Transportation Projects. National Academy of Science. 2006. Available online: https://www.rits.rutgers.edu/files/discountrate_lifecycle.pdf (accessed on 18 September 2021).
- Choi, J.; Maniquiz-Redillas, M.; Geronimo, F.K.; Lee, S.; Lee, B.; Kim, L.-H. Development of a horizontal subsurface flow modular constructed wetland for urban runoff treatment. Water Sci. Technol. J. Int. Assoc. Water Pollut. Res. 2012, 66, 1950–1957. [Google Scholar] [CrossRef]
- Maniquiz-Redillas, M.C.; Choi, J.; Jeon, J.C.; Hong, J.; Flores, P.E.; Noh, T.; Lee, S.T.; Choi, H.; Alihan, J.C.; Kim, L. Low impact stormwater management in urban landuses using small-decentralized system approach: Features of the first ‘green’ campus in Korea. In Proceedings of the 9th International Conference on Planning and Technologies for Sustainable Management of Water in the City, Lyon, France, 1–5 July 2016. [Google Scholar]
- Rezazadeh Helmi, N.; Verbeiren, B.; Mijic, A.; van Griensven, A.; Bauwens, W. Developing a modeling tool to allocate Low Impact Development practices in a cost-optimized method. J. Hydrol. 2019, 573, 98–108. [Google Scholar] [CrossRef]
- Ben-Daoud, A.; Ben-Daoud, M.; Moroșanu, G.A.; M’Rabet, S. The use of low impact development technologies in the attenuation of flood flows in an urban area: Settat city (Morocco) as a case. Environ. Chall. 2022, 6, 100403. [Google Scholar] [CrossRef]
- Son, C.; Hyun, K.; Kim, D.; Baek, J.; Ban, Y. Development and Application of a Low Impact Development (LID)-Based District Unit Planning Model. Sustainability 2017, 9, 145. [Google Scholar] [CrossRef]
- He, L.; Li, S.; Cui, C.-H.; Yang, S.-S.; Ding, J.; Wang, G.-Y.; Bai, S.-W.; Zhao, L.; Cao, G.-L.; Ren, N.-Q. Runoff control simulation and comprehensive benefit evaluation of low-impact development strategies in a typical cold climate area. Environ. Res. 2022, 206, 112630. [Google Scholar] [CrossRef]
- Locatelli, L.; Mark, O.; Mikkelsen, P.S.; Arnbjerg-Nielsen, K.; Deletic, A.; Roldin, M.; Binning, P.J. Hydrologic impact of urbanization with extensive stormwater infiltration. J. Hydrol. 2017, 544, 524–537. [Google Scholar] [CrossRef]
Publisher’s Note: MDPI stays neutral with regard to jurisdictional claims in published maps and institutional affiliations. |
© 2022 by the authors. Licensee MDPI, Basel, Switzerland. This article is an open access article distributed under the terms and conditions of the Creative Commons Attribution (CC BY) license (https://creativecommons.org/licenses/by/4.0/).










